Gradient-Based Optimization Algorithm for Solving Sylvester Matrix Equation
Abstract
:1. Introduction
2. The Variant of an Optimization Problem
3. Iterative Methods
3.1. APG Method
3.2. Restart APG Method
| Algorithm 2 RAPG algorithm. |
|
3.3. A-APG Method
| Algorithm 3 A-APG algorithm. |
|
3.4. Newton-APG Method
| Algorithm 4 Newton-APG algorithm. |
|
3.5. Gradient Descent (GD) and Line Search (LGD) Methods
| Algorithm 5 GD and LGD algorithms. |
3.6. Computational Complexity Analysis
4. Convergent Analysis
4.1. Linear Search Is Well-Defined
4.2. Sufficient Decrease Property
4.3. Bounded Gradient
4.4. Subsequence Convergence
4.5. Sequence Convergence
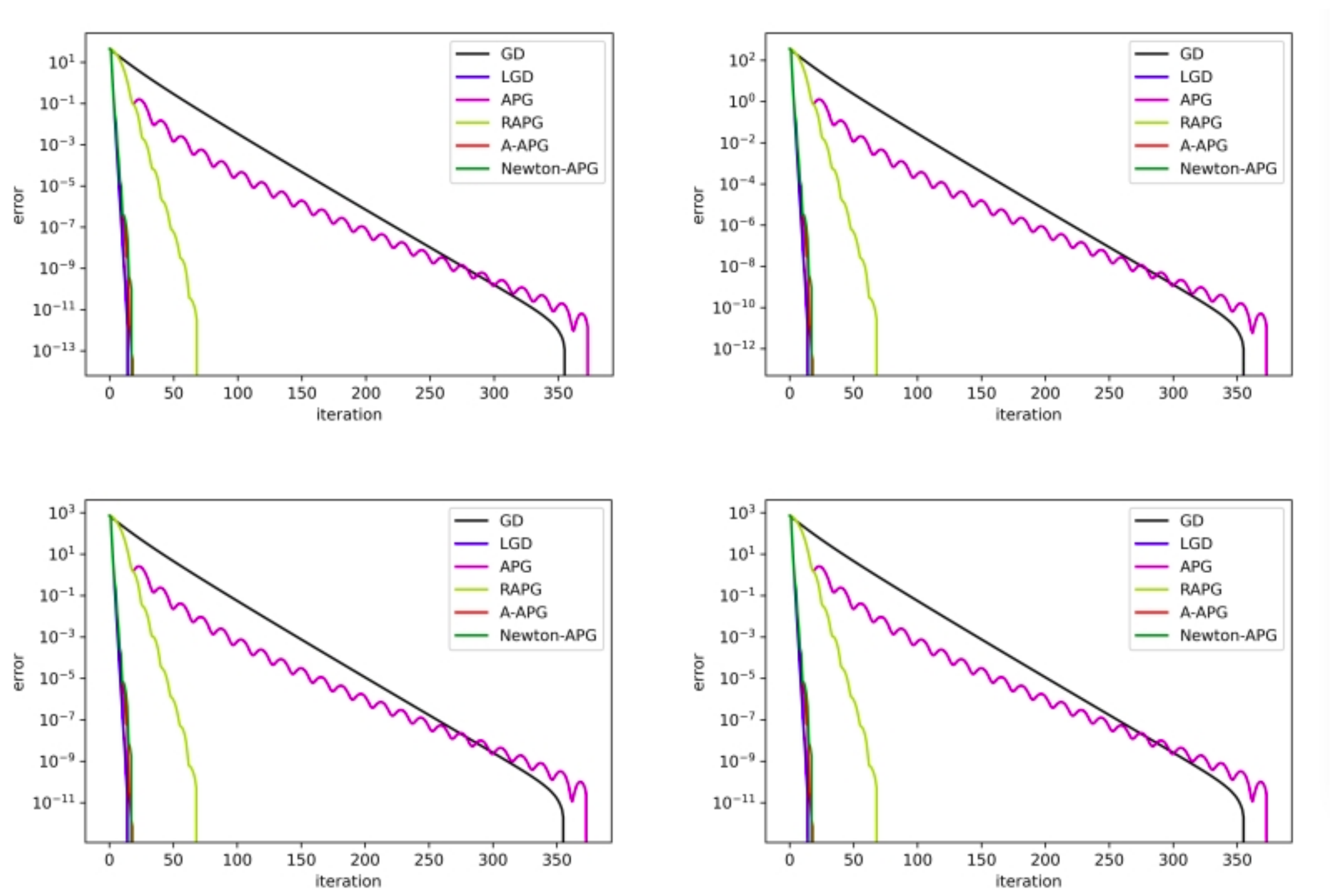
5. Numerical Results
6. Conclusions
Author Contributions
Funding
Institutional Review Board Statement
Informed Consent Statement
Data Availability Statement
Conflicts of Interest
References
- Dooren, P.M.V. Structured Linear Algebra Problems in Digital Signal Processing; Springer: Berlin/Heidelberg, Germany, 1991. [Google Scholar]
- Gajic, Z.; Qureshi, M.T.J. Lyapunov Matrix Equation in System Stability and Control; Courier Corporation: Chicago, IL, USA, 2008. [Google Scholar]
- Corless, M.J.; Frazho, A. Linear Systems and Control: An Operator Perspective; CRC Press: Boca Raton, FL, USA, 2003. [Google Scholar]
- Stewart, G.W.; Sun, J. Matrix Perturbation Theory; Academic Press: London, UK, 1990. [Google Scholar]
- Simoncini, V.; Sadkane, M. Arnoldi-Riccati method for large eigenvalue problems. BIT Numer. Math. 1996, 36, 579–594. [Google Scholar]
- Demmel, J.W. Three methods for refining estimates of invariant subspaces. Computing 1987, 38, 43–57. [Google Scholar]
- Chen, T.W.; Francis, B.A. Optimal Sampled-Data Control Systems; Springer: London, UK, 1995. [Google Scholar]
- Datta, B. Numerical Methods for Linear Control Systems; Elsevier Inc.: Amsterdam, The Netherlands, 2004. [Google Scholar]
- Lord, N. Matrix computations. Math. Gaz. 1999, 83, 556–557. [Google Scholar]
- Zhao, X.L.; Wang, F.; Huang, T.Z. Deblurring and sparse unmixing for hyperspectral images. IEEE Trans. Geosci. Remote Sens. 2013, 51, 4045–4058. [Google Scholar]
- Obinata, G.; Anderson, B.D.O. Model Reduction for Control System Design; Springer Science & Business Media: London, UK, 2001. [Google Scholar]
- Bouhamidi, A.; Jbilou, K. A note on the numerical approximate solutions for generalized Sylvester matrix equations with applications. Appl. Math. Comput. 2008, 206, 687–694. [Google Scholar]
- Bai, Z.Z.; Benzi, M.; Chen, F. Modified HSS iteration methods for a class of complex symmetric linear systems. Computing 2010, 87, 93–111. [Google Scholar]
- Bartels, R.H.; Stewart, G.W. Solution of the matrix equation AX + XB = C. Commun. ACM 1972, 15, 820–826. [Google Scholar]
- Golub, G.H. A Hessenberg-Schur Method for the Problem AX + XB = C; Cornell University: Ithaca, NY, USA, 1978. [Google Scholar]
- Robbé, M.; Sadkane, M. A convergence analysis of GMRES and FOM methods for Sylvester equations. Numer. Algorithms 2002, 30, 71–89. [Google Scholar]
- Guennouni, A.E.; Jbilou, K.; Riquet, A.J. Block Krylov subspace methods for solving large Sylvester equations. Numer. Algorithms 2002, 29, 75–96. [Google Scholar]
- Salkuyeh, D.K.; Toutounian, F. New approaches for solving large Sylvester equations. Appl. Math. Comput. 2005, 173, 9–18. [Google Scholar]
- Wachspress, E.L. Iterative solution of the Lyapunov matrix equation. Appl. Math. Lett. 1988, 1, 87–90. [Google Scholar]
- Jbilou, K.; Messaoudi, A.; Sadok, H. Global FOM and GMRES algorithms for matrix equations. Appl. Numer. Math. 1999, 31, 49–63. [Google Scholar]
- Feng, D.; Chen, T. Gradient Based Iterative Algorithms for Solving a Class of Matrix Equations. IEEE Trans. Autom. Control 2005, 50, 1216–1221. [Google Scholar]
- Heyouni, M.; Movahed, F.S.; Tajaddini, A. On global Hessenberg based methods for solving Sylvester matrix equations. Comput. Math. Appl. 2019, 77, 77–92. [Google Scholar]
- Benner, P.; Kürschner, P. Computing real low-rank solutions of Sylvester equations by the factored ADI method. Comput. Math. Appl. 2014, 67, 1656–1672. [Google Scholar]
- Bouhamidi, A.; Hached, M.; Heyouni, M.J.; Bilou, K. A preconditioned block Arnoldi method for large Sylvester matrix equations. Numer. Linear Algebra Appl. 2013, 20, 208–219. [Google Scholar]
- Heyouni, M. Extended Arnoldi methods for large low-rank Sylvester matrix equations. Appl. Numer. Math. 2010, 60, 1171–1182. [Google Scholar]
- Agoujil, S.; Bentbib, A.H.; Jbilou, K.; Sadek, E.M. A minimal residual norm method for large-scale Sylvester matrix equations. Electron. Trans. Numer. Anal. Etna 2014, 43, 45–59. [Google Scholar]
- Abdaoui, I.; Elbouyahyaoui, L.; Heyouni, M. An alternative extended block Arnoldi method for solving low-rank Sylvester equations. Comput. Math. Appl. 2019, 78, 2817–2830. [Google Scholar]
- Jbilou, K. Low rank approximate solutions to large Sylvester matrix equations. Appl. Math. Comput. 2005, 177, 365–376. [Google Scholar]
- Liang, B.; Lin, Y.Q.; Wei, Y.M. A new projection method for solving large Sylvester equations. Appl. Numer. Math. 2006, 57, 521–532. [Google Scholar]
- Jiang, K.; Si, W.; Chen, C.; Bao, C. Efficient numerical methods for computing the stationary states of phase-field crystal models. SIAM J. Sci. Comput. 2020, 42, B1350–B1377. [Google Scholar]
- Beck, A.; Teboulle, M. A Fast Iterative Shrinkage-Thresholding Algorithm for Linear Inverse Problems. SIAM J. Imaging Sci. 2009, 2, 183–202. [Google Scholar]
- Bao, C.; Barbastathis, G.; Ji, H.; Shen, Z.; Zhang, Z. Coherence retrieval using trace regularization. SIAM J. Imaging Sci. 2018, 11, 679–706. [Google Scholar]
- Magnus, J.R.; Neudecker, H. Matrix Differential Calculus; John Willey & Sons: Hoboken, NJ, USA, 1999. [Google Scholar]


| Algorithm | n | Iteration | Error | Time(s) |
|---|---|---|---|---|
| GD | 128 | 356 | 1.13687 × 10 | 3.30 |
| LGD | 128 | 15 | 1.26477 × 10 | 0.27 |
| APG | 128 | 374 | 1.4353 × 10 | 4.31 |
| RAPG | 128 | 69 | 1.4353 × 10 | 1.45 |
| A-APG | 128 | 19 | 3.55271 × 10 | 0.38 |
| Newton-APG | 128 | 18 | 9.47438 × 10 | 0.48 |
| CG | 128 | 19 | 3.49364 × 10 | 0.42 |
| GD | 1024 | 356 | 1.02318 × 10 | 806 |
| LGD | 1024 | 15 | 1.06866 × 10 | 69 |
| APG | 1024 | 374 | 1.18803 × 10 | 1261 |
| RAPG | 1024 | 69 | 2.59774 × 10 | 367 |
| A-APG | 1024 | 19 | 2.84217 × 10 | 113 |
| Newton-APG | 1024 | 18 | 8.95682 × 10 | 144 |
| CG | 1024 | 19 | 3.37046 × 10 | 71 |
| GD | 2048 | 356 | 2.04636 × 10 | 6315 |
| LGD | 2048 | 15 | 2.13731 × 10 | 569 |
| APG | 2048 | 374 | 2.38742 × 10 | 9752 |
| RAPG | 2048 | 69 | 5.20686 × 10 | 2994 |
| A-APG | 2048 | 19 | 6.82121 × 10 | 926 |
| Newton-APG | 2048 | 18 | 8.95682 × 10 | 1015 |
| CG | 2048 | 19 | 3.34616 × 10 | 521 |
| GD | 4096 | 356 | 4.09273 × 10 | 66,155 |
| LGD | 4096 | 15 | 4.27463 × 10 | 4199 |
| APG | 4096 | 374 | 4.77485 × 10 | 71,636 |
| RAPG | 4096 | 69 | 1.04365 × 10 | 21,596 |
| A-APG | 4096 | 19 | 1.81899 × 10 | 6829 |
| Newton-APG | 4096 | 18 | 3.64571 × 10 | 7037 |
| CG | 4096 | 19 | 3.33322 × 10 | 3553 |
| Algorithm | n | Iteration | Error | Time(s) |
|---|---|---|---|---|
| GD | 128 | 243 | 1.63425 × 10 | 2.38 |
| LGD | 128 | 20 | 2.45137 × 10 | 0.47 |
| APG | 128 | 260 | 1.58096 × 10 | 4.51 |
| RAPG | 128 | 53 | 1.90781 × 10 | 1.46 |
| A-APG | 128 | 32 | 3.55271 × 10 | 0.78 |
| Newton-APG | 128 | 36 | 2.30926 × 10 | 1.26 |
| CG | 128 | 34 | 4.13025 × 10 | 0.79 |
| GD | 1024 | 243 | 1.3074 × 10 | 516 |
| LGD | 1024 | 20 | 1.89573 × 10 | 95 |
| APG | 1024 | 260 | 1.25056 × 10 | 835 |
| RAPG | 1024 | 53 | 1.51772 × 10 | 267 |
| A-APG | 1024 | 32 | 4.61569 × 10 | 181 |
| Newton-APG | 1024 | 36 | 4.20641 × 10 | 214 |
| CG | 1024 | 34 | 4.29936 × 10 | 92 |
| GD | 2048 | 243 | 2.6148 × 10 | 4129 |
| LGD | 2048 | 20 | 3.78577 × 10 | 814 |
| APG | 2048 | 260 | 2.48974 × 10 | 6507 |
| RAPG | 2048 | 53 | 3.03544 × 10 | 2193 |
| A-APG | 2048 | 32 | 2.27374 × 10 | 1622 |
| Newton-APG | 2048 | 36 | 8.52651 × 10 | 2125 |
| CG | 2048 | 34 | 4.22694 × 10 | 797 |
| GD | 4096 | 243 | 5.22959 × 10 | 29,859 |
| LGD | 4096 | 20 | 7.54881 × 10 | 6023 |
| APG | 4096 | 260 | 4.97948 × 10 | 48,238 |
| RAPG | 4096 | 53 | 6.07088 × 10 | 16,482 |
| A-APG | 4096 | 32 | 2.27374 × 10 | 12,896 |
| Newton-APG | 4096 | 36 | 7.95808 × 10 | 14,901 |
| CG | 4096 | 34 | 4.18275 × 10 | 5337 |
Publisher’s Note: MDPI stays neutral with regard to jurisdictional claims in published maps and institutional affiliations. |
© 2022 by the authors. Licensee MDPI, Basel, Switzerland. This article is an open access article distributed under the terms and conditions of the Creative Commons Attribution (CC BY) license (https://creativecommons.org/licenses/by/4.0/).
Share and Cite
Zhang, J.; Luo, X. Gradient-Based Optimization Algorithm for Solving Sylvester Matrix Equation. Mathematics 2022, 10, 1040. https://doi.org/10.3390/math10071040
Zhang J, Luo X. Gradient-Based Optimization Algorithm for Solving Sylvester Matrix Equation. Mathematics. 2022; 10(7):1040. https://doi.org/10.3390/math10071040
Chicago/Turabian StyleZhang, Juan, and Xiao Luo. 2022. "Gradient-Based Optimization Algorithm for Solving Sylvester Matrix Equation" Mathematics 10, no. 7: 1040. https://doi.org/10.3390/math10071040
APA StyleZhang, J., & Luo, X. (2022). Gradient-Based Optimization Algorithm for Solving Sylvester Matrix Equation. Mathematics, 10(7), 1040. https://doi.org/10.3390/math10071040
