An Evolutionary Game Analysis of Periodical Fluctuation in Food Safety Supervision
Abstract
:1. Introduction
2. An Evolutionary Game Model of Food Safety Supervision
2.1. Problem Description
2.2. Game Design
2.3. Game Solution
2.4. Theoretical Explanation for Periodical Fluctuation by Evolutionary Game
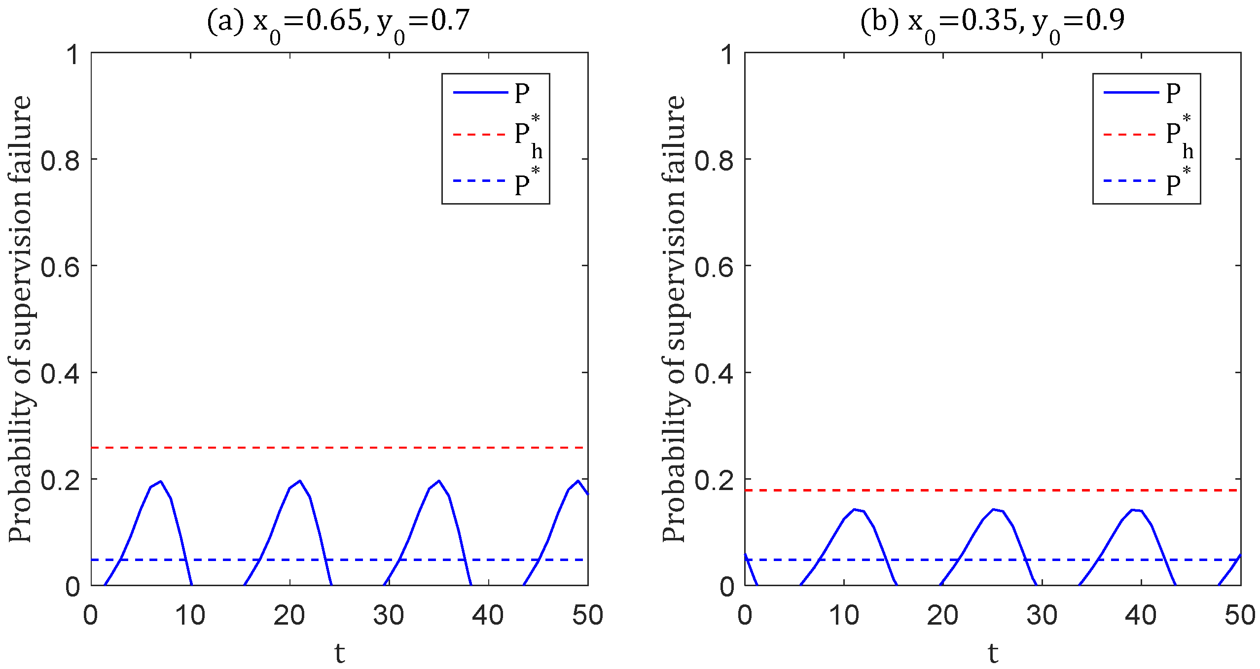
3. Numerical Simulation Example: The Case of the “Sanlu Milk Powder” Incident
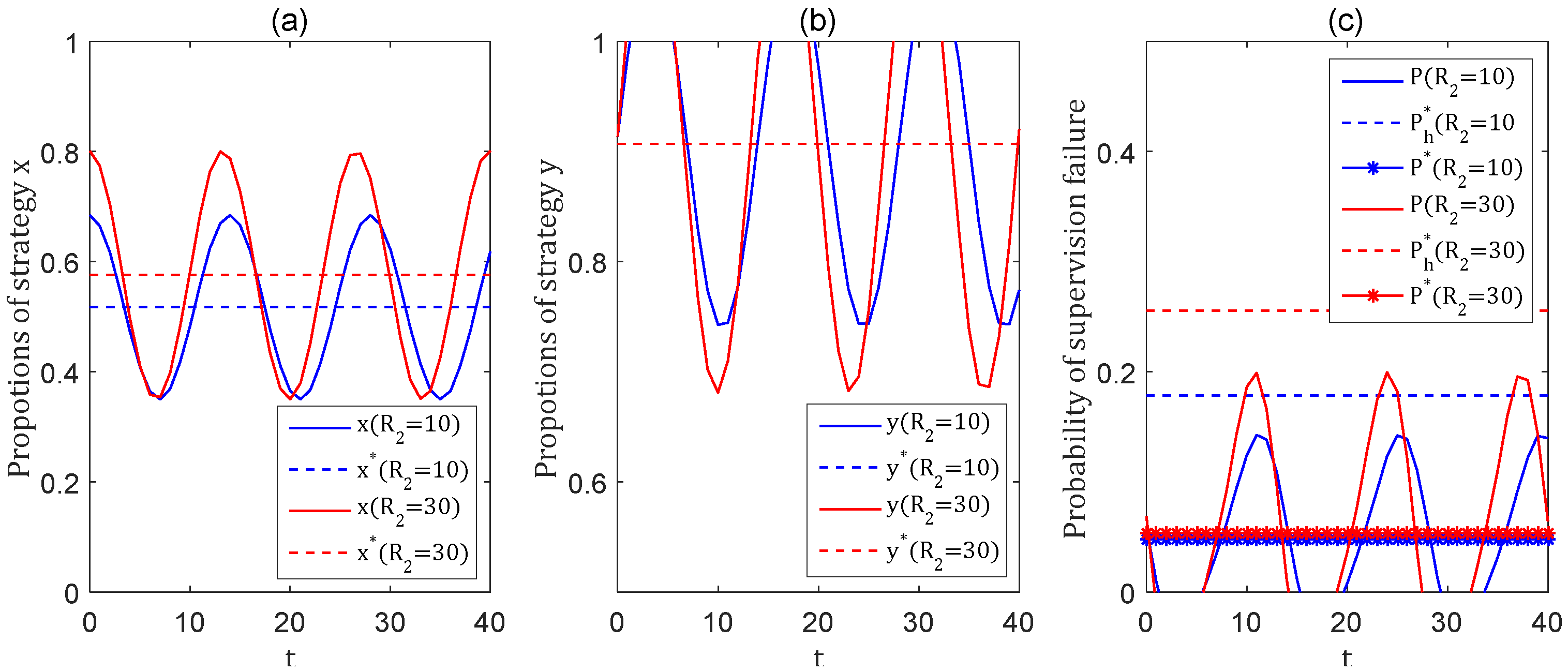
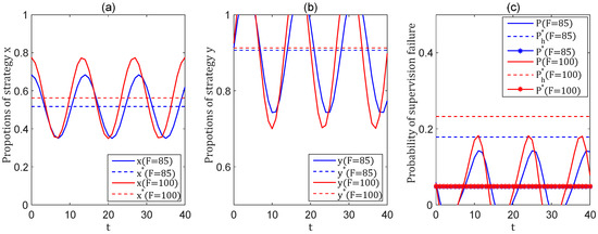
4. Determining Factors of Periodical Fluctuation in Food Safety Supervision
4.1. Initial State of the Food Safety Supervision Game
4.2. Benefit–Cost Parameters of the Food Safety Supervision Game
5. Conclusions and Policy Implications
5.1. Main Conclusions
5.2. Policy Implications
Author Contributions
Funding
Institutional Review Board Statement
Informed Consent Statement
Data Availability Statement
Conflicts of Interest
References
- Kelth, V. The First Artificial Sweetener Poisoned Lots of Romans. 2012. Available online: http://io9.gizmodo.com/5877587/the-first-artificial-sweetener-poisoned-lots-of-romas (accessed on 8 May 2021).
- Yang, R.; Wei, H.; Zhang, L.; Thomas, M.; Pei, X. Milk adulteration with melamine in China: Crisis and response. Qual. Assur. Saf. Crops Foods 2009, 1, 111–116. [Google Scholar] [CrossRef]
- Harrington, R. Dioxin-Contaminated Liquid Eff Distributed in UK. 2011. Available online: https://www.feednavigator.com/Article/2011/01/07/Dioxin-contaminated-liquid-egg-distributed-in-UK (accessed on 8 May 2021).
- Liu, G. The enlightenment of the “poisonous eggs” in Europe. Chin. J. Anim. Sci. 2017, 18, 64–65. (In Chinese) [Google Scholar]
- Liu, P.; Ma, L. Food scandals, media exposure, and citizens’ safety concerns: A multilevel analysis across Chinese cities. Food Policy 2016, 63, 102–111. [Google Scholar] [CrossRef]
- Taylor, M.; Klaiber, H.A.; Kuchler, F. Changes in U.S. consumer response to food safety recalls in the shadow of a BSE scare. Food Policy 2016, 62, 56–64. [Google Scholar] [CrossRef]
- Liu, R.; Hei, W.; He, P.; Li, Z. Simultaneous determination of fifteen illegal dyes in animal feeds and poultry products by ultra-high performance liquid chromatography tandem mass spectrometry. J. Chromatogr. B 2011, 879, 2416–2422. [Google Scholar] [CrossRef] [PubMed]
- Xiu, C.; Klein, K.K. Melamine in milk products in China: Examining the factors that led to deliberate use of the contaminant. Food Policy 2010, 35, 463–470. [Google Scholar] [CrossRef]
- Lu, F.; Wu, X. China food safety hits the “gutter”. Food Control 2014, 41, 134–138. [Google Scholar] [CrossRef]
- Juan, J.S.; Fu, Y. On right to adequate food and relevant concepts from the legal Perspective. J. Hum. Rights 2017, 16, 256–277. (In Chinese) [Google Scholar]
- Robbins, J.A.; Franks, B.; Weary, D.M.; Keyserlingk, M.V. Awareness of ag-gag laws erodes trust in farmers and increases support for animal welfare regulations. Food Policy 2016, 61, 121–125. [Google Scholar] [CrossRef]
- Lam, H.M.; Remais, J.; Fung, M.C.; Xu, L.; Sun, S.M. Food supply and food safety issues in China. Lancet 2013, 381, 2044–2053. [Google Scholar] [CrossRef] [Green Version]
- Peng, L. Chinese food safety regulation: An empirical study on regime change and performance evaluation. J. Public Manag. 2010, 7, 63–78. (In Chinese) [Google Scholar]
- Unnevehr, L.; Hoffmann, V. Food safety management and regulation: International experiences and lessons for China. J. Integr. Agric. 2015, 14, 2218–2230. [Google Scholar] [CrossRef]
- Holtkamp, N.; Liu, P.; Mcguire, W. Regional patterns of food safety in China: What can we learn from media data? China Econ. Rev. 2014, 30, 459–468. [Google Scholar] [CrossRef]
- Jia, C.; Jukes, D. The national food safety control system of China—A systematic review. Food Control 2013, 32, 236–245. [Google Scholar] [CrossRef]
- Yang, G. Contesting food safety in the Chinese media: Between hegemony and counter-hegemony. China Q. 2013, 214, 337–355. [Google Scholar] [CrossRef]
- Shao, Y.T.; Wang, Y.P.; Yuan, Y.W. Food safety and government regulation in rural China. J. Agric. Food Res. 2021, 5, 100170. [Google Scholar] [CrossRef]
- Pei, X.; Tandon, A.; Alldrick, A.; Giorgi, L.; Huang, W.; Yang, R. The China melamine milk scandal and its implications for food safety regulation. Food Policy 2011, 36, 412–420. [Google Scholar] [CrossRef]
- Yang, S.; Zhuang, J.C.; Meng, X.H.; Wang, A.F. Evolutionary game between food enterprise and government under different reward and punishment mechanisms. Manag. Rev. 2021, 6, 33. (In Chinese) [Google Scholar]
- McCluskey, J.J. A game theoretic approach to organic foods: An analysis of asymmetric information and policy. Agric. Resour. Econ. Rev. 2000, 29, 1–9. [Google Scholar] [CrossRef] [Green Version]
- Peng, Y.; Li, J.; Xia, H.; Qi, S.; Li, J. The effects of food safety issues released by we media on consumers’ awareness and purchasing behaviour: A case study in China. Food Policy 2015, 51, 44–52. [Google Scholar] [CrossRef]
- Smith, J.; Price, G. The Logic of Animal Conflict. Nature 1973, 246, 15–18. [Google Scholar] [CrossRef]
- Smith, J.M. The theory of games and the evolution of animal conflicts. J. Theor. Biol. 1974, 47, 209–221. [Google Scholar] [CrossRef] [Green Version]
- Luo, M.; Fan, R.; Zhang, Y.; Zhu, C. Environmental governance cooperative behavior among enterprises with reputation effect based on complex networks evolutionary game model. Int. J. Environ. Res. Public Health 2020, 17, 5. [Google Scholar] [CrossRef] [PubMed] [Green Version]
- Du, Q.; Yan, Y.; Huang, Y.; Hao, C.; Wu, J. Evolutionary games of low-carbon behaviors of construction stakeholders under carbon taxes. Int. J. Environ. Res. Public Health 2021, 18, 508. [Google Scholar] [CrossRef]
- Cao, Y.; Yu, Z.Y.; Wan, G.Y. Evolutionary game study between government and enterprises in food adulteration under the new media environment. Chin. J. Manag. Sci. 2017, 6, 25. (In Chinese) [Google Scholar]
- Zhang, G.X.; Gao, W.X.; Guan, X. Evolutionary game model of food safety Supervision based on third-party supervision. J. Syst. Eng. 2015, 30, 153–164. (In Chinese) [Google Scholar]
- Han, F.X.; Li, H. Food safety evolutionary game simulation model based on improved prospect theory. J. Interdiscip. Math. 2017, 20, 1349–1354. [Google Scholar] [CrossRef]
- Zhu, X.; Huang, I.Y.; Manning, L. The role of media reporting in food safety governance in China: A dairy case study. Food Control 2019, 96, 165–179. [Google Scholar] [CrossRef]
- Jusup, M.; Holme, P.; Kanazawa, K.; Takayasu, M.; Romic, I.; Wang, Z.; Geček, S.; Lipić, T.; Podobnik, B.; Wang, L.; et al. Social physics. Phys. Rep. 2022, 948, 1–148. [Google Scholar] [CrossRef]
- Shen, C.; Jusup, M.; Shi, L.; Wang, Z.; Holme, P. Exit rights open complex pathways to cooperation. J. R. Soc. Interface 2020, 18, 20200777. [Google Scholar] [CrossRef]
- Liu, Q.L.; Li, X.C.; Hassall, M. Evolutionary game analysis and stability control scenarios of coal mine safety inspection system in China based on system dynamics. Saf. Sci. 2015, 80, 13–22. [Google Scholar] [CrossRef]
- Taylor, P.D.; Jonker, L.B. Evolutionarily stable strategies and game dynamics. Math. Biosci. 1978, 40, 145–156. [Google Scholar] [CrossRef]
- Friedman, D. On economic applications of evolutionary game theory. J. Evol. Econ. 1998, 8, 15–43. [Google Scholar] [CrossRef] [Green Version]








| Variables | Meanings of the Variables | Notes | |
|---|---|---|---|
| Supervision institution | Supervision institution’s cost of strict supervision strategy | ||
| Supervision institution’s benefits derived from legal production | |||
| Expected loss of overall social benefits due to illegal production | |||
| Probability of adopting loose supervision strategy | |||
| Food enterprise | Food enterprise’s cost of legal production | ||
| Food enterprise’s benefits derived from legal production | |||
| Punishment of food enterprise with illegal production when discovered | |||
| Added benefits for food enterprise with illegal production when escaping regulation | |||
| Probability of adopting legal production strategy | 
| Food Enterprise (C) | |||
|---|---|---|---|
| Legal Production | Illegal Production | ||
| Supervision institution (G) | Loose supervision | ||
| Strict supervision | |||
| Fixed Points | Eigenvalues | Stability | |
|---|---|---|---|
| (0,0) | unstable | ||
| (0,1) | unstable | ||
| (1,0) | unstable | ||
| (1,1) | unstable | ||
| (,) | stable | ||
| Publisher’s Note: MDPI stays neutral with regard to jurisdictional claims in published maps and institutional affiliations. | 
© 2022 by the authors. Licensee MDPI, Basel, Switzerland. This article is an open access article distributed under the terms and conditions of the Creative Commons Attribution (CC BY) license (https://creativecommons.org/licenses/by/4.0/).
Share and Cite
Sun, J.; Fan, R.; Yang, Z. An Evolutionary Game Analysis of Periodical Fluctuation in Food Safety Supervision. Mathematics 2022, 10, 1326. https://doi.org/10.3390/math10081326
Sun J, Fan R, Yang Z. An Evolutionary Game Analysis of Periodical Fluctuation in Food Safety Supervision. Mathematics. 2022; 10(8):1326. https://doi.org/10.3390/math10081326
Chicago/Turabian StyleSun, Jiaqin, Ruguo Fan, and Zhou Yang. 2022. "An Evolutionary Game Analysis of Periodical Fluctuation in Food Safety Supervision" Mathematics 10, no. 8: 1326. https://doi.org/10.3390/math10081326
APA StyleSun, J., Fan, R., & Yang, Z. (2022). An Evolutionary Game Analysis of Periodical Fluctuation in Food Safety Supervision. Mathematics, 10(8), 1326. https://doi.org/10.3390/math10081326
 
         
                                                

 
       