Design of Distributed Interval Observers for Multiple Euler–Lagrange Systems
Abstract
1. Introduction
2. Preliminaries
2.1. Graph Theory
2.2. System Model
- ⋆
- ,
- ⋆
- , and .
3. Main Results
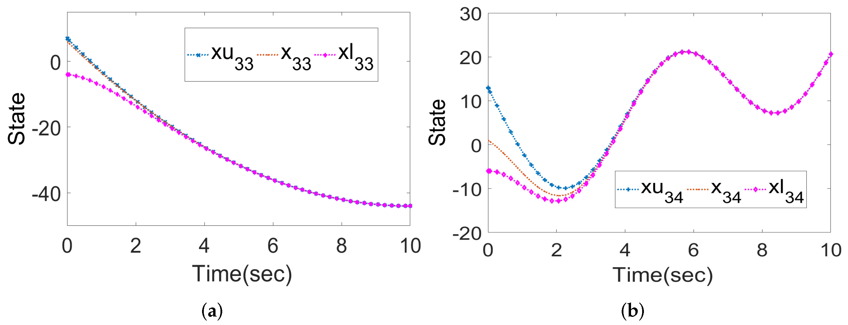
4. Simulation
5. Conslusions
Author Contributions
Funding
Data Availability Statement
Conflicts of Interest
References
- Stamnes, Ø.N.; Aamo, O.M.; Kaasa, G.O. A constructive speed observer design for general Euler–Lagrange systems. Automatica 2011, 47, 2233–2238. [Google Scholar] [CrossRef]
- Mohammadi, A.; Marquez, H.J.; Tavakoli, M. Nonlinear disturbance observers: Design and applications to Euler–Lagrange systems. IEEE Control Syst. Mag. 2017, 37, 50–72. [Google Scholar]
- Sun, T.; Cheng, L.; Wang, W.; Pan, Y. Semiglobal exponential control of Euler–Lagrange systems using a sliding-mode disturbance observer. Automatica 2020, 112, 108677. [Google Scholar] [CrossRef]
- Stamnes, Ø.N.; Aamo, O.M.; Kaasa, G.O. Global output feedback tracking control of Euler–Lagrange systems. IFAC Proc. Vol. 2011, 44, 215–220. [Google Scholar] [CrossRef]
- Yang, Q.; Fang, H.; Mao, Y.; Huang, J. Distributed tracking for networked Euler–Lagrange systems without velocity measurements. J. Syst. Eng. Electron. 2014, 25, 671–680. [Google Scholar] [CrossRef]
- Liu, L.; Shan, J. Distributed formation control of networked Euler–Lagrange systems with fault diagnosis. J. Frankl. Inst. 2015, 352, 952–973. [Google Scholar] [CrossRef]
- Cai, H.; Huang, J. Leader-following consensus of multiple uncertain Euler–Lagrange systems under switching network topology. Int. J. Gen. Syst. 2014, 43, 294–304. [Google Scholar] [CrossRef]
- Cai, H.; Huang, J. The leader-following consensus for multiple uncertain Euler–Lagrange systems with a distributed adaptive observer. In Proceedings of the 2015 IEEE 7th International Conference on Cybernetics and Intelligent Systems (CIS) and IEEE Conference on Robotics, Automation and Mechatronics (RAM), Siem Reap, Cambodia, 15–17 July 2015; pp. 218–223. [Google Scholar]
- Cai, H.; Huang, J. The leader-following consensus for multiple uncertain Euler–Lagrange systems with an adaptive distributed observer. IEEE Trans. Autom. Control 2015, 61, 3152–3157. [Google Scholar] [CrossRef]
- Wang, S.; Huang, J. Adaptive leader-following consensus for multiple Euler–Lagrange systems with an uncertain leader system. IEEE Trans. Neural Netw. Learn. Syst. 2018, 30, 2188–2196. [Google Scholar] [CrossRef]
- Guo, X.; Wei, G.; Yao, M.; Zhang, P. Consensus Control for Multiple Euler–Lagrange Systems Based on High-Order Disturbance Observer: An Event-Triggered Approach. IEEE/CAA J. Autom. Sin. 2022, 9, 945–948. [Google Scholar] [CrossRef]
- Sun, Y.; Dong, D.; Qin, H.; Wang, W. Distributed tracking control for multiple Euler–Lagrange systems with communication delays and input saturation. ISA Trans. 2020, 96, 245–254. [Google Scholar] [CrossRef] [PubMed]
- Gouzé, J.L.; Rapaport, A.; Hadj-Sadok, M.Z. Interval observers for uncertain biological systems. Ecol. Model. 2000, 133, 45–56. [Google Scholar] [CrossRef]
- Mazenc, F.; Bernard, O. Interval observers for linear time-invariant systems with disturbances. Automatica 2011, 47, 140–147. [Google Scholar] [CrossRef]
- Thabet, R.E.H.; Raissi, T.; Combastel, C.; Efimov, D.; Zolghadri, A. An effective method to interval observer design for time-varying systems. Automatica 2014, 50, 2677–2684. [Google Scholar] [CrossRef]
- Mazenc, F.; Dinh, T.N.; Niculescu, S.I. Interval observers for discrete-time systems. Int. J. Robust Nonlinear Control 2014, 24, 2867–2890. [Google Scholar] [CrossRef]
- Efimov, D.; Perruquetti, W.; Raïssi, T.; Zolghadri, A. Interval observers for time-varying discrete-time systems. IEEE Trans. Autom. Control 2013, 58, 3218–3224. [Google Scholar] [CrossRef]
- Guo, S.; Zhu, F. Interval observer design for discrete-time switched system. IFAC-PapersOnLine 2017, 50, 5073–5078. [Google Scholar] [CrossRef]
- Gu, D.K.; Liu, L.W.; Duan, G.R. Functional interval observer for the linear systems with disturbances. IET Control Theory Appl. 2018, 12, 2562–2568. [Google Scholar] [CrossRef]
- Raïssi, T.; Videau, G.; Zolghadri, A. Interval observer design for consistency checks of nonlinear continuous-time systems. Automatica 2010, 46, 518–527. [Google Scholar] [CrossRef]
- Huong, D.C. Design of functional interval observers for non-linear fractional-order systems. Asian J. Control 2020, 22, 1127–1137. [Google Scholar] [CrossRef]
- Zhang, Z.H.; Yang, G.H. Distributed fault detection and isolation for multiagent systems: An interval observer approach. IEEE Trans. Syst. Man Cybern. Syst. 2018, 50, 2220–2230. [Google Scholar] [CrossRef]
- Li, D.; Chang, J.; Chen, W.; Raïssi, T. IPR-based distributed interval observers design for uncertain LTI systems. ISA Trans. 2022, 121, 147–155. [Google Scholar] [CrossRef] [PubMed]
- Zhang, H.; Huang, J.; He, S. Fractional-Order Interval Observer for Multiagent Nonlinear Systems. Fractal Fract. 2022, 6, 355. [Google Scholar] [CrossRef]
- Yu, W.; Chen, G.; Cao, M.; Kurths, J. Second-order consensus for multiagent systems with directed topologies and nonlinear dynamics. IEEE Trans. Syst. Man Cybern. Part B (Cybern.) 2009, 40, 881–891. [Google Scholar]
- Li, Z.; Liu, X.; Fu, M.; Xie, L. Global H∞ consensus of multi-agent systems with Lipschitz non-linear dynamics. IET Control Theory Appl. 2012, 6, 2041–2048. [Google Scholar] [CrossRef]
- Moisan, M.; Bernard, O. Robust interval observers for global Lipschitz uncertain chaotic systems. Syst. Control Lett. 2010, 59, 687–694. [Google Scholar] [CrossRef]








| Parameter | Description |
|---|---|
| The position of manipulator | |
| The velocity of manipulator | |
| The acceleration of manipulator | |
| The inertia matrix of manipulator | |
| The vector of Coriolis and centrifugal force of manipulator | |
| The vector of Gravitational force of manipulator | |
| The control input of manipulator |
| Parameter | Description | Time |
|---|---|---|
| Observer gain | 0.436 s | |
| Observer gain | 0.436 s | |
| Q | Observer gain | 0.456 s |
| Weight matrix | 0.318 s | |
| P | Weight matrix | 0.318 s |
| Observer gain | 0.624 s | |
| Observer gain | 0.624 s | |
| Observer gain | 0.624 s |
Disclaimer/Publisher’s Note: The statements, opinions and data contained in all publications are solely those of the individual author(s) and contributor(s) and not of MDPI and/or the editor(s). MDPI and/or the editor(s) disclaim responsibility for any injury to people or property resulting from any ideas, methods, instructions or products referred to in the content. |
© 2023 by the authors. Licensee MDPI, Basel, Switzerland. This article is an open access article distributed under the terms and conditions of the Creative Commons Attribution (CC BY) license (https://creativecommons.org/licenses/by/4.0/).
Share and Cite
Yin, Z.; Huang, J.; Dinh, T.N. Design of Distributed Interval Observers for Multiple Euler–Lagrange Systems. Mathematics 2023, 11, 1872. https://doi.org/10.3390/math11081872
Yin Z, Huang J, Dinh TN. Design of Distributed Interval Observers for Multiple Euler–Lagrange Systems. Mathematics. 2023; 11(8):1872. https://doi.org/10.3390/math11081872
Chicago/Turabian StyleYin, Zhihang, Jun Huang, and Thach Ngoc Dinh. 2023. "Design of Distributed Interval Observers for Multiple Euler–Lagrange Systems" Mathematics 11, no. 8: 1872. https://doi.org/10.3390/math11081872
APA StyleYin, Z., Huang, J., & Dinh, T. N. (2023). Design of Distributed Interval Observers for Multiple Euler–Lagrange Systems. Mathematics, 11(8), 1872. https://doi.org/10.3390/math11081872

