Abstract
Stability and convergence analyses of the multi-symplectic variational integrator for the nonlinear Schrdinger equation are discussed in this paper. The variational integrator is proved to be unconditionally linearly stable using the von Neumann method. A priori error bound for the scheme is given from the Sobolev inequality and the discrete conservation laws. Subsequently, the variational integrator is derived to converge at in the discrete norm using the energy method. The numerical experimental results match our theoretical derivation.
Keywords:
multi-symplectic variational integrator; stability; convergence; conservation laws; nonlinear Schrödinger equation MSC:
35Q55; 65M06; 65M12
1. Introduction
The nonlinear Schrdinger equation (NLSE) is an important partial differential equation that is used to describe the motion state of microscopic particles. It is the underlying equation of quantum mechanics. Partial differential equations have a wide range of applications, which can be found in reference []. The NLS equation has wide applications in several fields such as nonlinear optics [,,], underwater acoustics [], water waves [,,], plasma physics [], quantum condensates [,] and bimolecular dynamics []. The NLS equation is also called the Gross–Pitaevskii equation (GPE) when simulating the dynamics of the Bose–Einstein condensate [,]. Reference [] gives a detailed summary on the mathematical theory and numerical methods for the GPE.
In this paper, the following form of the nonlinear Schrdinger equation is to be studied:
with the initial condition , where and variable coefficients , , and are bounded real functions. Moreover, is related to the second-order dispersion coefficient, represents a potential, and describes the strength of the local interactions between particles []. The solution is a complex-valued wave function, and its modulus is a physically meaningful and measurable quantity, which states the probability density for a particle to be located at pointed x and at time t [,].
The nonlinear Schrdinger Equation (1) can be written in the form of a Euler–Lagrangian equation as follows:
where is a Lagrangian function. The exact solution of Equation (1) not only preserves the multi-symplectic geometric structures, whose corresponding multi-symplectic form formula is given in Proposition 1, but it also satisfies the global conservation laws, which are listed in Proposition 2.
Proposition 1.
As per [,], if ψ is a solution of the Euler–Lagrangian equation, and V and W are first variations of ψ, then for any subset U of the space of independent variables, the following multi-symplectic form formula holds:
where is the first jet of ψ, ∗ is a pullback operator, and is the Lagrangian multi-symplectic form.
Proposition 2.
As per [], suppose that the wave function ψ is the solution of Equation (1); then, ψ satisfies the following three global conservation laws:
(1) Mass conservation
(2) Energy conservation
If and are independent of t, that is to say, and , then
(3) Momentum conservation
where and represent the real part and the imaginary part, respectively.
Up to now, a large number of accurate and efficient numerical methods, which can conserve mass, energy and momentum, have been proposed to solve different types of nonlinear Schrdinger equations. Besides visually observing the effect of the proposed scheme from the numerical results, for example, drawing three-dimensional diagrams, mass or energy change plots or error graphs of the solved problem, some studies analyze theoretical properties of the proposed methods with a certain emphasis, such as on mass or energy conservation, solvability, stability or error bounds. For the cubic nonlinear Schrdinger equation with a wave operator, the reference [] gives the linearized finite element method and derives its conservation property of energy and the optimal error estimates in the norm. For solving the damped nonlinear Schrdinger equation, the leap-frog finite element method is given in []. Meanwhile, the total discrete mass conservation, energy conservation and the bound in the norm and optimal error estimate of this scheme are presented. Many numerical methods, such as the classical explicit method, the hopscotch method, the implicit–explicit method and so on, are proposed in [] to solve the nonlinear Schrdinger equation. In reference [], a compact difference scheme with fourth-order precision in time is derived to obtain the numerical solution of the nonlinear Schrdinger equation. The authors obtained the conclusion that the proposed scheme has higher accuracy than the Crank–Nicholson scheme using numerical experiments. To obtain the numerical solution of the coupled nonlinear Schrdinger equation, the scheme in [] is established using the Galerkin finite element method in space and the Crank–Nicolson difference method in time. The conservation laws, unique solvability and error estimates for the scheme are analyzed at the same time. The time-splitting Fourier spectral method is used to solve the coupled Schrdinger–Boussinesq equation in [], and it is proven to be effective and accurate by numerical results. Xu et al. use the Fourier pseudo-spectral method to calculate the numerical solution of the space fractional nonlinear Schrdinger equation. They prove the solution’s existence and the conservation and convergence of the scheme in []. For a numerical solution of the Equation (1) to be discussed in this paper, a temporal two-mesh compact difference method was proposed in []. The convergence of the scheme was derived, and the corresponding numerical results indicate that the solution reduces the Central Processing Unit(CPU) time without loss of accuracy compared with the standard nonlinear implicit compact difference scheme. The cubic B-spline Galerkin method is given in [], and the stability of the scheme is analyzed.
In [], the exponential cubic B-spline differential quadrature method is used to solve NLSE numerically. The method adopts a leave-one-out cross validation strategy to improve accuracy and efficiency. A two-grid finite element scheme is proposed for NLSE in []. The optimal order error estimates of the scheme in and norm are derived without any time-step size. The convergence of symmetric discretization models for the nonlinear Schrdinger equation in dark solitons’ motion is discussed in []. The author in [] shows us the application of the nonlinear Schrdinger equation to gravity-capillary waves on deep water with constant vorticity. There are other valid schemes for solving Equation (1), such as multi-grid methods [], the two-grid finite volume method [,], the virtual element method [] and so on.
The work in this paper is a continuation of earlier research []. In the article [], the multi-symplectic variational integrator was developed for Schrdinger equations. Numerical methods, which are based on the Lagrangian viewpoint and variational principle [,], have long-time numerical simulations and maintain the internal properties and conservation laws of Hamiltonian equations. However, the stability of the schemes is judged from numerical experiments. There is no theoretical conclusions of stability for the multi-symplectic variational integrators. That is the main work and novelty in this paper. The stability conditions and global convergence errors are proved. Multi-symplectic variational integrators for nonlinear Schrdinger equations are proved to be unconditionally linearly stable by using the Von-Neumann method. Based on the Sobolev inequality and energy method, the global convergence errors of the scheme in solving linear equations are analyzed. The numerical results show that conclusions are also appropriate for nonlinear cases.
The paper is composed of the following parts: In Section 2, we give the multi-symplectic variational integrator for nonlinear Schrdinger equation with variable coefficients from the Lagrangian viewpoint and variational principle. In Section 3, we prove the proposed variational integrator is unconditionally linearly stable using the von Neumann method. In Section 4, a priori error bound for the scheme is derived from the Sobolev inequality, the discrete mass conservation law and the discrete energy conservation law. Then, based on the energy method, the convergence order of the variational integrator is in the discrete norm, where is the mesh step and is the time step. Numerical experiments are carried out in Section 5.
2. Multi-Symplectic Variational Integrator for Nonlinear Schrdinger Equation with Variable Coefficients
The nonlinear Schrdinger equation with variable coefficients (1) can be rewritten into the form of a Euler–Lagrange Equation (2) with a Lagrangian function:
where is the conjugation of .
Supposing the regular quadrangular mesh in the base space is given, with mesh lengths and , we note the value of field as . The discrete Lagrangian of the Lagrangian function is discretized by a finite difference method as follows:
where . In the same way, the detailed definitions of the discrete Lagrangian , and on the other three squares adjacent to can be found in reference []. Based on the theories in [,,], the following discrete Euler–Lagrange equation is obtained:
where means the derivative with respect to the i-th variable.
To obtain the numerical solution of the nonlinear Schrdinger Equation (1), based on the discrete Euler–Lagrange Equation (9), the following scheme is derived,
The numerical template for scheme (10) is shown in Figure 1. Since it is derived from the discrete variational principle, the scheme (10) is naturally multi-symplectic [,]. In addition, the multi-symplectic variational integrator (10) has the advantage of preserving the discrete multi-symplectic structure. In terms of how to verify it, reference [] can give us an answer. In the rest of this paper, we prove the stability using the von Neumann method in Section 3 and prove the convergence accuracy using the energy method in Section 4 for the multi-symplectic variational integrator (10).

Figure 1.
The numerical template for scheme (10).
Before deriving the stability and convergence of the scheme (10), it is necessary to give a lemma, which is about the solvability of the scheme (10).
Lemma 1
([,]). With the initial condition , the multi-symplectic variational integrator (10) is solvable.
3. Stability of the Multi-Symplectic Variational Integrator
In view of the complexity of proving the stability of the nonlinear Schrdinger equation with variable coefficients, using the von Neumann method, the stability of the multi-symplectic variational integrator (10) for solving the following nonlinear Schrdinger equation is investigated, where
We have the following.
Theorem 1.
Proof.
Then, the frozen coefficient method is used for the linear stability analysis. In other words, we consider the coefficient of the nonlinear term as a constant (i.e., in the Formula (12)). So, the Formula (12) has been organized and rewritten as follows:
Taking product (13) with , and letting , we have
Let ; then, the expression (14) can be expressed as
Let = ; then, the above equation group can be rewritten as
Using in the above formula, we have
In the above formula, making , the above formula can be simply denoted as
Then, the amplification matrix of the numerical scheme (12) is obtained
Therefore, the proof is completed.
4. Convergence Analysis of the Multi-Symplectic Variational Integrator
In this section, we focus on deriving the convergence order of the multi-symplectic variational integrator (10). Here, a few notations are given: , , .
The expression for the discrete mass for the variational integrator (10) is written as follows:
The expression for the discrete energy for the variational integrator (10) is given:
And the discrete momentum expression corresponding to the variational integrator (10) is:
The multi-symplectic variational integrator (10) preserves the discrete mass conservation law and the discrete energy conservation law [] when , .
Lemma 2
([]). The variational integrator (10) possesses the discrete mass conservation law:
In particular, when , the equality holds: .
Lemma 3
([]). The variational integrator (10) possesses the discrete energy conservation law:
Particularly, supposing that , the equality holds: .
Given the special case of the conservation laws in the above two lemmas, the multi-symplectic variational integrator (10) with is considered.
Next, relying on the Sobolev inequality and the discrete conservation laws, the priori error estimate for the scheme (10) with is derived.
Theorem 2.
The numerical solution of the multi-symplectic variational integrator (10) with is bounded under the norm and the norm, which are
where are the positive constants.
Proof.
Obviously, , where is the discrete mass corresponding to the initial value . For the feature of the multi-symplectic variational integrator (10) with , we let in practice, which means . So, is bounded. That is to say, there is a positive constant satisfying . Based on the equality (18), we have , which represents .
In the same manner, is bounded. Because and are bounded real functions, the inequality is obtained, where C is a positive constant. Based on the discrete version of the Sobolev inequality [,],
□
Therefore, the proof is completed.
Theorem 3.
Supposing the exact solution of the equation satisfies , the numerical solution of the multi-symplectic variational integrator (10) with converges to .
Proof.
Firstly, the local truncation error of the multi-symplectic variational integrator (10) with when solving equation is denoted as
Using the Taylor expansion, we have . Thus, we obtain
where C is a positive constant.
Assume that is the solution from the multi-symplectic variational integrator (10) with . And we define the error function as .
In order to obtain the error function, subtract the scheme (10) with from (21). The result is as follows:
Let both sides of (23) be multiplied by . Then, sum up for j and take the imaginary part. The item on the left is computed first.
Then, the following formula is obtained
The result is obtained after simplifying the above Formula (26):
Similar to the calculation process (24)–(26), for the first term on the right side of Equation (23), the result is
For the second term on the right side of Equation (23), we have
For the third term on the right side of Equation (23), based on the inequality (22), its range is estimated:
where is a positive constant. Combining Formulas (27)–(30), the following conclusion is obtained:
where . Adding up the inequality (31) for k, the following inequality is obtained
Applying the discrete Gronwall inequality [,] and to (32), the final result is
In other words, the convergence order of the multi-symplectic variational integrator (10) with is .
The proof process is completed. □
Here is a note for Theorem 3.
5. Numerical Examples
In this section, the multi-symplectic variational integrator (10) is used to solve specific questions.
Example 1.
Taking the following periodic solitary-wave solution into account,
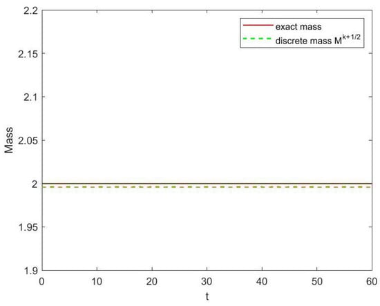
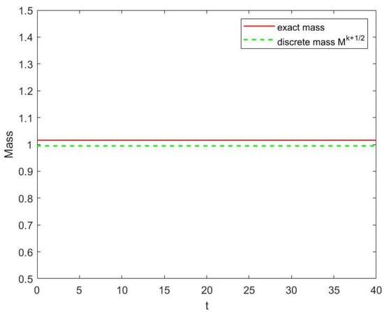
with . And is the analytical solution to the Equation (34). The numerical solution is given in Figure 2, and the evolutions of mass and momentum are shown separately in Figure 3 and Figure 4 with during the time from to . Observing the three pictures, there is a conclusion that the variational integrator (10) can simulate the numerical solution stably for a long time and maintain the conservation laws precisely.

Figure 3.
Evolution of mass of Equation (34).

Figure 4.
Evolution of momentum of Equation (34).
With fixed , the following Table 1 shows that the variational integrator (10) converges at a second order in the spatial direction.
The error, error and convergence order in Table 1 and Table 2 are obtained from the following formula:
With fixed , the following Table 2 tells us the variational integrator (10) converges at a second order in time.
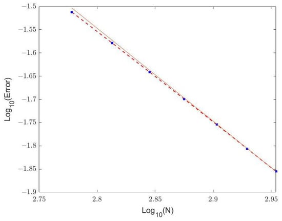
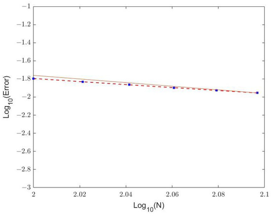
The log-log picture of the error of the multi-symplectic variational integrator (10) for Equation (34) is presented in Figure 5. The solid line in Figure 5 represents a straight line with a slope of −2. Take different N, which corresponds to a space step , and the discrete dots represents the logarithm of the error of Equation (34) at this space step. The slope of the discrete dots is close to −2. This figure again verifies that the scheme (10) has second-order convergence in the spatial direction.

Figure 5.
Log–log plot of error of Equation (34).
Example 2.
The following nonlinear Schrödinger equation with external potential [] is explored by the variational integrator (10).
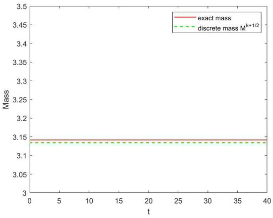
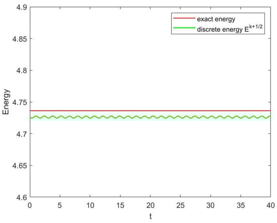
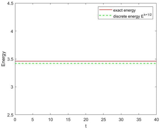
where , , . Its exact solution is . Taking , the waveform variation of Equation (35) from to is shown in Figure 6. During this time period, the evolution diagram of mass, energy and momentum are presented separately in Figure 7, Figure 8 and Figure 9. One can observe that the numerical waveform displays well. The characteristics of mass, energy, and momentum conservation laws are preserved well by (10).

Figure 7.
Evolution of mass of Equation (35).

Figure 8.
Evolution of energy of Equation (35).

Figure 9.
Evolution of momentum of Equation (35).
With fixed , the following Table 3 shows that the variational integrator (10) converges at a second order in the spatial direction.
With fixed , the following Table 4 shows that the variational integrator (10) converges at a second order in time direction.
The log-log picture of the error of the multi-symplectic variational integrator (10) for Equation (35) is shown in Figure 10. The solid line in Figure 10 represents a straight line with a slope of −2. Take different N, which corresponds to a space step , and the discrete dots represents the logarithm of the error of Equation (35) at this space step. The slope of the discrete dots is close to −2. So this figure again verifies that the scheme (10) has second-order convergence in the spatial direction.

Figure 10.
Log-log plot of error of Equation (35).
Example 3.
The following NLSE [] in the interval with external potential is considered,
with , and . The initial condition is , where determines effective width of the initial distribution []. The numerical solution of the Equation (36) is shown in Figure 11 with from to . Figure 12, Figure 13 and Figure 14 show the evolution of mass, energy and momentum separately. One can observe the multi-symplectic variational integrator (10) displays the long-time stability and good numerical behaviors of structural preserving properties.

Figure 12.
Evolution of mass of Equation (36).

Figure 13.
Evolution of energy of Equation (36).

Figure 14.
Evolution of momentum of Equation (36).
6. Conclusions
In this article, the stability conditions and global convergence errors of the multi-symplectic variational integrator for the nonlinear Schrdinger equation are derived. The von Neumann method is used to reach the conclusion that the multi-symplectic variational integrator is unconditionally linearly stable for solving the variable coefficients Schrdinger equation. Based on the Sobolev inequality and the discrete conservation laws, the a priori error estimate for the scheme is given. Using the energy method, the scheme in the linear case is proven to maintain the convergence order of in the discrete norm. Via numerical experiments, it is found that this conclusion is applicable to nonlinear situations. The theoretical results of stability and convergence error are the main work in this paper. They are crucial and extend our previous work.
Since the numerical scheme in this paper is derived from a discrete variational principle, the construction of the scheme is somewhat complicated and nonintuitive. This also makes it challenging to establish stability and convergence theories in nonlinear cases. These are the limitations of the method.
Author Contributions
Conceptualization, S.L.; methodology, S.L.; software, S.L. and C.L.; validation, S.L., Z.N. and C.L.; formal analysis, S.L.; writing—original draft preparation, S.L.; writing—review and editing, S.L., Z.N. and C.L.; supervision, Z.N. and C.L.; funding acquisition, S.L., Z.N. and C.L.; All authors have read and agreed to the published version of the manuscript.
Funding
The project is funded by the National Natural Science Foundation of China, under Grants No. 61973137 and No. 11401259, and the Natural Science Foundation of Jiangsu Province, under Grant No. BK20201339.
Data Availability Statement
We use MATLAB software (https://ww2.mathworks.cn/products/matlab.html) to program and solve the multi-symplectic variational integrator in this article. All data were obtained based on our algorithm.
Conflicts of Interest
The authors declare no conflict of interest.
References
- Zhu, Y.; Zabaras, N.; Koutsourelakis, P.S.; Perdikaris, P. Physics-constrained deep learning for high-dimensional surrogate modeling and uncertainty quantification without labeled data. J. Comput. Phys. 2019, 394, 56–81. [Google Scholar] [CrossRef]
- Altman, M. Contractor directions and monotone operators. J. Integr. Equ. 1979, 1, 17–33. [Google Scholar]
- Popov, V.N. Functional Integrals in Quantum Field Theory and Statistical Phyics; Springer: Dordrecht, The Netherlands, 1983. [Google Scholar]
- Agrawal, G.P. Nonlinear Fiber Optics. In Nonlinear Science at the Dawn of the 21st Century; Christiansen, P.L., Sørensen, M.P., Scott, A.C., Eds.; Springer: Berlin/Heidelberg, Germany, 2000; pp. 195–211. [Google Scholar]
- Keller, J.B. Survey of Wave propagation and underwater acoustics. In Wave Propagation and Underwater Acoustics; Keller, J.B., Papadakis, J.S., Eds.; Springer: Berlin/Heidelberg, Germany, 1977; pp. 1–13. [Google Scholar]
- Wang, J.; Jin, J.; Tian, Z. Two-grid finite element method with Crank-Nicolson fully discrete scheme for the time-dependent Schrödinger equation. Numer. Math. Theor. Meth. Appl. 2020, 13, 334–352. [Google Scholar]
- Yuen, H.C.; Lake, B.M. Instabilities of waves on deep water. Annu. Rev. Fluid. Mech. 1980, 12, 303–334. [Google Scholar] [CrossRef]
- Zakharov, V.E. Stability of periodic waves of finite amplitude on the surface of a deep fluid. J. Appl. Mech. Tech. Phys. 1968, 9, 190–194. [Google Scholar] [CrossRef]
- Wang, L.; Li, M. Galerkin finite element method for damped nonlinear Schrödinger equation. Appl. Numer. Math. 2022, 178, 219–247. [Google Scholar] [CrossRef]
- Hasegawa, A.; Kodama, Y. Solitons in Optical Communications; Oxford University: New York, NY, USA, 1995. [Google Scholar]
- Henning, P.; Wärnegård, J. Numerical comparison of mass-conservative schemes for the Gross-Pitaevskii equation. Kinet. Relat. Models 2019, 12, 1247–1271. [Google Scholar] [CrossRef]
- He, S.; Liu, Y.; Li, H. A time two-mesh compact difference method for the one-dimensional nonlinear Schrödinger equation. Entropy 2022, 24, 806. [Google Scholar] [CrossRef]
- Antoine, X.; Bao, W.; Besse, C. Computational methods for the dynamics of the nonlinear Schrödinger/Gross-Pitaevskii equations. Comput. Phys. Commun. 2013, 184, 2621–2633. [Google Scholar] [CrossRef]
- Erdős, L.; Schlein, B.; Yau, H. Derivation of the cubic non-linear Schrödinger equation from quantum dynamics of many-body systems. Invent. Math. 2007, 167, 515–614. [Google Scholar] [CrossRef]
- Bao, W.; Cai, Y. Mathematical theory and numerical methods for Bose-Einstein condensation. Kinet. Relat. Models 2013, 6, 1–135. [Google Scholar] [CrossRef]
- Nordbrock, U.; Kienzler, R. Conservation laws derived by the Neutral-Action method. Eur. Phys. J. D 2007, 44, 407–410. [Google Scholar] [CrossRef]
- Marsden, J.E.; Patrick, G.W.; Shkoller, S. Multisymplectic geometry, variational integrators, and nonlinear PDEs. Commun. Math. Phys. 1998, 199, 351–403. [Google Scholar] [CrossRef]
- Marsden, J.E.; West, M. Discrete mechanics and variational integrators. Acta Numer. 2001, 10, 357–514. [Google Scholar] [CrossRef]
- Liao, C.; Cui, J.; Liang, J.; Ding, X. Multi-symplectic variational integrators for nonlinear Schrödinger equations with variable coefficients. Chin. Phys. B 2016, 25, 010205. [Google Scholar] [CrossRef]
- Cai, W.; He, D.; Pan, K. A linearized energy-conservative finite element method for the nonlinear Schrödinger equation with wave operator. Appl. Numer. Math. 2019, 140, 183–198. [Google Scholar] [CrossRef]
- Taha, T.R.; Ablowitz, M.I. Analytical and numerical aspects of certain nonlinear evolution equations. II. Numerical nonlinear Schrödinger equation. J. Comput. Phys. 1984, 55, 203–230. [Google Scholar] [CrossRef]
- Paasonen, V.I.; Fedoruk, M.P. A compact dissipative scheme for nonlinear Schrödinger equation. Comput. Tech. 2011, 16, 68–73. [Google Scholar]
- Zhang, G.; Huang, C.; Li, M. A mass-energy preserving Galerkin FEM for the coupled nonlinear fractional Schrödinger equations. Eur. Phys. J. 2018, 133, 155. [Google Scholar]
- Bai, D.; Wang, J. The time-splitting Fourier spectral method for the coupled Schrödinger-Boussinesq equations. Commun. Nonlinear Sci. Numer. Simul. 2012, 17, 1201–1210. [Google Scholar] [CrossRef]
- Xu, Z.; Cai, W.; Liang, C.; Wang, Y. On the L∞ convergence of a conservative Fourier pseudo-spectral method for the space fractional nonlinear Schrödinger equation. Numer. Methods Partial. Differ. Equ. 2021, 37, 1591–1611. [Google Scholar] [CrossRef]
- Iqbal, A.; Abd Hamid, N.N.; Md. Ismail, A.I. Soliton solution of Schrödinger equation using cubic B-spline Galerkin method. Fluids 2019, 4, 108. [Google Scholar] [CrossRef]
- Arora, G.; Rani, R.; Emadifar, H. Numerical solutions of nonlinear Schrödinger equation with applications in optical fiber communication. Optik 2022, 266, 169661. [Google Scholar] [CrossRef]
- Hu, H. Lp error estimate of nonlinear Schrödinger equation using a two-grid finite element method. Numer. Methods Partial. Differ. Equ. 2023, 39, 2865–2884. [Google Scholar] [CrossRef]
- Li, Y.; Luo, Q.; Feng, Q. The convergence of symmetric discretization models for nonlinear Schrödinger equation in dark solitons’ motion. Symmetry 2023, 15, 1229. [Google Scholar] [CrossRef]
- Shishina, M.I. A nonlinear Schrödinger equation for gravity-capillary waves on deep water with constant vorticity. Fluid Dyn. 2023, 58, 72–83. [Google Scholar] [CrossRef]
- Ignat, L.I.; Zuazua, E. Numerical dispersive schemes for the nonlinear Schrödinger equation. SIAM J. Numer. Anal. 2009, 47, 1366–1390. [Google Scholar] [CrossRef]
- Zhang, H.; Yin, J.; Jin, J. A two-grid finite-volume method for the Schrödinger equation. Adv. Appl. Math. Mech. 2021, 13, 176–190. [Google Scholar]
- Chen, C.; Lou, Y.; Hu, H. Two-grid finite volume element method for the time-dependent Schrödinger equation. Comput. Math. Appl. 2022, 108, 185–195. [Google Scholar] [CrossRef]
- Li, M.; Zhao, J.; Wang, N.; Chen, S. Conforming and nonconforming conservative virtual element methods for nonlinear Schrödinger equation: A unified framework. Comput. Methods Appl. Mech. Eng. 2021, 380, 113793. [Google Scholar] [CrossRef]
- Vankerschaver, J.; Liao, C.; Leok, M. Generating functionals and Lagrangian partial differential equations. J. Math. Phys. 2013, 54, 082901. [Google Scholar] [CrossRef]
- Leok, M.; Zhang, J. Discrete Hamiltonian variational integrators. IMA J. Numer. Anal. 2011, 31, 1497–1532. [Google Scholar] [CrossRef]
- Liu, S.; Liu, C.; Guo, Y. Geometric formulations and variational integrators of discrete autonomous Birkhoff systems. Chin. Phys. B 2011, 20, 034501. [Google Scholar] [CrossRef]
- Landes, R. On Galerkin’s method in the existence theory of quasilinear elliptic equations. J. Funct. Anal. 1980, 39, 123–148. [Google Scholar] [CrossRef][Green Version]
- Akrivis, G.D.; Dougalis, V.A.; Karakashian, O.A. On fully discrete Galerkin methods of second-order temporal accuracy for the nonlinear Schrödinger equation. Numer. Math. 1991, 59, 31–53. [Google Scholar] [CrossRef]
- Liao, C.; Shen, W.; Ding, X. Multi-symplectic variational integrators for the Gross-Pitaevskii equations in BEC. Appl. Math. Lett. 2016, 60, 120–125. [Google Scholar] [CrossRef]
- Zhou, Y. Applications of Discrete Functional Analysis to Finite Difference Method; International Academic: Beijing, China, 1990. [Google Scholar]
- Bao, W.; Cai, Y. Uniform error estimates of finite difference methods for the nonlinear Schrödinger equation with wave operator. SIAM J. Numer. Anal. 2012, 50, 492–521. [Google Scholar] [CrossRef]
- Li, X.; Qian, X.; Tang, L.; Song, S. A high-order conservative numerical method for Gross-Pitaevskii equation with time-varying coefficients in modeling BEC. Chin. Phys. Lett. 2017, 34, 060202. [Google Scholar] [CrossRef]
- Trofimov, V.A.; Peskov, N.V. Comparison of finite-difference schemes for the Gross-Pitaevskii equation. Math. Model. Anal. 2009, 14, 109–126. [Google Scholar] [CrossRef]
Disclaimer/Publisher’s Note: The statements, opinions and data contained in all publications are solely those of the individual author(s) and contributor(s) and not of MDPI and/or the editor(s). MDPI and/or the editor(s) disclaim responsibility for any injury to people or property resulting from any ideas, methods, instructions or products referred to in the content. |
© 2023 by the authors. Licensee MDPI, Basel, Switzerland. This article is an open access article distributed under the terms and conditions of the Creative Commons Attribution (CC BY) license (https://creativecommons.org/licenses/by/4.0/).