Abstract
The development of e-commerce and the green economy has prompted suppliers of green products to introduce internet channels by which products are directly sold to consumers. However, the emergence of “price wars” and “free riding” between the two channels after the introduction of online channels may affect the stability of the green supply chain. This paper uses optimization theory to investigate the impact of service spillover effects and different channel structures on the optimal decision of supply chain members in a Stackelberg game. By comparing the equilibrium outcomes of the single-channel and dual-channel supply chain in a setting with and without retail services, we observe that the supplier prefers to encroach on the market when services that retail locations provide largely spillover to and benefit the direct sales channel. Contrary to popular belief, a higher degree of service spillovers is beneficial for the retailer to achieve more returns under the dual-channel structure, whereas supplier encroachment will lead to a decline in the service level if the spillover degree is relatively low. In addition, the emission reduction level of products under supplier encroachment is always higher than that employed in the single-channel structure if consumers have both low-carbon preference and a high degree of service sensitivity. Finally, we expand our discussion by introducing the carbon cap-and-trade (CCT) mechanism to compare the conditions for achieving Pareto improvement under supplier encroachment. These results can provide helpful insights for decision-makers in supply chain management to implement effective channel selection and achieve sustainable development.
1. Introduction
In recent years, e-commerce, as a product of information technology for business operations, has been applied in many ways. This is especially true since the outbreak of COVID-19 in early 2020. Since then, internet channels have played an important role in confronting the supply chain challenges imposed by the pandemic, stimulating consumption recovery, and maintaining both the global supply chain and the industrial chain. According to an e-commerce trading platform survey released by China’s National Bureau of Statistics, Chinese annual e-commerce transactions rose by 4.5 percent, reaching CNY37.21 trillion in 2020, compared to 2019 [1] (Zhu et al., 2023). To avoid the risk of a single channel, many suppliers have opened their own online channels to sell the same products as offline retailers—a process known as supplier encroachment. Companies such as Apple, Huawei, and Samsung have established their own direct channels, helping them implement self-operated distribution channels [2]. The convenience of an internet channel also provides consumers with more shopping options. For example, consumers can easily browse and quickly obtain a significant amount of product information via online shopping. This information can then be used to make informed purchases of various domestic and foreign products with few geographical restrictions. In fact, some consumers may first visit a brick-and-mortar store to experience the retail service only to purchase the product from an online store at a lower price—a phenomenon known as showrooming [3].
Two effects are repeatedly mentioned when discussing showrooming. The first is the cannibalization effect. When demand is constant, due to the existence of two types of sales channels in the market, the sales of products in the online channel will crowd out some of the sales originally belonging to the retail channel. Considering the price advantage of online channel sales, when the product substitution degree in both channels is high, retailers will lose potential consumers due to the supplier’s channel encroachment [4]. The second is the service spillover effect. Retailers provide sales services to consumers to promote product sales, but consumers who receive the services are ultimately influenced by various factors and make purchases through online sales channels. Obviously, the service spillover effect has narrowed the service gap between the two channels and promoted the improvement of online channel profitability, and physical stores are gradually regarded as “exhibition halls” for online sales. This worsens the cooperative relationship between the supply chain members [5]. Therefore, there is a view that even if the supplier establishes an inactive direct channel, retailers will be worse off as a result of supplier encroachment [6]. Thus, retailers often regard the direct channel as an enormous threat, and the conflicts in a dual-channel system can become serious [7,8].
On the other hand, as environmental and energy-related problems have become increasingly prominent, many organizations seek to achieve sustainable development by curbing emissions. In March 2021, the People’s Bank of China held a forum on optimizing and adjusting the credit structure of twenty-four major banks, preparing to set up carbon emission reduction support tools to further bolster the investment in carbon abatement programs. In this context, some corporations are taking action to enhance their environmental protection efforts. For instance, multinational companies including Microsoft, Nike, Starbucks, and Unilever have formed a new consortium called TransformtoNetZero, which is devoted to sharing information and resources for reducing carbon emissions. Yet, here as well—although the significance of sustainable development has been widely recognized—the suppliers’ green strategies may encourage free riding. If only emission reduction in production is considered, a retailer can expand their market share and gain a greater competitive advantage without paying any emission abatement-related costs [9]. This is clearly not conducive to maintaining supply chain partnerships, which may lead to production stagnation and a decline in supply chain collaboration performance, ultimately adversely affecting the profits of supply chain participants. Considering the supplier encroachment and spillover effects of retailer services, the distribution of low-carbon products may involve a bidirectional free-riding question, which raises additional questions regarding the relationship between green supply chain members.
Brick-and-mortar stores not only provide customers with immediate product acquisition but also offer show rooms with product demonstrations, the ability to sample products, and the presence of a salesclerk [3,10]. This provides consumers with a more engaging consumption experience. The promotion of low-carbon offerings in this offline channel may improve the sale of sustainable products and therefore contribute to carbon emission reductions. However, the current literature on the sale and channel selection of green products focuses almost exclusively on pricing and emission reduction decision-making in dual-channel supply chains, neglecting the effect of service spillovers. To our knowledge, no prior study has studied these effects on emission reduction strategies and channel decisions, which we might expect to differ from conventional dual-channel chains. This distinguishes our work from other similar studies in the literature. With this study, we hope to provide a theoretical reference for these phenomena by exploring the following issues:
- (1)
- How do consumers’ low-carbon preferences and service sensitivity affect suppliers’ emission reduction and channel selection decisions?
- (2)
- Under a dual-channel structure, how do service spillovers affect the decision-making of supply chain members?
- (3)
- When suppliers exploit online channels to introduce competition, which decisions can retailers make to respond to showrooming?
- (4)
- What effect do carbon cap-and-trade (CCT) mechanisms and/or low-carbon policies have on the realization of a win-win outcome?
To answer these questions and clarify the decision-making process of green supply chains while considering both supplier encroachment and retailer service spillover, we consider a two-echelon supply chain consisting of one supplier that plans to reduce emissions and one retailer providing services for consumers. The supplier also has the option to sell products directly to consumers by opening an internet channel.
Figure 1 shows that under the dual-channel structure, the retailer’s inputs into service may spillover to, and benefit, the direct channel. We use a Stackelbreg model to investigate the influence of consumers’ low-carbon preferences as well as the service spillover effect on a green supply chain participant’s decision-making while maintaining the perspective of sales channel selection and environmental impact reduction. As such, we develop four models based on different channel structures and service strategies.
Figure 1.
The single-channel/dual-channel green supply chain framework.
Our research contributes to the existing literature in multiple ways. As detailed above, this paper studies strategies of channel selection and emission reduction in a supply chain with consideration of the retail service and its spillover effects. We also conclude that under encroachment circumstances, the supplier is in a more advantageous position, and the level of emission reductions is improved. We also find that consumers’ low-carbon preferences can offset some of the adverse effects of supplier encroachment on retailers. We also discover, contrary to popular belief, that the greater the service spillovers, the more likely a retailer is to get returns from supplier encroachment. However, we also find that supplier encroachment leads to a decline in the service level provided by the retailer as well as retailer profits when the spillover effect is relatively weak. Finally, based on an extended discussion of equilibrium outcomes under the CCT mechanism, we establish the theoretical relationship between carbon price and supplier encroachment, and we validate that when considering supplier encroachment and service spillover effects, a mechanism design based on incentivizing the supplier to reduce emissions can promote the realization of Pareto improvement.
Our research is presented as follows: Section 2 reviews the relevant literature, and Section 3 describes the model and related assumptions. Then, Section 4 provides the optimal decision and equilibrium analysis for four scenarios. In Section 5, we further discuss the channel decision and service strategy with numerical analysis, and Section 6 presents an extended discussion of our models under a CCT mechanism. Finally, we summarize our study and offer insights into possible avenues for future research in Section 7. In addition, we have included proof of our conclusions in Appendix A, and provide variable annotations in Appendix B.
2. Literature Review
Our work is closely related to the literature surrounding channel decisions and their interference factor in a supply chain. Here, we review the relevant literature and discuss current research problems to emphasize our contribution.
Channel decision-making in a supply chain has become an important issue with the rapid development of e-commerce. Some scholars have found that supplier encroachment not only enhances supplier profits but that retailers can also benefit from an increase in marginal profit [11,12,13]. However, others have argued that more specific factors in the competition between channels, such as product quality in [14] and bargaining power in [6], indicate supplier encroachment can negatively impact retailers. Xu et al. [15] note that a dual-channel structure may result in manufacturers charging higher wholesale prices and damaging consumers’ interests, regardless of who builds the online channel, but particularly when retailers establish the online channel. Li et al. [16] investigate the service strategies of retailers confronted by manufacturer encroachment. Their results indicate that a service strategy can cause harm to manufacturers while benefiting retailers, which can help retailers regain market dominance and make manufacturers less competitive.
From the standpoint of sustainable management, the requirement of low-carbon operations will necessarily influence channel selection and operational decision-making. Thus, a large body of literature examines emission reduction strategies of supply chains that distribute green products. Ghosh and Shah [17] examine fashion supply chain models under different carbon emission abatement modes and analyze the impact of channel power structure on price, profit, and emission reduction levels. Beyond emission abatement in production, green strategies in other operating stages have been considered by some scholars, such as in green product design [18,19], inventory strategy [20,21], and consumer purchase behavior [22,23]. Moreover, some scholars have tried to motivate an increase in emission reductions by coordinating activities across the supply chain and proposing cost-sharing versus wholesale price premium contracts to coordinate a two-echelon supply chain and achieve a higher carbon emission reduction rate [24]. Similarly, Peng et al. [25] discuss the performance of a green supply chain with a quantity discount contract and a conventional revenue-sharing contract and design a new revenue-sharing contract based on an emission reduction subsidy to coordinate across the supply chain. However, this research is mostly restricted to distributing green products through the traditional, brick-and-mortar channel. Ranjan and Jha [26] explore pricing and green decisions in a dual-channel supply chain and coordination through a surplus profit-sharing mechanism. Zhang et al. [4] investigate carbon emission abatement and encroachment decisions under three different decision sequences. Their results indicate that with supplier encroachment, the retailer is always worse off unless consumers’ low-carbon preference is sufficiently high. Tao et al. [27] study the impact of consumers’ green awareness on manufacturers’ channel choices and discover that different levels of green awareness result in different channel strategies, ranging from a single resale channel to a hybrid channel, to a dual channel depending on the level of consumers’ green awareness. Liu and Sheng [28] construct a dual-channel supply chain model consisting of a single manufacturer and a retailer to determine the optimal pricing of supply chain members and minimum carbon emissions of the manufacturer in the two scenarios of centralized decision-making and decentralized decision-making, respectively. Our work is closely related to that of Ranjan and Jha [26], which considers the retailers’ efforts in sales strategies, including customer services, in the competition between channels. However, they assume that the retail channel only distributes non-green products and therefore ignore the cross-channel effect of the sales effort. Our study examines the spillover effect of retail services and its impact on emission reduction and channel decisions.
In a dual-channel supply chain, the services provided by retailers also have a spillover effect on the manufacturer’s channel decisions. Existing research has extensively discussed the impact of service spillovers on traditional sales channels. Shin [29] indicates that service spillover benefits both service providers and “free riders”, which is a win-win result. In contrast, Zhou et al. [10] investigate the pricing and service strategy of dual-channel supply chains but conclude that “free riding” always has a negative impact on the retailer’s profits. Xia and Niu [2] integrate the two views presented above and explore the equilibrium results of the retailer as the leader and follower, respectively. The results show that strong service spillovers could lead to a Pareto improvement (meaning that at least one individual benefits without worsening the situation of any other) if the retailer is not the leader. Furthermore, some studies have proposed solutions to reduce the negative effect of service spillovers. Chen et al. [30] propose a compensation agreement to coordinate a dual-channel supply chain subject to service spillovers. Mehra et al. [3] based on a comparative analysis between service strategies, demonstrate that retailers can pursue service differentiation as a long-term strategy to offset the impact of product display in a physical space. In recent studies, some scholars hold that cross-channel consumers are driven by different motivations, and so they combine the influence of “offline showrooming” and “online webrooming” in sales channel research [31,32]. Li et al. [16] demonstrate that retail services are profitable for supply chain members under certain circumstances, regardless of whether the retail service effort is endogenous or exogenous. The studies above have mostly focused on exploring retailers’ strategies under service spillover effects. There is scant literature on the strategies of the supplier (including strategies for carbon emission reductions) in the event they are subjected to the service spillover effect. Hence, we mainly focus on the supplier-dominant case and try to determine whether service spillovers motivate suppliers’ greening strategies. Our results can offer managerial insights for decision-makers to implement sustainable development strategies in the context of e-commerce.
Our study contributes to the literature in several ways. First, we establish a two-echelon supply chain, in which the supplier is a Stackelberg leader and the retailer a follower, differing from the model of a follower-supplier and a dominant-retailer. Second, we combine emission reduction and channel decisions in our model, in contrast to the current literature in which emission reduction and channel decisions are analyzed separately. Third, our study investigates the impact of service spillovers on emission reduction and channel decisions. To the best of our knowledge, our paper is the first to combine service spillovers in decisions of emission reduction and channel options.
3. The Model
We consider a supply chain consisting of a supplier (she) and an independent retailer (he). The supplier, as the Stackelberg leader of the green supply chain, needs to first determine the emission reduction level and wholesale price at first. Meanwhile, if a direct channel is established (with the fixed cost ), the supplier must also decide her output quantity . After that, the retailer buys at wholesale with the order quantity , and decides his service levels (if any). Ultimately, consumers buy the product through either the direct channel (if it exists) or the retail channel. The related variables are summarized in Table 1.
Table 1.
Notations for parameters and variables.
This paper analyzes the influence of retail services and the service spillover effect on emission reduction and channel decisions. Hence, we ignore the model of a single direct channel, where the retailer is not involved in the supply chain. On this basis, we discuss four different scenarios: a setting with and without retail services under a single channel and a setting with and without retail services under a dual-channel structure. To establish our model, we make the following assumptions, with reference to the literature:
Assumption 1.
The unit production cost is a nonnegative constant representing the fixed cost of producing a product. As cost management in dual-channel supply chains is not the focus of this study, we ignore supply chain costs including warehousing costs, management costs, and transaction costs to exclude the interference of these variables, which has been widely applied in the related literature [26]. The total carbon emission of unit production is related to , and a higher amount of emission reduction will increase the unit cost of carbon abatement. Thus, the cost function of emission reduction is denoted as [25]), where represents the cost coefficient of emission abatement. In order to ensure the profit functions are concave, we assume that and (see Appendix B), which follows Wang and Hong [9]. The service cost function is denoted by , where represents the retail service level, and is the cost coefficient of services, which is normalized in the model to emphasize the impact of the emission reduction cost. These cost function settings ensure that the marginal returns of the supplier’s emission reduction and the retailer’s service input diminish.
Assumption 2.
The potential demand of the market is sufficient, and consumers not only have low-carbon awareness but are also glad to receive consumer services from the retailer. Meanwhile, consumers are able to learn about a product’s degree of carbon abatement through a low-carbon label system [33]. When consumers have low-carbon preferences, they may be more willing to purchase environmentally friendly products, and a low-carbon labeling system can provide them with relevant information [34]. In the model, we capture consumers’ low-carbon preferences through the parameter . A larger value means that consumers are more sensitive to low-carbon products. In other words, the level of emission reduction by suppliers will have an impact on consumers’ willingness to purchase, which will ultimately be reflected in consumers’ demand functions for low-carbon products. Ji et al. [35] have also made similar assumptions. For simplicity, this article only considers carbon emissions produced by the supplier in the production process.
Assumption 3.
With the emergence of an internet channel, some consumers may first experience retail services in brick-and-mortar stores but eventually choose more affordable products from an online store. Similarly, we capture consumers’ service sensitivity through the parameter . A larger means that consumers are more sensitive to the sale services that retail locations provide. On this basis, we follow Xia and Niu [2] in assuming that the service activities in the retail channel may spill over to the internet channel with a certain spillover degree to describe the impact of service spillover effects on product demand in dual channels, where, and which also means consumers are more willing to browse offline and purchase online. and can be observed by the supplier.
Assumption 4
. The substitution degree indicates the degree of competition between the retail channel and the direct online channel. To describe the differences in the dual-channel sales environment, indicates the difference in sales between the retail channel and the direct channel. Therefore, the value of ) also reflects the level of competition between the dual channels. If consumers believe that buying products from two channels is completely different (such as suppliers offering different brands), then ; however, if consumers consider there is no difference in purchasing products through two channels, then [36].
Assumption 5.
Through the above assumptions, we ultimately use the utility function to describe the demand functions of each channel in the dual channel, which has been widely applied in supply chain management and marketing [37,38]. The utility function for consumers under the dual-channel structure is , where and represent consumers’ low-carbon preference and service sensitivity, respectively (). On this basis, consumer demand for low-carbon products can be captured by the inverse demand function as follows:
4. Equilibrium Solutions and Discussions in Four Scenarios
4.1. Single-Channel Structure
We consider a benchmark setting in which the product only sells via the traditional retail channel. At first, the supplier determines her green level and the wholesale for the retail channel. Subsequently, the retailer decides his order quantity and service level . Under the single-channel structure, the profit functions of the retailer and the supplier are:
We use “” to denote no retail services. In this scenario, the retailer optimizes decisions through the following objective function:
The optimization of Equation (5) yields the following optimal solution of order quantity: . Then, substituting into Equation (3) leads to the supplier’s objective function as follows:
The first-order condition of Equation (6) yields the optimal solution of the wholesale price and the optimal emission reduction level as follows: ; . Then, substituting (,) into , Equations (5) and (6), leads to the equilibrium outcomes of Scenario as shown in Table 2.
Table 2.
The equilibrium outcomes under the single-channel structure.
Second, we use “” to denote a setting with retail services. In Scenario , the retailer needs to decide the order quantity and the service level to maximize his profits. On this basis, the objective function of the retailer is determined as follows:
The first-order condition of Equation (7) yields the optimal solution of order quantity and the optimal service level as follows: . Substituting and into Equation (3) leads to the supplier’s objective function as follows:
Similarly, we can derive and from Equation (8), and then the equilibrium outcomes of Scenario can be obtained by substituting () into ,, Equations (7) and (8).
Lemma 1.
When the supplier only distributes through the direct channel, the equilibrium outcomes are shown in Table 2.
Proposition 1.
Under the single-channel structure, both the retailer and the supplier will be better off from the presence of retail services. The equilibrium outcomes of the two scenarios are compared as follows: ; ; ; .
Proposition 1 indicates that the optimal solution of emission reduction level and profits of supply chain members are positively affected by the presence of services under a single-channel structure. Specifically, the sales growth in brick-and-mortar stores also sees the supplier benefit from the increase in orders in the retail market (i.e., ). On this basis, the retailer can compensate for the emission abatement investment of the supplier by attracting more consumers to buy green products. This compensation fully encourages green production, even if suppliers are not directly involved in providing services, and still promotes the improvement of the emission reduction level (i.e., ). Ultimately, retail services further expand the retail market when consumers have both a low-carbon preference and service sensitivity, resulting in a win-win outcome.
Corollary 1.
(i), , , ;
(ii) , , . .
Corollary 1 states that the retailer will take the degree of greenness as the major selling point for the promotion of low-carbon products when consumers have a strong environmental consciousness. As increases, the retailer has more incentive to make its services available to customers, thus promoting the green product more effectively through pre-sale services under the single-channel structure (i.e., ). However, if consumers are more sensitive to product prices (i.e., decreases and approaches 0), the retailer will order less and reduce service costs to adjust the retail price. This is also why the optimal solution of service level decreases with the rising unit costs of emission abatement (i.e., ). With a shrinking green products market, the supplier decreases its investment in emission reductions, which eventually leads to a decline in the solution of emission reduction level.
A direct managerial implication from Proposition 1 and Corollary 1 is that according to different market requirements, the supplier and the retailer in the green supply chain can improve or reduce the added value of products through carbon reduction and service activities, respectively. This cooperation between supply chain members enables them to focus on their core business, thereby improving the efficiency of green production and distribution.
4.2. Dual-Channel Structure
The internet and e-commerce enable consumers to search, compare, and purchase products on electronic devices. While online shopping can offer consumers greater convenience and variety, there is greater unpredictability in product quality, as the consumer cannot physically see or interact with the product before purchase. As a result, some customers intuitively evaluate products and receive pre-sale services in brick-and-mortar stores before choosing to buy cheaper products from online stores. That is, retail services offered through the traditional channel may spill over to the internet channel when the supplier encroaches on the market. Here, we investigate the impact of the service spillover effect on emission abatement by comparing the models in settings with and without retail services. When a dual channel coexists in the market, as the leader of the Stackelberg game, besides the wholesale price and emission reduction level , the supplier also needs to decide on the output of the direct sales channel . Afterwards, the retailer decides the order quantity of the retail channel and the retail service level (if any). Hence, under the dual-channel structure, the profit functions of the retailer and the supplier are:
4.2.1. No Service Spillovers
We use “” to denote no service offerings under supplier encroachment. Substituting into Equation (9) leads to the retailer’s objective function in Scenario as follows:
The optimization of Equation (11) yields the following optimal solution of quantity:
Then, substituting into Equation (10) leads to the supplier’s objective function as follows:
The first-order condition of Equation (12) yields the optimal solution of wholesale price, the emission reduction level, and output quantity as follows:
Substituting (,) into , Equations (11) and (12), leads to the equilibrium outcomes of Scenario as shown in Table 3.
Table 3.
The equilibrium outcomes in the setting without retail services.
Lemma 2
. In the context where no retail service is offered, the supplier prefers to encroach by opening a direct channel, given that the fixed cost of establishing the direct channel is below the threshold (i.e., ). However, when the fixed cost of establishing the direct channel is above the threshold, the supplier will distribute through the retail channel only. The equilibrium outcomes of the model are concluded in Table 3.
Where .
Lemma 2 shows that with the increase in consumers’ low-carbon awareness, the supplier is more willing to encroach by opening a direct channel (). However, when emission reduction costs are significantly high, or supplier encroachment may lead to intensive channel competition, the supplier will choose to maintain the single-channel structure (; ). Moreover, if the retailer is ordering in the context of no retail services, there is no difference between the wholesale and retail purchase from online stores under a dual-channel structure (i.e., ), which also means that the supplier can get the maximum price advantage in the channel competition. In other words, the supplier can gain a competitive edge and expand her market share by providing price concessions to consumers. On this basis, we further analyze whether supplier encroachment necessarily results in a loss of margins for the retail channel, as shown in Proposition 2.
Proposition 2.
(i) , , ; (ii) if , otherwise ; (iii) and if ; while and if .
Where , and .
Proposition 2 indicates that under encroachment, the supplier’s profits and the optimal solution of emission reduction level are both better off. In addition, it seems reasonable that the supplier will set a higher wholesale price with the improvement of emission reductions. In fact, an increase in the wholesale price is not only due to the increasing investment in green production but also corresponds to the aforementioned channel competition. We can observe that with the strategy of no retail services, the retailer lacks effective measures to cope with potential channel competition, which often leads to a squeeze on the retail market under supplier encroachment. As a result, the induced channel competition by supplier encroachment lowers the retailer’s profits, unless the low-carbon preference of consumers is sufficiently high (i.e., , when ). On the other hand, when consumers have a strong sense of environmental consciousness, the retailer’s marginal revenue under a dual-channel structure is higher than that under a single-channel structure (i.e., , when ). This indicates that only when the low-carbon preference of consumers is sufficiently high can the supplier attract enough consumers with a strong sense of environmental consciousness, thus creating more profits in the process of selling products in retail channels, which improves the marginal revenue of retailers under the dual-channel structure. This process is similar to that of the principle proposed by Yoon [36], in which upstream suppliers invest in technological upgrades and create sufficient marginal benefits for product sales in retail channels through the spillover effects of product technology upgrades, ultimately achieving Pareto improvement under supplier encroachment.
Corollary 2.
(i) , , ;
(ii), ,
Corollary 2 demonstrates that the increasing low-carbon preference of consumers promotes emission reduction investments from the supplier, which is conducive to achieving a win-win outcome under supplier encroachment. However, neither the supplier nor the retailer would benefit from encroachment if the competition between both channels intensifies. In other words, the benefits brought by green production may be completely lost in channel competition, and therefore, the supplier might prefer to adopt a single-channel strategy.
As reported in Proposition 2 and Corollary 2, the retailer’s free riding of emission reductions could eventually lead to a decline in marginal revenue when the supplier adopts an aggressive channel competition strategy. However, when products are distributed through different channels, retail channels often have some service advantages in competition, such as being able to conduct more direct marketing through face-to-face interactions with consumers [10,31]. In addition, the sale services provided by offline channels also help to market products, improve customer satisfaction, and maintain customer relationships. On this basis, both upstream and downstream firms can complete the cross-enterprise division of emission reductions in the dual-channel supply chain. We elaborate on this in the following section on the service spillover effect.
4.2.2. Service Spillover
In the scenario of the presence of retail services under supplier encroachment, we consider both the output quantity of direct channel and the retail service level . In the Scenario , the objective function of the retailers is as follows:
The optimization of Equation (14) yields the optimal solution of order quantity and the service level as follows:
Then, substituting and into Equation (13) leads to the supplier’s objective function as follows:
The first-order condition of Equation (14) yields the optimal solution of wholesale price, the emission reduction level, and the output quantity as follows:
where and are shown in Appendix B.
Substituting (,) into , Equations (13) and (14), respectively, we obtain the equilibrium outcomes of Scenario as shown in Table 4.
Table 4.
The equilibrium outcomes in a setting with retail services.
Lemma 3.
In the setting with retail services, the supplier prefers to encroach on the market if the fixed cost of the direct channel is relatively low (i.e., ); otherwise, the supplier will still distribute through the retail channel only. The equilibrium outcomes of the model are concluded in Table 4.
Where .
Different from , as given in Lemma 2, the selling price of the direct channel is higher than the wholesale price when retail services are available (i.e., ). More specifically, the supplier’s profits will be affected due to the decreased service level if the supplier squeezes the retailer’s margins by raising the wholesale price. Hence, the supplier not only keeps the price advantage of the direct channel by offering a relatively low price but will also provide wholesale discounts to the retail channel under service spillovers. In this framework, supplier distribution through a dual-channel structure expands total demand by way of service spillovers. When the supplier encroaches on the market, the resultant change caused by the service spillover effect is summarized in Proposition 3.
Proposition 3.
The comparison of equilibrium outcomes between Scenario and Scenario are as follows: ; ; ; .
Proposition 3 directly reflects the influence of the spillover effect in that the quantity of sales in both the retail and direct channels increases with higher total demand for green products under the dual-channel structure. When service spillovers occur, the supplier can increase investment in emission abatement to pursue further growth in the green product market, which is also beneficial for the retailer, who will gain more profits under supplier encroachment. It can therefore be demonstrated from the comprehensive analyses of Proposition 1 and Proposition 3 that to cope with the changes in the channel environment and compensate for the supplier’s emission abatement investment, the retailer should correspondingly maintain a certain level of retail services, regardless of whether the supplier distributes the low-carbon product through a direct channel. In addition, the retailer, as the follower in the supply chain, makes service-level decisions affected by the supplier’s emission abatement and channel decisions. One may expect that the optimal solution for service level changes in the same direction as the optimal solution of emission reduction . However, the optimal service level does not always increase with the improvement in the supplier’s emission reduction levels under supplier encroachment. We explain this phenomenon further in Proposition 4.
Proposition 4.
The comparison of equilibrium outcomes between Scenario and Scenario are as follows:
- (i)
- ;
- (ii)
- if , otherwise ;
- (iii)
- and if , while and if .
Where .
Proposition 4 shows that on the one hand, supplier encroachment is more likely to occur when the service spillover effect is strong (). On the other hand, the increasing degree of spillover also promotes increasing investment in carbon emission abatement under the dual-channel structure. From the retailer’s perspective, consumers’ attitudes towards green products determine whether he can benefit from an improvement in emission reduction levels. Hence, the retailer is willing to provide a higher level of retail services only when consumers’ low-carbon preference increases markedly and reaches a tipping point (i.e., , when ); otherwise, he will be worse off from supplier encroachment, leading to a decline in the service level (i.e., and , when ). In addition, it can be concluded from that the spillover effect enhances the retailer’s ability to gain more revenue from supplier encroachment when consumers have a strong awareness of environmental protection ). The reason is that service spillovers have increased the level of emission reduction. With service spillover, the supplier, who gains more profits from increased demand, will increase her emission reduction level (i.e., for all ). Accordingly, the retailer can get returns from the rising sales in brick-and-mortar stores and therefore provide improved retail services to consumers.
Corollary 3.
(i) , , , ;
(ii) , , , ;
(iii) for all , however if , and if , especially when .
Where .
From Corollary 3 (i) and (ii), we know that on the one hand, consumers’ growing environmental awareness effectively promotes the cooperation of emission abatement strategies between supply chain members, which is similar to the conclusion of Corollary 2. On the other hand, as increases, approaching 1, the retailer’s price disadvantage becomes more significant. Hence, intensive channel competition decreases order quantity and service inputs from the retailer, ultimately resulting in a lower emission reduction level. A high degree of competition between both channels may lead to a reduction in Pareto improvement; this perspective has been widely explored in many studies on the channel selection of supply chains [4].
Furthermore, in Corollary 3 (iii), we discuss the impact of service spillovers on the emission reduction strategy and the service strategy. We suggest that a higher degree of service spillover contributes to an increase in the direct channel’s demand. Therefore, the supplier is more willing to enhance the emission reduction level and achieve a higher output quantity in a direct channel. However, we find that the service level decreases with a higher degree of service spillover when the spillover degree is below a certain threshold (i.e.,, when ). In contrast, the service level of the retailer increases with a higher degree of service spillover when the spillover degree is above a certain threshold (i.e.,, when ).
One explanation for this result is that in the relationship between the two firms, the supplier has price superiority and a service disadvantage in the competition between channels. When the service spillover degree is sufficiently high, the service disadvantage has no effect on the channel competition. Therefore, the supplier is more willing to reduce the wholesale price as compensation for the retailer’s service inputs. Although the retailer is limited by price competition, he finally obtains a higher marginal revenue from a lower wholesale price (i.e., , when ). In contrast, when the spillover degree is relatively low, the supplier’s service disadvantage becomes even more pronounced and therefore she needs to ensure a distinct price advantage to attract consumers buying online. As a result, the retailer would get a lower marginal revenue due to the spillover effect even when a certain wholesale discount is provided by the supplier (i.e., , when ). Further considering the costs of retail services, it is difficult for the retailer to compensate for the disadvantage of the selling price, and he finally must reduce his order quantity as well as his inputs in retail services.
Another possible explanation for these results is that with an increase in emission reduction levels, the promotion of green products in the retail market finally makes up for the loss of sales under supplier encroachment when the spillover degree is sufficiently high (i.e., , if ). Hence, the retailer has a greater incentive to enhance the service level to further expand the demand for green products.
From the above analyses, we find that a higher degree of service spillover is beneficial for the retailer in getting greater returns under supplier encroachment, and thus gives rise to a Pareto improvement. Although this result differs from the conventional view of service spillovers, there is also a perspective that retailers’ efforts towards emission abatement would improve the performance of a green supply chain [35]. This conclusion complements our research because when retail services attract more consumers to buy green products from the direct channel also, and improve the emission abatement level, the retailer’s service inputs also can be regarded as a joint effort towards emission reduction.
5. Service Strategy
In this section, we analyze the interactions that influence consumers’ low-carbon preference and service sensitivity to the retailer’s service strategy to obtain managerial insights. According to and , the retailer can always get returns from the setting with retail services. This implies that when a dual channel coexists in the market, the retailers have higher profits in the case of providing services.
5.1. Channel Decision
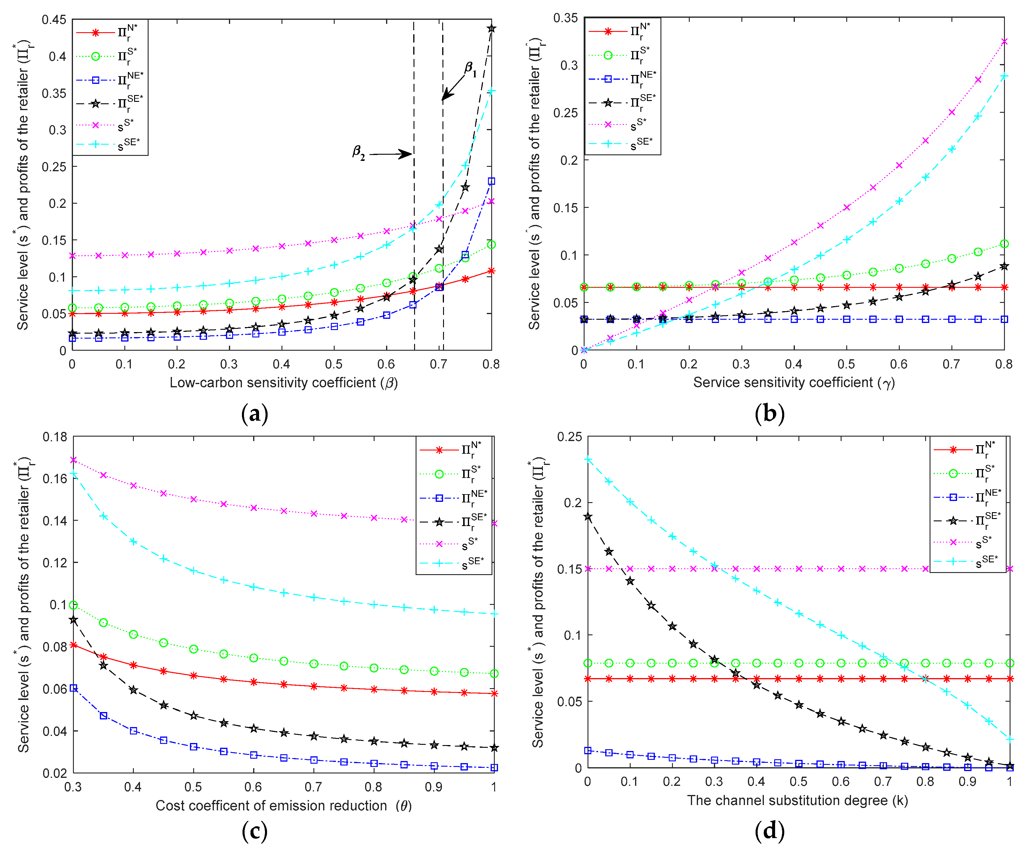
Figure 2a,b show that, as opposed to the impact on retailer service strategy, both the increasing low-carbon awareness of consumers and their service sensitivity will motivate supplier encroachment. On the one hand, a higher consumer low-carbon sensitivity coefficient increases the margins of the green product’s direct sales, thus providing suppliers with a market development opportunity. On the other hand, with the service spillover effect, the supplier also benefits from the increasing service sensitivity of consumers. In addition, Figure 2c,d show that the supplier would open an internet direct sales channel as long as the cost coefficient of emission abatement is modest, or supplier encroachment would not cause intense competition between channels. However, when the channel competition is too fierce, or the emission reduction costs are sufficiently high, supplier encroachment is unprofitable. As this section mainly explores the impact of service spillovers on suppliers’ decision-making, especially her channel and emission reduction decisions, we choose to primarily use the emission reduction cost coefficient to characterize the relevant conclusions. As such, we summarize the equilibrium results of service strategy and channel decisions, as shown in Table 5.
Figure 2.
Comparisons of supplier’s profit in the different scenarios. (a) (, ). (b) (, ). (c) (, ). (d) (, ).
Table 5.
Equilibrium analysis between the retailer’s service strategy and the supplier’s channel decision.
5.2. Service Strategy
Under the dual-channel structure, consumer preference has a different impact on the retailer’s service level, as shown in Figure 3a,b. When the low-carbon preference is relatively high (i.e.,), the retailer benefits from supplier encroachment and then provides services to consumers more efficiently. However, even if consumers are more sensitive to retail services (i.e., as increases and approaches 1), supplier encroachment still leads to a decline in the retailer’s profits. In other words, due to supplier encroachment and the service spillover effect, the benefit from the growth in sales brought by the increasing consumer service sensitivity is largely shifted to the supplier. Thus, the mere proliferation of retail services, in the absence of consumers’ low-carbon awareness, will not realize a Pareto improvement for the whole supply chain. On this basis, it can be concluded that compared with the service sensitivity of consumers, their low-carbon preference is the more important factor influencing the retailer’s service strategy under supplier encroachment.
Figure 3.
Comparisons of retailer’s profit in different scenarios. (a) (, ). (b) (, ). (c) (, ). (d) (, ).
On the other hand, with higher emission reduction costs or product substitution, supplier encroachment will give rise to a decline in service level, as shown in Figure 3c,d. When the cost of emission reduction is significantly high, to keep the price advantage of the direct channel, the supplier must share the cost of emission reduction through increasing wholesale prices (see Proposition 2). In this scenario, the distribution of green products through both channels at the same time may put greater price pressure on the retailer channel, and lead to bidirectional free riding between the retailer’s service inputs and the supplier’s emission reduction investments. Therefore, the cost coefficient of emission reduction and the channel substitution degree is the main factor that affects emission abatement cooperation between supply chain members, which we discuss in the following analysis of the supplier’s channel decision.
6. Extended Discussion
This study analyzes the emission reduction, service, pricing, and channel decision-making of supply chain participants under different channels and service strategies by incorporating supplier encroachment and service spillover effects into the optimal decision-making model of a green supply chain. However, there remains an unresolved question. Corollary 3 explores the conditions for the existence of Pareto improvement when both encroachment and service spillover are present. On this basis, we connect the findings of Proposition 3 and attribute the emergence of Pareto improvement to the condition where the higher level of service spillover effect incentivizes the supplier to increase emission reduction levels, while the low-carbon preference of consumers promotes the promotion of green products in the retail market, ultimately offsetting the sales loss caused by encroachment. This outcome may mean that the mechanism design based on incentivizing the supplier to reduce emissions can promote the realization of a Pareto improvement under the dual-channel structure. However, our research thus far is insufficient to prove this conclusion. Therefore, we incorporate a carbon cap-and-trade (CCT) mechanism into our decision-making model to help us illustrate this conclusion.
Carbon cap-and-trade regulations are currently widely recognized as one of the most effective market-based carbon emission control policies. Under these regulations, companies obtain emission rights from government agencies (the maximum amount is referred to as a “cap”), and any emissions exceeding this emission quota can be traded through the carbon market. Compared to the regulatory mode of carbon taxation alone, which guides companies’ emission behavior through charging fixed prices to companies, carbon cap-and-trade regulations achieve the goal of reducing total carbon emissions by directly controlling emissions. Many countries have already implemented such regulations; among them, the EU ETS established by Europe is the world’s largest emissions trading market. China has also been accelerating the exploration of carbon emission trading mechanisms in recent years and has approved the implementation of carbon emission trading in eight provinces.
Encouraging companies to reduce carbon emissions through introducing this mechanism has also been considered and applied in many studies. Hua et al. [21] explored inventory management decisions for companies under carbon trading mechanisms, and their results showed that both carbon quotas and carbon prices would have a significant impact on retailers’ optimal order quantities, carbon footprints, and total inventory costs. Du et al. [39] conducted a deep exploration of consumer low-carbon preferences under carbon cap-and-trade regulations on supplier production strategies, and their results were positive.
This section will not discuss the equilibrium results under Scenario N and Scenario NE because these two scenarios do not involve service spillover. Without changing the utility function, referring to the description of a CCT mechanism by Yi and Li [40] and Yuan et al. [41], the profit functions of the retailer and the supplier in the dual-channel supply chain are described as follows (relevant variables are marked with ‘~’):
Compared with the original profit function, under this mechanism, the incentive for emission reduction is achieved by introducing a carbon trading price ( > 0) to limit the additional emissions of suppliers in production that exceed the standard . Therefore, in the Scenario , the objective function of the retailer is:
The optimization of Equation (17) yields the optimal solution of order quantity and the service level as follows:
Then, substituting and into Equation (17) leads to the supplier’s objective function as follows:
The first-order condition of Equation (18) is as follows:
Substituting (,) into , , Equations (17) and (18), respectively, we can obtain the equilibrium outcomes of Scenario as shown in Table 6.
Table 6.
The equilibrium outcomes under the cap-and-trade mechanism.
Similarly, under the CCT mechanism, the retailer’s objective function in Scenario is as follows:
The optimization of Equation (19) yields the following optimal quantity: , Then, substituting and into Equation (16) leads to the supplier’s objective function as follows:
The first-order condition of Equation (20) is as follows:
Substituting (,) into , , Equations (19) and (20), respectively, we can obtain the equilibrium outcomes of Scenario as shown in Table 6.
Lemma 4.
Under the CCT mechanism, the supplier prefers to encroach on the market if the fixed cost of the direct channel is relatively low (i.e., ); otherwise, the supplier will still distribute through the retail channel only. The equilibrium outcomes of the model are concluded in Table 6.
Where .
Proposition 5.
Under a CCT mechanism, when the fixed cost is below a certain threshold (i.e., ), we reach the following conclusions:
- (i)
- ;
- (ii)
- and if , while and , if , Where, ;
- (iii)
- , .
Proposition 5 demonstrates that even if we consider the influence of low-carbon policies, the supplier still prefers to invest in emission reduction under the dual-channel structure rather than a single-channel structure. According to Proposition 4 (iii), under a carbon trading mechanism (i.e., ), the retailer is more likely to benefit from supplier encroachment (i.e., <). As a result, the implementation of the CCT mechanism is more likely to lead to a win-win outcome when the dual channel coexists in the market. This is also consistent with the assumption we made at the beginning of this section, that on the basis of promoting suppliers’ emission reduction investment, relevant mechanism design can play a role in promoting the realization of Pareto optimization. The practical significance of this conclusion is that when consumers are environmentally conscious, the low-carbon policy would enable a partial indirect transfer in the benefits from supplier encroachment to the retailer, thereby keeping stability in a dual-channel green supply chain system.
Similarly, when the service spillover effect is strong or customers attach more importance to the environmental protection characteristics of the product (i.e., , ), suppliers also have an increased incentive to encroach. This result indicates that under the CCT mechanism, the retailer benefits from the increase in marginal revenue and provides consumers with a higher level of sales service (similar to the conclusion in Proposition 2), thereby compensating for the carbon transaction costs of the supplier through service spillover effects in the dual-channel environment. Therefore, when dual channels exist simultaneously, the design of mechanisms to incentivize suppliers to reduce emissions can effectively alleviate the conflict between the two channels.
7. Conclusions
In this paper, we also introduce service spillover effects of retailer sales services and the impact of supplier encroachment into the green supply chain model and analyze the optimal decisions of supply chain members using optimization theory. We consider a green supply chain system with one supplier as the Stackelberg leader that can distribute the green product through dual channels, with one retailer as the follower that can provide retail services for customers. On this basis, we fully analyze each firm’s optimal decisions in different channel structures (i.e., single channel and dual channel) and service situations (i.e., retail services are available or not). Moreover, to verify our conclusions, we further explore equilibrium outcomes under a CCT mechanism. The main findings of this paper are briefly summarized as follows:
- (1)
- The channel decisions of the supplier primarily depend on the costs of the direct channel. The supplier prefers to encroach on the market when the cost of opening a direct channel is relatively low; otherwise, she will employ the single-channel strategy, which only distributes through the retail channel. Furthermore, a higher degree of service spillovers motivates supplier encroachment when retail services are available.
- (2)
- When consumers have both low-carbon preference and service sensitivity, the purpose of dual-channel distribution is not to eliminate the traditional channel but to increase total demand by taking advantage of service spillovers and green production. Thus, if the retailer decides to provide retail services in the dual-channel supply chain, the supplier always has the incentive to reduce emissions.
- (3)
- By comparing the optimal service strategies of the retailer in the single-channel and dual-channel supply chains, we reach three interesting conclusions. Firstly, supplier encroachment could motivate the retailer to enhance his service level and help him get more returns from providing retail services, as long as the degree of service spillover is above a threshold. Secondly, compared with service sensitivity, consumers’ low-carbon preference plays a more decisive role in the retailer’s service strategies under a dual-channel structure. Thirdly, if supplier encroachment induces intensive channel competition, although the emission reduction level of the supplier is still better than that under the single-channel structure, the retailer’s margins and service inputs will diminish. Therefore, the optimal decision of emission abatement levels and retail service levels are not positively correlated under supplier encroachment.
- (4)
- The implementation of CCT regulation is beneficial for the retailer to achieve profit growth from the supplier encroachment, which also contributes to achieving a win-win situation under the dual-channel structure.
The research results of this paper can provide insights for the green transformation and sustainable development goals of enterprises and provide a relevant theoretical basis for the selection of sales channels for green products in practice. However, considering the increasingly diverse environment of green supply chains, some limitations in this study such as the transaction costs of different products in the channel may affect the equilibrium outcome. Also, the relative advantages of transaction costs between the supplier’s channel and the retailer’s channel for different types of products may not be fixed. The order of output decisions between dual channels may also affect the equilibrium outcome, which cannot be analyzed in our model.
Based on these limitations, we provide three suggestions for future research. Firstly, regarding the selection of supply chain channel strategies, it can be considered to study a situation where suppliers and retailers both open online channels. In this case, the relative advantages of transaction costs in different channels can be modeled and then discussed. Secondly, the structure of the supply chain can consist of a single supplier and multiple retailers, a single retailer and multiple suppliers, or multiple suppliers and multiple retailers. In these situations, retailers as Stackelberg leaders and redefining the order of different channel output decisions can be discussed. Finally, in the future, it is possible to explore the impact of sales service spillover effects on the optimal decision-making and profit situation of various participants in the supply chain under different service models such as the sales service model provided by online retailers.
Author Contributions
Conceptualization, X.C.; methodology, J.W.; data curation, G.Y.; writing—review & editing, P.X. and T.W. All authors have read and agreed to the published version of the manuscript.
Funding
This research has been supported by the Youth Project of Applied Basic Research Project of Shanxi Province (201801D221403), the Chongqing Social Science Planning Project (2022NDYB77), the Science and Technology Research Program of Chongqing Municipal Education Commission (KJZD-K202300305), the Science and Technology Innovation Project of University in Shanxi Province (2019L0440), the Soft Science Project of Shanxi Province (2019041002-4), the Shanxi Intelligent Logistics Management Service Industry Innovation Science Group Project, and the Heilongjiang Natural Science Foundation Project (LH2023G016).
Data Availability Statement
Not applicable.
Conflicts of Interest
The authors declare no conflict of interest.
Appendix A
Appendix A.1. Proof of Lemma 1
According to Equation (6) we can obtain the Hessian matrix of Scenario as . Therefore, substituting (,) into , Equations (5) and (6) obtain the equilibrium outcomes of Scenario as follows: ; ; , and according to Equation (1), we can obtain that . Similarly, Equation (8) derived the Hessian matrix of Scenario as . Hence, when , we can obtain . Then, substituting (,) into ,, Equations (7) and (8) obtain the equilibrium outcomes of Scenario as follows:;;;, and substituting (,,,) into Equation (1), we can obtain that .
Appendix A.2. Proof of Proposition 1
At first, we compare the supplier’s decision in different scenarios as follows:;. In the same way, we can prove that . Meanwhile, the supplier’s profits under different scenarios are: , adjust the function as: , thus we can obtain that . Accordingly, we can conclude that both enterprises will be better off when retail services are available.
Appendix A.3. Proof of Corollary 1
(i) ,,; (ii) ,, , where , and ; (iii) ,,.
Appendix A.4. Proof of Lemma 2
According to Equation (12), we can get the Hessian matrix of Scenario as: . According to , and , we can prove that , thus and matrix is negative definite; where and . Therefore, substituting (,) into , Equations (11) and (12), leads to the equilibrium outcomes of Scenario NE as follows: ; ; . Then, substituting (,,,) into Equation (1), we can obtain that ; .
In addition, based on the direct channel’s output quantity , we need to guarantee that is nonnegative. According to and , we can obtain that . Hence, substituting , and into Equations (11) and (12) the relevant results are given in Table 3. Finally, we can obtain that , thus there is no difference between the wholesale price and direct price. Moreover, from , because of , the supplier will make the direct channel open when , otherwise, the green product will still be sold only through the retail channel as shown in Scenario of Table 3.
Appendix A.5. Proof of Proposition 2
At first, we consider , and thus if . Similarly, the wholesale price in different scenarios is compared as: . Let , from , we can obtain that if , otherwise, . Finally, set the marginal profit of the retailer under Scenario and as: ,, and thus the comparison of marginal profit under two scenarios is: , which means if , then , otherwise, .
Appendix A.6. Proof of Corollary 2
(i) According to Proof of Proposition 2, the proof of Corollary 2(i) is intuitive, so we omit it.
(ii) , , and according to , when , we have . Thus, .
Appendix A.7. Proof of Lemma 3
According to Equation (14), we can obtain the Hessian matrix of Scenario as , when we can obtain that and the matrix is negative definite. Therefore, substituting (,) into , Equations (13) and (14), respectively, we obtain the equilibrium outcomes of Scenario as follows: ; ; ;, where ,, . Then, substituting (,,,,) into Equation (1), we can obtain that ; , where ; . Similar to the analysis in Lemma 2, we also need to ensure that and is nonnegative. According to , and , we can obtain that . Meanwhile, . Hence, the dual-channel structure is feasible.
Appendix A.8. Proof of Proposition 3
According to , it is directly shown that , and due to the proof in Lemma 2, we have: , thus . On this basis, we can obtain that . Meanwhile, the comparison of the emission reduction level between Scenario and is: , let , from and , thus we can obtain that . Employing the same process, we can easily show that holds.
Appendix A.9. Proof of Proposition 4
(i) . (ii) , and from we can obtain that if ; (iii) and . According to if . Hence, we can obtain that and if . The discussion of and if are evidenced the same way.
Appendix A.10. Proof of Corollary 3
The proofs of Corollary 3(i) and (ii) are the same as the proofs in Corollary 2, so we omit them. (iii) ;, where . Thus, if , while if .
Appendix A.11. Proof of Lemma 4
On the one hand, the Hesse matrix of is:
; according to , the Hesse matrix is negative definite. Substituting (,)into , , Equations (17) and (18), respectively, we can obtain the equilibrium outcomes of Scenario as follows:
; , and according to Equation (1), we can obtain . On the other hand, the Hesse matrix of is:
. According to and , the Hesse matrix is negative definite. Substituting (,,) into , , Equations (19) and (20), respectively, we can obtain the equilibrium outcomes of Scenario as follows:
and according to Equation (1), we can obtain
On this basis, the supplier will decide to encroach only when , then we can obtain the threshold of the supplier’s channel decision = .
Appendix A.12. Proof of Proposition 5
(i) ;
(ii) ; and let , we can obtain that when and when . From Proposition 4, , thus when .
(iii) ; .
Appendix B
References
- Zhen, Z.; Qi, L.; Tiantian, Y.; Feiyan, L. How do the quality assurance mechanism influence the online sale of experiential products on an e-commerce platform. Manag. Rev. 2023, 35, 181–190. [Google Scholar]
- Xia, J.; Niu, W. Adding clicks to bricks: An analysis of supplier encroachment under service spillovers. Electron. Commer. Res. Appl. 2019, 37, 100876. [Google Scholar] [CrossRef]
- Mehra, A.; Kumar, S.; Raju, J.S. Competitive strategies for brick-and-mortar stores to counter “showrooming”. Manag. Sci. 2018, 64, 3076–3090. [Google Scholar] [CrossRef]
- Zhang, L.-H.; Yao, J.; Xu, L. Emission reduction and market encroachment: Whether the supplier opens a direct channel or not? J. Clean. Prod. 2020, 269, 121931. [Google Scholar] [CrossRef]
- Benjaafar, S.; Li, Y.; Daskin, M. Carbon footprint and the management of supply chains: Insights from simple models. IEEE Trans. Autom. Sci. Eng. 2013, 10, 99–116. [Google Scholar] [CrossRef]
- Yang, H.; Luo, J.; Zhang, Q. Supplier encroachment under nonlinear pricing with imperfect substitutes: Bargaining power versus revenue-sharing. Eur. J. Oper. Res. 2018, 267, 1089–1101. [Google Scholar] [CrossRef]
- Cai, G. Channel Selection and Coordination in Dual-Channel Supply Chains. J. Retail. 2010, 86, 22–36. [Google Scholar] [CrossRef]
- Huang, S.; Guan, X.; Chen, Y.-J. Retailer Information Sharing with Supplier Encroachment. Prod. Oper. Manag. 2018, 27, 1133–1147. [Google Scholar] [CrossRef]
- Wang, Q.; Zhao, D.; He, L. Contracting emission reduction for supply chains considering market low-carbon preference. J. Clean. Prod. 2016, 120, 72–84. [Google Scholar] [CrossRef]
- Zhou, Y.-W.; Guo, J.; Zhou, W. Pricing/service strategies for a dual-channel supply chain with free riding and service-cost sharing. Int. J. Prod. Econ. 2018, 196, 198–210. [Google Scholar] [CrossRef]
- Arya, A.; Mittendorf, B. The changing face of distribution channels: Partial forward integration and strategic investments. Prod. Oper. Manag. 2013, 22, 1077–1088. [Google Scholar] [CrossRef]
- Che, Y.-K.; Hausch, D.B. Cooperative investments and the value of contracting. Am. Econ. Rev. 1999, 89, 125–147. [Google Scholar] [CrossRef]
- Chiang, W.-Y.; Chhajed, D.; Hess, J.D. Direct Marketing, Indirect Profits: A Strategic Analysis of Dual-Channel Supply-Chain Design. Manag. Sci. 2003, 49, 1–20. [Google Scholar] [CrossRef]
- Jamali, M.-B.; Rasti-Barzoki, M. A game theoretic approach for green and non-green product pricing in chain-to-chain competitive sustainable and regular dual-channel supply chains. J. Clean. Prod. 2018, 170, 1029–1043. [Google Scholar] [CrossRef]
- Xu, L.; Wei, J.; Choi, T.-M.; Wang, W. Managing online channel and optimization in supply chain systems with different channel leaderships. IEEE Trans. Syst. Man Cybern.-Syst. 2021, 51, 7177–7190. [Google Scholar] [CrossRef]
- Li, H.; Chai, J. Strategic service investment by retailers confronted by manufacturer encroachment. J. Ind. Manag. Optim. 2023, 19, 3255–3286. [Google Scholar] [CrossRef]
- Ghosh, D.; Shah, J. A comparative analysis of greening policies across supply chain structures. J. Int. J. Prod. Econ. 2012, 135, 568–583. [Google Scholar] [CrossRef]
- Hong, Z.; Guo, X. Green product supply chain contracts considering environmental responsibilities. Omega 2019, 83, 155–166. [Google Scholar] [CrossRef]
- Zhao, S.; Zhu, Q. A risk-averse marketing strategy and its effect on coordination activities in a remanufacturing supply chain under market fluctuation. J. Clean. Prod. 2018, 171, 1290–1299. [Google Scholar] [CrossRef]
- Bernstein, F.; Song, J.-S.; Zheng, X. Free riding in a multi-channel supply chain. Nav. Res. Logist. (NRL) 2009, 56, 745–765. [Google Scholar] [CrossRef]
- Hua, G.; Cheng, T.C.E.; Wang, S. Managing carbon footprints in inventory management. Int. J. Prod. Econ. 2011, 132, 178–185. [Google Scholar] [CrossRef]
- Amit Kumar, G. Framing a model for green buying behavior of Indian consumers: From the lenses of the theory of planned behavior. J. Clean. Prod. 2021, 295, 1026487. [Google Scholar] [CrossRef]
- Feng, L.; Govindan, K.; Li, C. Strategic planning: Design and coordination for dual-recycling channel reverse supply chain considering consumer behavior. Eur. J. Oper. Res. 2017, 260, 601–612. [Google Scholar] [CrossRef]
- Liu, Z.; Anderson, T.D.; Cruz, J.M. Consumer environmental awareness and competition in two-stage supply chains. Eur. J. Oper. Res. 2012, 218, 602–613. [Google Scholar] [CrossRef]
- Peng, H.; Pang, T.; Cong, J. Coordination contracts for a supply chain with yield uncertainty and low-carbon preference. J. Clean. Prod. 2018, 205, 291–302. [Google Scholar] [CrossRef]
- Ranjan, A.; Jha, J.K. Pricing and coordination strategies of a dual-channel supply chain considering green quality and sales effort. J. Clean. Prod. 2019, 218, 409–424. [Google Scholar] [CrossRef]
- Tao, F.; Zhou, Y.; Bian, J.S.; Lai, K.K. Agency selling or reselling? Channel selection of green products with consumer environmental awareness. Int. J. Logist.-Res. Appl. 2022. [Google Scholar] [CrossRef]
- Liu, G.; Sheng, W. Pricing and carbon emission reduction decision in dual-channel supply chain with carbon tax and consumer preference. Inf. Syst. Econ. 2023, 4, 21–29. [Google Scholar]
- Shin, J. How does free riding on customer service affect competition? Mark. Sci. 2007, 26, 488–503. [Google Scholar] [CrossRef]
- Chen, J.; Zhang, H.; Sun, Y. Implementing coordination contracts in a supplier Stackelberg dual-channel supply chain. Omega 2012, 40, 571–583. [Google Scholar] [CrossRef]
- Jing, B. Showrooming and webrooming: Information externalities between online and offline sellers. Mark. Sci. 2018, 24, 89–109. [Google Scholar] [CrossRef]
- Flavián, C.; Gurrea, R.; Orús, C. Combining channels to make smart purchases: The role of webrooming and showrooming. J. Retail. Consum. Serv. 2020, 52, 101923. [Google Scholar] [CrossRef]
- Yalabik, B.; Fairchild, R.J. Customer, regulatory, and competitive pressure as drivers of environmental innovation. Int. J. Prod. Econ. 2011, 131, 519–527. [Google Scholar] [CrossRef]
- Adaman, F.; Karalı, N.; Kumbaroğlu, G.; Or, İ.; Özkaynak, B.; Zenginobuz, Ü. What determines urban households’ willingness to pay for CO2 emission reductions in Turkey: A contingent valuation survey. Energy Policy 2011, 39, 689–698. [Google Scholar] [CrossRef]
- Ji, J.; Zhang, Z.; Yang, L. Carbon emission reduction decisions in the retail-/dual-channel supply chain with consumers’ preference. J. Clean. Prod. 2017, 141, 852–867. [Google Scholar] [CrossRef]
- Yoon, D.-H. Supplier encroachment and investment spillovers. Prod. Oper. Manag. 2016, 25, 1839–1854. [Google Scholar] [CrossRef]
- Xia, L.; Hao, W.; Qin, J.; Ji, F.; Yue, X. Carbon emission reduction and promotion policies considering social preferences and consumers’ low-carbon awareness in the cap-and-trade system. J. Clean. Prod. 2018, 195, 1105–1124. [Google Scholar] [CrossRef]
- Xu, L.; Wang, C.X. Sustainable manufacturing in a closed-loop supply chain considering emission reduction and remanufacturing. Resour. Conserv. Recycl. 2018, 131, 297–305. [Google Scholar] [CrossRef]
- Du, S.; Zhu, L.; Liang, L.; Ma, F. Emission-dependent supply chain and environment-policy-making in the ‘cap-and-trade’ system. Energy Policy 2013, 57, 61–67. [Google Scholar] [CrossRef]
- Yi, Y.; Li, J. The effect of governmental policies of carbon taxes and energy-saving subsidies on enterprise decisions in a two-echelon supply chain. J. Clean. Prod. 2018, 181, 675–691. [Google Scholar]
- Yuan, K.; Wu, G.; Dong, H.; He, B.; Wang, D. Differential Pricing and Emission Reduction in Remanufacturing Supply Chains with Dual-Sale Channels under CCT-Mechanism. Sustainability 2020, 12, 8150. [Google Scholar] [CrossRef]
Disclaimer/Publisher’s Note: The statements, opinions and data contained in all publications are solely those of the individual author(s) and contributor(s) and not of MDPI and/or the editor(s). MDPI and/or the editor(s) disclaim responsibility for any injury to people or property resulting from any ideas, methods, instructions or products referred to in the content. |
© 2023 by the authors. Licensee MDPI, Basel, Switzerland. This article is an open access article distributed under the terms and conditions of the Creative Commons Attribution (CC BY) license (https://creativecommons.org/licenses/by/4.0/).


