Abstract
A new definition of fractional derivative (NFD) with order , is developed in this paper. The new derivative has a smooth kernel that takes on two different representations for the temporal and spatial variables. The advantage of the proposed approach over traditional local theories and fractional models with a singular kernel lies in the possibility that there is a class of problems capable of describing scale-dependent fluctuations and material heterogeneities. Moreover, it has been shown that the NFD converges to the classical derivative faster than some other fractional derivatives.
Keywords:
new fractional derivative; new fractional integral; integral transforms; existence and uniqueness MSC:
26A33; 34A12; 34A34; 35R11
1. Introduction
In a letter dated 30th September 1695, L’Hopital wrote to Leibniz asking him particular notation he has used in his publication for the nth derivative of a function i.e., what would the result be if . Leibniz’s response: “an apparent paradox from which, one day, useful consequences will be drawn. Since 1695, and after L’Hopital’s question regarding the order, Leibniz was the first to begin in this direction. L. Euler (1730) suggested using a relationship for negative or non-integer (rational) values. Riemann (1847) utilized a generalization of a Taylor series for obtaining a formula for fractional order. Riemann introduced an arbitrary “complementary” function because he did not fix the lower bound of integration. This disadvantage he could not solve. From here, the initialized fractional calculus emerged in the latter half of the twentieth century. M. Caputo (1967) introduces a definition of the fractional derivative with a singular kernel. Subsequently, M. Caputo and M. Fabrizio (2015) presented a definition of fractional derivative without a singular kernel [1,2,3].
Fractional calculus (FC) is an incipient tool in the field of mathematics with strong execution in the diverse areas of science and engineering. FC is defined as the generalization of classical calculus where we study the integral and differential operators of fractional order and even can be lengthened to a complex set. In the past few decades, many mathematical minds have strengthened this concept and designed various fractional differential and integral operators [4,5].
Fractional calculus has progressed dramatically in recent decades, as seen by the numerous mathematical volumes devoted to the subject (e.g., Caputo [6], Katugampola et al. [7], Yang et al. [8], and Atangana et al. [9]) and by the notable diffusion as shown by the many conferences dedicated to it and the plethora of articles and non-mathematical journals (e.g., H. K. Jassim et al. [10], Losada et al. [11], Peter et al. [12]).
Apart from mathematics and physics, the usage of fractional-order derivatives has expanded to many other sectors of study (e.g., Laskin [13], Baleanu et al. [14,15]) such as biology (e.g., Cesarone et al. [16], Caputo and Cametti [17]), economics (e.g., Caputo [18]), demographics (e.g., Jumarie [19]), geophysics (e.g., Iaffaldano [20]), medicine (e.g., El Sahed [21]) and bioengineering (e.g., Magin [22]). However, some have expressed dissatisfaction with the rather convoluted mathematical statement of its concept, as well as the resulting complexities in the solution of FPDES.
The novel definition of the fractional derivative is based on two alternative representations of the temporal and spatial variables. With certain simplifications in the equations and calculations, the first representation works on time variables, where the real powers occurring in the solutions of the typical fractional derivative are converted to integer powers. The Laplace transform is appropriate in this context. Because the second representation is connected to the spatial variables, it is more straightforward to deal with the Fourier transform for this non-local fractional derivative. This paper includes various examples and simulations of how these new derivatives behave when applied to classical functions.
2. New Definition of Fractional Derivative
Different definitions of fractional derivatives have been proposed by Riemann, Liouville, Riesz, Grünwald, Letnikov, and Marchaud during the history of fractional calculus. Here, we mention some of them:
Definition 1.
([6,7]). Let
then the definition of Caputo–Fabrizio in the Caputo sense is:
where is a normalization function, such that .
Definition 2.
([23]). Let then the definition of Atangana–Baleanu in the Caputo sense is:
where is the Mittag–Leffler function.
Definition 3.
([6,23]). The Laplace transform of a function is defined as:
where s can be either real or complex.
Definition 4.
([7,24]). The Sumudu transform is defined over the set of functions:
by the following formula:
Now, we show the Laplace and Sumudu transform of fractional derivatives [6,7,23]:
In 1967, Caputo [25] modified the Riemann–Liouville fractional derivative to present a new fractional derivative:
where is integer number, is real number, , , and . The Laplace and Sumudu transforms of the Caputo derivative are [1,23,24]:
Now, by replacing the function with the function and with , the following new definition of fractional time derivative can be obtained:
where, is a function of , such that .
To prove that the new derivative is a generalization of the differential operator, it must be shown that the new derivative is the differential operator for all .
Suppose that is the kernel of the new derivative, if and using the definition of , we obtain:
but, when and using L’Hospital’s rule, we obtain:
from the foregoing, it seems clear that the kernel of the new derivative represents the Dirac delta function, in other words:
using Equation (5), and the properties of the Dirac delta function, we obtain:
Theorem 1.
Let usis the new derivative of order,, , andthen the following relationships are correct:
Proof.
Using the properties of integration, this theorem can easily be proven. □
Lemma 1.
Suppose that is the new derivative of order , and are integer numbers, then the following relationships are correct:
Proof.
- Using the definition of the new fractional derivative and the properties of the integral, this relationship can be easily proven.
- Using Equation (2) and since ,the following relationship can be obtained:using part integral, the above relationship can be written as follows:
- Using the definition of the new derivative and since , then thus, Equation (11) is true. □
Lemma 2.
Assume that is the new derivative of order , and is the real number then, the following relationships are correct:
Proof.
- By definition of new fractional derivative and integral of the exponential function, it is possible to prove the following relationship:
- Relationship No. 2 can easily be proven using the new derivative definition and the integral of the sine function:
- Similarly, relationship No. 3 can be proved. □
Now, we define the corresponding fractional integral to the new fractional derivative and discuss some of its properties.
Consider the next fractional differential equation, :
by definition of the new derivative, Equation (15) becomes:
or equivalently:
By differentiating both sides of Equation (17) with respect to , the following relationship can be obtained:
By integrating both sides of Equation (18) from 0 to t, we obtain:
Thus, as a result, the fractional integral corresponding to the new fractional derivative of the order is expected to be defined as follows:
Theorem 2.
Let usis the new derivative,is the new integral,, , andis the Laplace transform, then the following relationships are correct:
Proof.
- From Equations (2) and (20), we obtain:by using the integral by part of the last relationship becomes as follows:
- Using Equations (2) and (20), we obtain:by the Leibniz integral rule and properties of differential operator the above relationship can be written as follows:□
Lemma 3.
Let is the new integral of order, is the Mitteg–Leffler function, , , and is constant, then the following relationships are correct:
Proof.
From [1] and using the new integral:
from nth integral of constant:
by using nth integral of ,
by using nth integral of exponential function:
by using nth integral of sine function:
by using nth integral of cosine function:
□
3. Integral Transforms of the New Derivative
In 2021, Hossein Jafari introduced a new integral transform [26]: let be an integrable function at , and are positive real functions, then the new integral transform of is given by:
Theorem 3.
Let usis the new derivative ofof order, andis the Jafari transform of, then the Jafari transform of the new derivative ofis given by:
Proof.
Using the new definition of the fractional derivative and the Jafri transform, the following can be obtained:
by the convolution theorem of the Jafari transform, and the Jafari transform of nth derivative and exponential function [26], Equation (25) can be written as follows:
□
Theorem 4.
Suppose thatandis the Jafari transform ofandis the new derivative ofof order, then the integral transforms ofis given by:
is the Laplace transform:
is the —Laplace transform:
is the Sumudu transform:
is the Aboodh transform:
is the Pourreza transform:
is the Elzaki transform:
is the Mohand transform:
is the Sawi transform:
is the Kamal transform:
is the G-transform:
is the Natural transform:
is the Shehu transform:
Proof.
By theorem 2, and the relationships between the Jafari transform and integral transforms [26], this theorem can be easily proved. □
4. Initial Value Problems with New Derivative
In this section, the existence and uniqueness of the initial value problems solution with the new fractional derivative are presented and discussed.
Lemma 4.
In the initial value problem below, let be the solution and :
Then,
Proof.
From Equation (19), it can be noticed that the solution of Equation (38) must satisfy Equation (39) for all . □
Proposition 1.
Suppose that , and . Then, the following initial value problem’s unique solution:
is given by:
Proof.
Assume there are two solutions to the initial value problem Equations (40) and (41), . As a result of this assumption:
□
Thus, can be easily obtained using Lemma 4. That is for all .
From Equation (19), it is easy to conclude that Equation (42) is a solution to the initial value problem in Equations (40) and (41).
In addition, when is substituted by 0 in Equation (42), it can be written as .
Proposition 2.
Let , , . Then, the following nonlinear fractional differential equation:
has a unique solution, if satisfies the Lipschitz condition with respect to f with constant such that
Proof.
Assume that is the space of all continuous functions defined on the interval and has the standard supremum norm:
□
Consider the operator defined by:
From Equation (19), Obtaining a fixed point of the operator is analogous to coming up with a solution of Equations (43) and (44) in .
Now, it must be proven that is a contractive mapping, so take and
since satisfies Lipschitz condition with respect to f with constant ,
Hence, it produces that is a contractive mapping. As a result, the solution to the initial value problem in Equations (43) and (44) is unique.
5. Illustrative Examples
In this section, we solve fractional differential equations with the new fractional operator by taking .
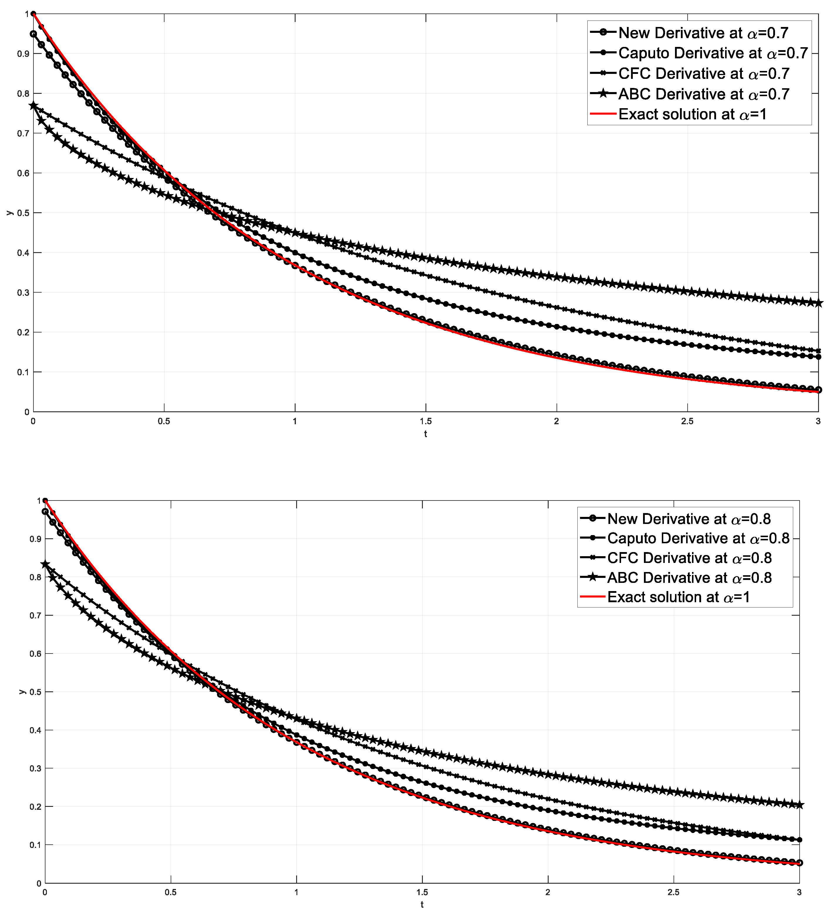
Example 1.


Figure 1.
The graphs of the exact solutions among different values of , for the exact solution of Equation (45), exact solution of Equation (48), exact solution of Equation (50), exact solution of Equation (52) and the exact solution of Equations (45), (48), (50) and (52) at .
By taking LT to both sides of Equation (45), produces the following:
By using the inverse LT to both sides of Equation (46):
Equation (45) with the Caputo–Fabrizio–Caputo operator is formulated as follows:
Similarly, the solution to Equation (48) is given by:
Equation (45) with the Atangana–Baleanu–Caputo operator formulated as follows,
Similarly, the solution to Equation (48) is given by:
Equation (45) with the Caputo operator formulated as follows:
Similarly, the solution to Equation (48) is given by:
when choosing , the exact solution to Equations (45), (48), (50) and (52) will be:
Table 1.
The values of the exact solutions at and absolute error of Equations (45), (48), (50), (52) and (54) at different values of .
Table 1.
The values of the exact solutions at and absolute error of Equations (45), (48), (50), (52) and (54) at different values of .
| 0.2143 | 0.8016 | 0.8024 | 0.7629 | 0.7367 | 0.8071 | 0.0055 | 0.0047 | 0.0442 | 0.0704 |
| 0.4286 | 0.6482 | 0.6473 | 0.6402 | 0.6165 | 0.6514 | 0.0032 | 0.0041 | 0.0112 | 0.0349 |
| 0.6429 | 0.5241 | 0.5253 | 0.5373 | 0.5226 | 0.5258 | 0.0016 | 0.0005 | 0.0115 | 0.0032 |
| 0.8571 | 0.4238 | 0.4289 | 0.4509 | 0.4469 | 0.4244 | 0.0005 | 0.0046 | 0.0265 | 0.0226 |
| 1.0714 | 0.3427 | 0.3525 | 0.3784 | 0.3851 | 0.3425 | 0.0002 | 0.0100 | 0.0358 | 0.0426 |
| 1.2857 | 0.2771 | 0.2917 | 0.3175 | 0.3339 | 0.2765 | 0.0007 | 0.0152 | 0.0411 | 0.0575 |
| 1.5000 | 0.2241 | 0.2431 | 0.2664 | 0.2913 | 0.2231 | 0.0010 | 0.0200 | 0.0433 | 0.0681 |
| 1.7143 | 0.1812 | 0.2041 | 0.2236 | 0.2554 | 0.1801 | 0.0011 | 0.0240 | 0.0435 | 0.0754 |
| 1.9286 | 0.1465 | 0.1726 | 0.1876 | 0.2252 | 0.1454 | 0.0012 | 0.0273 | 0.0423 | 0.0798 |
| 2.1429 | 0.1185 | 0.1471 | 0.1575 | 0.1994 | 0.1173 | 0.0012 | 0.0298 | 0.0401 | 0.0821 |
| 2.3571 | 0.0958 | 0.1264 | 0.1321 | 0.1775 | 0.0947 | 0.0011 | 0.0317 | 0.0375 | 0.0828 |
| 2.5714 | 0.0775 | 0.1094 | 0.1109 | 0.1586 | 0.0764 | 0.0010 | 0.0330 | 0.0345 | 0.0822 |
| 2.7857 | 0.0626 | 0.0954 | 0.0931 | 0.1424 | 0.0617 | 0.0010 | 0.0338 | 0.0314 | 0.0808 |
| 3.0000 | 0.0507 | 0.0839 | 0.0781 | 0.1284 | 0.0498 | 0.0009 | 0.0341 | 0.0283 | 0.0786 |
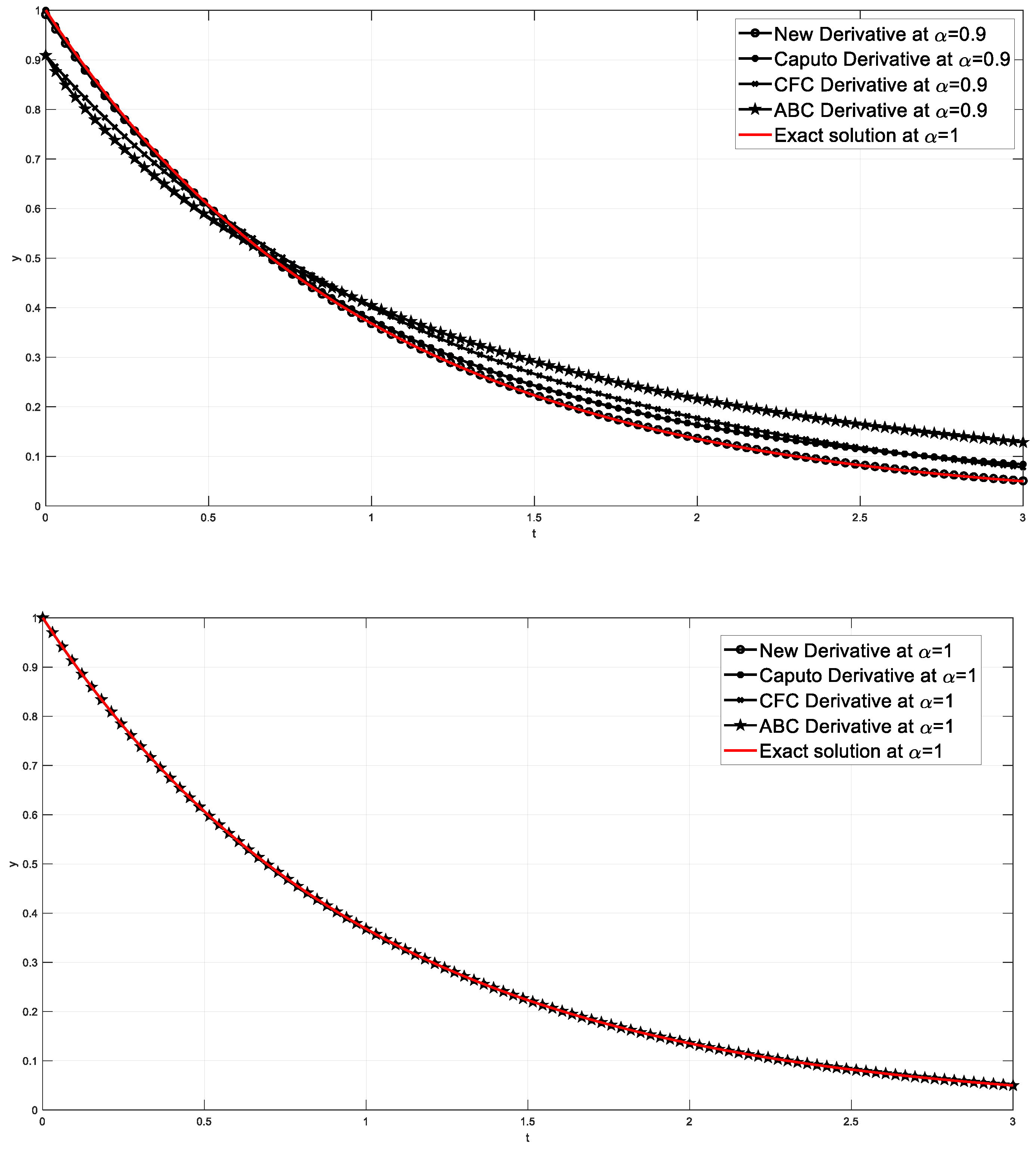
Example 2.


Figure 2.
The graphs of the approximate and exact solutions choosing different values of , and for approximate solutions of Equations (55), (59), (62) and (64) and their exact solutions at .
By using Sumudu transform decomposition method:
By taking the inverse Sumudu transform to both sides of Equation (49):
Now, with the algorithm of the Sumudu transform decomposition method (STDM):
thus, the approximate solution of Equation (53) is given by:
Equation (53) with the Caputo–Fabrizio–Caputo operator is formulated as follows, where :
In a similar way, the approximate solution to Equation (58) is given by:
Equation (53) with the Atangana–Baleanu–Caputo operator is formulated as follows, where :
Similarly, the approximate solution to Equation (58) is given by:
Equation (53) with the Caputo operator is formulated as follows, where ,
Similarly, the approximate solution to Equation (58) is given by:
when choosing , the approximate solution to Equations (55), (59), (61) and (63) will be:
Therefore, the exact solution of Equations (55), (59), (61) and (63) is given by:
Table 2.
The values of the approximate and exact solutions at and absolute error of Equations (55), (59), (62), (64) and (66) at different values of .
Table 2.
The values of the approximate and exact solutions at and absolute error of Equations (55), (59), (62), (64) and (66) at different values of .
| 0.0714 | 0.0714 | 0.0667 | 0.0667 | 0.0667 | 0.0667 | 0.0667 | 0.0000 | 0.0000 | 0.0000 | 0.0000 |
| 0.1429 | 0.1429 | 0.1254 | 0.1254 | 0.1254 | 0.1254 | 0.1250 | 0.0004 | 0.0004 | 0.0004 | 0.0004 |
| 0.2143 | 0.2143 | 0.1782 | 0.1782 | 0.1782 | 0.1782 | 0.1765 | 0.0017 | 0.0017 | 0.0017 | 0.0017 |
| 0.2857 | 0.2857 | 0.2274 | 0.2274 | 0.2274 | 0.2274 | 0.2222 | 0.0052 | 0.0052 | 0.0052 | 0.0052 |
| 0.3571 | 0.3571 | 0.2751 | 0.2751 | 0.2751 | 0.2751 | 0.2632 | 0.0120 | 0.0120 | 0.0120 | 0.0120 |
| 0.4286 | 0.4286 | 0.3236 | 0.3236 | 0.3236 | 0.3236 | 0.3000 | 0.0236 | 0.0236 | 0.0236 | 0.0236 |
| 0.5000 | 0.5000 | 0.3750 | 0.3750 | 0.3750 | 0.3750 | 0.3333 | 0.0417 | 0.0417 | 0.0417 | 0.0417 |
| 0.5714 | 0.5714 | 0.4315 | 0.4315 | 0.4315 | 0.4315 | 0.3636 | 0.0679 | 0.0679 | 0.0679 | 0.0679 |
| 0.6429 | 0.6429 | 0.4953 | 0.4953 | 0.4953 | 0.4953 | 0.3913 | 0.1040 | 0.1040 | 0.1040 | 0.1040 |
| 0.7143 | 0.7143 | 0.5685 | 0.5685 | 0.5685 | 0.5685 | 0.4167 | 0.1518 | 0.1518 | 0.1518 | 0.1518 |
| 0.7857 | 0.7857 | 0.6534 | 0.6534 | 0.6534 | 0.6534 | 0.4400 | 0.2134 | 0.2134 | 0.2134 | 0.2134 |
| 0.8571 | 0.8571 | 0.7522 | 0.7522 | 0.7522 | 0.7522 | 0.4615 | 0.2906 | 0.2906 | 0.2906 | 0.2906 |
| 0.9286 | 0.9286 | 0.8670 | 0.8670 | 0.8670 | 0.8670 | 0.4815 | 0.3855 | 0.3855 | 0.3855 | 0.3855 |
| 1.0000 | 1.0000 | 1.0000 | 1.0000 | 1.0000 | 1.0000 | 0.5000 | 0.5000 | 0.5000 | 0.5000 | 0.5000 |
Remark.
It is clear from this study that the new derivative has fractional order , which is not similar to the Caputo–Fabrizio derivative and Atangana–Baleanu derivative, where . In addition, it can be noticed from the study that the solutions of differential equations with a new derivative are better than that obtained with the Caputo–Fabrizio derivative and Atangana–Baleanu derivative.
6. Conclusions
In this paper, a novel new definition of fractional derivative for order , is introduced and discussed. The results of this study showed that the solution of differential equations with the new fractional derivative exists and is unique. The new fractional derivative converges to the classical derivative faster than the other fractional derivatives such as the Caputo–Fabrizio, Atangana–Baleanu, and Caputo fractional derivatives, which is proven by the analysis presented in this paper.
Author Contributions
H.K.J.; methodology, software, formal analysis, investigation, resources, data curation, writing—original draft preparation. M.A.H.; writing—review and editing, visualization, supervision. All authors have read and agreed to the published version of the manuscript.
Funding
This research received no external funding.
Institutional Review Board Statement
Not applicable.
Informed Consent Statement
Informed consent was obtained from all subjects involved in the study.
Data Availability Statement
Not applicable.
Conflicts of Interest
The authors declare no conflict of interest.
References
- Das, S. Functional Fractional Calculus; Springer: Berlin/Heidelberg, Germany, 2011; Volume 1. [Google Scholar]
- Veeresha, P.; Prakasha, D.G.; Baleanu, D. Analysis of fractional Swift Hohenberg equation using a novel computational technique. Math. Methods Appl. Sci. 2019, 43, 1970–1987. [Google Scholar] [CrossRef]
- Veeresha, P.; Prakasha, D.G.; Baleanu, D. An efficient technique for fractional coupled system arisen in magnetothermoelasticity with rotation using Mittag–Leffler kernel. J. Comput. Nonlinear Dyn. 2021, 16, 011002. [Google Scholar] [CrossRef]
- Veeresha, P.; Malagi, N.S.; Prakasha, D.G.; Baskonus, H.M. An efficient technique to analyze the fractional model of vector-borne diseases. Phys. Scr. 2022, 97, 054004. [Google Scholar] [CrossRef]
- Sunitha, M.; Gamaoun, F.; Abdulrahman, A.; Malagi, N.S.; Singh, S.; Gowda, R.J. An efficient analytical approach with novel integral transform to study the two-dimensional solute transport problem. Ain Shams Eng. J. 2022, 101878. [Google Scholar] [CrossRef]
- Caputo, M.; Fabrizio, M. A new definition of fractional derivative without singular kernel. Progr. Fract. Differ. Appl. 2015, 1, 1–13. [Google Scholar]
- Hussein, M.A.; Jassim, H.K. New approximate analytical technique for the solution of two dimensional fractional differential equations. NeuroQuantology 2022, 20, 3690–3705. [Google Scholar]
- Yang, X.-J.; Srivastava, H.; Machado, J.A.T. A new fractional derivative without singular kernel: Application to the modelling of the steady heat flow. Therm. Sci. 2016, 20, 753–756. [Google Scholar] [CrossRef]
- Atangana, A.; Dumitru, B. New fractional derivatives with nonlocal and non-singular kernel: Theory and application to heat transfer model. Therm. Sci. 2016, 20, 763–769. [Google Scholar] [CrossRef]
- Alzaki, L.K.; Jassim, H.K. Time-Fractional Differential Equations with an Approximate Solution. J. Niger. Soc. Phys. Sci. 2022, 4, 818. [Google Scholar] [CrossRef]
- Losada, J.; Nieto, J.J. Properties of a new fractional derivative without singular kernel. Progr. Fract. Differ. Appl. 2015, 1, 87–92. [Google Scholar]
- Peter, O.J.; Shaikh, A.S.; Ibrahim, M.O.; Nisar, K.S.; Baleanu, D.; Khan, I.; Abioye, A.I. Analysis and dynamics of fractional order mathematical model of COVID-19 in Nigeria using atangana-baleanu operator. Comput. Mater. Contin. 2021, 66, 1823–1848. [Google Scholar] [CrossRef]
- Laskin, N. Fractional schrödinger equation. Phys. Rev. E 2002, 66, 056108. [Google Scholar] [CrossRef]
- Baleanu, D.; Jassim, H.K. Exact Solution of Two-dimensional Fractional Partial Differential Equations. Fractal Fract. 2020, 4, 21. [Google Scholar] [CrossRef]
- Jafari, H.; Jassim, H.K.; Baleanu, D.; Chu, Y.-M. On the approximate solutions for a system of coupled Korteweg-de Vries equations with local fractional derivative. Fractals 2021, 29, 1–7. [Google Scholar] [CrossRef]
- Cesarone, F.; Caputo, M.; Cametti, C. Memory formalism in the passive diffusion across a biological membrane. J. Membr. Sci. 2004, 250, 79–84. [Google Scholar] [CrossRef]
- Caputo, M.; Cametti, C. Memory diffusion in two cases of biological interest. J. Theor. Biol. 2008, 254, 697–703. [Google Scholar] [CrossRef]
- Caputo, M. Modeling Social and Economic Cycles. In Alternative Public Economics; Forte, F., Navarra, P., Mudambi, R., Eds.; Elgar: Cheltenham, UK, 2014. [Google Scholar]
- Jumarie, G. New stochastic fractional models of the Malthusian growth, the Poissonian birth process and optimal management of populations. Math. Comput. Model. 2006, 44, 231–254. [Google Scholar] [CrossRef]
- Iaffaldano, G.; Caputo, M.; Martino, S. Experimental and theoretical memory diffusion of water in sand. Hydrol. Earth Syst. Sci. 2006, 10, 93–100. [Google Scholar] [CrossRef]
- El Shaed, M. A Fractional Calculus Model of Semilunar Heart Valve Vibrations. In Proceedings of the ASME 2003 International Design Engineering Technical Conferences and Computers and Information in Engineering Conference, Chicago, IL, USA, 2–6 September 2006. [Google Scholar] [CrossRef]
- Magin, R.L. Fractional Calculus in Bioengineering; Begell House Inc. Publishers: Danbury, CT, USA, 2006. [Google Scholar]
- Bokhari, A. Application of Shehu transform to Atangana-Baleanu derivatives. J. Math. Comput. Sci. 2019, 20, 101–107. [Google Scholar] [CrossRef]
- Patel, T.; Ramakanta, M. Adomian decomposition Sumudu transform method for solving fully nonlinear fractional order power-law fin-type problems. Int. J. Math. Comput. 2015, 27, 7–16. [Google Scholar]
- Caputo, M. Linear models of dissipation whose Q is almost frequency independent-II. Geophys. J. Int. 1967, 13, 529–539. [Google Scholar] [CrossRef]
- Jafari, H. A new general integral transform for solving integral equations. J. Adv. Res. 2020, 32, 133–138. [Google Scholar] [CrossRef] [PubMed]
Publisher’s Note: MDPI stays neutral with regard to jurisdictional claims in published maps and institutional affiliations. |
© 2022 by the authors. Licensee MDPI, Basel, Switzerland. This article is an open access article distributed under the terms and conditions of the Creative Commons Attribution (CC BY) license (https://creativecommons.org/licenses/by/4.0/).



