Start-Up Multilayer Electro-Osmotic Flow of Maxwell Fluids through an Annular Microchannel under Hydrodynamic Slip Conditions
Abstract
:1. Introduction
2. Problem Formulation
2.1. Physical Model
2.2. Governing and Constitutive Equations
2.3. Boundary and Initial Conditions
3. Solution Methodology
3.1. Electric Potential
3.2. Transient-State Velocity Profiles
3.3. Steady-State Velocity Profiles
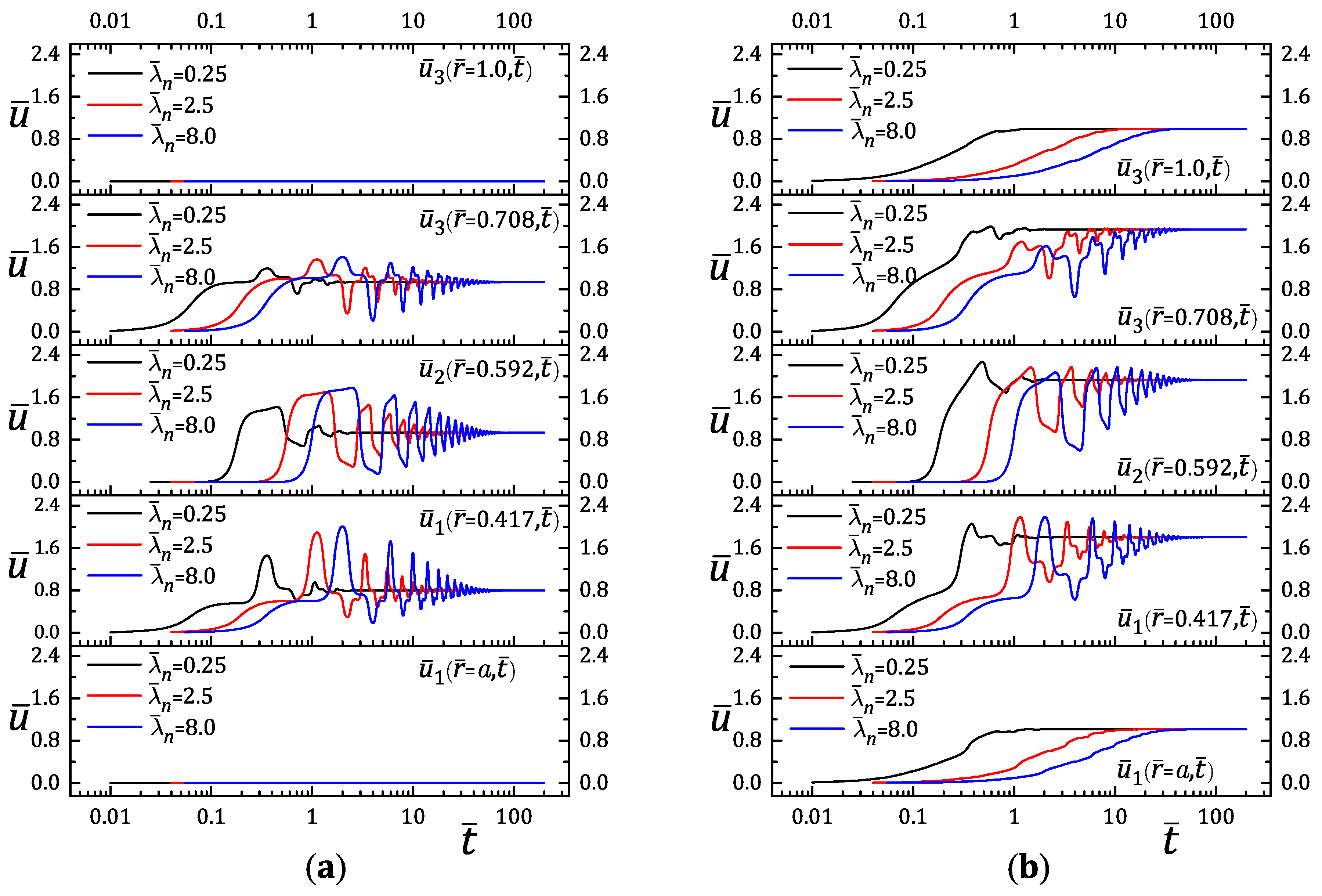
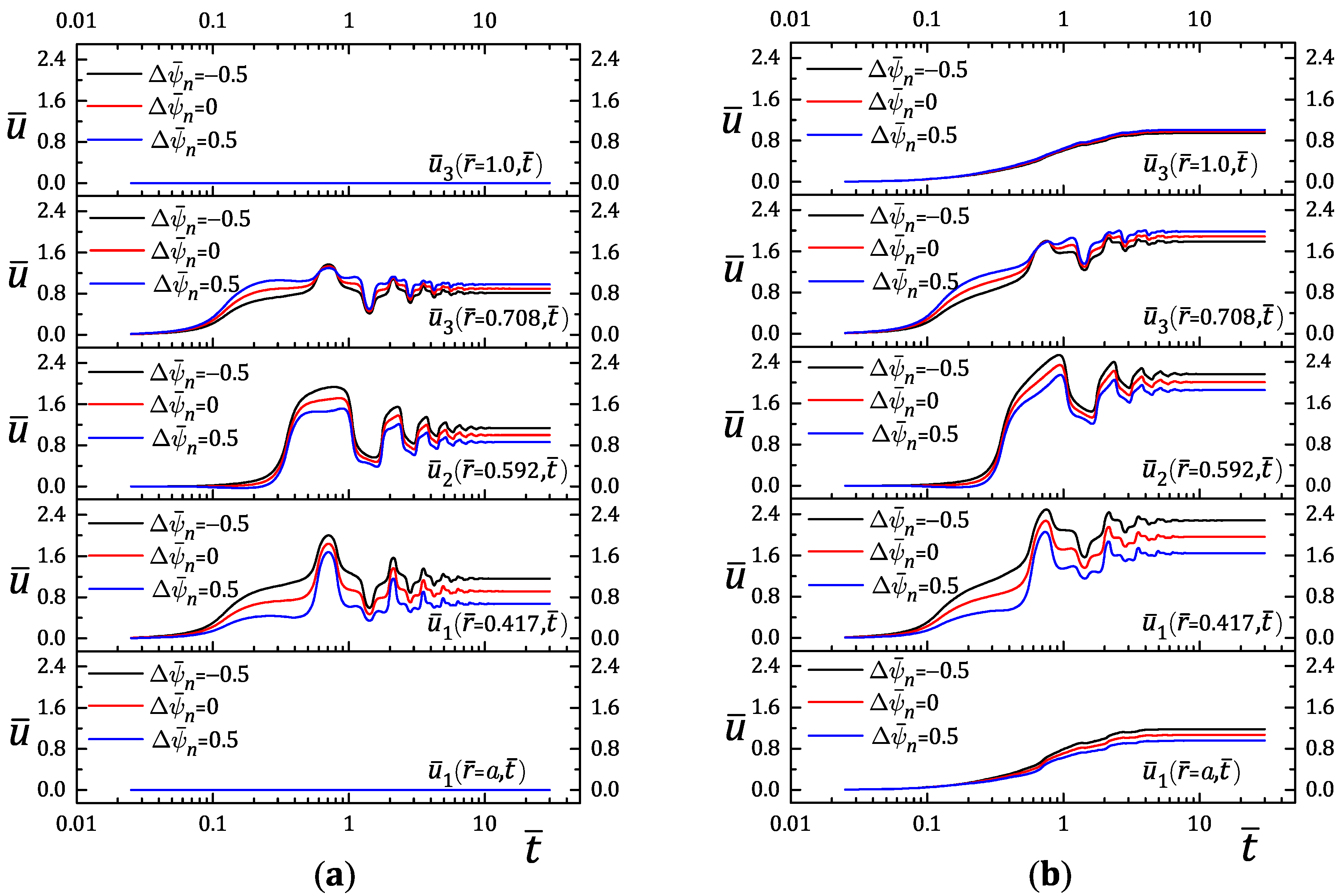
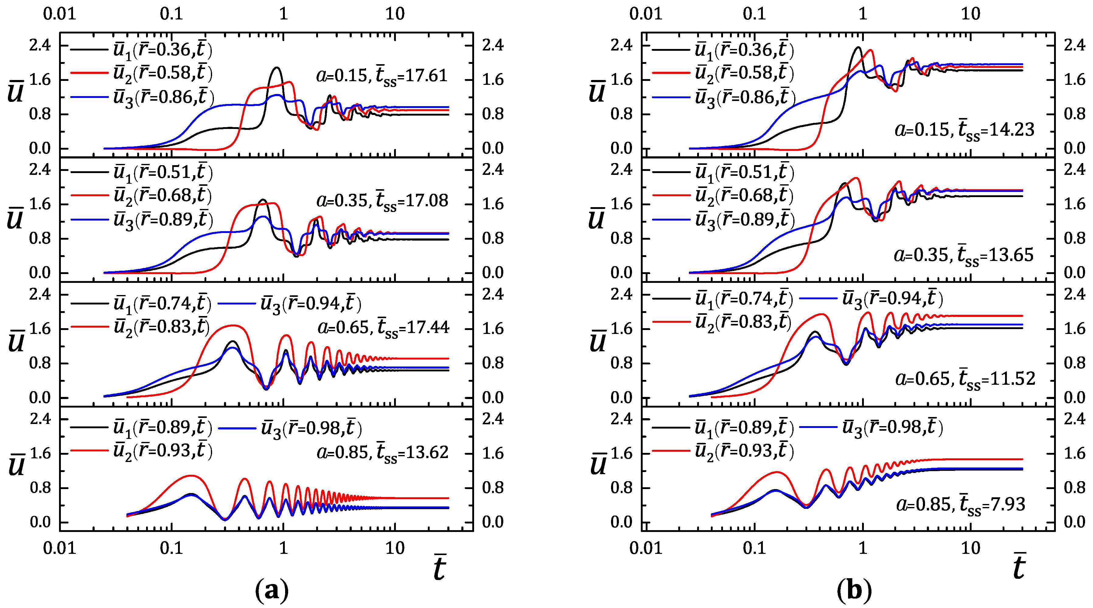
4. Results and Discussion
4.1. Validation
4.1.1. Steady-State Regime
4.1.2. Flow Start-Up
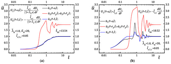
4.2. Velocity Tracking
4.3. Shear Stress and Rate-of-Strain Distributions
4.4. Influence of the Type of Slip Boundary Condition
5. Conclusions
Author Contributions
Funding
Institutional Review Board Statement
Informed Consent Statement
Data Availability Statement
Conflicts of Interest
Appendix A. Integration Constants for the Electric Potential
Appendix B. Integration Constants for Transient-State Velocity Profile
Appendix C. Integration Constants for Steady-State Velocity Profile
References
- Li, L.; Wang, X.; Pu, Q.; Liu, S. Advancement of electro-osmotic pump in microflow analysis: A review. Anal. Chim. Acta 2019, 1060, 1–16. [Google Scholar] [CrossRef] [PubMed]
- Erickson, D. Electroosmotic Flow (DC). In Encyclopedia of Microfluidics and Nanofluidics; Li, D., Ed.; Springer: Boston, MA, USA, 2008; pp. 560–567. [Google Scholar]
- Wang, X.; Cheng, C.; Wang, S.; Liu, S. Electroosmotic pumps and their applications in microfluidic systems. Microfluid. Nanofluid. 2009, 6, 145–162. [Google Scholar] [CrossRef] [PubMed]
- Gao, M.; Gui, L. Development of a multi-stage electroosmotic flow pump using liquid metal electrodes. Micromachines 2016, 7, 165. [Google Scholar] [CrossRef] [PubMed]
- Rahimi, F.; Chatzimichail, S.; Saifuddin, A.; Surman, A.J.; Taylor-Robinson, S.D.; Salehi-Reyhani, A. A review of portable high performance liquid chromatography: The future of the field? Chromatographia 2020, 83, 1165–1195. [Google Scholar] [CrossRef]
- Berrouche, Y.; Avenas, Y. Power electronics cooling of 100 W/cm2 using AC electroosmotic pump. IEEE Trans. Power Electron. 2014, 29, 449–454. [Google Scholar] [CrossRef]
- Lei, K.F. Microfluidic systems for diagnostic applications: A review. J. Lab. Autom. 2012, 17, 330–347. [Google Scholar] [CrossRef]
- Livak-Dahl, E.; Sinn, I.; Burns, M. Microfluidic chemical analysis systems. Annu. Rev. Chem. Biomol. Eng. 2011, 2, 325–353. [Google Scholar] [CrossRef]
- Kusama, S.; Sato, K.; Matsui, Y.; Kimura, N.; Abe, H.; Yoshida, S.; Nishizawa, M. Transdermal electroosmotic flow generated by a porous microneedle array patch. Nat. Commun. 2021, 12, 658. [Google Scholar] [CrossRef]
- Glawdel, T.; Ren, C.L. Electro-osmotic flow control for living cell analysis in microfluidic PDMS chips. Mech. Res. Commun. 2009, 36, 75–81. [Google Scholar] [CrossRef]
- Yang, C.; Ng, C.B.; Chan, V. Transient analysis of electroosmotic flow in a slit microchannel. J. Colloid Interface Sci. 2002, 248, 524–527. [Google Scholar] [CrossRef]
- Zhao, C.; Zholkovskij, E.; Masliyah, J.H.; Yang, C. Analysis of electroosmotic flow of power-law fluids in a slit microchannel. J. Colloid Interface Sci. 2008, 326, 503–510. [Google Scholar] [CrossRef] [PubMed]
- Mahanta, K.; Panda, S.; Banerjee, D.; Pati, S.; Biswas, P. Analysis of pulsatile combined electroosmotic and shear-driven flow of generalized Maxwell fluids in a microchannel with slip-dependent zeta potential. Phys. Scr. 2023, 98, 015212. [Google Scholar] [CrossRef]
- Marcos; Yang, C.; Wong, T.N.; Ooi, K.T. Dynamic aspects of electroosmotic flow in rectangular microchannels. Int. J. Eng. Sci. 2004, 42, 1459–1481. [Google Scholar] [CrossRef]
- Miller, A.; Villegas, A.; Diez, F.J. Characterization of the startup transient electrokinetic flow in rectangular channels of arbitrary dimensions, zeta potential distribution, and time-varying pressure gradient. Electrophoresis 2015, 36, 692–702. [Google Scholar] [CrossRef] [PubMed]
- Keh, H.J.; Tseng, H.C. Transient electrokinetic flow in fine capillaries. J. Colloid Interface Sci. 2001, 242, 450–459. [Google Scholar] [CrossRef]
- Kang, Y.; Yang, C.; Huang, X. Dynamic aspects of electroosmotic flow in a cylindrical microcapillary. Int. J. Eng. Sci. 2002, 40, 2203–2221. [Google Scholar] [CrossRef]
- Tsao, H.-K. Electroosmotic flow through an annulus. J. Colloid Interface Sci. 2000, 225, 247–250. [Google Scholar] [CrossRef]
- Chang, C.C.; Wang, C.Y. Starting electroosmotic flow in an annulus and in a rectangular channel. Electrophoresis 2008, 29, 2970–2979. [Google Scholar] [CrossRef]
- Li, D.; Ma, L.; Dong, J.; Li, K. Time-periodic pulse electroosmotic flow of Jeffreys fluids through a microannulus. Open Phys. 2021, 19, 867–876. [Google Scholar] [CrossRef]
- Numpanviwat, N.; Chuchard, P. Transient pressure-driven electroosmotic flow through elliptic cross-sectional microchannels with various eccentricities. Computation 2021, 9, 27. [Google Scholar] [CrossRef]
- Yang, X.; Wang, S.; Zhao, M.; Xiao, Y. Electroosmotic flow of Maxwell fluid in a microchannel of isosceles right triangular cross section. Phys. Fluids 2021, 33, 123113. [Google Scholar] [CrossRef]
- Wang, C.-Y.; Liu, Y.-H.; Chang, C.C. Analytical solution of electro-osmotic flow in a semicircular microchannel. Phys. Fluids 2008, 20, 063105. [Google Scholar] [CrossRef]
- Xuan, X.; Li, D. Electroosmotic flow in microchannels with arbitrary geometry and arbitrary distribution of wall charge. J. Colloid Interface Sci. 2005, 289, 291–303. [Google Scholar] [CrossRef]
- Jian, Y.-J.; Liu, Q.-S.; Yang, L.-G. AC electroosmotic flow of generalized Maxwell fluids in a rectangular microchannel. J. Non-Newton. Fluid Mech. 2011, 166, 1304–1314. [Google Scholar] [CrossRef]
- Afonso, A.M.; Alves, M.A.; Pinho, F.T. Analytical solution of mixed electro-osmotic/pressure driven flows of viscoelastic fluids in microchannels. J. Non-Newton. Fluid Mech. 2009, 159, 50–63. [Google Scholar] [CrossRef]
- Satpathi, D.K.; Rathish Kumar, B.V.; Chandra, P. Unsteady-state laminar flow of viscoelastic gel and air in a channel: Application to mucus transport in a cough machine simulating trachea. Math. Comput. Model. 2003, 38, 63–75. [Google Scholar] [CrossRef]
- Vazquez-Vergara, P.; Torres-Herrera, U.; Caballero-Robledo, G.A.; Olguin, L.F.; Corvera Poiré, E. Experimental resonances in viscoelastic microfluidics. Front. Phys. 2021, 9, 636070. [Google Scholar] [CrossRef]
- Castrejón-Pita, J.R.; Del Río, J.A.; Castrejón-Pita, A.A.; Huelsz, G. Experimental observation of dramatic differences in the dynamic response of Newtonian and Maxwellian fluids. Phys. Rev. E 2003, 68, 046301. [Google Scholar] [CrossRef]
- Wang, S.; Zhao, M.; Li, X. Transient electro-osmotic flow of generalized Maxwell fluids in a straight pipe of circular cross section. Cent. Eur. J. Phys. 2014, 12, 445–451. [Google Scholar] [CrossRef]
- Escandón, J.; Jiménez, E.; Hernández, C.; Bautista, O.; Méndez, F. Transient electroosmotic flow of Maxwell fluids in a slit microchannel with asymmetric zeta potentials. Eur. J. Mech. B/Fluids 2015, 53, 180–189. [Google Scholar] [CrossRef]
- Khan, M.; Farooq, A.; Khan, W.A.; Hussain, M. Exact solution of an electroosmotic flow for generalized Burgers fluid in cylindrical domain. Results Phys. 2016, 6, 933–939. [Google Scholar] [CrossRef]
- Zhang, T.; Ren, M.; Cui, J.; Chen, X.; Wang, Y. Electroosmotic flow for Eyring fluid with Navier slip boundary condition under high zeta potential in a parallel microchannel. Open Phys. 2022, 20, 165–173. [Google Scholar] [CrossRef]
- Ribau, A.M.; Ferrás, L.L.; Morgado, M.L.; Rebelo, M.; Alves, M.A.; Pinho, F.T.; Afonso, A.M. A study on mixed electro-osmotic/pressure-driven microchannel flows of a generalised Phan-Thien-Tanner fluid. J. Eng. Math. 2021, 127, 7. [Google Scholar] [CrossRef]
- Eijkel, J. Liquid slip in micro- and nanofluidics: Recent research and its possible implications. Lab Chip 2007, 7, 299–301. [Google Scholar] [PubMed]
- Silkina, E.F.; Asmolov, E.S.; Vinogradova, O.I. Electro-osmotic flow in hydrophobic nanochannels. Phys. Chem. Chem. Phys. 2019, 21, 23036–23043. [Google Scholar] [CrossRef]
- Li, J.; Fu, J.; Cong, Y.; Wu, Y.; Xue, L.; Han, Y. Macroporous fluoropolymeric films templated by silica colloidal assembly: A possible route to super-hydrophobic surfaces. Appl. Surf. Sci. 2006, 252, 2229–2234. [Google Scholar] [CrossRef]
- Zhang, X.; Shi, F.; Yu, X.; Liu, H.; Fu, Y.; Wang, Z.; Jiang, L.; Li, X. Polyelectrolyte multilayer as matrix for electrochemical deposition of gold clusters: Toward super-hydrophobic surface. J. Am. Chem. Soc. 2004, 126, 3064–3065. [Google Scholar] [CrossRef]
- Lim, J.-M.; Yi, G.-R.; Moon, J.H.; Heo, C.-J.; Yang, S.-M. Superhydrophobic films of electrospun fibers with multiple-scale surface morphology. Langmuir 2007, 23, 7981–7989. [Google Scholar] [CrossRef]
- Ji, L.; Lv, X.; Wu, Y.; Lin, Z.; Jiang, Y. Hydrophobic light-trapping structures fabricated on silicon surfaces by picosecond laser texturing and chemical etching. J. Photonics Energy 2015, 5, 053094. [Google Scholar] [CrossRef]
- Tadanaga, K.; Katata, N.; Minami, T. Super-water-repellent Al2O3 coating films with high transparency. J. Am. Ceram. Soc. 1997, 80, 1040–1042. [Google Scholar] [CrossRef]
- Zhang, X.; Shi, F.; Niu, J.; Jiang, Y.; Wang, Z. Superhydrophobic surfaces: From structural control to functional application. J. Mater. Chem. 2008, 18, 621–633. [Google Scholar] [CrossRef]
- Shirtcliffe, N.J.; McHale, G.; Atherton, S.; Newton, M.I. An introduction to superhydrophobicity. Adv. Colloid Interface Sci. 2010, 161, 124–138. [Google Scholar] [CrossRef] [PubMed]
- Ngoma, G.D.; Erchiqui, F. Heat flux and slip effects on liquid flow in a microchannel. Int. J. Therm. Sci. 2007, 46, 1076–1083. [Google Scholar] [CrossRef]
- Gaikwad, H.; Mondal, P.K. Slip-driven electroosmotic transport through porous media. Electrophoresis 2017, 38, 596–606. [Google Scholar] [CrossRef] [PubMed]
- Chang, L.; Sun, Y.; Buren, M.; Jian, Y. Thermal and flow analysis of fully developed electroosmotic flow in parallel-plate micro- and nanochannels with surface charge-dependent slip. Micromachines 2022, 13, 2166. [Google Scholar] [CrossRef]
- Shit, G.C.; Mondal, A.; Sinha, A.; Kundu, P.K. Electro-osmotic flow of power-law fluid and heat transfer in a micro-channel with effects of Joule heating and thermal radiation. Phys. A Stat. Mech. Its Appl. 2016, 462, 1040–1057. [Google Scholar] [CrossRef]
- Awan, A.U.; Ali, M.; Abro, K.A. Electroosmotic slip flow of Oldroyd-B fluid between two plates with non-singular kernel. J. Comput. Appl. Math. 2020, 376, 112885. [Google Scholar] [CrossRef]
- Ferrás, L.L.; Afonso, A.M.; Alves, M.A.; Nóbrega, J.M.; Pinho, F.T. Analytical and numerical study of the electro-osmotic annular flow of viscoelastic fluids. J. Colloid Interface Sci. 2014, 420, 152–157. [Google Scholar] [CrossRef]
- Vasista, K.N.; Mehta, S.K.; Pati, S.; Sarkar, S. Electroosmotic flow of viscoelastic fluid through a microchannel with slip-dependent zeta potential. Phys. Fluids 2021, 33, 123110. [Google Scholar] [CrossRef]
- Yasin, M.; Hina, S.; Naz, R. A modern study on peristaltically induced flow of Maxwell fluid considering modified Darcy’s law and Hall effect with slip condition. Alex. Eng. J. 2023, 76, 835–850. [Google Scholar] [CrossRef]
- Baranovskii, E.S. Steady flows of an Oldroyd fluid with threshold slip. Commun. Pure Appl. Anal. 2019, 18, 735–750. [Google Scholar] [CrossRef]
- Baranovskii, E.S. On steady motion of viscoelastic fluid of Oldroyd type. Sb. Math. 2014, 205, 763–776. [Google Scholar] [CrossRef]
- Hibara, A.; Tokeshi, M.; Uchiyama, K.; Hisamoto, H.; Kitamori, T. Integrated multilayer flow system on a microchip. Anal. Sci. 2001, 17, 89–93. [Google Scholar] [CrossRef]
- Larsen, M.U.; Shapley, N.C. Stream spreading in multilayer microfluidic flows of suspensions. Anal. Chem. 2007, 79, 1947–1953. [Google Scholar] [CrossRef] [PubMed]
- Aota, A.; Mawatari, K.; Kitamori, T. Parallel multiphase microflows: Fundamental physics, stabilization methods and applications. Lab Chip 2009, 9, 2470–2476. [Google Scholar] [CrossRef] [PubMed]
- Mariet, C.; Vansteene, A.; Losno, M.; Pellé, J.; Jasmin, J.-P.; Bruchet, A.; Hellé, G. Microfluidics devices applied to radionuclides separation in acidic media for the nuclear fuel cycle. Micro Nano Eng. 2019, 3, 7–14. [Google Scholar] [CrossRef]
- Kenis, P.J.A.; Ismagilov, R.F.; Takayama, S.; Whitesides, G.M.; Li, S.; White, H.S. Fabrication inside microchannels using fluid flow. Acc. Chem. Res. 2000, 33, 841–847. [Google Scholar] [CrossRef]
- Morimoto, Y.; Kiyosawa, M.; Takeuchi, S. Three-dimensional printed microfluidic modules for design changeable coaxial microfluidic devices. Sens. Actuators B Chem. 2018, 274, 491–500. [Google Scholar] [CrossRef]
- Ngoma, G.D.; Erchiqui, F. Pressure gradient and electroosmotic effects on two immiscible fluids in a microchannel between two parallel plates. J. Micromech. Microeng. 2006, 16, 83–91. [Google Scholar] [CrossRef]
- Afonso, A.M.; Alves, M.A.; Pinho, F.T. Analytical solution of two-fluid electro-osmotic flows of viscoelastic fluids. J. Colloid Interface Sci. 2013, 395, 277–286. [Google Scholar] [CrossRef]
- Deng, S.; Xiao, T. Transient two-layer electroosmotic flow and heat transfer of power-law nanofluids in a microchannel. Micromachines 2022, 13, 405. [Google Scholar] [CrossRef] [PubMed]
- Haiwang, L.; Wong, T.N.; Nguyen, N.-T. Time-dependent model of mixed electroosmotic/pressure-driven three immiscible fluids in a rectangular microchannel. Int. J. Heat Mass Transf. 2010, 53, 772–785. [Google Scholar] [CrossRef]
- Su, J.; Jian, Y.-J.; Chang, L.; Liu, Q.-S. Transient electro-osmotic and pressure driven flows of two-layer fluids through a slit microchannel. Acta Mech. Sin. 2013, 29, 534–542. [Google Scholar] [CrossRef]
- Jian, Y.; Su, J.; Chang, L.; Liu, Q.; He, G. Transient electroosmotic flow of general Maxwell fluids through a slit microchannel. Z. Angew. Math. Phys. 2014, 65, 435–447. [Google Scholar] [CrossRef]
- Banerjee, D.; Pati, S.; Biswas, P. Analytical study of two-layered mixed electro-osmotic and pressure-driven flow and heat transfer in a microchannel with hydrodynamic slippage and asymmetric wall heating. Phys. Fluids 2022, 34, 032013. [Google Scholar] [CrossRef]
- Rajeev, A.; Manjunatha, S.; Vishalakshi, C.S. Electro-osmotic effect on the three-layer flow of Binary nanoliquid between two concentric cylinders. J. Therm. Anal. Calorim. 2022, 147, 15069–15081. [Google Scholar] [CrossRef]
- Li, J.; Sheeran, P.S.; Kleinstreuer, C. Analysis of multi-layer immiscible fluid flow in a microchannel. J. Fluids Eng. 2011, 133, 111202. [Google Scholar] [CrossRef]
- Escandón, J.; Torres, D.; Hernández, C.; Vargas, R. Start-up electroosmotic flow of multi-layer immiscible Maxwell fluids in a slit microchannel. Micromachines 2020, 11, 757. [Google Scholar] [CrossRef]
- Escandón, J.P.; Torres, D.A.; Hernández, C.G.; Gómez, J.R.; Vargas, R.O. Transient analysis of the electro-osmotic flow of multilayer immiscible Maxwell fluids in an annular microchannel. Colloids Interfaces 2022, 6, 60. [Google Scholar] [CrossRef]
- Li, X.-X.; Yin, Z.; Jian, Y.-J.; Chang, L.; Su, J.; Liu, Q.-S. Transient electro-osmotic flow of generalized Maxwell fluids through a microchannel. J. Non-Newton. Fluid Mech. 2012, 187–188, 43–47. [Google Scholar] [CrossRef]
- Bird, R.B.; Armstrong, R.C.; Hassager, O. Dynamics of Polymeric Liquids. Volume 1 Fluid Mechanics, 2nd ed.; Wiley-Interscience: New York, NY, USA, 1987. [Google Scholar]
- Kalyon, D.M.; Malik, M. Axial laminar flow of viscoplastic fluids in a concentric annulus subject to wall slip. Rheol. Acta 2012, 51, 805–820. [Google Scholar] [CrossRef]
- Aktas, S.; Kalyon, D.M.; Marín-Santibáñez, B.M.; Pérez-González, J. Shear viscosity and wall slip behavior of a viscoplastic hydrogel. J. Rheol. 2014, 58, 513–535. [Google Scholar] [CrossRef]
- Ortega-Avila, J.F.; Pérez-González, J.; Marín-Santibáñez, B.M.; Rodríguez-González, F.; Aktas, S.; Malik, M.; Kalyon, D.M. Axial annular flow of a viscoplastic microgel with wall slip. J. Rheol. 2016, 60, 503–515. [Google Scholar] [CrossRef]
- Gavach, C.; Seta, P.; D’epenoux, B. The double layer and ion adsorption at the interface between two non miscible solutions. Part I. Interfacial tension measurements for the water-nitrobenzene tetraalkylammonium bromide systems. J. Electroanal. Chem. Interfacial Electrochem. 1977, 83, 225–235. [Google Scholar] [CrossRef]
- Samec, Z. Electrical double layer at the interface between two immiscible electrolyte solutions. Chem. Rev. 1988, 88, 617–632. [Google Scholar] [CrossRef]
- Horváth, G.; Horváth, I.; Almousa, S.A.-D.; Telek, M. Numerical inverse Laplace transformation using concentrated matrix exponential distributions. Perform. Eval. 2020, 137, 102067. [Google Scholar] [CrossRef]
- Brochard, F.; De Gennes, P.G. Shear-dependent slippage at a polymer/solid interface. Langmuir 1992, 8, 3033–3037. [Google Scholar] [CrossRef]
- Barnes, H.A. A review of the slip (wall depletion) of polymer solutions, emulsions and particle suspensions in viscometers: Its cause, character, and cure. J. Non-Newton. Fluid Mech. 1995, 56, 221–251. [Google Scholar] [CrossRef]
- Zhao, R.; Macosko, C.W. Slip at polymer-polymer interfaces: Rheological measurements on coextruded multilayers. J. Rheol. 2002, 46, 145–167. [Google Scholar] [CrossRef]
- Leal, L.G. Advanced Transport Phenomena; Cambridge University Press: New York, NY, USA, 2007. [Google Scholar]
- Lauga, E.; Brenner, M.; Stone, H. Microfluidics: The No-Slip Boundary Condition. In Handbook of Experimental Fluid Mechanics; Tropea, C., Yarin, A.L., Foss, J.F., Eds.; Springer: Heidelberg, Germany, 2007; pp. 1219–1240. [Google Scholar]
- Hoffman, J.D. Numerical Methods for Engineers and Scientists, 2nd ed.; Marcel Deckker, Inc.: New York, NY, USA, 2001. [Google Scholar]












Disclaimer/Publisher’s Note: The statements, opinions and data contained in all publications are solely those of the individual author(s) and contributor(s) and not of MDPI and/or the editor(s). MDPI and/or the editor(s) disclaim responsibility for any injury to people or property resulting from any ideas, methods, instructions or products referred to in the content. |
© 2023 by the authors. Licensee MDPI, Basel, Switzerland. This article is an open access article distributed under the terms and conditions of the Creative Commons Attribution (CC BY) license (https://creativecommons.org/licenses/by/4.0/).
Share and Cite
Valencia, C.A.; Torres, D.A.; Hernández, C.G.; Escandón, J.P.; Gómez, J.R.; Vargas, R.O. Start-Up Multilayer Electro-Osmotic Flow of Maxwell Fluids through an Annular Microchannel under Hydrodynamic Slip Conditions. Mathematics 2023, 11, 4231. https://doi.org/10.3390/math11204231
Valencia CA, Torres DA, Hernández CG, Escandón JP, Gómez JR, Vargas RO. Start-Up Multilayer Electro-Osmotic Flow of Maxwell Fluids through an Annular Microchannel under Hydrodynamic Slip Conditions. Mathematics. 2023; 11(20):4231. https://doi.org/10.3390/math11204231
Chicago/Turabian StyleValencia, Cesar A., David A. Torres, Clara G. Hernández, Juan P. Escandón, Juan R. Gómez, and René O. Vargas. 2023. "Start-Up Multilayer Electro-Osmotic Flow of Maxwell Fluids through an Annular Microchannel under Hydrodynamic Slip Conditions" Mathematics 11, no. 20: 4231. https://doi.org/10.3390/math11204231
APA StyleValencia, C. A., Torres, D. A., Hernández, C. G., Escandón, J. P., Gómez, J. R., & Vargas, R. O. (2023). Start-Up Multilayer Electro-Osmotic Flow of Maxwell Fluids through an Annular Microchannel under Hydrodynamic Slip Conditions. Mathematics, 11(20), 4231. https://doi.org/10.3390/math11204231

