Next Article in Journal
Design of Distributed Interval Observers for Multiple Euler–Lagrange Systems
Next Article in Special Issue
Three-Dimensional Path Planning of UAV Based on Improved Particle Swarm Optimization
Previous Article in Journal
A Brief Survey and an Analytic Generalization of the Catalan Numbers and Their Integral Representations
Previous Article in Special Issue
Improved Thrust Performance Optimization Method for UAVs Based on the Adaptive Margin Control Approach
 
 
Font Type:
Arial Georgia Verdana
Font Size:
Aa Aa Aa
Line Spacing:
Column Width:
Background:
Article

Finite-Time Contractive Control of Spacecraft Rendezvous System

1
School of Astronautics, Harbin Institute of Technology, Harbin 150001, China
2
Beijing Institute of Control Engineering, Beijing 100190, China
3
School of Information and Automation, Qilu University of Technology, Jinan 250353, China
*
Author to whom correspondence should be addressed.
Mathematics 2023, 11(8), 1871; https://doi.org/10.3390/math11081871
Submission received: 11 February 2023 / Revised: 24 March 2023 / Accepted: 29 March 2023 / Published: 14 April 2023

Abstract

In this paper we investigate the problem of a finite-time contractive control method for a spacecraft rendezvous control system. The dynamic model of relative motion is formulated by the C-W equations. To improve the convergent performance of the spacecraft rendezvous control system, a finite-time contractive control law is introduced. Lyapunov’s direct method is employed to obtain the existence condition of the desired controllers. The controller parameter can be obtained with the help of the cone complementary linearization algorithm. A numerical example verifies the effectiveness of the obtained theoretical results.

1. Introduction

The spacecraft rendezvous system is an important part of the orbital spacecraft since it provides important technical support for various space missions such as astronaut pick-up, material supply, space station construction and maintenance, and even manned lunar landings and deep-space exploration missions. An autonomous rendezvous system involves two spacecraft: one is the target spacecraft and the other is the chaser spacecraft. In general, the relative dynamic model of two spacecraft is a set of nonlinear equations [1]. To facilitate analysis and controller design, two kinds of linearized relative motion models were developed, namely the Clohessy–Wiltshire (C-W) equation [2] and the Tschauner–Hempel (T-H) equation [3]. The C-W equation is linear time-invariant and is suitable for target spacecraft running in circular orbits. In contrast, the T-H equation is linear time-varying and is more appropriate for target spacecraft operating in circular orbits.
The quality of the adopted control strategies directly affects the overall performance of the autonomous rendezvous system, and then affects the orbital service mission. This has stimulated an outpouring of enthusiasm from researchers and in the past decades, various insightful and innovative results on the control of the autonomous rendezvous of spacecraft have emerged [4,5,6,7,8,9,10]. Here, to name a few, a new relative dynamic model that takes the parameter uncertainty and output tracking into account was developed in [5], and the guaranteed cost output tracking controller was designed by virtue of the convex optimization method and the linear matrix inequality technique. Moreover, saturated state feedback controllers were developed by Luo [7] to globally stabilize the spacecraft rendezvous system constrained by thrust saturation and/or time delay. In addition, the semi-global finite-time stabilization issue of a spacecraft rendezvous system with input constraints was reported in [8], where the dynamic event-triggered control and self-triggered control techniques were considered.
However, finite-time contractive stability (FTCS), proposed in [11] for the first time, relates to the transient performance of systems in a fixed time interval rather than the steady performance over an infinite time interval. Roughly speaking, if, given the bound of the initial condition c 1 , the state trajectory of a finite-time contractively stable system does not exceed a bound c 2 > c 1 over the prescribed time interval [ 0 , T u ] , the state trajectory will further lie within a bound c 3 over the time interval [ t s , T u ] , and it will never escape from the bound c 3 after it comes in [12], where 0 < c 3 < c 1 < c 2 , and 0 < t s < T u . This suggests that systems under FTCS also have superior convergence performance on the basis of “boundedness” [13]. In recent years, FTCS has drawn more attention, which has resulted in the FTCS issue of several kinds of systems being discussed, such as the stochastic system [14], impulsive systems [15,16], switched systems [17,18], and so on. Physical applications of FTCS in fields such as clinical medicine [19] and population control [20] have also been reported. Moreover, we note that there exists the potential practical application of finite-time contractive stability control of the spacecraft rendezvous systems on occasions where the relative distance and relative velocity along the x-axis, y-axis, and z-axis between the target spacecraft and chaser spacecraft need to be within an ideal prescribed bound after a fixed time t s . However, to the best of the authors’ knowledge, there exist few results on the FTCS of spacecraft rendezvous systems in the literature, which motivates this work.
The finite-time contractive control issue for a spacecraft rendezvous system is considered in this paper. The state feedback controller is designed to finite-time contractively stabilize the spacecraft rendezvous system. The main contribution of this paper is threefold as follows. (1) This is the first attempt for the finite-time contractive control of a spacecraft rendezvous system, and a sufficient condition for the existence of desired controllers is established. (2) A convex optimization problem with linear matrix inequality constraints is established for control synthesis, which can be solved by a cone complementary linearization algorithm. (3) A numerical example shows that the proposed controller has faster convergence speed compared with traditional control methods.
Notations:  t r ( A ) represents the trace of A. Matrix A > 0   ( 0 ) denotes that A is a positive definite matrix (positive semi-definite matrix). Moreover, we assume that the dimensions of the matrices are compatible with each other, if this is not explicitly stated before. “w.r.t” denotes the phrase “with respect to”.

2. Problem Formulation

We assume that the target spacecraft is running in a circular orbit, and the coordinate frame for the two spacecraft is shown in Figure 1. The origin of the coordinate system is located at the center of mass of the target spacecraft. The x-axis is in the orbital plane of the target spacecraft, with the positive direction of the Earth center pointing to the target spacecraft. The y-axis points to the running direction of the target spacecraft. The z-axis is perpendicular to the orbital plane and forms a right-handed rectangular coordinate system with the other two axes. Hence, the relative dynamic motion would obey the following C-W equations [21]
x ¨ 2 n y ˙ 3 n 2 x = 1 m T x , y ¨ + 2 n x ˙ = 1 m T y , z ¨ + n 2 z = 1 m T z ,
where x, y, and z stand for the relative position, m is the mass of the chaser, n is the angular velocity of the target spacecraft, and T i ( i = x , y , z ) is the i-th component of the specific control force acting on the relative motion dynamics. Letting x t = x , y , z , x ˙ , y ˙ , z ˙ T , and u t = T x , T y , T z T , then (1) can be further described as
x ˙ t = A x t + B u t , y t = C x t ,
where A = 0 0 0 1 0 0 0 0 0 0 1 0 0 0 0 0 0 1 3 n 2 0 0 0 2 n 0 0 0 0 2 n 0 0 0 0 n 2 0 0 0 , B = 0 0 0 0 0 0 0 0 0 1 m 0 0 0 1 m 0 0 0 1 m , C = 1 0 0 0 0 0 0 1 0 0 0 0 0 0 1 0 0 0 .
Lemma 1
([22]). For matrices P > 0 and H > 0 , if and only if the conditions
t r ( P H ) = n ,
P I I H 0 ,
hold, P H = I holds.
Definition 1
([19]). System (2) is finite-time contractively stable w.r.t ( c 1 , c 2 , c 3 , R , t s , T u ) , if x T 0 R x 0 < c 1 implies that x T t R x t < c 2 , t 0 , T u ; furthermore, x T t R x t < c 3 , t t s , T u , where 0 < c 3 < c 1 < c 2 , 0 < t s < T u , and R > 0 .

3. Finite-Time Contractive Stabilization

Consider a state feedback control law for (2)
u = K x t ,
where K is the controller parameter to be designed. Then, the closed-loop system is established as below
x ˙ t = A + B K x t .
The following theorem gives a sufficient condition for the existence of state feedback controller (5) under which the closed-loop system (6) is finite-time contractively stable.
Theorem 1.
For given scalars α > 0 , c 3 < c 1 < c 2 , and 0 < t s < T u , and a matrix R > 0 , the closed-loop system (6) is finite-time contractively stable w.r.t ( c 1 , c 2 , c 3 , R , t s , T u ) , if there exist a symmetric matrix P > 0 and a matrix K, as well as a scalar ε > 0 satisfying
P A + P B K + A T P + K T B T P + α P < 0 ,
R < P < ε R ,
ε c 1 < c 2 ,
e α t s ε c 1 < c 3 ,
and the equation restriction
P H = I ,
Proof. 
Choosing a Lyapunov function V x t = x T t P x t , then taking the time derivative yields
V ˙ x t = x T t ( P A + P B K + P A + P B K T ) x t .
Furthermore, according to (7), it can be obtained that
P A + P B K + A T P + K T B T P < α P ,
from which we have
x T t ( P A + P B K + P A + P B K T ) x t < α x T t P x t ,
i.e.,
V ˙ x t < α V x t .
Multiplying both sides of (15) by e α t , and then integrating both sides of it from 0 to t for t 0 , T u , one has
V x t < e α t V x 0 .
Furthermore, since it yields from (8) that x T t R x t < V ( x ( t ) ) < ε x T t R x t , then, by letting x T 0 R x 0 < c 1 , it can be obtained from (16) and (9) that
x T t R x t < V x t < ε c 1 < c 2 , t [ 0 , T u ] .
Simliar to the proof processes (16)–(17), by (8) and (10), it follows from (15) that
x T t R x t < e α t s ε c 1 < c 3 , t [ t s , T u ] .
Hence, according to Definition 1, system (6) is finite-time contractively stable w.r.t ( c 1 , c 2 , c 3 , R , t s , T u ) . This completes the proof.    □
Remark 1.
The parameters c 1 , c 2 , and c 3 , where 0 < c 3 < c 1 < c 2 , represent the specific bounds within which system state variables lie over the prescribed time interval. They are generally chosen from practical consideration and are pre-specified in a given problem, as stated in [23,24]. Furthermore, the obtained conditions for the finite-time contractive stability control issue in theorems are provided in terms of feasibility problems [25]. Hence, this suggests that the expected parameters c 1 , c 2 , and c 3 that we choose are achievable and the considered system can be said to be finite-time contractively stable w.r.t. ( c 1 , c 2 , c 3 , R , t s , T u ) over the fixed time interval according to Definition 1 if the established sufficient conditions in theorems are feasible. In addition, if needed, achievable values of c 1 , c 2 , and c 3 that make the obtained sufficient conditions feasible can be chosen by using the one-dimension linear search method or trial-and-error method.
A sufficient condition for the existence of the finite-time contractive controller (5) is established in Theorem 1. However, it is different to solve the controller parameter K straightforwardly since there exists the nonlinear term P B K in inequality (7). To make the controller design numerically tractable, a controller design method is developed by the following theorem where the parameters P and K are separated.
Theorem 2.
For given scalars α > 0 , c 3 < c 1 < c 2 , and 0 < t s < T u , and a matrix R > 0 , the closed-loop system (6) is said to be finite-time contractively stable w.r.t ( c 1 , c 2 , c 3 , R , t s , T u ) , if there exist a matrix Q, symmetric matrices H > 0 , P > 0 , and a scalar ε > 0 such that
A H + B Q + A H + B Q T + α H < 0 ,
R < P < ε R ,
ε c 1 < c 2 ,
e α t s ε c 1 < c 3 ,
with the equation restriction
P H = I ,
where H = P 1 and the controller parameter is obtained by K = Q H 1 .
Proof. 
Pre-and post-multiplying (19) by P, one has
P A + P B K + P A + P B K T + α P < 0 .
Then, following from the proof processes of Theorem 1, it can be easily obtained that system (6) is finite-time contractively stable w.r.t ( c 1 , c 2 , c 3 , R , t s , T u ) . Here, the proof is omitted for simplicity.    □
Remark 2.
It follows from (19) that V ˙ x t < α V x t < 0 , which indicates that the system (6) must be Lyapunov asymptotically (exponentially) stable in the case of finite-time contractive stability control. Furthermore, due to the existence of contraction conditions (21) and (22) over a finite-time interval for state trajectory under finite-time contractive stability control, when the system (6) is Lyapunov asymptotically (exponentially) stable, it may not be finite-time contractively stable w.r.t prescribed parameters c 1 , c 2 , c 3 , R , t s , and T u . Briefly speaking, if a system is said to be finite-time contractive stable, it must be Lyapunov asymptotically stable, while, conversely, it may not be. In addition, with the aim of small t s and c 3 , the convergence speed of finite-time contractively stable systems may be better than that of Lyapunov asymptotic stable systems, which results in the considered system approaching the equilibrium state faster under FTCS.
Remark 3.
In Theorem 2, the analytic solution of controller parameters K is given in the form of K = Q H 1 , which is numerically solvable through the use of the well-established variable substitution method. However, matrices P and H that only satisfy the conditions (19)–(22) may not qualify since the potential relationship shown in (23) does not hold in this case. Hence, to ensure that the obtained feasible set satisfies both the constraints (19)–(22) and (23), the following minimization problem is considered.
Problem 1.
min tr(PH)
s.t. (4) and (19)–(22)
Remark 4.
On one hand, according to Lemma 1, t r ( P H ) n always holds if (4) holds. Then, if and only if t r ( P H ) = n , t r ( P H ) reaches the minimum, and P H = I holds. Hence, conditions (19)–(23) are feasible, and the controller parameter K can be further solved, when the solution of Problem 1 is n. On the other hand, Problem 1 is essentially a non-convex problem and it is difficult to solve. Hence, inspired by [26], the following cone complementary linearization algorithm (CCLA) is employed to address it (Algorithm 1). By this algorithm, ϕ + t r ( P 1 H + P H 1 ) is used to linearly approximate t r ( P H ) at a given point ( P 1 , H 1 ) , where ϕ is a constant that is small enough. In this way, if and only if t r ( P 1 H + P H 1 ) = 2 n , the constraint P H = I holds.
Algorithm 1 CCLA for solving Problem 1
Step 1 . Given parameters α , c 1 , c 2 , c 3 , R, t s , and T u . Moreover, set j = 1 , ϕ = 1 × 10 6 , and maximum iterations I t e r = 50 .
Step 2 . Compute conditions (4) and (19)–(22). If not feasible, exit; otherwise, go to Step 3 .
Step 3 . Set ( H j , P j , Q j , ε i ) = ( H , P , Q , ε ) , where ( H , P , Q , ε ) is the feasible solution attained in Step 2 . Furthermore, compute Problem 1.
Step 4 . Compare the value of t r ( P i H + P H i ) with 2 n , where n is the dimension of P. If | t r ( P i H + P H i ) 2n | < ϕ , output the value of K = Q H 1 and then exit; else, j = j + 1 , and compare j with I t e a , if i I t e r , go to Step 3 ; else, exit.
Next, the Lyapunov asymptotical stabilization and the classical linear quadratic regulator (LQR) control issues of system (2) are also discussed for comparison.
(A) Lyapunov asymptotical stabilization
When α = 0 , one has from (19) that
A H + B Q + A H + B Q T < 0 ,
Then, based on Problem 1 and Remark 2, it can be attained that closed-loop system (6) is Lyapunov asymptotic stable (LAS) if the following Problem 2 is feasible.
Problem 2.
min tr(PH)
s.t. (4) and (25)
The following Algorithm 2 can be applied to compute the above Problem 2.
Algorithm 2 CCLA for solving Problem 2
Step 1 . Set j = 1 , ϕ = 1 × 10 6 , and maximum iterations I t e r = 50 .
Step 2 . Solve the conditions (4) and (25). If not feasible, exit; otherwise, go to Step 3 .
Step 3 . Set ( H j , P j , Q j ) = ( H , P , Q ) , where ( H , P , Q ) is the feasible solution attained in Step 2 . Furthermore, solve Problem 2.
Step 4 . Compare the value of t r ( P i H + P H i ) with 2 n , where n is the dimension of P. If | t r ( P i H + P H i ) 2n | < ϕ , output the value of K = Q H 1 and then exit; else, j = j + 1 , and compare j with I t e a , if i I t e r , go to Step 3 ; else, exit.
(B) LQR control [27]
Considering system (2) with controllable (A, B), we can obtain an optimal LQR by using the full state feedback control law u = K x , which can minimize the performance index as below
J = 0 x T Q x + u T R u d t
where symmetrical matrices Q 0 and R > 0 .
In this case, the controller gain K is represented as K = R 1 B T P , where P is the solution of the following algebraic Riccati equation
P A + A T P + Q P B R 1 B T P = 0

4. Simulation Results

In this section, the effectiveness of the proposed method is verified through the use of the following example.
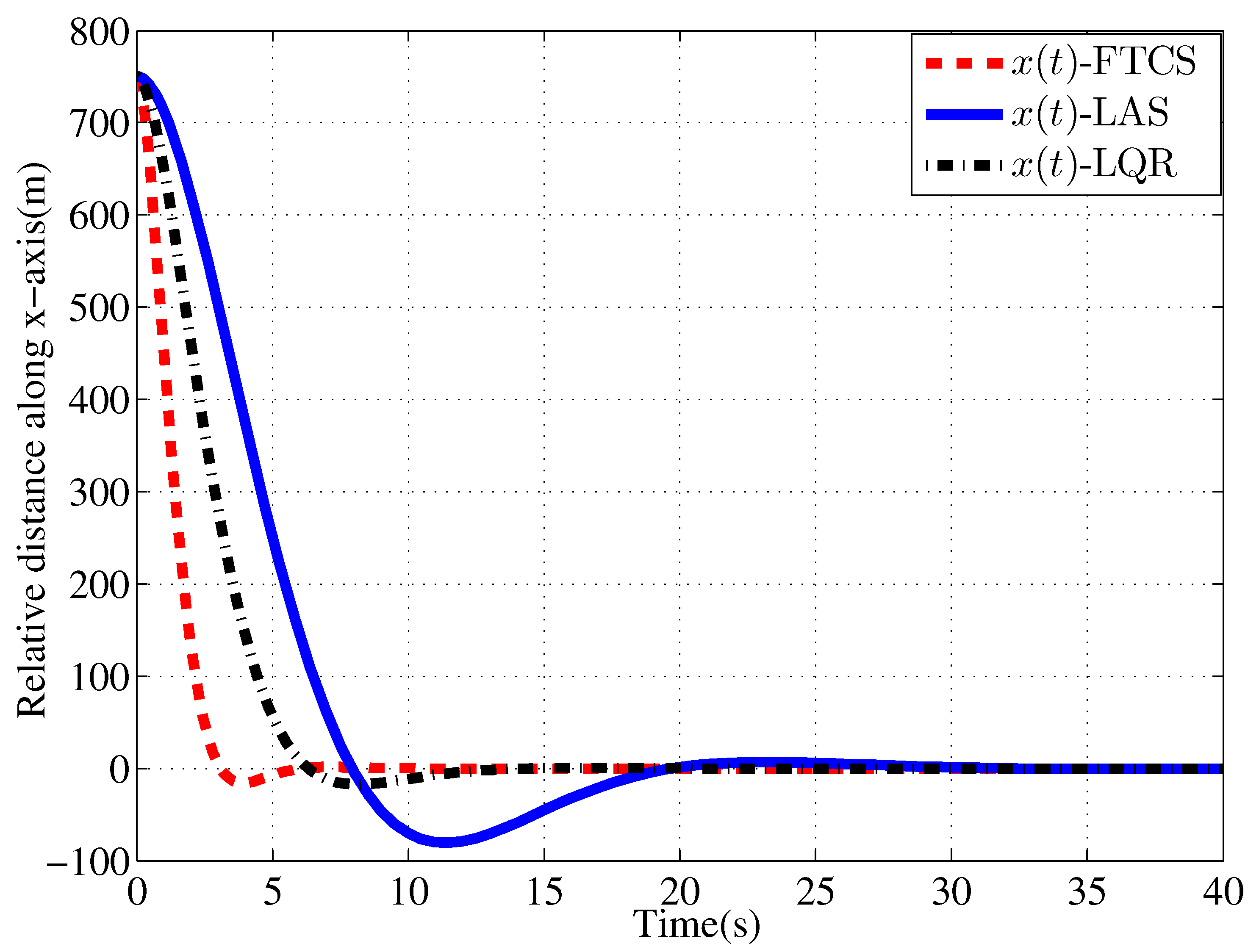
We assume that the mass m of the chaser spacecraft is 300 kg and the angular velocity n of the target spacecraft is 1.168 × 10 3 rad/s. Furthermore, we assume that the two spacecraft are relatively static at t = 0 , and the initial relative positions of the two spacecraft are 750 m (along the x-axis), 650 m (along the y-axis), and 550 m (along the z-axis) at t = 0 . Then, it is obtained that x ( 0 ) = [ 750 , 650 , 550 , 0 , 0 , 0 ] T . Next, we will stabilize the considered spacecraft rendezvous system in the case of finite-time contractive stability and the case of the Lyapunov asymptotical stability, respectively.
  • Case 1. Finite-time contractive stabilization
For given parameters c 1 = 1.3 × 10 6 , c 2 = 2.5 × 10 6 , c 3 = 1 × 10 4 , R = I , t s = 10 , and T u = 40 , we solve Algorithm 1 through the use of the Yalmip toolbox [28]; when α = 0.56 , it can obtain the following feasible set of Problem 1 as follows.
P = 1.4615 0.0046 0.0031 0.3576 0.0014 0.0010 0.0046 1.4644 0.0011 0.0013 0.3568 0.0004 0.0031 0.0011 1.4663 0.0008 0.0003 0.3562 0.3576 0.0013 0.0008 1.2772 0.0048 0.0033 0.0014 0.3568 0.0003 0.0048 1.2742 0.0012 0.0010 0.0004 0.3562 0.0033 0.0012 1.2721 ,
H = 0.7346 0.0027 0.0018 0.2057 0.0007 0.0006 0.0027 0.7329 0.0007 0.0007 0.2052 0.0002 0.0018 0.0007 0.7318 0.0005 0.0002 0.2049 0.2057 0.0007 0.0005 0.8406 0.0027 0.0019 0.0007 0.2052 0.0002 0.0027 0.8423 0.0007 0.0006 0.0002 0.2049 0.0019 0.0007 0.8435 ,
W = 217.5592 0.7428 0.5725 603.5876 123.1579 123.7787 1.0199 218.1600 0.3047 123.2236 603.8824 123.6221 0.5871 0.3145 218.5594 123.2847 123.7681 603.9867 .
η = 1.8807.
Then, the controller gain matrix K can be obtained as
K = Q H 1 = 534.1135 42.7502 43.1158 849.7152 160.1318 159.6025 42.2767 535.0346 44.4461 159.8061 847.7123 156.1346 42.9813 44.4588 535.6834 158.8171 156.4078 846.4539 .
  • Case 2. Lyapunov asymptotic stabilization.
By Algorithm 2, we can obtain the qualified feasible set of Problem 2 below
P = 3.0361 0.0086 0.0086 1.2422 0.0585 0.0513 0.0086 3.0374 0.0084 0.0434 1.2404 0.0500 0.0086 0.0084 3.0372 0.0506 0.0514 1.2412 1.2422 0.0434 0.0506 9.7036 0.9601 0.9577 0.0585 1.2404 0.0514 0.9601 9.7123 0.9645 0.0513 0.0500 1.2412 0.9577 0.9645 9.7090 ,
H = 0.3477 0.0008 0.0008 0.0449 0.0020 0.0023 0.0008 0.3475 0.0007 0.0026 0.0449 0.0023 0.0008 0.0007 0.3475 0.0023 0.0023 0.0449 0.0449 0.0026 0.0023 0.1108 0.0100 0.0100 0.0020 0.0449 0.0023 0.0100 0.1107 0.0101 0.0023 0.0023 0.0449 0.0100 0.0101 0.1107 ,
Q = 10.0000 1.8545 1.8133 10.0000 0.5097 0.5140 1.7942 10.0000 1.8326 0.5097 10.0000 0.5104 1.8145 1.8309 10.0000 0.5140 0.5101 10.0000 ,
from which it yields that
K = Q H 1 = 42.7585 5.9275 5.7365 108.3038 2.3458 2.2657 5.5921 42.7602 5.7790 2.2787 108.3461 2.3347 5.7346 5.7838 42.7628 2.2725 2.3341 108.3334 .
  • Case 3. LQR control
Through numerous simulations in trial and error, the following matrices Q and R , by which a great convergence performance of system (2) can be achieved, are set.
Q = 12 0 0 0 0 0 0 16 0 0 0 0 0 0 20 0 0 0 0 0 0 12 0 0 0 0 0 0 20 0 0 0 0 0 0 14 , R = 0.001 0 0 0 0.002 0 0 0 0.015 .
Then, we can obtain a qualified solution P and a corresponding controller gain K as below
P = 30.5407 0.0042 0 32.8636 0.1238 0 0.0042 45.1365 0 0.1011 53.6654 0 0 0 82.7805 0 0 164.3151 32.8636 0.1011 0 83.6389 0.0726 0 0.1238 53.6654 0 0.0726 151.3918 0 0 0 164.3151 0 0 680.1108 ,
K = 109.5452 0.3371 0 278.7964 0.2421 0 0.2064 89.4424 0 0.1211 252.3197 0 0 0 36.5145 0 0 151.1357 .
Remark 5.
Note that the best results obtained through numerous experiments in trial and error were chosen to be compared to ensure the fairness of the comparison in the above three cases.
Furthermore, the illustration of the trajectory x T ( t ) R x ( t ) of the designed spacecraft rendezvous system in the cases of finite-time contractive stabilization, Lyapunov asymptotic stabilization, and LQR control are shown in Figure 2, where x T ( t ) R x ( t ) -FTCS, x T ( t ) R x ( t ) -LAS, and x T ( t ) R x ( t ) -LQR denote the trajectory of x T ( t ) R x ( t ) under the finite-time contractive stabilization, the Lyapunov asymptotic stabilization, and LQR control, respectively.
In Figure 2, the curve “ x T ( t ) R x ( t ) -FTCS” indicates that for given x ( 0 ) = [ 750 , 650 , 550 , 0 , 0 , 0 ] T , which satisfies x T ( 0 ) R x ( 0 ) = 1.2875 × 10 6 < 1.3 × 10 6 , x T ( t ) R x ( t ) < 2.5 × 10 6 holds, ∀t [ 0 , 40 ] , x T ( t ) R x ( t ) < 1.0 × 10 4 holds, ∀t [ 10 , 40 ] . Hence, according to Definition 1, the designed spacecraft rendezvous system is finite-time contractively stable w.r.t. ( 1.3 × 10 6 , 2.5 × 10 6 , 1.0 × 10 4 , I , 10 , 40 ) under finite-time contractive stabilization. In addition, the curve “ x T ( t ) R x ( t ) -LAS” shows that the trajectory of x T ( t ) R x ( t ) reaches the bound c 3 at 7.947 s for the first time under the case of Lyapunov asymptotic stabilization; however, it escapes from the bound at the time interval [ 10 , 14.022 ] . Hence, the designed spacecraft rendezvous system is Lyapunov asymptotically stable but is not finite-time contractively stable w.r.t. ( 1.3 × 10 6 , 2.5 × 10 6 , 1.0 × 10 4 , I , 10 , 40 ) in this case, which verifies the conclusion that if a system is finite-time contractively stable, it must be Lyapunov asymptotically stable, but not vice versa.
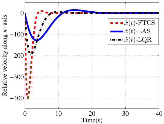
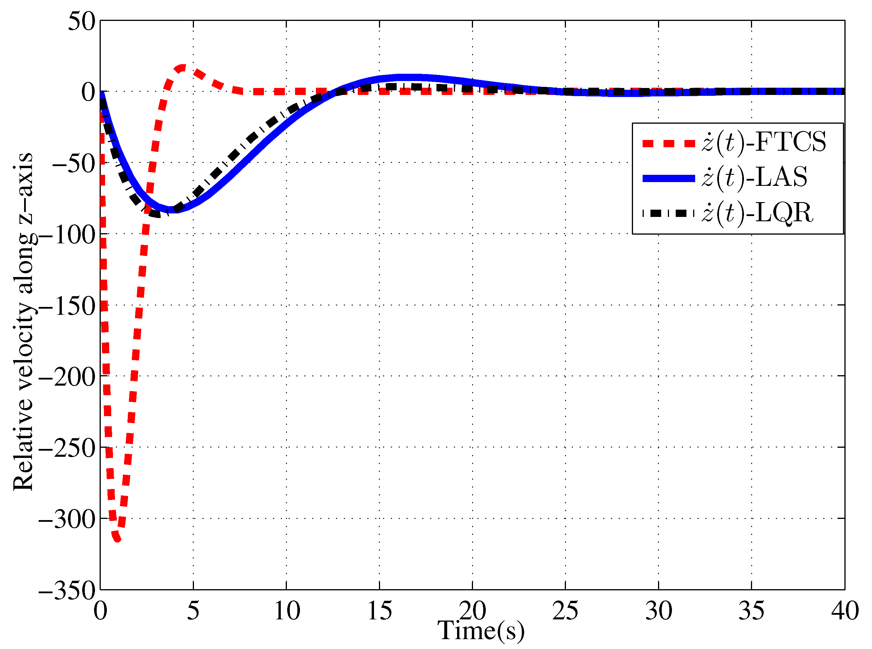
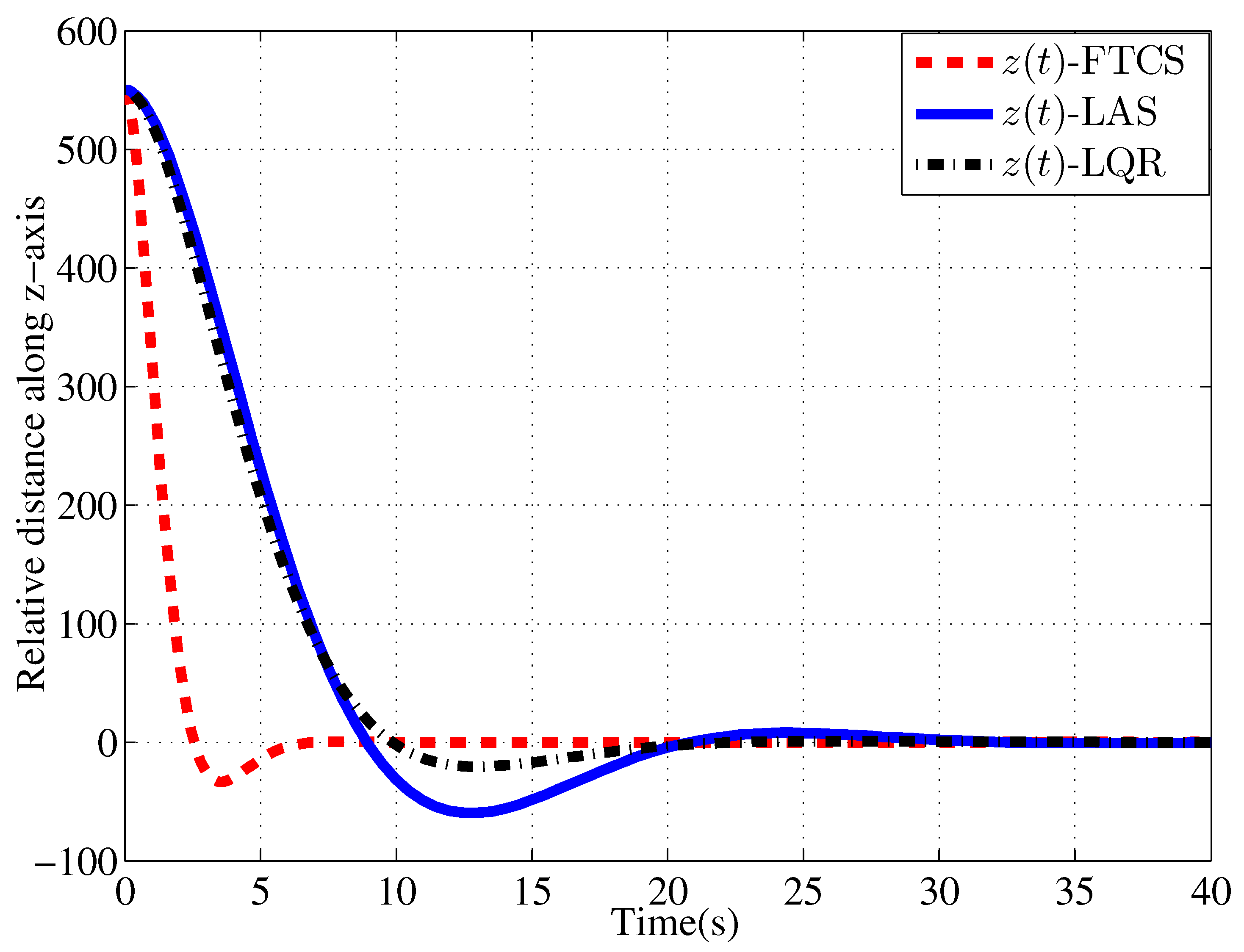
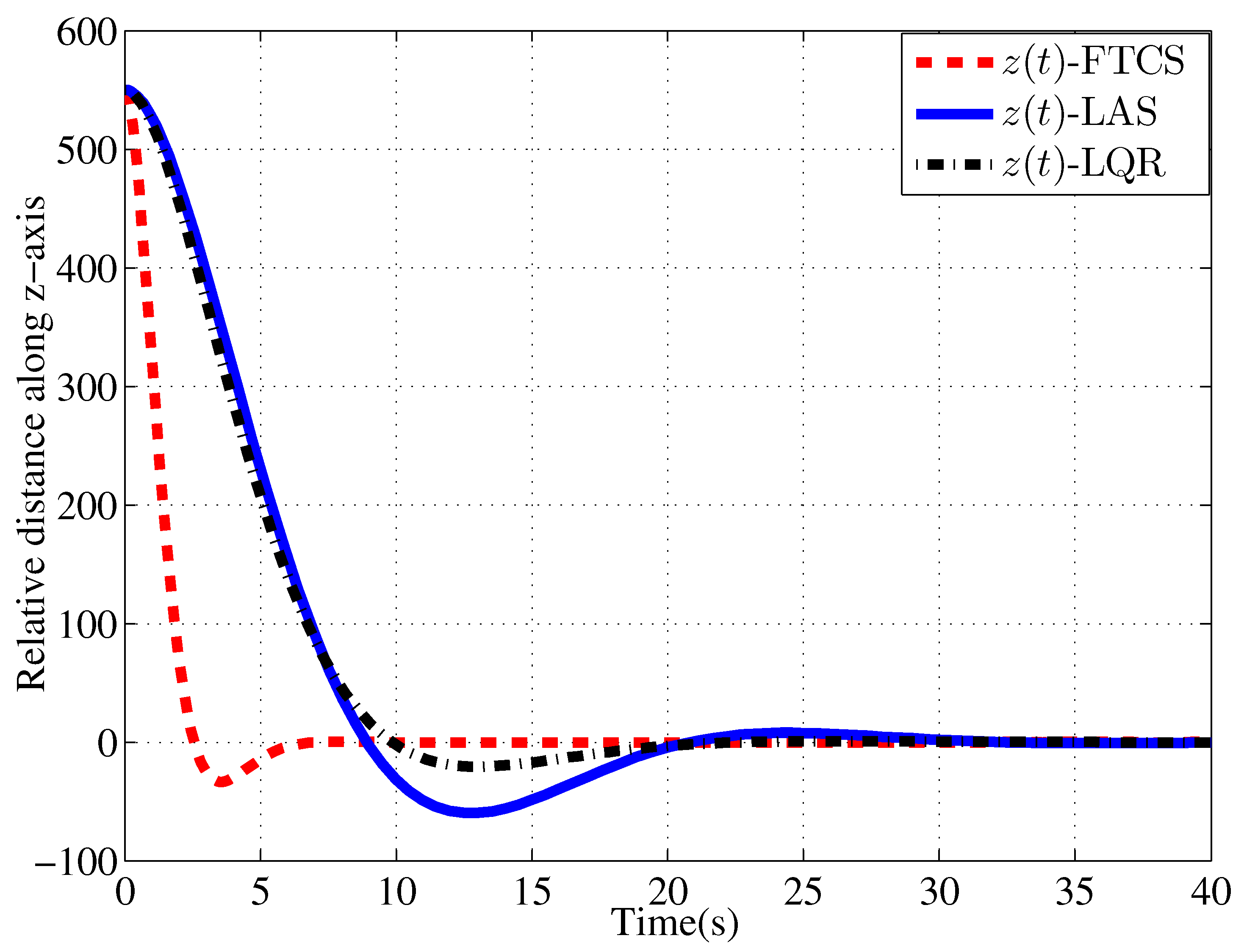
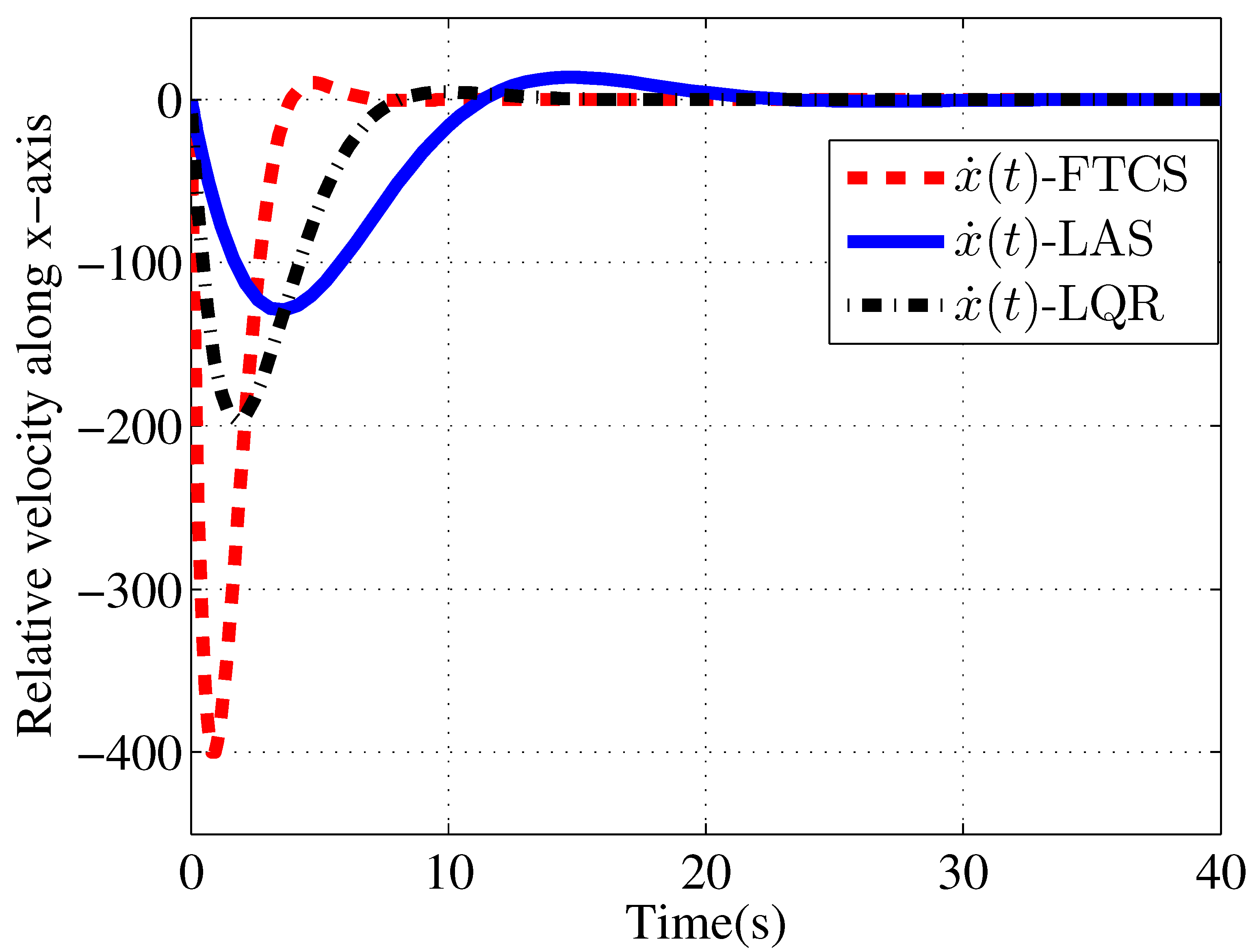
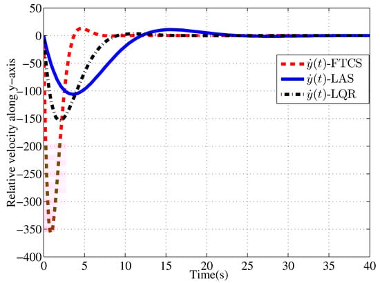
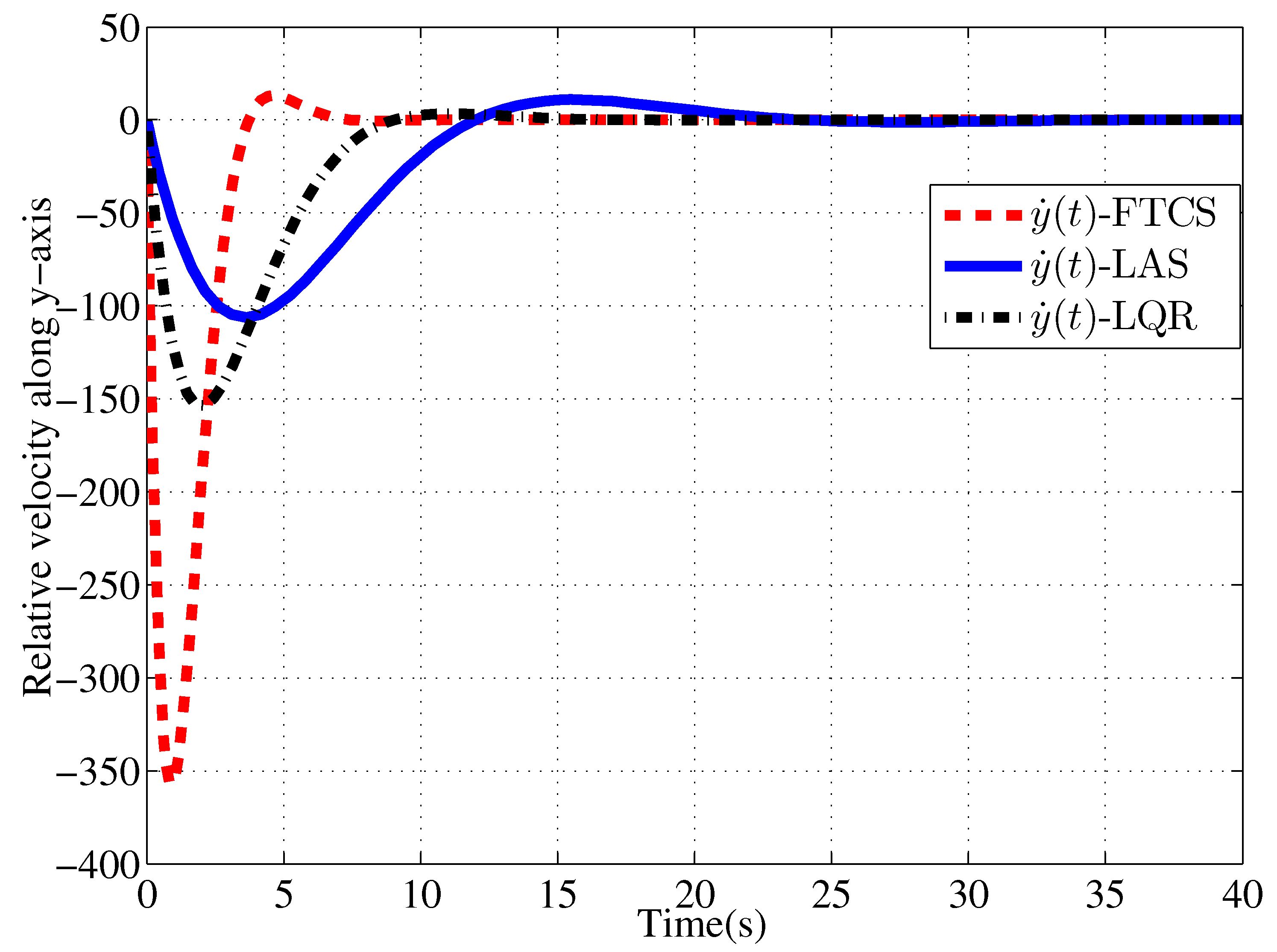
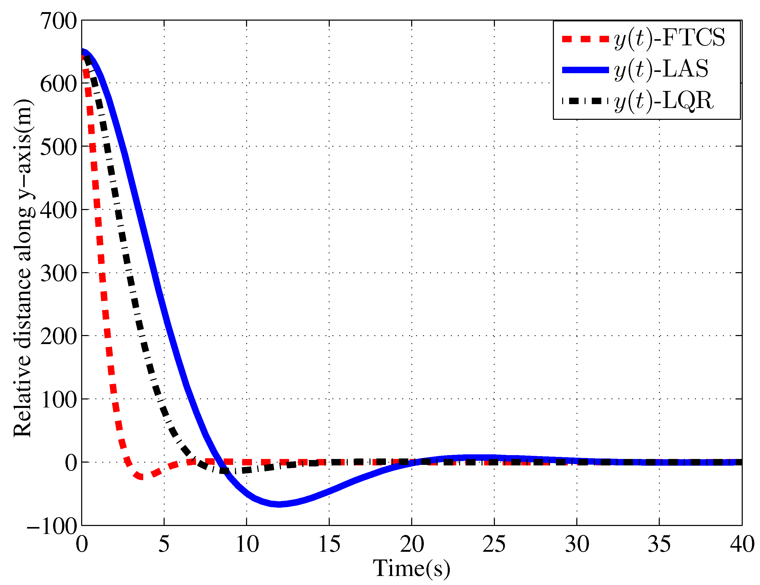
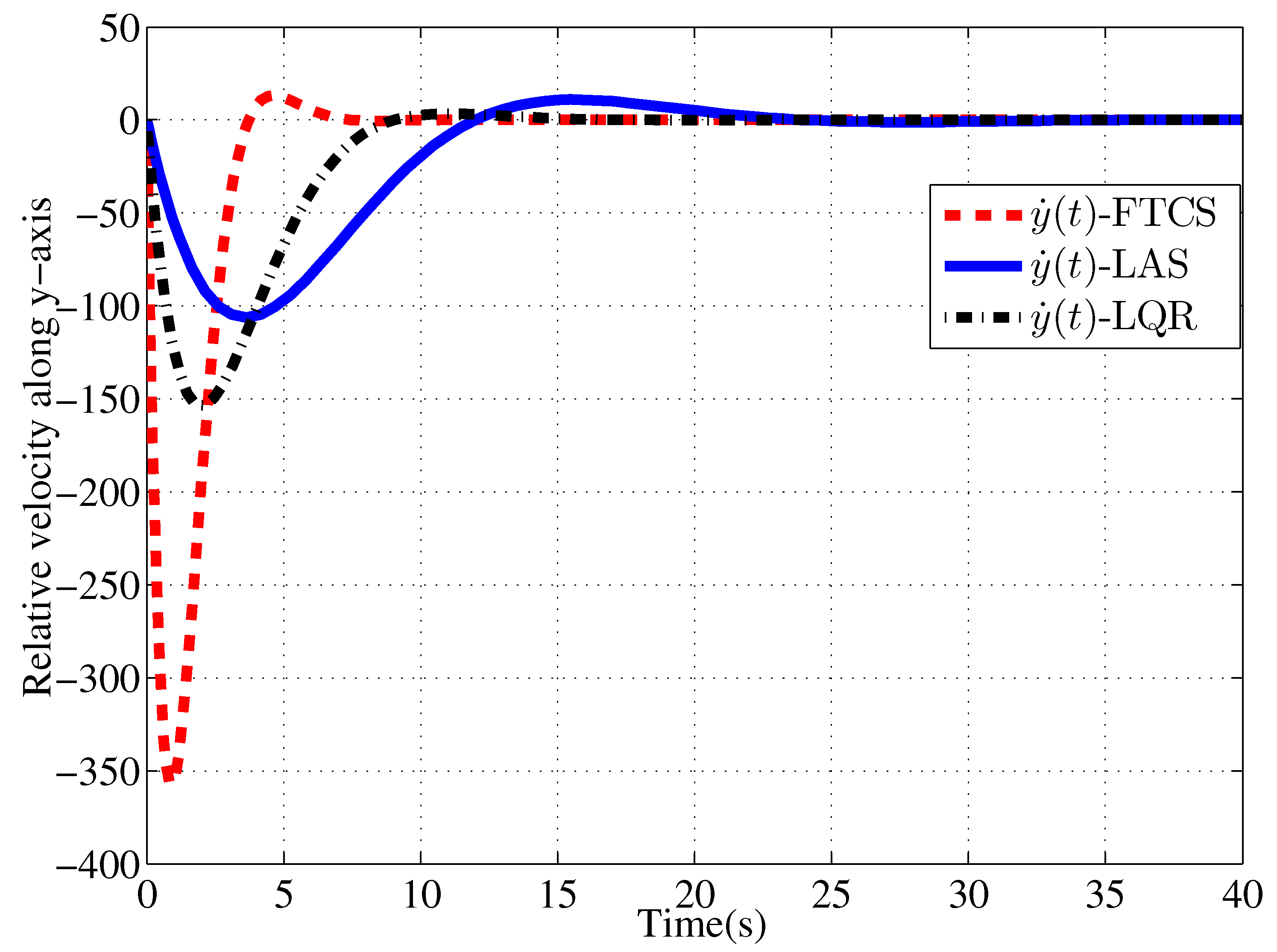
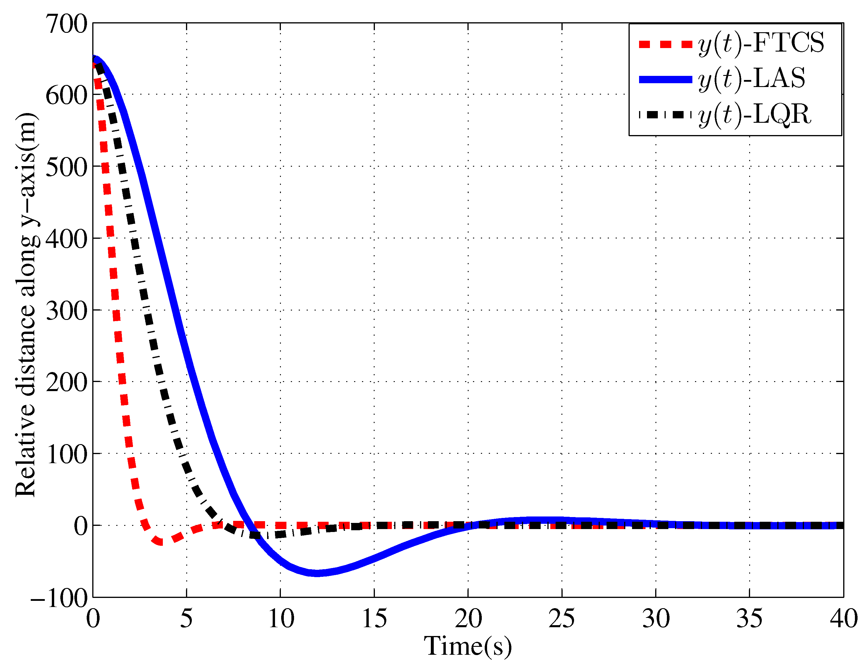
The trajectories of relative position and velocity under different control laws are presented in Figure 3, Figure 4, Figure 5, Figure 6, Figure 7 and Figure 8. Moreover, the distribution diagram of pole points of the resulting closed-loop system from input u 1 to all outputs ( y 1 , y 2 , y 3 ) is shown in Figure 9. (Such diagrams from u 2 , u 3 to all outputs ( y 1 , y 2 , y 3 ) are the same as that from u 1 to all outputs in this case. Here, they are not listed for simplicity.) It follows from Figure 3, Figure 4, Figure 5, Figure 6, Figure 7 and Figure 8 that the relative position and velocity of the considered two spacecrafts along the x ,   y , and z axes gradually reduce to 0 under cases of finite-time contractive stabilization and Lyapunov asymptotic stabilization. This indicates that the spacecraft rendezvous can be achieved through the use of the designed controllers. Furthermore, comparing x ( t ) -FTCS, …, z ˙ ( t ) -FTCS with x ( t ) -LAS, …, z ˙ ( t ) -LAS and x ( t ) -LQR, …, z ˙ ( t ) -LQR, respectively, it is attained that in the case of finite-time contractive stabilization, the achievement of the spacecraft rendezvous is quicker than that in the case of Lyapunov asymptotic stabilization and LQR control, from which it can be concluded that the convergence performance for finite-time contractive stability can be better than Lyapunov asymptotic stability. This conclusion can also be supported intuitively by Figure 9, where poles in the FTCS case that all lie on the left of “ s = α ” are definitely farther from the imaginary axis than that in the LAS and LQR cases.
In addition, according to the simulation results, if assuming that the chaser spacecraft needs to approach the target spacecraft within a short enough t s , there is no doubt that the strength of thrust of the chaser spacecraft is suffering challenges in the consideration of finite-time contractive stabilization in this paper, and thus, the corresponding cased energy consumption has to be accommodated. Actually, a balance between the expected t s and acceptable strength of thrust is needed in practice.

5. Conclusions

The finite-time contractive control problem for spacecraft rendezvous was investigated in this paper. Based on the Lyapunov stability theory, the existence condition of the finite-time contractive controller was established. The cone complementary linearization technique was adopted to make the controller design numerically tractable. An illustrative example showed the effectiveness of the proposed controller. Considering that the state unavailability and noise of the spacecraft rendezvous system, which we ignored in this paper, commonly need to be considered in practice, the future research interests of this paper include the robust finite-time contractive boundedness control issue for an uncertain spacecraft rendezvous system with disturbance and noise effects under observer-based dynamic output feedback control, and the guaranteed cost finite-time contractive stabilization issue for an uncertain spacecraft rendezvous system with/without disturbances and noise effects.

Author Contributions

Methodology, M.L.; Formal analysis, B.Z.; Writing—original draft, J.S.; Writing—review & editing, Y.G. All authors have read and agreed to the published version of the manuscript.

Funding

This research was funded by National Natural Science Foundation of China grant number 11972130.

Conflicts of Interest

The authors declare no conflict of interest.

References

  1. Yamanaka, K.; Ankersen, F. New state transition matrix for relative motion on an arbitrary elliptical orbit. J. Guid. Control Dyn. 2002, 25, 60–66. [Google Scholar] [CrossRef]
  2. Clohessy, W.H.; Wiltshire, R.S. Terminal guidance system for satellite rendezvous. J. Aerosp. Sci. 1960, 27, 653–658. [Google Scholar] [CrossRef]
  3. Tschauner, J.; Hempel, P. Rendezvous Zueinem in Elliptischer Bahn Umlaufenden Ziel. Astronaut. Acta 1965, 11, 104–109. [Google Scholar]
  4. Sheng, D.; Yang, X.; Karimi, H.R. Robust control for autonomous spacecraft evacuation with model uncertainty and upper bound of performance with constraints. Math. Prob. Eng. 2014, 2014, 589381. [Google Scholar] [CrossRef]
  5. Yang, X.; Gao, H. Guaranteed cost output tracking control for autonomous homing phase of spacecraft rendezvous. J. Aerosp. Eng. 2011, 24, 478–487. [Google Scholar] [CrossRef]
  6. Guo, Y.; Zhang, D.; Li, A. Finite-time control for autonomous rendezvous and docking under safe constraint. Aerosp. Sci. Technol. 2021, 109, 106380. [Google Scholar] [CrossRef]
  7. Luo, W.; Zhou, B.; He, L.; Duan, G. Global stabilization of the spacecraft rendezvous system by delayed and bounded linear feedback. IEEE Trans. Syst. Man Cybern. Syst. 2020, 52, 1373–1384. [Google Scholar] [CrossRef]
  8. Zhang, K.; Liu, Y.; Tan, J. Semi-global finite-time stabilization of saturated spacecraft rendezvous system by dynamic event-triggered and self-triggered control. IEEE Trans. Aerosp. Electron. Syst. 2022, 58, 5030–5042. [Google Scholar] [CrossRef]
  9. Wang, Q.; Xue, A. Robust control for spacecraft rendezvous system with actuator unsymmetrical saturation: A gain scheduling approach. Int. J. Control 2018, 91, 1241–1250. [Google Scholar] [CrossRef]
  10. Huang, C.; Cao, T.; Huang, J. Autonomous Control of the Large-Angle Spacecraft Maneuvers in a Non-Cooperative Mission. Sensors 2022, 22, 8586. [Google Scholar] [CrossRef]
  11. Weiss, L.; Infante, E. Finite time stability under perturbing forces and on product spaces. IEEE Trans. Autom. Control 1967, 12, 54–59. [Google Scholar] [CrossRef]
  12. Onori, S.; Dorato, P.; Galeani, S. Finite time stability design via feedback linearization. In Proceedings of the 44th IEEE Conference on Decision and Control, Seville, Spain, 10–13 December 2005; pp. 4915–4920. [Google Scholar]
  13. Li, X.; Yang, X.; Song, S. Lyapunov conditions for finite-time stability of time-varying time-delay systems. Automatica 2019, 103, 135–140. [Google Scholar] [CrossRef]
  14. Cheng, J.; Xiang, H.; Wang, H. Finite-time stochastic contractive boundedness of Markovian jump systems subject to input constraints. ISA Trans. 2016, 60, 74–81. [Google Scholar] [CrossRef] [PubMed]
  15. Yang, X.; Li, X. Finite-time stability of nonlinear impulsive systems with applications to neural networks. IEEE Trans. Neural Netw. Learn. Syst. 2021, 34, 243–251. [Google Scholar] [CrossRef]
  16. Zhang, X.; Li, C.; Li, H. Finite-time stabilization of nonlinear systems via impulsive control with state-dependent delay. J. Frankl. Inst. 2022, 359, 1196–1214. [Google Scholar] [CrossRef]
  17. Wang, Z.; Sun, J.; Chen, J. Finite-time stability of switched nonlinear time-delay systems. Int. J. Robust Nonlinear Control 2020, 30, 2906–2919. [Google Scholar] [CrossRef]
  18. Zhang, T.; Li, X.; Song, S. Finite-Time Stabilization of Switched Systems Under Mode-Dependent Event-Triggered Impulsive Control. IEEE Trans. Syst. Man Cybern. Syst. 2021, 52, 5434–5442. [Google Scholar] [CrossRef]
  19. Joby, M.; Santra, S.; Anthoni, S.M. Finite-time contractive boundedness of extracorporeal blood circulation process. Appl. Math. Comput. 2021, 388, 125527. [Google Scholar] [CrossRef]
  20. Zhang, H.; Georgescu, P. Finite-time control of impulsive hybrid dynamical systems in pest management. Math. Methods Appl. Sci. 2014, 37, 2728–2738. [Google Scholar] [CrossRef]
  21. Yang, X.; Cao, X.; Gao, H. Sampled-data control for relative position holding of spacecraft rendezvous with thrust nonlinearity. IEEE Trans. Ind. Electron. 2011, 59, 1146–1153. [Google Scholar] [CrossRef]
  22. Song, X.; Zhou, S.; Zhang, B. A cone complementarity linearization approach to robust H∞ controller design for continuous-time piecewise linear systems with linear fractional uncertainties. Nonlinear Anal. Hybrid Syst. 2008, 2, 1264–1274. [Google Scholar] [CrossRef]
  23. Michel, A.; Porter, D. Practical stability and finite-time stability of discontinuous systems. IEEE Trans. Circuit Theory 1972, 19, 123–129. [Google Scholar] [CrossRef]
  24. Dorato, P. Short time stability in linear time-varying systems. In Proceedings of the IRE International Convention Record, New York, NY, USA, 20–23 March 1961; Part 4; pp. 83–87. [Google Scholar]
  25. Amato, F.; Ambrosino, R.; Ariola, M.; Cosentino, C.; De Tommasi, G. Finite-Time Stability and Control; Springer: Berlin/Heidelberg, Germany, 2014. [Google Scholar]
  26. El Ghaoui, L.; Oustry, F.; AitRami, M. A cone complementarity linearization algorithm for static output-feedback and related problems. IEEE Trans. Autom. Control 1997, 42, 1171–1176. [Google Scholar] [CrossRef]
  27. Dorato, P.; Cerone, V.; Abdallah, C. Linear-Quadratic Control: An Introduction; Simon & Schuster, Inc.: New York, NY, USA, 1994. [Google Scholar]
  28. Löfberg, J. YALMIP: A Toolbox for Modeling and Optimization in MATLAB. IEEE Int. Symp. Comput. Aided Control Syst. Des. 2004, 3, 282–289. [Google Scholar]
Figure 1. Coordinate frame.
Figure 1. Coordinate frame.
Mathematics 11 01871 g001
Figure 2. Evolution of x T ( t ) R x ( t ) under different control methods.
Figure 2. Evolution of x T ( t ) R x ( t ) under different control methods.
Mathematics 11 01871 g002
Figure 3. Relative position along x-axis under different control laws.
Figure 3. Relative position along x-axis under different control laws.
Mathematics 11 01871 g003
Figure 4. Relative position along y-axis under different control laws.
Figure 4. Relative position along y-axis under different control laws.
Mathematics 11 01871 g004
Figure 5. Relative position along z-axis under different control laws.
Figure 5. Relative position along z-axis under different control laws.
Mathematics 11 01871 g005
Figure 6. Relative velocity along x-axis under different control laws.
Figure 6. Relative velocity along x-axis under different control laws.
Mathematics 11 01871 g006
Figure 7. Relative velocity along y-axis under different control laws.
Figure 7. Relative velocity along y-axis under different control laws.
Mathematics 11 01871 g007
Figure 8. Relative velocity along z-axis under different control laws.
Figure 8. Relative velocity along z-axis under different control laws.
Mathematics 11 01871 g008
Figure 9. Distribution diagram of pole points from input u 1 to all outputs.
Figure 9. Distribution diagram of pole points from input u 1 to all outputs.
Mathematics 11 01871 g009
Disclaimer/Publisher’s Note: The statements, opinions and data contained in all publications are solely those of the individual author(s) and contributor(s) and not of MDPI and/or the editor(s). MDPI and/or the editor(s) disclaim responsibility for any injury to people or property resulting from any ideas, methods, instructions or products referred to in the content.

Share and Cite

MDPI and ACS Style

Sheng, J.; Geng, Y.; Li, M.; Zhu, B. Finite-Time Contractive Control of Spacecraft Rendezvous System. Mathematics 2023, 11, 1871. https://doi.org/10.3390/math11081871

AMA Style

Sheng J, Geng Y, Li M, Zhu B. Finite-Time Contractive Control of Spacecraft Rendezvous System. Mathematics. 2023; 11(8):1871. https://doi.org/10.3390/math11081871

Chicago/Turabian Style

Sheng, Jing, Yunhai Geng, Min Li, and Baolong Zhu. 2023. "Finite-Time Contractive Control of Spacecraft Rendezvous System" Mathematics 11, no. 8: 1871. https://doi.org/10.3390/math11081871

APA Style

Sheng, J., Geng, Y., Li, M., & Zhu, B. (2023). Finite-Time Contractive Control of Spacecraft Rendezvous System. Mathematics, 11(8), 1871. https://doi.org/10.3390/math11081871

Note that from the first issue of 2016, this journal uses article numbers instead of page numbers. See further details here.

Article Metrics

Back to TopTop