Next Article in Journal
The Application of the Random Time Transformation Method to Estimate Richards Model for Tree Growth Prediction
Next Article in Special Issue
The Structure of Semiconic Idempotent Commutative Residuated Lattices
Previous Article in Journal
Start-Up Multilayer Electro-Osmotic Flow of Maxwell Fluids through an Annular Microchannel under Hydrodynamic Slip Conditions
Previous Article in Special Issue
On Edge-Primitive Graphs of Order as a Product of Two Distinct Primes
 
 
Font Type:
Arial Georgia Verdana
Font Size:
Aa Aa Aa
Line Spacing:
Column Width:
Background:
Article

Radio Number for Friendship Communication Networks

1
Oryx Universal College in Partnership with Liverpool John Moores University, Doha P.O. Box 12253, Qatar
2
Scientific Computing Department, Faculty of Computers and Artificial Intelligence, Benha University, Benha 13518, Egypt
3
Data Science Department, Faculty of Computers and Information Systems, Egyptian Chinese University, Cairo 19346, Egypt
4
Basic Science Department, Faculty of Technology and Education, Beni-Suef University, Beni Suef 62511, Egypt
5
Physics and Engineering Mathematics Department, Faculty of Electronic Engineering, Menoufia University, Menouf 32952, Egypt
*
Author to whom correspondence should be addressed.
Mathematics 2023, 11(20), 4232; https://doi.org/10.3390/math11204232
Submission received: 14 August 2023 / Revised: 11 September 2023 / Accepted: 19 September 2023 / Published: 10 October 2023
(This article belongs to the Special Issue Algebraic Structures and Graph Theory, 2nd Edition)

Abstract

:
This paper investigates the radio labeling of friendship networks ( F 3 , k ,     F 4 , k ,     F 5 , k , and   F 6 , k ). In contrast, a mathematical model is proposed for determining the upper bound of radio numbers for ( F 3 , k ,     F 4 , k ,     F 5 , k , and   F 6 , k ). A computational investigation is presented to demonstrate that our results are superior to those of the past. In conclusion, the empirical study demonstrates that the proposed results surpass the previous ones in terms of the upper bound of the radio number and the run-time.

1. Introduction

Wireless communication includes all techniques and methods of connecting and communicating between devices using a wireless signal and wireless communication technologies and gadgets. Wireless communication network services may appear in many areas, such as satellite communications, internet technology, mobile telephony, military communications, TV and radio broadcasting, and many others. Rapid development in wireless communication services led to a depletion of the most important resources and frequencies in the radio spectrum. Such development affects the economic cost of available frequencies. The reusing of frequencies may give good economies, but on the other hand, it may decrease the quality of the communication service. Using the same frequencies for many wireless communication networks leads to unacceptable interference among signals. This motivated the frequency assignment problem (FAP). Given a set of transmitters in a network, the main procedure of FAP is the assignment of frequencies to transmitters, keeping interference at an acceptable level, and making use of the available frequencies in an efficient way. Such constraints of interference are related to the use of the same (or almost the same) frequencies for transmitters within a certain range from each other. The smaller the distance is among transmitters, the stronger the interference is that occurs. Therefore, it is suggested that the difference in frequency assignments should be greater.
The graph theory introduces an effective model for this problem. The interference between transmitters is modeled as a graph, and this graph is called an interference graph G ( V , E ) . Every vertex from V ( G ) stands for a unique transmitter. Any two vertices are adjacent (connected by an edge) if and only if the broadcasting of their corresponding transmitters may interfere. The frequency channels are labeled by positive integers. Hence, the vertex coloring (labeling) problem of the graph G with some constraints on the labeling is equivalent to FAP [1], where it is shown that the propagation of the signal may lead to interference in regions with a large distance from each other. As a result, not only must nearby transmitters be assigned different frequencies but they should be effectively separated. This results in the modeling of FAP as distance-constrained labeling of the graph G . For some services, it is adequate that the transmitters should have distinct frequencies; moreover, the nearby transmitters inquired to use channels with appropriate separation. In this situation, FAP is equivalent to the radio labeling problem of the graph G (see ref. [2]). The radio labeling problem of graph G is described as follows. Let G = V G , E G be a connected graph. For any u , v V ( G ) , let d u , v denote the distance between two vertices u , v . That is d u , v stands for the length of the shortest path between u , v . The maximum distance between any two vertices in G is defined as the diameter of G and denoted as d i a m G . Thus, d i a m G = max d u , v : u , v V ( G )   . A radio labeling of G is a one-to-one mapping L from V G to N , where N is the set of natural number, satisfying the condition
L u L v   d i a m G + 1 d u , v . For all u ,   v V G .
The span of a labeling L is the maximum integer (span) that L assigns to a vertex in G . The main objective of the radio labeling problem is to find the minimum span over all such labeling L of the graph G . Such minimum span is denoted as r n G or the radio number of G . Saha [3] introduced an algorithm that determines the lower and upper bounds of the radio number of a graph. Badr and Moussa [4] proposed the development of Saha’s algorithm and introduced a novel mathematical model for the radio labeling application. The radio labeling problem has been studied for different families of graphs [5,6,7,8,9,10,11,12,13,14,15,16,17,18]. For more details about the mathematical models, the reader can refer to [19,20,21,22,23,24,25,26,27,28,29,30].
As the number of wireless networks and services increase, this leads to many transmission stations that may be close to each other. Consequently, in most cases, there is at least one transmission station that will overlap with many other stations. This inhibits the ability of the receiver to decipher incoming signals. This concept is illustrated in Figure 1, which shows a typical situation in which the signal of transmission stations A and B overlap in the vicinity of transmission station C as in Figure 1a, while Figure 1b shows the modeling of this interference by path graph. Whenever the number of transmission stations increases, as Figure 2a, every station hopes to increase its coverage area, which leads to more physical overlapping and hence, more radio frequency interference. This situation can be modeled by the friendship graph as shown in Figure 2b.
The objective of the present paper is to study the radio labeling of friendship networks ( F 3 , k ,     F 4 , k ,     F 5 , k   , and   F 6 , k ). On the other hand, a mathematical model is proposed to find the upper bound of F 3 , k ,     F 4 , k ,     F 5 , k   , and   F 6 , k . A computational study is presented to prove the efficiency of our results compared to the previous results. Finally, the empirical study shows that the proposed results outperform the previous results according to the upper bound of the radio number and the running time.
The rest of this paper is organized as follows. Section 2 presents the upper bounds for the radio number of the above-mentioned friendship graphs. The integer linear programming model of radio labeling of such friendship graphs is presented in Section 3. In Section 4, we present an experimental study for comparing results obtained in Section 2 and Section 3, and algorithms that solved the same problem from [3,4]. The conclusion of this paper and future work are presented in Section 5.

2. Radio Number of Friendship Graph

In this section, we seek to find the upper bound of r n G where G is a friendship graph.
Definition 1.
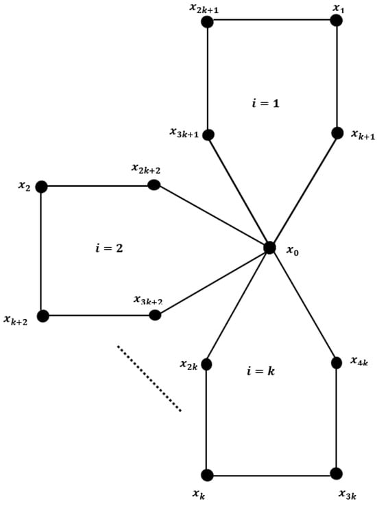
For the given positive integers k ,   m , a friendship graph, denoted as F m , k , is represented as k cycles (blocks), each of length m , and all have one common vertex. For an illustration, F 3 , k   is shown in Figure 3.
Definition 2.
The order of the graph G is the cardinality of its vertex set V G .
Theorem 1.
The radio number of the friendship graph F 3 , k is its order.
Proof. 
Following Definition 1 for F 3 , k , we find that d i a m F 3 , k = 2 , V F 3 , k = 2 k + 1 , and d x i ,   x j 1 for any x i ,   x j V F 3 , k   and i j . Since any radio labeling L is one-to-one, it follows that
r n F 3 , k V F 3 , k
Define the map L with codomain 0,2 , 3 , , 2 k + 1 as follows:
L x 1 = 0 ; L x i = i ;   2 i 2 k + 1
Now, we claim to prove that L x i L x j d i a m F 3 , k + 1 d x i , x j , that is
L x i L x j 3 d x i ,     x j   for   all   x i ,   x j V F 3 , k     and   i j .
Case 1. Let 2 i k + 1 and 2 j k + 1 . Then, L x i L x j = i j 1 .
Since d x i , x j = 2 , then, L x i L x j 3 d x i , x j .
Case 2. Let i = 1 , j 2,3 , , 2 k + 1 . Then, L x i L x j = 0 j = j 2 .
Since d x i , x j = 1 . Consequently, L x i L x j 3 d x i , x j .
Case 3. Let i , j k + 2 , k + 3 , , 2 k + 1 . Then, L x i L x j 1 . Since, d x i , x j = 2 . Therefore, L x i L x j 3 d x i , x j .
Case 4. Let i 2,3 , , k + 1 , j = k + i . Then, L x i L x j = k + i i = k 2 . Since d x i , x j = 1 then L x i L x j 3 d x i , x j .
Case 5. Let i 2,3 , , k + 1 , j k + 2 , k + 3 , , 2 k + 1 , for every j   k + i ,
L x i L x j = i j k 1 where k 2 . Moreover, d x i , x j = 2 .
Hence, L x i L x j 3 d x i , x j .
Thus, L   is a radio labeling of F 3 , k and
r n F 3 , k 2 k + 1
From Formulas (1) and (2), r n F 3 , k =   2 k + 1 .  □
For more illustrations, Figure 3 shows F 3 ,   k with labeling of vertices.
Theorem 2.
Let k > 2 and G F 4 ,   k   be a friendship graph with blocks each of length 4 and V F 4 , k   = 3 k + 1 then r n F 4 ,   k 7 k + 1 .
Proof .
Define the map L as follows:
L x j k + i = 0 , i = j = 0 3 + i 1 , j = 0,1 i k k + 1 + 3 i ,           j = 1,1 i k 4 k + 1 + 3 i ,               j = 2,1 i k
Since d i a m F 4 , k = 4 , we claim to prove that L x u L x v 5 d x u , x v for all x u , x v V F 4 , k and u v .
Case 1. Let j = 0 , 1 i k , then L x 0 L x j k + i = 0 ( 3 + i 1 ) = 2 + i . Since d x 0 , x j k + i = 2 . Consequently, L x 0 L x j k + i 5 d x 0 , x j k + i .
Case 2. Let j 1,2 ,   1 i k ,then
L x 0 L x j k + i = k + 1 + 3 i ,     j = 1 4 k + 1 + 3 i ,     j = 2
Since d x 0 , x j k + i = 1 . Consequently, L x 0 L x j k + i 5 d x 0 , x j k + i .
Case 3. Let j 1,2 , 1 t k and 1 i k
d x i ,     x j k + t = 1 , i = t 3 i t
Consequently,
L x i L x j k + t = 2 i + k 1 , j = 1   a n d   i = t 2 i + 4 k 1 , j = 2   a n d   i = t 3 i t + k 1   j = 1   a n d   i t 3 i t + 4 k 1 j = 2   a n d   i t
Therefore, L x i L x j k + t 4 , i = t 2 i t
Hence, L x i L x j k + t 5 d x i , x j k + t .
Case 4. Let j , m be elements of 1,2 ,   1 t k and 1 i k .
Then, d x j k + i , x m k + t = 2 . Moreover,
L x j k + i L   x m k + t = 3 k , j m   a n d   i = t 3 i t , j = m   a n d   i t
Then, L x j k + i L x m k + t 5 d x j k + i , x m k + t .
Case 5. Let j = 0 , 1 i < t k , then d x j k + i , x j k + t = 4 and
  L x j k + i L x j k + t = 3 + i 1 ( 3 + t 1 ) = t i 1 . Therefore,
L x j k + i L x j k + t 5 d x j k + i , x j k + t .
From the above cases, the radio condition holds and L   is a radio labeling of F 4 ,   k and
r n F 4 ,     k 7 k + 1 .
The graph F 4 ,   k with labeling of vertices is presented in Figure 4.
Theorem 3.
Let k > 2 and G F 5 ,   k be a friendship graph with blocks each of length 5 and V F 5 , k   = 4 k + 1   then, r n F 5 ,   k   8 k + 1 .
Proof. 
Define the map L as follows:
Let k be an odd number, and then
L x j k + i = 0 , i = j = 0 3 + i 1 , j = 0,1 i k k + 2 i + 1 ,   j = 1,1 i k 3 k + 2 i + 1 ,     j = 2,1 i k 5 k + 3 i + 1 , j = 3,1 i k
while
L x j k + i = 0 , i = j = 0 3 + i 1 , j = 0 ,   1 i k k + 2 i + 1 ,           j = 1 ,   1 i k 3 k + 4 , j = 2 ,   i = 1 3 k + 3 + 2 i   j = 2 ,   2 i k 5 k + 5 j = 3 ,   i = 1 5 k + 1 + 3 i   j = 3 ,   2 i k
whenever k is an even number.
Since d i a m F 5 , k = 4 , we claim to prove that L x u L x v 5 d x u , x v for all x u , x v V F 5 , k and u v .
Case 1. Let j = 0 ,   1 i k , and then, L x 0 L x j k + i = 0 ( 3 + i 1 ) = 2 + i . Since d x 0 ,   x j k + i = 2 . Then, L x 0 L x j k + i 5 d x 0 ,   x j k + i .
Case 2. Let j = 1 ,   1 i k , and then L x 0 L x j k + i = 0 ( k + 2 i + 2 ) = k + 2 i + 2 3 . Since d x 0 ,   x j k + i 1,2 . Consequently, L x 0 L x j k + i 5 d x 0 ,   x j k + i .
Case 3. Let j = 2 ,   1 i k then, L x 0 L x j k + i = 0 ( 3 k + 2 i + 2 ) = 3 k + 2 i + 2 3 . Moreover, d x 0 ,   x j k + i 1,2 . Consequently, L x 0 L x j k + i 5 d x 0 ,   x j k + i .
Case 4. Let j = 3 ,   1 i k , and then
L x 0 L x j k + i = 0 5 k + 3 i + 1 = 5 k + 3 i + 1 3 . Since, d x 0 ,   x j k + i 1,2 ,   then, L x 0 L x j k + i 5 d x 0 ,   x j k + i .
Case 5. Let j = 0 ,   1 i < t k , and then L x j k + i L x j k + t = L x i L x t = t i 1 .
Since d x j k + i ,   x j k + t = 4 , then L x j k + i L x j k + t 5 d x j k + i ,   x j k + t .
Similarly, we can prove that the radio condition holds for every pair of vertices from V F 5 ,   k , and L   is a radio labeling of F 5 ,   k that proved r n F 5 ,   k 8 k + 1 .  □
For more illustrations, F 5 ,   k with labeling of vertices is presented in Figure 5.
Theorem 4.
Let k > 2 ,   F 6 ,   k be a friendship graph with blocks each of length 6 and V F 6 , k   = 5 k + 1   and then r n F 6 ,   k 17 k + 1 .
Proof. 
Define the map L as follows:
L x j k + i = 0 , i = j = 0 4 + i 1 , j = 0,1 i k k + 6 ,   j = 1 , i = 1 k + 10 + 3 i 2 j = 1,2 i k 4 k + 4 + 3 i j = 2,1 i k 7 k + 7 j = 3 , i = 1 7 k + 11 + 5 i 2 j = 3,2 i k 12 k + 5 i + 1 j = 3,2 i k
Since d i a m F 6 ,   k = 6 . From the above definition of the labeling function L and Figure 6, one can prove that the radio condition L x u L x v 7 d x u ,   x v holds for all x u ,   x v V F 6 ,   k   and u v . Moreover, r n F 6 ,   k 17 k + 1 . □
A friendship F 6 ,   k with labeling of its vertices is shown in Figure 6.

3. Integer Linear Programming Model

A new mathematical formulation for the radio labeling problem is proposed for F 3 ,   k ,   F 4 ,   k ,   F 5 ,   k , and F 6 ,   k . We next describe the problem of finding the radio labeling problem for a graph in terms of an integer programming problem [4]. Let G be a connected graph of order n with V G = u 1 , u 2 ,   , u n   and let D = [ d i j ] be the distance matrix of G , that is, d i j = d u i , u j for 1 i ,   j n . We suppose that v i are the labels of the vertices u i such that 1 i n . Now, we can introduce the mathematical model for the radio labeling problem as an integer programming model. We define the function F by
min F = v 1 + v 2 + + v n
subject to
v i v j d i a m + 1 d u i , u j   for   1 i n 1 ;   2 j n   and   i < j
where v 1 , v 2 , , v n 0,1
The radio number of the graph G = m a x 1 i n v i .

4. Computational Study

We carried out a computational study to measure the efficiency of the proposed upper bounds by Theorems 1–4 compared to the results of the algorithms introduced in [3,4]. Moreover, the comparison between the results of those Theorems and the mathematical model introduced in Section 3 is also presented. All of these are compatible with a PC with a Core i7 CPU@2.8 GHz, 8 GB of RAM, and a 64-bit operating system. The computational studies were carried out using MATLAB R2016a and the MS Windows 7 Professional system.
According to the upper bound of the radio number of F 3 , k , Table 1 and Figure 7 show that the proposed results in Theorem 1 outperform the proposed results in [3] for k when it is odd. When k is even, the same results occur. On the other hand, the proposed results in Theorem 1 outperform the proposed results in [4] for every k.
According to the running time, Table 1 and Figure 8 show that the proposed results in Theorem 1 take the constant time complexity O(1), while the proposed results in [3] take O(n3). On the other hand, the proposed results in Theorem 1 take less time than the proposed results in [4].
According to the upper bound of the radio number of F 4 , k , Table 2 and Figure 9 show that the proposed results in Theorem 2 outperform the proposed results in [3] for k = 1 ,   2 .
For k = 3 ,   4 , , 15 , the same results occur. On the other hand, the proposed results in Theorem 2 outperform the proposed results in [4] for every k.
According to the running time, Table 2 and Figure 10 show that the proposed results in Theorem 2 take the constant time complexity O(1) while the proposed results in [3] take O(n3). On the other hand, the proposed results in Theorem 2 take less time than the proposed results in [4]
According to the upper bound of the radio number of F 5 , k , Table 3 and Figure 11 show that the proposed results in Theorem 3 outperform the proposed results in [3] for k = 1 .
For k = 2 ,   3,4 , , 15 , the same results occur. On the other hand, the proposed results in Theorem 3 outperform the proposed results in [4] for every k .
According to the running time, Table 3 and Figure 12 show that the proposed results in Theorem 3 take the constant time complexity O(1), while the proposed results in [3] take O(n3). On the other hand, the proposed results in Theorem 3 take less time than the proposed results in [4].
According to the upper bound of the radio number of F 6 , k , Table 4 and Figure 13 show that the proposed results in Theorem 4 outperform the proposed results in [3] for k = 1 . For k = 2 ,   3,4 , , 15 , the same results occur. On the other hand, the proposed results in Theorem 4 outperform the proposed results in [4] for every k.
According to the running time, Table 4 and Figure 14 show that the proposed results in Theorem 4 take the constant time complexity O(1), while the proposed results in [3] take O(n3). On the other hand, the proposed results in Theorem 4 take less time than the proposed results in [4].

5. Conclusions

In this paper, the radio labeling of friendship networks ( F 3 , k ,     F 4 , k ,     F 5 , k , and   F 6 , k ) are studied. Additionally, a mathematical model is proposed to find the upper bound of ( F 3 , k ,     F 4 , k ,     F 5 , k   , and   F 6 , k ). A computational study is presented to prove the efficiency of our results compared to the previous results. Finally, the empirical study shows that the proposed results overcome the previous results according to the upper bound of the radio number and the running time. In future work, we will find an upper bound of the radio number of general friendship networks   F n , k . Moreover, new algorithms and development of known algorithms will be proposed to find the radio numbers of the different radio networks.

Author Contributions

Methodology, A.H.A., E.B., H.A. and H.M.S.; Formal analysis, A.H.A., E.B., H.A. and H.M.S.; Investigation, A.H.A., E.B., H.A. and H.M.S.; Writing—original draft A.H.A., E.B., H.A. and H.M.S.; Writing—review & editing, A.H.A., E.B., H.A. and H.M.S. All authors have read and agreed to the published version of the manuscript.

Funding

Open Access funding provided by the Qatar National Library.

Data Availability Statement

The data used to support the findings of this study are available from the corresponding author upon request.

Acknowledgments

The authors would like to extend their sincere appreciation to the Qatar National Library.

Conflicts of Interest

The authors declare no conflict of interest.

References

  1. Hale, W.K. Frequency assignment: Theory; Applications. Proc. IEEE 1980, 68, 1497–1514. [Google Scholar] [CrossRef]
  2. Chartrand, G.; Erwin, D.; Harary, F.; Zhang, P. Radio labelings of graphs. Bull. Inst. Combin. Appl. 2001, 33, 77–85. [Google Scholar]
  3. Saha, L.; Panigrahi, P. A graph Radio k-coloring algorithm. Lect. Notes Comput. Sci. 2012, 7643, 125–129. [Google Scholar]
  4. Badr, E.M.; Moussa, M.I. An upper bound of radio k-coloring problem and its integer linear programming model. Wirel. Netw. 2020, 26, 4955–4964. [Google Scholar] [CrossRef]
  5. Li, X.; Mak, V.; Zhou, S. Optimal radio labelings of complete m-array trees. Discret. Appl. Math. 2010, 158, 507–515. [Google Scholar] [CrossRef]
  6. Liu, D.D.-F. Radio number for trees. Discret. Math. 2008, 308, 1153–1164. [Google Scholar]
  7. Liu, D.D.-F.; Xie, M. Radio number for square of cycles. Congr. Numer. 2004, 169, 105–125. [Google Scholar]
  8. Liu, D.D.-F.; Xie, M. Radio number for square paths. Ars Comb. 2009, 90, 307–319. [Google Scholar]
  9. Liu, D.D.-F.; Zhu, X. Multi-level distance labelings for paths and cycles. SIAM J. Discret. Math. 2005, 19, 610–621. [Google Scholar] [CrossRef]
  10. Morris-Rivera, M.; Tomova, M.; Wyels, C.; Yeager, Y. The radio number of Cn × Cn. Ars Comb. 2012, 103, 81–96. [Google Scholar]
  11. Ortiz, P.; Martinez, P.; Tomova, M.; Wyels, C. Radio numbers of some generalized rism graphs. Discuss. Math. Graph Theory 2011, 311, 45–62. [Google Scholar]
  12. Reddy, V.S.; Iyer, V.K. Upper bounds on the radio number of some trees. Int. J. Pure Appl. Math. 2011, 71, 207–215. [Google Scholar]
  13. Saha, L.; Panigrahi, P. On the Radio number of Toroidal grids. Aust. J. Comb. 2013, 55, 273–288. [Google Scholar]
  14. Saha, L.; Panigrahi, P. A lower bound for radio k-chromatic number. Discret. Appl. Math. 2015, 192, 87–100. [Google Scholar] [CrossRef]
  15. Zhang, P. Radio labellings of cycles. Ars Comb. 2002, 65, 21–32. [Google Scholar]
  16. ELrokh, A.; Badr, E.; Al-Shamiri, M.M.A.; Ramadhan, S. Upper bounds of radio number for triangular snake and double triangular snake Graphs. J. Math. 2022, 2022, 3635499. [Google Scholar] [CrossRef]
  17. Badr, E.; Almotairi, S.; Elrokh, A.; Abdel-Hady, A.; Almutairi, B. An Integer Linear Programming Model for Solving Radio Mean Labeling Problem. IEEE Access 2020, 8, 162343–162349. [Google Scholar] [CrossRef]
  18. Badr, E.; Nada, S.; Al-Shamiri, M.M.A.; Abdel-Hay, A.; ELrokh, A. A novel mathematical model for radio mean square labeling problem. J. Math. 2022, 2022, 3303433. [Google Scholar] [CrossRef]
  19. Badr, E.M.; Elgendy, H. A hybrid water cycle—Particle swarm optimization for solving the fuzzy underground water confined steady flow. Indones J. Electr. Eng. Comput. Sci. 2020, 19, 492–504. [Google Scholar] [CrossRef]
  20. Badr, E.M.; Almotiari, S. On a dual direct cosine simplex type algorithm and its computational behavior. Math. Probl. Eng. 2020, 2020, 7361092. [Google Scholar] [CrossRef]
  21. Bloom, G.S.; Golomb, S.W. Applications of Numbered Undirected Graphs. Proc. Ofthe Inst. Electr. Electron. Eng. 1977, 65, 562–570. [Google Scholar] [CrossRef]
  22. Bosck, J. Cyclic Decompositions, Vertex Labellings and Graceful Graphs; Decompositions of Graphs; Kluwer Academic Publishers: Dordrecht, The Netherlands, 1990; pp. 57–76. [Google Scholar]
  23. Frucht, R. Graceful Numbering of Wheels and Other Related Graphs. Ann. N. Y. Acad. Sci. 1979, 319, 219–229. [Google Scholar] [CrossRef]
  24. Frucht, R.; Gallian, J.A. Labeling Prisms. Ars Comb. 1988, 26, 69–82. [Google Scholar]
  25. Gallian, J.A. A Dynamic Survey of Graph Labeling. Electron. J. Comb. 2021, 24. [Google Scholar] [CrossRef]
  26. Graham, R.L.; Sloane, N.J.A. On Additive Bases and Harmonious Graphs. SIAM J. Algebr. Discret. Methods 1980, 1, 382–404. [Google Scholar] [CrossRef]
  27. Golomb, S.W. How to Number a Graph, Graph Theory and Computing; Read, R.C., Ed.; Academic Press: Cambridge, MA, USA, 1972; pp. 23–37. [Google Scholar]
  28. Rosa, A. On Certain Valuations of the Vertices of a Graph, Theory of Graphs; International Symposium, Rome, Italy, 1966; Gordon and Breach: Philadelphia, PA, USA, 1967; pp. 349–355. [Google Scholar]
  29. Singh, G.S. A Note on Graceful Prisms. Natl. Acad. Sci. Lett. 1992, 15, 193–194. [Google Scholar]
  30. Acharya, B.D.; Gill, M.K. On the Index of Gracefulness of a Graph and the Gracefulness ofTwo-Dimensional Square Lattice Graphs. Indian J. Math. 1981, 23, 81–94. [Google Scholar]
Figure 1. Path graph for modeling frequency interference of stations A, B and C. (a) Physical frequency interference. (b) Path interference graph.
Figure 1. Path graph for modeling frequency interference of stations A, B and C. (a) Physical frequency interference. (b) Path interference graph.
Mathematics 11 04232 g001
Figure 2. Friendship graph for modeling frequency interference of stations A, B, C, D, E, F and G. (a) Many transmitting stations and more Physical frequency interference. (b) Friendship interference graph.
Figure 2. Friendship graph for modeling frequency interference of stations A, B, C, D, E, F and G. (a) Many transmitting stations and more Physical frequency interference. (b) Friendship interference graph.
Mathematics 11 04232 g002
Figure 3. F 3 , k with labeling of vertices.
Figure 3. F 3 , k with labeling of vertices.
Mathematics 11 04232 g003
Figure 4. F 4 ,   k with labeling of vertices.
Figure 4. F 4 ,   k with labeling of vertices.
Mathematics 11 04232 g004
Figure 5. F 5 ,   k with labeling of vertices.
Figure 5. F 5 ,   k with labeling of vertices.
Mathematics 11 04232 g005
Figure 6. F 6 ,   k with labeling of vertices.
Figure 6. F 6 ,   k with labeling of vertices.
Mathematics 11 04232 g006
Figure 7. A comparison among our results, the Saha algorithm, Saha, L., et al., 2012 [3]; and integer programming according to the upper bound of the radio number of F 3 , k from Badr, et al., 2020 [4].
Figure 7. A comparison among our results, the Saha algorithm, Saha, L., et al., 2012 [3]; and integer programming according to the upper bound of the radio number of F 3 , k from Badr, et al., 2020 [4].
Mathematics 11 04232 g007
Figure 8. A CPU time comparison among our results, the Saha algorithm, Saha, L., et al., 2012 [3]; and integer programming of F 3 , k from Badr, et al., 2020 [4].
Figure 8. A CPU time comparison among our results, the Saha algorithm, Saha, L., et al., 2012 [3]; and integer programming of F 3 , k from Badr, et al., 2020 [4].
Mathematics 11 04232 g008
Figure 9. A comparison among our results, the Saha algorithm, Saha, L., et al., 2012 [3]; and integer programming according to the upper bound of the radio number of F 4 , k from Badr, et al., 2020 [4].
Figure 9. A comparison among our results, the Saha algorithm, Saha, L., et al., 2012 [3]; and integer programming according to the upper bound of the radio number of F 4 , k from Badr, et al., 2020 [4].
Mathematics 11 04232 g009
Figure 10. A CPU time comparison among our results, the Saha algorithm, Saha, L., et al., 2012 [3]; and integer programming of F 4 , k from Badr, et al., 2020 [4].
Figure 10. A CPU time comparison among our results, the Saha algorithm, Saha, L., et al., 2012 [3]; and integer programming of F 4 , k from Badr, et al., 2020 [4].
Mathematics 11 04232 g010
Figure 11. A comparison among our results, the Saha algorithm, Saha, L., et al., 2012 [3]; and integer programming according to the upper bound of the radio number of F 5 , k from Badr, et al., 2020 [4].
Figure 11. A comparison among our results, the Saha algorithm, Saha, L., et al., 2012 [3]; and integer programming according to the upper bound of the radio number of F 5 , k from Badr, et al., 2020 [4].
Mathematics 11 04232 g011
Figure 12. A CPU time comparison among our results, the Saha algorithm, Saha, L., et al., 2012 [3]; and integer programing of F 5 , k from Badr, et al., 2020 [4].
Figure 12. A CPU time comparison among our results, the Saha algorithm, Saha, L., et al., 2012 [3]; and integer programing of F 5 , k from Badr, et al., 2020 [4].
Mathematics 11 04232 g012
Figure 13. A comparison among our results, the Saha algorithm, Saha, L., et al., 2012 [3]; and integer programming according to the upper bound of the radio number of F 6 , k from Badr, et al., 2020 [4].
Figure 13. A comparison among our results, the Saha algorithm, Saha, L., et al., 2012 [3]; and integer programming according to the upper bound of the radio number of F 6 , k from Badr, et al., 2020 [4].
Mathematics 11 04232 g013
Figure 14. A CPU time comparison among our results, the Saha algorithm, Saha, L., et al., 2012 [3]; and integer programming of F 6 , k from Badr, et al., 2020 [4].
Figure 14. A CPU time comparison among our results, the Saha algorithm, Saha, L., et al., 2012 [3]; and integer programming of F 6 , k from Badr, et al., 2020 [4].
Mathematics 11 04232 g014
Table 1. A comparison among our results, [3], and integer programming results [4] for F 3 , k .
Table 1. A comparison among our results, [3], and integer programming results [4] for F 3 , k .
k n Saha [3]ILPM [4]Theorem 1
r n F 3 , k CPU Time r n F 3 , k CPU Time r n F 3 , k
1340.02482440.070093
2550.02642870.0567585
3780.028891100.0608137
4990.035933130.0664839
511120.035994160.06799411
613130.03913190.0722513
715160.03958220.07379515
817170.041326250.07817217
919200.044408280.07817219
1021210.045015310.08029921
1123240.047039340.08828723
1225250.047221370.10237325
1327280.048065400.16028727
1429290.04859430.18285929
1531320.092601460.27281431
Table 2. A comparison among our results, [3], and integer programming results [4] for F 4 , k .
Table 2. A comparison among our results, [3], and integer programming results [4] for F 4 , k .
k n Saha [3]ILPM [4]Theorem 2
r n F 4 , k CPU Time r n F 4 , k CPU Time r n F 4 , k
14100.025561110.0518698
27160.027393170.05314915
310220.02758230.05598622
413290.028133300.05623529
516360.030245370.06797436
619430.030387440.06799443
722500.031081510.0692150
825570.031635580.07113557
928640.031749650.0722564
1031710.035689720.07303171
1134780.038289790.10677478
1237850.043385860.10772185
1340920.043505930.16028792
1443990.0444221000.18285999
15461060.0547161070.200691106
Table 3. A comparison among our results, [3], and integer programming results [4] for F 5 , k .
Table 3. A comparison among our results, [3], and integer programming results [4] for F 5 , k .
k nSaha [3]ILPM [4]Theorem 3
r n F 5 , k CPU Time r n F 5 , k CPU Time r n F 5 , k
15120.013394140.0336589
29170.013676240.03811717
313250.021828350.04889225
417330.045767460.05059233
521410.159417570.05391641
625490.170631680.05742849
729570.212698790.06409157
833650.248107900.12405165
937730.2534681010.13325773
1041810.2854911120.16288281
1145890.2867591230.22109189
1249970.4502091340.2319397
13531050.4547641450.23485105
14571130.6041941560.312935113
15611210.6219281670.317238121
Table 4. A comparison among our results, [3], and integer programming results [4] for   F 6 , k .
Table 4. A comparison among our results, [3], and integer programming results [4] for   F 6 , k .
k nSaha [3]ILPM [4]Theorem 4
r n F 6 , k CPU Time r n F 6 , k CPU Time r n F 6 , k
16220.026524240.03314318
211360.029344440.03812335
316520.030768620.04092152
421690.049229800.04208469
526860.092921980.04505686
6311030.0944031170.046653103
7361200.1294861360.046656120
8411370.2584031550.047893137
9461540.2817461740.04914154
10511710.3143511930.05036171
11561880.4171312120.060892188
12612050.4889382310.06789205
13662220.590442500.075292222
14712390.7030492690.08014239
15762561.086182880.09014256
Disclaimer/Publisher’s Note: The statements, opinions and data contained in all publications are solely those of the individual author(s) and contributor(s) and not of MDPI and/or the editor(s). MDPI and/or the editor(s) disclaim responsibility for any injury to people or property resulting from any ideas, methods, instructions or products referred to in the content.

Share and Cite

MDPI and ACS Style

Alkasasbeh, A.H.; Badr, E.; Attiya, H.; Shabana, H.M. Radio Number for Friendship Communication Networks. Mathematics 2023, 11, 4232. https://doi.org/10.3390/math11204232

AMA Style

Alkasasbeh AH, Badr E, Attiya H, Shabana HM. Radio Number for Friendship Communication Networks. Mathematics. 2023; 11(20):4232. https://doi.org/10.3390/math11204232

Chicago/Turabian Style

Alkasasbeh, Ahmad H., Elsayed Badr, Hala Attiya, and Hanan M. Shabana. 2023. "Radio Number for Friendship Communication Networks" Mathematics 11, no. 20: 4232. https://doi.org/10.3390/math11204232

APA Style

Alkasasbeh, A. H., Badr, E., Attiya, H., & Shabana, H. M. (2023). Radio Number for Friendship Communication Networks. Mathematics, 11(20), 4232. https://doi.org/10.3390/math11204232

Note that from the first issue of 2016, this journal uses article numbers instead of page numbers. See further details here.

Article Metrics

Back to TopTop