Modified Picard-like Method for Solving Absolute Value Equations
Abstract
1. Introduction
| Algorithm 1:Picard Iteration Method (PIM). |
Suppose that is an initial guess for the solution of (3), is the target accuracy, and (1, 2, …, p, where p is a positive integer) is a splitting for matrix A, where exists. We compute by using the following iteration: 1. Input ; 2. Solve the following equations to obtain , where is a positive integer.
3. Set ; 4. End the iteration when ; 5. Output . |
2. Modified Picard-like Iteration Method
2.1. General Matrix Splitting Iteration
| Algorithm 2:General Splitting Iteration Method (GSIM). |
Suppose that is an initial guess for the solution of (3), is the target accuracy, , and is a splitting for matrix A. We compute by using the following iteration: 1. Input . 2. Solve the following equations to obtain , 3. End the iteration when . 4. Output . |
2.2. Modified Picard-like Iteration Method
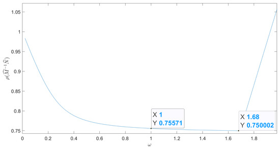
2.3. Range of
2.4. Quasi-Optimal Value of
3. Numerical Examples
| Algorithm 3:Modified Picard-Like Iteration Method (MPIM). |
Suppose that is an initial guess for solution of (3), is the target accuracy, , and (1, 2, …, p) is a splitting for matrix A, where exists. We compute by using the following iteration: 1. Input . 2. Solve the following equations to obtain , 3. Set . 4. Set . 5. End the iteration when . 6. Output . |
3.1. An Application
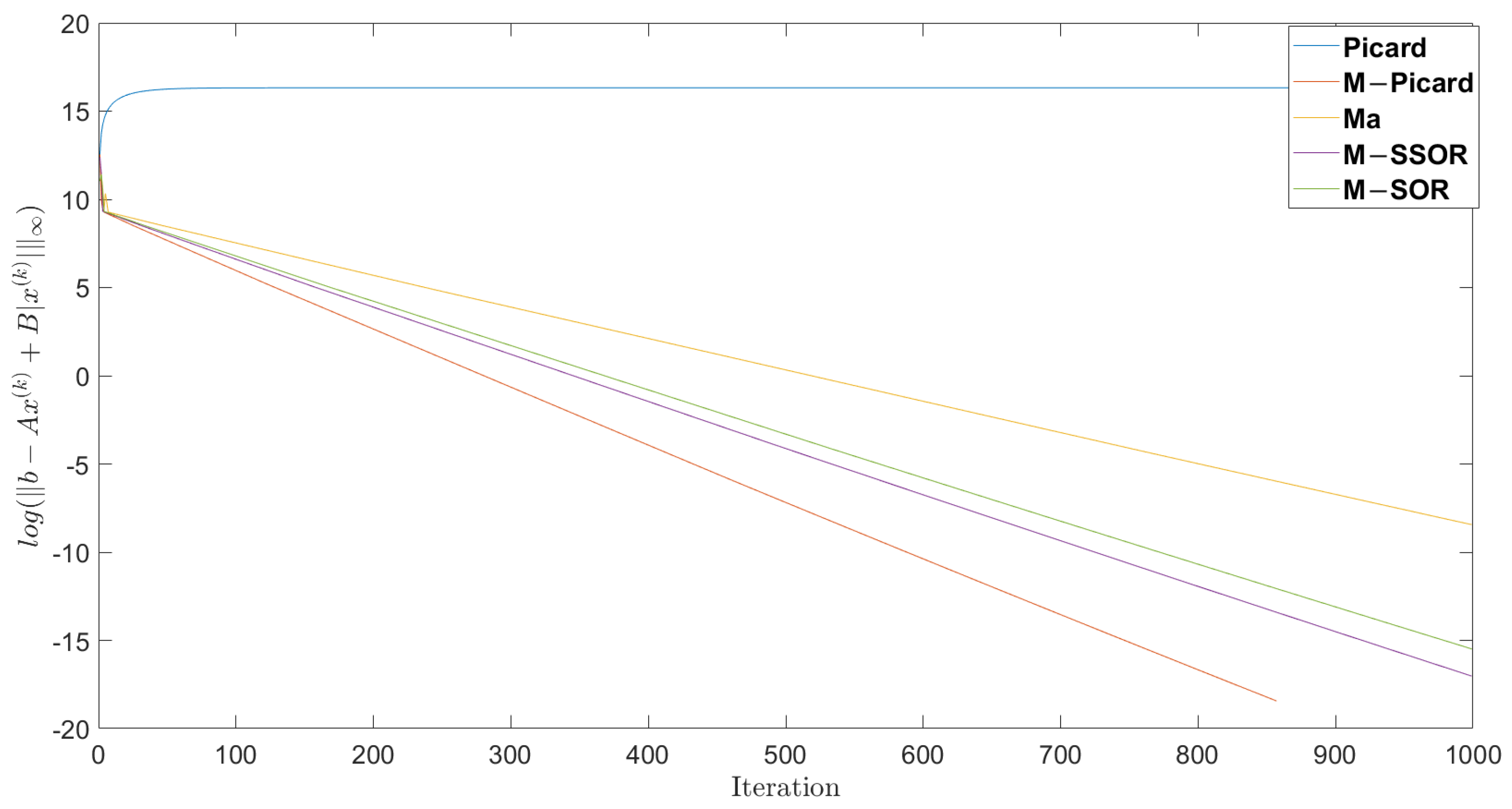
3.2. General Splitting Iteration Method
3.3. Modified Picard-like Iteration Method
4. Conclusions
Author Contributions
Funding
Data Availability Statement
Conflicts of Interest
References
- Rohn, J. A theorem of the alternatives for the equation Ax+B|x|=b. Linear Multilinear Algebra 2004, 52, 421–426. [Google Scholar] [CrossRef]
- Mangasarian, O.L. Absolute value equation solution via concave minimization. Optim. Lett. 2007, 1, 3–8. [Google Scholar] [CrossRef]
- Mangasarian, O.L. A hybrid algorithm for solving the absolute value equation. Optim. Lett. 2015, 9, 1469–1474. [Google Scholar] [CrossRef]
- Mangasarian, O.L.; Meyer, R.R. Absolute value equations. Linear Algebra Appl. 2006, 419, 359–367. [Google Scholar] [CrossRef]
- Noor, M.A.; Iqbal, J.; Al-Said, E. Residual iterative method for solving absolute value equations. Abstr. Appl. Anal. 2012, 2012, 406232. [Google Scholar] [CrossRef]
- Noor, M.A.; Iqbal, J.; Noor, K.I.; Al-Said, E. On an iterative method for solving absolute value equations. Optim. Lett. 2012, 6, 1027–1033. [Google Scholar] [CrossRef]
- Noor, M.A.; Iqbal, J.; Noor, K.I.; Al-Said, E. Generalized AOR method for solving absolute complementarity problems. J. Appl. Math. 2012, 2012, 743861. [Google Scholar] [CrossRef]
- Ketabchi, S.; Moosaei, H. An efficient method for optimal correcting of absolute value equations by minimal changes in the right hand side. Comput. Math. Appl. 2012, 64, 1882–1885. [Google Scholar] [CrossRef]
- Ketabchi, S.; Moosaei, H. Minimum norm solution to the absolute value equation in the convex case. Optim. Theory Appl. 2012, 154, 1080–1087. [Google Scholar] [CrossRef]
- Ketabchi, S.; Moosaei, H.; Fallhi, S. Optimal error correction of the absolute value equations using a genetic algorithm. Comput. Math. Model. 2013, 57, 2339–2342. [Google Scholar] [CrossRef]
- Moosaei, H.; Ketabchi, S.; Noor, M.A.; Iqbal, J.; Hooshyarbakhsh, V. Some techniques for solving absolute value equations. Appl. Math. Comput. 2015, 268, 696–705. [Google Scholar] [CrossRef]
- Gottle, R.W.; Pang, J.S.; Stone, R.E. The Linear Complementarity Problem; Academic Press: New York, NY, USA, 1992. [Google Scholar]
- Rohn, J. On unique solvability of the absolute value equation. Optim. Lett. 2009, 3, 603–606. [Google Scholar] [CrossRef]
- Wu, S.L.; Guo, P. On the unique solvability of the absolute value equation. J. Optim. Theory Appl. 2016, 169, 705–712. [Google Scholar] [CrossRef]
- Wu, S.L.; Li, C.X. The unique solution of the absolute value equations. Appl. Math. Lett. 2018, 76, 195–200. [Google Scholar] [CrossRef]
- Li, C.X.; Wu, S.L. A note on unique solvability of the absolute value equation. Optim. Lett. 2020, 14, 1957–1960. [Google Scholar]
- Mangasarian, O.L. A generalized Newton method for absolute value equations. Optim. Lett. 2009, 3, 101–108. [Google Scholar] [CrossRef]
- Lian, Y.Y.; Li, C.X.; Wu, S.L. Weaker convergent results of the generalized Newton method for the generalized absolute value equations. Comput. Appl. Math. 2018, 338, 221–226. [Google Scholar] [CrossRef]
- Wang, A.; Cao, Y.; Chen, J.X. Modified Newton-type iteration methods for generalized absolute value equations. Optim. Theory Appl. 2019, 181, 216–230. [Google Scholar] [CrossRef]
- Edalatpour, V.; Hezari, D.; Salkuyeh, D.K. A generalization of the Gauss-Seidel iteration method for solving absolute value equations. Appl. Math. Comput. 2017, 293, 156–167. [Google Scholar] [CrossRef]
- Ke, Y.F.; Ma, C.F. SOR-like iteration method for solving absolute value equations. Appl. Math. Comput. 2017, 311, 195–202. [Google Scholar] [CrossRef]
- Guo, P.; Wu, S.L.; Li, C.X. On the SOR-like iteration method for solving absolute value equations. Appl. Math. Lett. 2019, 97, 107–113. [Google Scholar] [CrossRef]
- Li, C.X.; Wu, S.L. Modified SOR-like iteration method for absolute value equations. Math. Probl. Eng. 2020, 2020, 9231639. [Google Scholar]
- Ali, R.; Ahmad, A.; Ahmad, I.; Ali, A. The modification of the generalized Gauss-Seidel iteration techniques for absolute value equations. Comput. Algor. Numer. Dimen. 2022, 1, 130–136. [Google Scholar]
- Salkuyeh, D.K. The Picard-HSS iteration method for absolute value equations. Optim. Lett. 2014, 8, 2191–2202. [Google Scholar] [CrossRef]
- Zheng, L. The Picard-HSS-SOR iteration method for absolute value equations. J. Inequal. Appl. 2020, 2020, 258. [Google Scholar] [CrossRef]
- Lv, C.Q.; Ma, C.F. Picard splitting method and Picard CG method for solving the absolute value equation. Nonlinear Sci. Appl. 2017, 10, 3643–3654. [Google Scholar] [CrossRef]
- Dehghan, M.; Shirilord, A. Matrix multisplitting Picard-iterative method for solving generalized absolute value matrix equation. Appl. Numer. Math. 2020, 158, 425–438. [Google Scholar] [CrossRef]
- Ali, R.; Khan, I.; Ali, M.A.A. Two new generalized iteration methods for solving absolute value equations using M-matrix. AIMS Math. 2022, 7, 8176. [Google Scholar] [CrossRef]
- Yu, D.; Chen, C.; Yang, Y.; Han, D. An inertial inverse-free dynamical system for solving absolute value equations. J. Ind. Manag. Optim. 2023, 19, 2549–2559. [Google Scholar] [CrossRef]
- Hu, S.L.; Huang, Z.H.; Zhang, Q. A generalized Newton method for absolute value equations associated with second order cones. Comput. Appl. Math. 2011, 235, 1490–1501. [Google Scholar] [CrossRef]
- Iqbal, J.; Arif, M. Symmetric SOR method for absolute complementarity problems. Appl. Math. 2013, 2013, 172060. [Google Scholar] [CrossRef]
- Li, C.X. A modified generalized Newton method for absolute value equations. Optim. Theory Appl. 2016, 170, 1055–1059. [Google Scholar] [CrossRef]
- Wang, H.; Liu, H.; Cao, S. A verification method for enclosing solutions of absolute value equations. Collect. Math. 2013, 64, 17–18. [Google Scholar] [CrossRef]
- Cruz, J.Y.B.; Ferreira, O.P.; Prudente, L.F. On the global convergence of the inexact semi-smooth Newton method for absolute value equation. Comput. Optim. Appl. 2016, 65, 93–108. [Google Scholar] [CrossRef]





| n | 500 | 1000 | 2000 | 3000 | 4000 | 5000 | 6000 |
|---|---|---|---|---|---|---|---|
| SOR | |||||||
| Iteration | 46 | 47 | 48 | 49 | 49 | 50 | 50 |
| CPU Time(s) | 0.022361 | 0.085864 | 0.314504 | 0.825014 | 1.347516 | 2.122693 | 2.866091 |
| MGGS | |||||||
| Iteration | 46 | 47 | 48 | 48 | 49 | 49 | 49 |
| CPU Time(s) | 0.022301 | 0.090165 | 0.304298 | 0.844811 | 1.342616 | 2.120393 | 2.796891 |
| M-SOR | |||||||
| Iteration | 47 | 48 | 49 | 50 | 50 | 51 | 51 |
| CPU Time(s) | 0.022223 | 0.082626 | 0.304649 | 0.783727 | 1.381016 | 2.1367 | 2.979601 |
| M-SSOR | |||||||
| Iteration | 39 | 40 | 41 | 41 | 42 | 42 | 42 |
| CPU Time(s) | 0.020607 | 0.072805 | 0.290216 | 0.634203 | 1.089738 | 1.692161 | 2.458237 |
| MP-SSOR | |||||||
| 2 | 2 | 2 | 2 | 2 | 2 | 2 | |
| Iteration | 13 | 13 | 13 | 13 | 13 | 13 | 13 |
| CPU Time(s) | 0.01634 | 0.06855 | 0.232589 | 0.559356 | 0.993672 | 1.586937 | 2.206395 |
| i | 1 | 2 | 3 | 4 | 5 | 6 |
|---|---|---|---|---|---|---|
| PIM | ||||||
| 1 | 1 | 1 | 1 | 1 | 1 | |
| Iteration | 51 | 106 | 500 | 500 | 500 | 500 |
| CPU Time(s) | 0.245599 | 0.514312 | 2.329751 | 2.329751 | 2.329751 | 2.329751 |
| NAN | NAN | NAN | ||||
| MPIM | ||||||
| 0.66 | 0.66 | 0.66 | 0.66 | 0.66 | 0.66 | |
| 1 | 1 | 1 | 1 | 1 | 1 | |
| Iteration | 36 | 46 | 61 | 90 | 155 | 483 |
| CPU Time(s) | 0.186891 | 0.226695 | 0.285497 | 0.433709 | 0.723879 | 2.240295 |
| i | 1 | 2 | 3 | 4 | 5 | 6 |
|---|---|---|---|---|---|---|
| PIM | ||||||
| 1 | 1 | 1 | 1 | 1 | 1 | |
| Iteration | 31 | 42 | 58 | 87 | 153 | 500 |
| CPU Time(s) | 0.145542 | 0.186529 | 0.257494 | 0.396560 | 0.692243 | 2.372002 |
| MPIM | ||||||
| 1.28 | 1.1 | 1.1 | 1.1 | 1.1 | 1.1 | |
| 1 | 1 | 1 | 1 | 1 | 1 | |
| Iteration | 30 | 40 | 55 | 81 | 143 | 467 |
| CPU Time(s) | 0.137961 | 0.168187 | 0.230488 | 0.350071 | 0.613298 | 2.014428 |
Disclaimer/Publisher’s Note: The statements, opinions and data contained in all publications are solely those of the individual author(s) and contributor(s) and not of MDPI and/or the editor(s). MDPI and/or the editor(s) disclaim responsibility for any injury to people or property resulting from any ideas, methods, instructions or products referred to in the content. |
© 2023 by the authors. Licensee MDPI, Basel, Switzerland. This article is an open access article distributed under the terms and conditions of the Creative Commons Attribution (CC BY) license (https://creativecommons.org/licenses/by/4.0/).
Share and Cite
Liang, Y.; Li, C. Modified Picard-like Method for Solving Absolute Value Equations. Mathematics 2023, 11, 848. https://doi.org/10.3390/math11040848
Liang Y, Li C. Modified Picard-like Method for Solving Absolute Value Equations. Mathematics. 2023; 11(4):848. https://doi.org/10.3390/math11040848
Chicago/Turabian StyleLiang, Yuan, and Chaoqian Li. 2023. "Modified Picard-like Method for Solving Absolute Value Equations" Mathematics 11, no. 4: 848. https://doi.org/10.3390/math11040848
APA StyleLiang, Y., & Li, C. (2023). Modified Picard-like Method for Solving Absolute Value Equations. Mathematics, 11(4), 848. https://doi.org/10.3390/math11040848
