Numerical Investigation of MWCNT and SWCNT Fluid Flow along with the Activation Energy Effects over Quartic Auto Catalytic Endothermic and Exothermic Chemical Reactions
Abstract
1. Introduction
2. Mathematical Model
3. Numerical Solution
4. Step-by-Step Graphical Detail of the Problem
4.1. Problem Formulation
4.2. Modeling
4.3. Numerical Process
4.4. Numerical Results
4.5. Analysis
5. Results and Discussions
6. Conclusions
- ▪
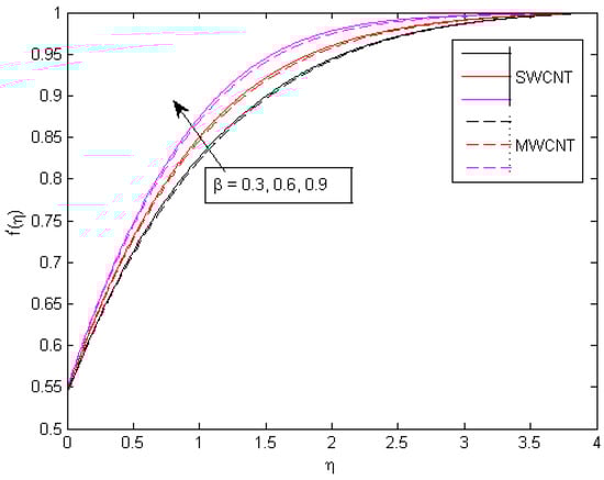
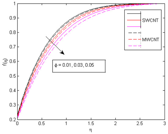
- Larger magnetic parameters, slip parameters, and velocity ratio factors all cause fluid flow to speed up, but the solid volume fraction causes it to slow down.
- ▪
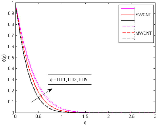
- As with the measurements of the heat generation and solid volume ratio, the system is observed to gradually cool down.
- ▪
- When increasing the slip parameters and velocity ratio, fluid tends to flow smoothly, whereas for the solid volume fractions, surface roughness increased.
- ▪
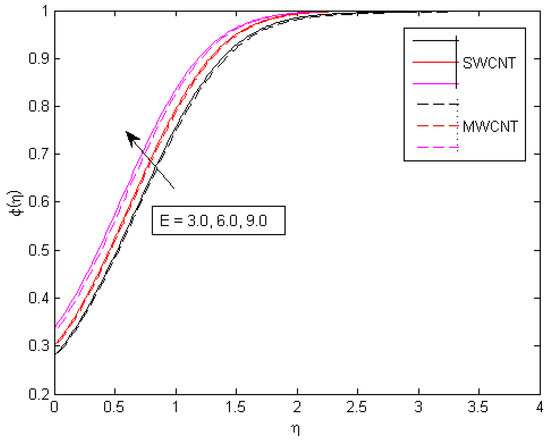
- The concentration profile decreases for the larger values of activation energy and exothermic/endothermic parameters.
- ▪
- The process of heat transmission inside the system was influenced in opposing ways by the velocity ratio parameter as well as the thermal expansion parameter.
Author Contributions
Funding
Data Availability Statement
Acknowledgments
Conflicts of Interest
Nomenclature
| Symbols | |
| Velocity component along the x and y directions | |
| Volumetric rate of a heat source | |
| Prandtl number | |
| Free-stream velocity of the fluid | |
| Schmidt number | |
| Surface drag force | |
| Local heat transfer | |
| Dimensionless stream velocity | |
| E | Activation energy |
| Dimensionless heat generation parameter | |
| Unitless rate constants | |
| Greek Symbols | |
| Density of nanofluid | |
| Density of fluid | |
| Navier slip length density | |
| Velocity ratio parameter | |
| Dynamic viscosity shear stress | |
| Dynamic viscosity shear stress | |
| Dynamic viscosity shear stress | |
| Thermal diffusivity of nanofluid | |
| Ratio of specific heats | |
| Reciprocal of some critical shear rate | |
| Critical shear rate | |
| Heat capacity of nanofluid | |
| Coefficient of thermal expansion | |
| Heat capacity of fluid | |
| Non-dimensional slip velocity parameter | |
| Electric conductivity of fluid | |
| Electric conductivity of fluid | |
| Electric conductivity of nanofluid | |
| Coefficient of thermal expansion of carbon nanotubes | |
| Nanofluid volume fraction | |
| Dimensionless thermal relaxation time | |
| Exothermic/endothermic parameter | |
| Dimensionless chemical reaction rate | |
| Thermal conductivity of nanofluid | |
| Thermal conductivity of fluid | |
| Kinematic viscosity of nanofluid | |
| Thermal conductivity of carbon nanotubes | |
| Density of carbon nanotubes | |
| Heat capacity of carbon nanotubes | |
| Magnetic field strength |
References
- Masuda, H.; Ebata, A.; Teramae, K. Alteration of thermal conductivity and viscosity of liquid by dispersing ultra-fine particles. Dispersion of Al2O3, SiO2 and TiO2 ultra-fine particles. Sci. Inf. Database 1993. [Google Scholar] [CrossRef]
- Choi, S.U.S.; Eastman, J.A. Enhancing Thermal Conductivity of Fluids with Nanoparticles; Argonne National Lab: Argonne, IL, USA, 1995. [Google Scholar]
- Sadaf, H.; Nadeem, S. Influences of slip and Cu-blood nanofluid in a physiological study of cilia. Comput. Methods Programs Biomed. 2016, 131, 169–180. [Google Scholar] [CrossRef] [PubMed]
- Sivasankaran, S.; Alsabery, A.; Hashim, I. Internal heat generation effect on transient natural convection in a nanofluid-saturated local thermal non-equilibrium porous inclined cavity. Phys. A Stat. Mech. Its Appl. 2018, 509, 275–293. [Google Scholar] [CrossRef]
- Ahmed, N.; Khan, U.; Mohyud-Din, S.T. Modified heat transfer flow model for SWCNTs-H2O and MWCNTs-H2O over a curved stretchable semi-infinite region with thermal jump and velocity slip: A numerical simulation. Phys. A Stat. Mech. Its Appl. 2020, 545, 123431. [Google Scholar] [CrossRef]
- Hosseinzadeh, K.; Asadi, A.; Mogharrebi, A.R.; Khalesi, J.; Mousavisani, S.M.; Ganji, D.D. Entropy generation analysis of (CH2OH)2 containing CNTs nanofluid flow under effect of MHD and thermal radiation. Case Stud. Therm. Eng. 2019, 14, 100482. [Google Scholar] [CrossRef]
- Ramzan, M.; Mohammad, M.; Howari, F.; Chung, J.D. Entropy analysis of carbon nanotubes based nanofluid flow past a vertical cone with thermal radiation. Entropy 2019, 21, 642. [Google Scholar] [CrossRef]
- Khan, M.I.; Hayat, T.; Shah, F.; Haq, F. Physical aspects of CNTs and induced magnetic flux in stagnation point flow with quartic chemical reaction. Int. J. Heat Mass Transf. 2019, 135, 561–568. [Google Scholar] [CrossRef]
- Ramzan, M.; Mohammad, M.; Howari, F. Magnetized suspended carbon nanotubes based nanofluid flow with bio-convection and entropy generation past a vertical cone. Sci. Rep. 2019, 9, 1–15. [Google Scholar] [CrossRef]
- Khan, S.U.; Rauf, A.; Shehzad, S.A.; Abbas, Z.; Javed, T. Study of bioconvection flow in Oldroyd-B nanofluid with motile organisms and effective Prandtl approach. Phys. A Stat. Mech. Its Appl. 2019, 527, 121179. [Google Scholar] [CrossRef]
- Siryk, S.V.; Bendandi, A.; Diaspro, A.; Rocchia, W. Charged dielectric spheres interacting in electrolytic solution: A linearized Poisson–Boltzmann equation model. J. Chem. Phys. 2021, 155, 114114. [Google Scholar] [CrossRef]
- Yu, Y.K. Electrostatics of charged dielectric spheres with application to biological systems. III. Rigorous ionic screening at the Debye-Hückel level. Phys. Rev. E 2020, 102, 1–5. [Google Scholar] [CrossRef]
- Bilal, M.; Mazhar, S.Z.; Ramzan, M.; Mehmood, Y. Time-dependent hydromagnetic stagnation point flow of a Maxwell nanofluid with melting heat effect and amended Fourier and Fick’s laws. Heat Transf. 2021, 50, 4417–4434. [Google Scholar] [CrossRef]
- Bilal, M.; Arshad, H.; Ramzan, M.; Shah, Z.; Kumam, P. Unsteady hybrid-nanofluid flow comprising ferrousoxide and CNTs through porous horizontal channel with dilating/squeezing walls. Sci. Rep. 2021, 11, 12637. [Google Scholar] [CrossRef] [PubMed]
- Bilal, M.; Ramzan, M.; Mehmood, Y.; Alaoui, M.K.; Chinram, R. An entropy optimization study of non-Darcian magnetohydrodynamic Williamson nanofluid with nonlinear thermal radiation over a stratified sheet. Proc. IMechE Part E J. Process. Mech. Eng. 2021, 235, 1883–1894. [Google Scholar] [CrossRef]
- Bilal, M.; Ramzan, M.; Mehmood, Y.; Sajid, T.; Shah, S.; Malik, M.Y. A novel approach for EMHD Williamson nanofluid over nonlinear sheet with double stratification and Ohmic dissipation. Proc. IMechE Part E J. Process. Mech. Eng. 2021, 1–16. [Google Scholar] [CrossRef]
- Bilal, M.; Ramzan, M.; Siddique, I.; Anum, A. A numerical simulation of electrically conducting micro-channel nanofluid flow with thermal slip effects. Waves Random Complex Media 2022, 1–25. [Google Scholar] [CrossRef]
- Maleque, K. Effects of exothermic/endothermic chemical reactions with Arrhenius activation energy on MHD free convection and mass transfer flow in presence of thermal radiation. J. Thermodyn. 2013, 2013, 692516. [Google Scholar] [CrossRef]
- Bejawada, S.G.; Reddy, Y.D.; Jamshed, W.; Nisar, K.S.; Alharbi, A.N.; Chouikh, R. Radiation effect on MHD Casson fluid flow over an inclined non-linear surface with chemical reaction in a Forchheimer porous medium. Alex. Eng. J. 2022, 61, 8207–8220. [Google Scholar] [CrossRef]
- Suleman, M.; Ramzan, M.; Ahmad, S.; Lu, D.C. Numerical simulation for homogeneous–heterogeneous reactions and Newtonian heating in the silver-water nanofluid flow past a nonlinear stretched cylinder. Phys. Scr. 2019, 94, 085702. [Google Scholar] [CrossRef]
- Imtiaz, M.; Mabood, F.; Hayat, T.; Alsaedi, A. Homogeneous-heterogeneous reactions in MHD radiative flow of second grade fluid due to a curved stretching surface. Int. J. Heat Mass Transf. 2019, 145, 118781. [Google Scholar] [CrossRef]
- Suleman, M.; Ramzan, M.; Ahmad, S.; Lu, D.C.; Muhammad, T.; Chung, J.D. A numerical simulation of silver-water nanofluid flow with impacts of newtonian heating and homogeneous–heterogeneous reactions past a nonlinear stretched cylinder. Symmetry 2019, 11, 295. [Google Scholar] [CrossRef]
- Doh, D.H.; Muthtamilselvan, M.; Swathene, B.; Ramya, E. Homogeneous and heterogeneous reactions in a nanofluid flow due to a rotating disk of variable thickness using HAM. Math. Comput. Simul. 2020, 168, 90–110. [Google Scholar] [CrossRef]
- Khan, M.I.; Hayat, T.; Khan, M.I.; Waqas, M.; Alsaedi, A. Numerical simulation of hydromagnetic mixed convective radiative slip flow with variable fluid properties: A mathematical model for entropy generation. J. Phys. Chem. Solids 2019, 125, 153–164. [Google Scholar] [CrossRef]
- Hamid, M.; Zubair, T.; Usman, M.; Khan, Z.H.; Wang, W. Natural convection effects on heat and mass transfer of slip flow of time-dependent Prandtl fluid. J. Comput. Des. Eng. 2019, 6, 584–592. [Google Scholar] [CrossRef]
- Reddy, S.R.R.; Reddy, P.B.A.; Bhattacharyya, K. Effect of nonlinear thermal radiation on 3D magneto slip flow of Eyring-Powell nanofluid flow over a slendering sheet with binary chemical reaction and Arrhenius activation energy. Adv. Powder Technol. 2019, 30, 3203–3213. [Google Scholar] [CrossRef]
- Kiyasatfar, M. Convective heat transfer and entropy generation analysis of non-Newtonian power-law fluid flows in parallel-plate and circular microchannels under slip boundary conditions. Int. J. Therm. Sci. 2018, 128, 15–27. [Google Scholar] [CrossRef]
- Othman, M.N.; Jedia, A.; Bakar, N.A.A. MHD Stagnation Point on Nanofluid Flow and Heat Transfer of Carbon Nanotube over a Shrinking Surface with Heat Sink Effect. Molecules 2021, 26, 7441. [Google Scholar] [CrossRef]
- Wang, C. Stagnation flow towards a shrinking sheet. Int. J. -Non-Linear Mech. 2008, 43, 377–382. [Google Scholar] [CrossRef]


























| Physical Attributes | Base Fluid | MWCNT | SWCNT |
|---|---|---|---|
| 4179 | 796 | 425 | |
| 997 | 1600 | 2600 | |
| 0.613 | 3000 | 6600 | |
| Ramzan et al. [7] | Ramzan et al. [7] | Present | Results | Present | Results | |||
|---|---|---|---|---|---|---|---|---|
| SWCNT | MWCNT | SWCNT | MWCNT | SWCNT | MWCNT | SWCNT | MWCNT | |
| 0.01 | 0.338910 | 0.337270 | 1.105710 | 1.079040 | 0.338995 | 0.337276 | 1.105710 | 1.079043 |
| 0.1 | 0.408120 | 0.390070 | 4.806290 | 4.277160 | 0.408107 | 0.390084 | 4.806290 | 4.277160 |
| 0.2 | 0.504530 | 0.464660 | 12.30352 | 10.56796 | 0.504522 | 0.464669 | 12.30358 | 10.56796 |
| Parameters | Comparison Analysis | |||
| Othman et al. [28] | Wang [29] | Current | ||
| 0 | 2 | −1.887306668 | −1.88731 | −1.88795 |
| 0 | 1 | 0 | 0 | 0 |
| 0 | 0.5 | 0.71329495 | 0.7133 | 0.7136 |
| 0 | 0 | 1.232587647 | 1.232588 | 1.232600 |
| 0 | −0.5 | 1.495669739 | 1.49567 | 1.49590 |
| 0 | −1 | 1.328816861 | 1.32882 | 1.32900 |
| SWCNT | MWCNT | ||||||||||
| 0.1 | 0.1 | 0.01 | 0.1 | 0.5 | 0.5 | 1 | 0.5 | 0.1 | 0.1 | 1.118505 | 1.113907 |
| 0.3 | 0.909755 | 0.906056 | |||||||||
| 0.5 | 0.678612 | 0.675895 | |||||||||
| 0.2 | 0.1 | 1.178579 | 1.175287 | ||||||||
| 0.2 | 1.037153 | 1.034589 | |||||||||
| 0.3 | 0.924627 | 0.922584 | |||||||||
| 0.5 | 0.01 | 0.719589 | 0.718489 | ||||||||
| 0.03 | 0.753620 | 0.750208 | |||||||||
| 0.05 | 0.790372 | 0.784373 | |||||||||
| 0.01 | 0.2 | 0.709207 | 0.707394 | ||||||||
| 0.3 | 0.721306 | 0.719536 | |||||||||
| 0.4 | 0.733302 | 0.731576 | |||||||||
| 0.1 | 0.1 | 0.796844 | 0.793677 | ||||||||
| 0.3 | 0.908853 | 0.905215 | |||||||||
| 0.5 | 1.015271 | 1.011183 | |||||||||
| 0.5 | 0.1 | 1.045206 | 1.044045 | ||||||||
| 0.5 | 0.933344 | 0.921626 | |||||||||
| 0.5 | 0.815149 | 0.805263 | |||||||||
| 0.9 | 0.1 | 0.631555 | 0.618866 | ||||||||
| 0.5 | 0.755968 | 0.743733 | |||||||||
| 1 | 0.875441 | 0.863706 | |||||||||
| 1 | 0.2 | 0.835110 | 0.825900 | ||||||||
| 0.3 | 0.745517 | 0.737508 | |||||||||
| 0.4 | 0.655203 | 0.648064 | |||||||||
| 0.1 | 0.1 | 0.559715 | 0.552366 | ||||||||
| 0.5 | 0.465787 | 0.459695 | |||||||||
| 0.9 | 0.364019 | 0.365172 | |||||||||
| 0.1 | 0.2 | 0.745179 | 0.737164 | ||||||||
| 0.3 | 0.654127 | 0.647323 | |||||||||
| 0.4 | 0.555421 | 0.5558216 | |||||||||
Publisher’s Note: MDPI stays neutral with regard to jurisdictional claims in published maps and institutional affiliations. |
© 2022 by the authors. Licensee MDPI, Basel, Switzerland. This article is an open access article distributed under the terms and conditions of the Creative Commons Attribution (CC BY) license (https://creativecommons.org/licenses/by/4.0/).
Share and Cite
Mehmood, Y.; Shafqat, R.; Sarris, I.E.; Bilal, M.; Sajid, T.; Akhtar, T. Numerical Investigation of MWCNT and SWCNT Fluid Flow along with the Activation Energy Effects over Quartic Auto Catalytic Endothermic and Exothermic Chemical Reactions. Mathematics 2022, 10, 4636. https://doi.org/10.3390/math10244636
Mehmood Y, Shafqat R, Sarris IE, Bilal M, Sajid T, Akhtar T. Numerical Investigation of MWCNT and SWCNT Fluid Flow along with the Activation Energy Effects over Quartic Auto Catalytic Endothermic and Exothermic Chemical Reactions. Mathematics. 2022; 10(24):4636. https://doi.org/10.3390/math10244636
Chicago/Turabian StyleMehmood, Yasir, Ramsha Shafqat, Ioannis E. Sarris, Muhammad Bilal, Tanveer Sajid, and Tasneem Akhtar. 2022. "Numerical Investigation of MWCNT and SWCNT Fluid Flow along with the Activation Energy Effects over Quartic Auto Catalytic Endothermic and Exothermic Chemical Reactions" Mathematics 10, no. 24: 4636. https://doi.org/10.3390/math10244636
APA StyleMehmood, Y., Shafqat, R., Sarris, I. E., Bilal, M., Sajid, T., & Akhtar, T. (2022). Numerical Investigation of MWCNT and SWCNT Fluid Flow along with the Activation Energy Effects over Quartic Auto Catalytic Endothermic and Exothermic Chemical Reactions. Mathematics, 10(24), 4636. https://doi.org/10.3390/math10244636

