Abstract
The intricacy of the financial systems reflected in bilateral ties has piqued the interest of many specialists. In this research, we introduce network-induced soft sets, a novel mathematical model for studying the dynamics of a financial stock market with several orders of interaction. To achieve its intelligent parameterization, this model relies on the bilateral connections between economic actors, who are agents in a financial network, rather than relying on any other single feature of the network itself. Our study also introduces recently developed statistical measures for network-induced soft sets and provides an analysis of their application to the study of financial markets. Findings validate the efficacy of this novel method in assessing the effects of various economic stress periods registered in Borsa Istanbul.
MSC:
05C50; 91B26
1. Introduction
Multiagent systems are characterized by the existence of several components and the intensity of their interactions. The primary issue with multicomponent systems is that the behavior of system components cannot be anticipated or manipulated. Economic systems have several variables and components, which may function independently of one another and trigger one another. The behavior of components may be unpredictable due to the nonlinearity of their interactions. Therefore, forecasting and management become challenging, particularly in economic systems.
Soft set theory is an excellent tool to apply in uncertain systems. Molodtsov [1] was the first to suggest soft set theory, which differs from fuzzy sets, vogue sets, and rough sets by arbitrary parameters. The independence of soft sets from membership degrees is their most distinguishing and significant characteristic. From a mathematical standpoint, a soft set consists of components with freely modifiable parameters.
It can be stated that a fuzzy set includes a neighborhood system, namely, a specific instance of the fuzzy set [2]. The identity leading to at least one topological structure and the content dependency identity are used to establish a neighborhood system for a soft set. Thus, the soft set is relevant to a multitude of computing domains. Intelligent calculations and analyses encountered in several disciplines are used extensively in soft calculations for missing data estimations, which can severely impact the outcome dependability [3,4,5,6,7]. Soft sets may also be utilized for intelligent computation and estimation of incomplete data, which are often used in computer science, engineering, data analysis, and biomedicine [8,9,10,11,12].
Alcantud and Santos-García [13] showed that soft sets are useful mathematical structures in the area of economics, where data analysis plays a crucial role in decision making. Multiple researchers have showed that soft sets may be used not just in economics, but also in other decision-making processes [14,15,16]. The settlement of conflict situations is an essential idea in economics, and several pieces of research have been conducted on the topic. In conflict scenarios, Sutoyo et al. [17] revealed another use of soft sets. The authors successfully represented collaboration or conflict scenarios between parties having a soft connection in their research. The authors of [18] used a fuzzy soft set-based technique in order to evaluate a wide range of assets by means of heterogeneous data. Their findings clearly suggested the potential of avoiding the subjectivity of the appraiser and the well-known drawbacks of other approaches such as linear multiple regression. Zhang and Xu [19] addressed the issue of a watchmaker selecting a supplier from whom to acquire strategic components in order to gain a market edge. In order to evaluate how well one option met a criterion in a decision-making process, Xu and Xia [20] used hesitant fuzzy components to provide a management case study. New applications of a soft set theory and a fuzzy soft set theory for efficient stock-out management were presented by Taş et al. [21]. Kalaichelvi [22] and Özgür and Taş [23] used fuzzy soft sets to address the issue of making sound financial investments. In [24], an adequate credit risk assessment approach based on the soft set theory that deals with the mixed uncertainty problem was presented to solve the issue of credit risk evaluation of microloan enterprises. Loan officers may be able to make better-informed lending choices using soft set approaches with data available to them at the current stage of microlensing operations if they integrate operational characteristics with the credit risk assessment approach. In [25], soft set theory was utilized to offer a novel parameter reduction strategy to be employed when choosing financial measures for company failure prediction. The suggested strategy incorporated both statistical logistic regression and the notion of soft sets in decision making. This approach combined the best features of both methods.
Soft sets are also employed in the medical decision-making process. Recent research [26,27] indicated that soft sets with interval values are useful in medical diagnostics. In addition, Yuksel et al. [28] and Alcantud et al. [29] effectively used soft set theory in the detection of prostate cancer and lung cancer, respectively. Soft set theory may also be applied to multiple-interaction systems. In the work of Balcı and Akgüller [30], the authors produced the soft set model of the metabolic system, and in another piece of research [31], the same authors offered a new methodology for obtaining soft set models of financial systems.
Soft sets have topological structures that are determined by the interactions of their parts as expressed by the parameters that make up the system. Soft sets are convenient for structural study of uncertain systems due to their interaction across parameters. Since more light needs to be shed on the impact of soft sets on the structural analysis of parameters, we aimed to apply a quantitative approach to the interactions in multicomponent systems modeled using soft sets. The quantity of elements in the other parameter components of the parameter volumes may be traded for knowledge about the interchange between the elements of the parameterized universe. Intuitively, a robust system is encoded by a collection of soft values. For this reason, soft sets may be seen as manifolds.
Due to their complexity, bilaterally represented financial systems [32,33,34,35,36,37,38] have attracted the attention of numerous specialists. Financial participants in the underlying system are represented as nodes and edges in a graph. Graphs, which are generated from the correlation of closing prices corresponding to the time series of financial actors, provide a mathematical framework for describing bilateral interactions. Even if a network is good at reproducing bilateral connections, its topological nature forces it to disregard higher-order interactions occurring inside the system. Optimal financial performance requires investigating the high-level interactions of the market because investors must have a firm grasp of market dynamics throughout the pricing process.
In this paper, we employed soft sets to model high-order financial market relationships. We used a directed tree-based parameterization generation approach to build the so-called “network-induced soft sets” as models of the financial market. The term “parameterization” refers to the procedure of taking one actor and then adding a soft link at the second degree and a joint universal element at the third degree to other actors. A new set of statistical metrics to be employed for this innovative mathematical framework was also defined. We proposed soft cluster models and analyzed statistical data for all companies listed on the Borsa Istanbul 100 (BIST100) stock exchange. The BIST100 index was evaluated in two stages utilizing the 2018 economic stress and COVID-19 pandemic. We used both static and dynamic techniques for their ability to characterize changes in data.
2. Methodology
Parameterization choices in any study using soft set theory should be made following the recommendations of a specialist in the relevant area of application. In this research, we examined soft sets starting from financial networks in order to make a well-informed choice of parameters. This section provides the background knowledge required to construct financial correlation networks and acquire the resulting soft sets.
2.1. Directed Correlation Networks
Graph theory is an area of discrete mathematics whose popularity has increased in recent years, not only regarding theoretical developments, but also regarding its applications for numerous aspects [39,40,41,42,43,44,45]. Graph theory can be easily used in solving daily life problems, and it has been employed quite frequently in more theoretical studies, data analyses, and artificial intelligence applications. A graph is a set of elements comprising vertices, in addition to vertices combined with an edge according to the relationship between them.
Graphs with the general representation can be considered as a pair of sets, with as the vertex set and E as the edge set. Graphs can be divided into different classes according to their properties. One of these classifications can be made according to whether edges are directional or nondirectional.
Let us assume that graphs are generally divided into directed and undirected. While undirected graphs represent symmetrical relations, directed graphs (“digraphs”) mostly model unidirectional relations. Both graph classes have many applications. Since undirected graphs can somehow represent digraphs, digraphs also have important application areas. Digraphs are determined by sets of vertices and edges. While these two classes do not differentiate in terms of the vertex set, they do variate with respect to the edge set. In a digraph, the concept of an “arc” is used instead of an edge. For an arc in a digraph, u is called the tail and v is called the head. In a digraph, the head and tail of an arc are the end vertices of that edge, which are called adjacent. Since networks can be modeled with graphs, depending on whether the graph representing the network is directional or undirected, the network can be directional or undirected. For more on digraphs, we refer the readers to [46,47,48].
The economic relationships of financial institutes can form a network, and analyzing such networks can facilitate the understanding of certain economic contexts as shown in several studies [49,50,51,52,53,54,55,56,57]. The use of network theory in the context of financial systems can, thus, ease one’s understanding of complex systems.
In this study, the financial network of a stock market was modelled using a simple digraph . In this diagraph, was the set of financial institutions and was the set of edges specified by the Pearson correlation and the network centrality score among the financial institutions in a stock market.
Let denote the daily closure price of the -th company in a stock market. Then, the daily logarithmic return can be calculated as follows:
In order to obtain a relation between companies that represent the network edges, the correlation distance between companies can be used:
where and
is the Pearson correlation coefficient. Using , this means that emerges as a weighted network model of the stock market. However, since , the emerging weighted network is undirected and complete.
It can be stated that an edge appears between each financial actor in this network elicited by the Pearson correlation. As edge weights change in response to the correlation distance, the network maintains a high level of topological complexity. In this study, we used a subgraph representation of the network to encode both its local and global characteristics, rather than the whole network itself. The minimum spanning tree (MST) has been widely utilized by studies focused on financial networks [58,59,60,61,62,63,64,65,66] due to its efficacy in modeling and evaluating network structure. According to the definition, the MST is a network subgraph with all nodes and the lowest number of feasible edges connecting them. In other words, edges have minimum total weights. Due to the low weight measure in the context of edges weighted via correlation distances, one can easily identify which actors are more influenced by others using MST filtering of the network. In order to keep the hierarchical structure that has strong clustering coefficients, we used the MST subgraph of the weighted network and denoted it by .
Eigenvector centrality is a measure indicating vertex importance that takes into account its neighbors’ relevance. Such a measure is used to assess the influence of the network vertex. It is determined by using the adjacency matrix to perform a matrix calculation and determine the principal eigenvector. The key premise is that linkages from important vertices are worth more than linkages from unimportant vertices as defined by degree centrality. At first, all nodes are equal, but as the calculation advances, vertices with more edges become more important. Their significance spreads to the vertices to which they are connected with an edge. The values stabilize after numerous recalculations, resulting in the final eigenvector centrality values. For more mathematical details on eigenvector centrality of a network vertex, we refer readers to Bonacich [67].
In a financial system where agents interact through pairwise relations, eigenvector centrality plays an important role in determining which agent has more importance in the relation. Let model a stock market as a complete graph. Since every vertex is connected to each other, the eigenvector centrality of each vertex can be calculated. Let us use to denote the eigenvector centrality of the vertex . In order to keep hierarchical clustering behavior, and assign a direction to the edges of , the following filtration rule can be considered:
Therefore, emerges as a directed graph. It should be noted that may have isolated vertices.
2.2. Network-Induced Soft Sets
Because of uncertainty, traditional analysis techniques may not be as powerful as soft computing principles when dealing with real-world data. Soft set theory, initially developed by Molodtsov [1], is a strong technique when dealing with uncertainty. By specifying the parameters, this theory varies from similar theories dealing with rough sets, vague sets, and fuzzy sets.
Definition 1.
Let be a subset of . A pair is called a soft set over where is a set-valued function.
A soft set over can be thought of as a parameterized family of subsets of the universe . A soft set is often commonly thought of as the approximate description of an object. There are several set operations defined on soft sets. In this study, we used some basic soft set operations and presented useful definitions. For more on algebraic operations regarding soft sets, we refer the readers to Aktaş and Çağman [2].
Definition 2.
Let and be two soft sets defined on the same universe. is a soft subset of denoted by ; if and , and are identical approximations.
Definition 3.
Let and be two soft sets defined on the same universe. For and , a soft set defined by
is called the soft union of and and is denoted by .
In order to obtain a soft set from a digraph, the reparameterization rule for soft sets needs to be introduced first.
Definition 4.
Let be a soft set. The reparameterization rule denoted by is a mapping between two soft subsets and , that is , in which a soft subset matching pattern in is replaced by a distinct matching pattern in .
An illustrative example for can be given as follows:
Example 1.
Consider a soft set given by
for . Then, for , a reparameterization rule can be defined with . Even in this simplified scenario, the initial choice of the soft set to which the initial transformation is performed is still unknown, and such difference in choice almost always results in non-isomorphic soft set sequences in expansion. Hence, by considering the initial soft set as a directed graph, where universe elements are connected with directed binary relations, a soft set is able to be formed by applying an -form reparameterization.
Definition 5.
A network-induced soft set is denoted by , in which every vertex corresponds to the universe element and the input for the universe element uses parameters produced by the universe element as the output.
An illustrative example on the formation of from a simple directed network can be given as follows:
Example 2.
Let us consider a directed network having given below in Figure 1:
Figure 1.
Directed network. Note: The vertex set is .
Then, can be obtained by using the parameter:
Our research provided a network-induced soft set, and the causality parameters of interactions within a financial network were similar to the values in this soft set. Therefore, input–output effects were investigated rather than evaluating players in bilateral connections. For studying different types of social networks, this technique was able to provide meaningful findings. In the context of soft sets, where soft computing methods could be used, our study employed a variety of metrics to characterize financial systems. When a soft set is defined in universes comprising few items, it becomes possible to probe a wide range of topological and geometric properties. Similar characteristics may be specified for universes with more elements. Contrarywise, statistical measurements can be invaluable for elucidating the broad outline of soft sets. In our study, we provided statistical evaluations of soft sets.
Definition 6.
Let be a network-induced soft set. For , the number of parameter mappings which include is called the soft degree of and is denoted by . Similarly, the cardinality is called the soft degree of and is denoted by .
Definition 7.
The soft degree distribution is the number of soft degree repeats in a network-induced soft set divided by the total number of elements. In other words, if and for , the soft -degree distribution of the elements is and the soft -degree distribution of parameters is .
Definition 8.
Let be a network-induced soft set. The sequence defined with is called a soft connection between and . Moreover, if the choice of in a soft connection is random, then the sequence is called a random soft connection and is denoted by .
In order to measure the similarity of two soft sets, a kernel function must be defined. The Jensen–Shannon kernel is a mutual information kernel that is not spatial. It is based on structured data and probability distributions [68]. Entropy measures the disorganization of a system. A kernel function was determined in our study by comparing the entropies of two network-induced soft sets. The Jensen–Shannon divergence for the and distributions of the and structures, respectively, is defined by
where is the Shannon entropy [69]. Moreover, and structures are positive and defined with:
which is called the Jensen–Shannon kernel.
In order to calculate the Shannon entropy on , the steady-state random soft connection on is used. For a network-induced soft set , the probability of a steady-state soft random connection containing the universal element is determined by:
Let and be two network-induced soft sets, , , and . The probabilities for the stationary soft random connection on starting from elements and are and , respectively. Therefore, for the stationary soft random connection containing the elements and on , the probabilities are and , respectively. Thus, the distribution of the soft random connection on is
The following definition can be given by considering the equation above:
Definition 9.
Let and be two network-induced soft sets, , , and . The Shannon entropy of is
Using the Jensen–Shannon divergence given in Equation (12), it is possible to define a kernel function between two network-induced soft sets and .
Definition 10.
Let and be two network-induced soft sets, , and . The kernel function is defined by:
3. Results
3.1. Data Set
Borsa Istanbul (BIST) began operations in early 1986 and belongs to multiple international federations and associations, including the World Federation of Stock Exchanges, the Eurasian Stock Exchanges Federation, and the European Federation of Stock Exchanges. It has been in charge of trading corporation stocks in many industries since inception. We selected Borsa Istanbul for this analysis because it is representative of global stock markets regarding the average number of businesses traded; its structure is relatively weak since it is an emerging market. For two time periods, we analyzed the effects of market volatility on the prices of stocks included in the BIST100 index.
The Turkish economy had a rough year in 2018 because the loss of the national currency versus the US dollar was at its most extreme. At the same time, the European Central Bank (ECB) showed concern regarding the largest lenders in the Eurozone. Moreover, the President of the United States publicly criticized Turkey’s decision to double trade duties on steel and aluminum. Nevertheless, in this period, Qatari authorities pledged considerable investments in Turkey.
The first round of analyses focused on the daily price returns of BIST100-listed firms from September 2018. We divided this first period of analysis into two parts: a pre-stress period and post-stress period.
The second round of analyses investigated the impact of the COVID-19 pandemic on the BIST100 index. On 11 March 2020, the first COVID-19 case was discovered in Turkey and sanctions were relaxed on May 6, 2020. Restrictions reappeared on 20 November 2020 because of a significant increase in the number of cases. For the purpose of our research, these specific dates constituted benchmarks. Company daily price returns included in the BIST100 index were used to construct a time series that served for measurement calculations. To consider the second series of curfews, the post-pandemic period time series began on 11 March 2020 and ended on 9 April 2021. Moreover, to ensure that time series in the post-pandemic period were comparable in length, the pre-pandemic period began on 13 February 2020 and ended on 10 March 2020.
The first time series had 126 time entries, while the second one had 270 time entries for both periods. Although one hundred companies were included in the BIST100 index, two companies with missing data were excluded from the analysis, thus, resulting in a remaining total of ninety-eight companies. The measurement variation in network-induced soft sets emerging in the BIST100 index during both periods was analyzed in two ways. The first approach (which we called the “static approach”) divided time series of the two subperiods and then analyzed soft degree distributions. The second approach (which we called the “dynamic approach”) examined daily changes in values of network-induced soft sets emerging during the subperiods. Descriptive statistics are given in Table A1 and Table A2 from the Appendix section.
3.2. Static Approach
In this section, we report the results of the aforementioned analyses. In Figure 2 and Figure 3, we present soft degree distributions of vertices representing BIST100 companies. For the sake of simplicity, we used company indices, which are presented in the tables from the Appendix section.
Figure 2.
distributions for network-induced soft sets corresponding to the two periods of economic stress in 2018. Note: The distribution on the left corresponds to the pre-stress period, while the distribution on the right corresponds to the post-stress period.
Figure 3.
distributions for network-induced soft sets with respect to two periods of COVID-19 stress. Note: The distribution of the left corresponds to the period during COVID-19, while the distribution of the right corresponds to the period post-COVID-19.
In Figure 4 and Figure 5, we present directed networks and network-induced soft sets emerging throughout 2018. In Figure 6 and Figure 7, we present directed networks and network-induced soft sets emerging throughout the COVID-19 pandemic period for BIST100 companies.
3.3. Dynamic Approach
For this dynamic approach, we used sliding windows with sizes five, ten, and fifteen, and an offset of one over the time series. Sliding window sizes were chosen to cover the weekly, biweekly, and triweekly operations of BIST100 companies. Moreover, by choosing the offset of one, we could cover the daily soft entropy similarity changes in network-induced soft sets.
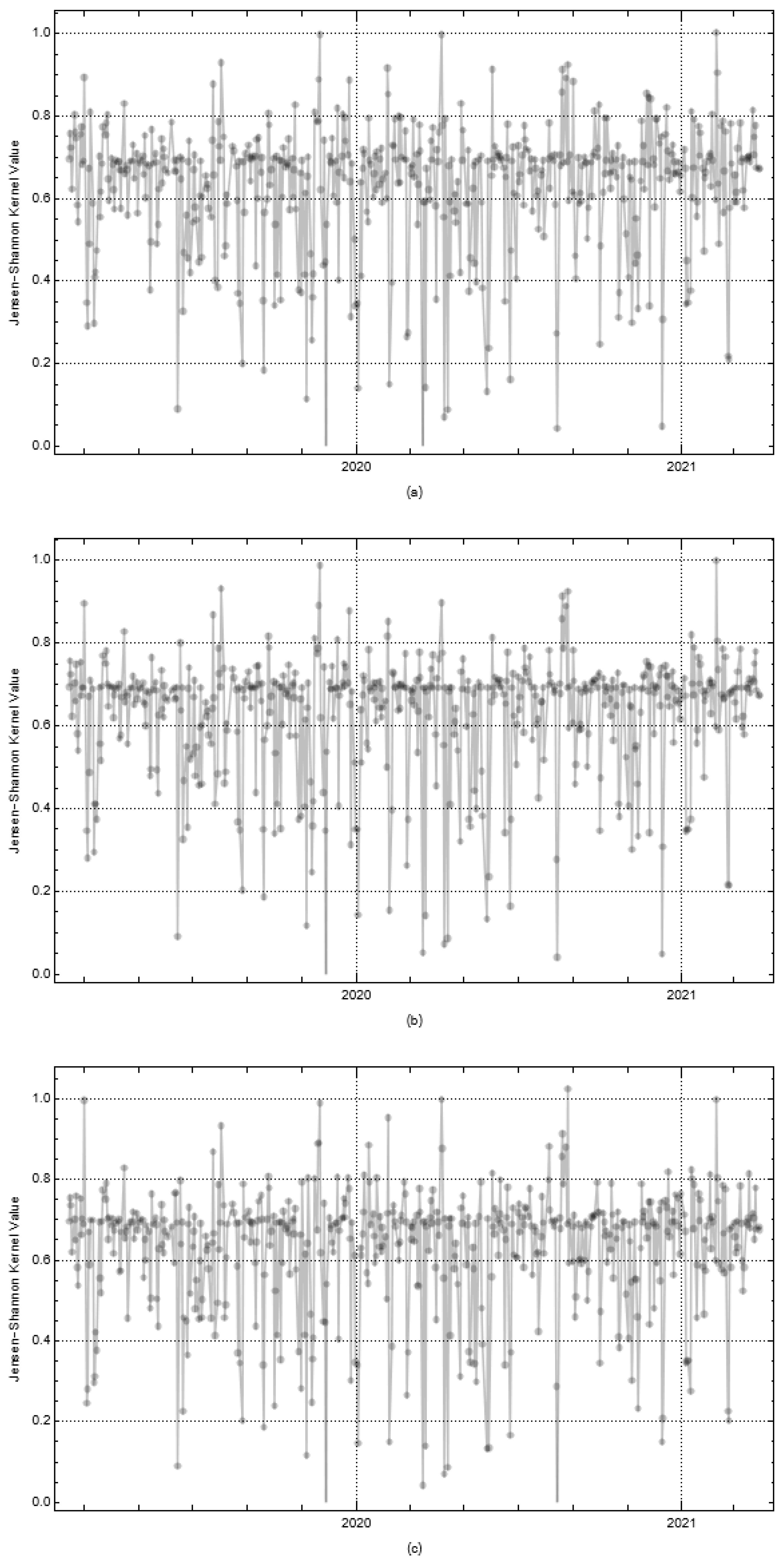
In Figure 8 and Figure 9, we display variations in the Jensen–Shannon kernel for different window sizes. In Figure 10 and Figure 11, we present kernel matrices for the size-10 sliding window defined for the network-induced soft set over the total time frame.
Figure 8.
values defined on the emerging network-induced soft sets for the 2018 economic stress period: (a) weekly, (b) biweekly, (c) triweekly.
Figure 9.
values defined on the emerging network-induced soft sets for the COVID-19 economic period: (a) weekly, (b) biweekly, (c) triweekly.
Figure 10.
Kernel matrix for the 2018 economic stress period with biweekly sliding window.
Figure 11.
Kernel matrix for the COVID-19 economic period with biweekly sliding window.
4. Discussions
Numerous researchers have taken an interest in financial systems that are based on bilateral connections, due to their complexity. Graph models concerning the relationships between financial players are used to probe the underlying system. Graphs, the underlying mathematical structure representing bilateral interactions, are generated by computing the correlation between the time series corresponding to closing prices of financial actors. Though networks efficiently mimic bilateral interactions, their topological structure requests that they ignore higher-order interactions inside the system. High-quality market contacts are an essential part of financial optimization because they help investors make more informed decisions across the pricing process.
In this paper, high-order linkages in financial markets were simulated using soft sets, which were set systems. We selected Borsa Istanbul (BIST) because it is an emerging market, therefore, more susceptible to fluctuations as compared to established markets. The number of BIST subindices that were actively traded varied.
In the first place, we built a structure of correlation networks using the daily closing prices of companies included in the BIST100 index. Since it was represented as a graph, it was not straightforward to recognize topological clusters in this system. For this purpose, we used a hierarchical cluster structure with the help of MST topology. In the context of generating new parameters, this MST allowed the construction of soft sets. The importance of vertices, which represent companies that are the system actors, made it easier to move about in this structure. Hence, the standard eigenvector centrality metric was used for spanning tree filtering.
We developed network-induced soft sets, which modeled the financial market produced by a parameterization process specified on a directed tree. The incorporation of a second-degree soft link and a third-degree joint universal element to other actors was included in this parameterization, together with the choice of a starting actor. Moreover, we defined a number of statistical metrics that could be used for the newly proposed mathematical framework.
Our study considered the sensitivity of the BIST100 index by choosing two distinct economic periods. The first period was the year 2018, when Turkey incurred numerous trade sanctions and gloomy prospects of a plummeting national currency. The second period regarded the impact of the COVID-19 pandemic. In addition, the soft set statistics included two approaches, a static one and a dynamic one.
In the lead-up to the 2018 economic stress period, one could state that the BIST100 companies were strongly connected. During this time, two soft clusters appeared on the market: the financial services industry registered a notable concentration of such organizations; other businesses were characterized by varying degrees of internal connection. The number of isolated vertices from the resulting directional network was very small. Each actor was involved in distinct connections during the pre-stress stage of financial engagement. In the post-stress period, a significant topological shift in this clustering pattern was observed. For that matter, we identified two completely distinct groups: one included two businesses from the same holding and the other included different firms. Our results indicated that the cluster was robust and established intense connections to other items within the soft set. Moreover, network characteristics were mostly dominated by companies from the banking industry. This showed that, in the context of monetary interaction, BIST companies followed the banking sectors during the local stress phase. This outcome is in line with findings from other research using the BIST100 index network analysis [70,71,72,73].
The static approach revealed variations in local stress levels when examining the impact of the COVID-19 pandemic on BIST100 companies. We first noticed a variation in the soft degree distributions, namely, evidence that the market searched for stability after a period of local stress. Although the number of isolated vertices was not reduced, network connection improved relative to the time before the COVID-19 pandemic.
Four distinct soft clusters emerged, although with very similar connection characterizations (i.e., soft degree distributions). We noticed that changes in market relationships after COVID-19 were more visible during the static approach. A connection increase and a cluster concentration became visible when focusing on post-stress soft clusters. The examination of the growing soft cluster revealed that the most actively traded firms were associated with investment and finance industries. Moreover, energy corporations started to create high-level relationships with finance and investment companies more frequently in the post-COVID-19 period.
Entropies of cluster systems represented another statistical tool provided by soft clusters induced by financial networks. We denoted this strategy as the dynamic approach. We, therefore, created networks with varied time window lengths and studied entropy variations during stress periods with soft clusters generated by the MST filters.
With an initial value of 0.7 at the beginning of the 2018 economic stress period, the entropy value changed significantly over time. These changes could be spotted regardless of the time window size. Hence, this method could be considered robust. The discourse concerning the Turkish Lira and international trade restrictions was very entropy variant.
Similar patterns were observed during the COVID-19 pandemic period. The analyzed time frame began with an entropy having a value close to 0.7. This indicated that the BIST market registered a soft set entropy stability value of 0.7. During the second period of analysis, fluctuations in entropy values were different as compared to the 2018 period. In this sense, during the early days of the COVID-19 pandemic, entropy measurements showed significant oscillations. They began to follow a particular order after a longer period; nevertheless, they resurfaced during the second curfews. For that matter, fluctuations had a tough time achieving equilibrium after the recurring curfew. In the context of the BIST100 index, this result suggested that a panic situation appeared on the market. Furthermore, periods tended to cluster among themselves when the kernel matrices of biweekly sliding windows were examined. This situation not only demonstrated the efficacy of the defined kernel function, but it also illustrated that irregularities of financial markets were in flux during different stress periods.
5. Conclusions
Soft set theory, which can be applied to a variety of fields, was used in our study to simulate higher-order interactions in financial systems. We deemed that our study could offer a powerful mathematical structure for scholars and investors interested in financial optimization during various stress periods.
When an increasing number of components were added to the system, the computational complexity that came with it became a bottleneck for current statistical approaches. Yet, by introducing spectral techniques, computational advantages could be gained in the parameterization procedure. Soft sets have been used in many different mathematical frameworks as reported in the literature. Future research could show the benefits of these soft sets. The examination of social networks, biological networks, and other complex networks may also be included in studies that go beyond the realm of monetary systems.
We believe that these cutting-edge statistical procedures, which are likewise provided for financial marketplaces of varying strengths, could generate valuable outcomes in upcoming studies.
Author Contributions
Conceptualization, M.A.B.; Formal analysis, M.A.B., L.M.B. and Ö.A.; Funding acquisition, L.M.B.; Investigation, M.A.B., L.M.B. and Ö.A.; Methodology, M.A.B., L.M.B. and Ö.A.; Project administration, M.A.B.; Resources, M.A.B., L.M.B. and Ö.A.; Supervision, M.A.B.; Writing — original draft, M.A.B., L.M.B. and Ö.A.; Writing — review and editing, M.A.B., L.M.B. and Ö.A. All authors have read and agreed to the published version of the manuscript.
Funding
This research was funded by the Babeș-Bolyai University of Cluj-Napoca through the Grants for Supporting Employees’ Competitiveness AGC30088/11.01.2022, AGC32124/04.05.2022, AGC33404/08.07.2022.
Institutional Review Board Statement
Not applicable.
Informed Consent Statement
Not applicable.
Data Availability Statement
Not applicable.
Conflicts of Interest
The authors declare no conflict of interest.
Appendix A
Table A1.
Descriptive statistics for the 2018 economic period data set.
Table A1.
Descriptive statistics for the 2018 economic period data set.
| Pre-Stress Period | Post-Stress Period | ||||||||||
|---|---|---|---|---|---|---|---|---|---|---|---|
| Index | Company | Min | Max | Mean | Standard Deviation | Skewness | Min | Max | Mean | Standard Deviation | Skewness |
| 1 | AFYON | 4.78 | 7.98 | 6.80352 | 0.981159 | −0.638345 | 4.49 | 6.27 | 5.12544 | 0.452556 | 0.439657 |
| 2 | AKBNK | 7.06 | 11.08 | 9.34088 | 1.12375 | −0.493996 | 5.44 | 7.67 | 6.72712 | 0.570895 | −0.407728 |
| 3 | AKSA | 10.72 | 17.39 | 14.0272 | 1.9506 | −0.245635 | 7.23 | 12.2 | 9.78232 | 1.38406 | −0.208425 |
| 4 | AKSEN | 3.76 | 5.19 | 4.37856 | 0.373848 | 0.0412235 | 2.56 | 4.38 | 3.76336 | 0.559787 | −0.811035 |
| 5 | ALGYO | 39.38 | 57.45 | 47.3488 | 4.52349 | 0.0161842 | 37.8 | 56.8 | 47.8383 | 4.43465 | −0.062091 |
| 6 | ALARK | 4.43 | 7.46 | 6.17856 | 0.971271 | −0.610421 | 1.92 | 5.17 | 3.16976 | 1.25274 | 0.414768 |
| 7 | ALBRK | 1.2 | 1.69 | 1.51528 | 0.116982 | −0.828259 | 1.16 | 1.51 | 1.32416 | 0.0676827 | 0.365817 |
| 8 | ALKIM | 17.68 | 26.56 | 22.5662 | 2.51997 | −0.494494 | 17.7 | 25.24 | 22.461 | 2.16459 | −0.592267 |
| 9 | AEFES | 22.84 | 28.6 | 25.989 | 1.34214 | −0.490912 | 17.84 | 23.6 | 20.8878 | 1.11046 | 0.0268611 |
| 10 | ARCLK | 15.01 | 21.8 | 18.0585 | 1.63972 | 0.170845 | 11.83 | 16.58 | 14.0966 | 1.36809 | −0.049353 |
| 11 | ASELS | 29.62 | 44.4 | 36.5602 | 3.90465 | −0.245562 | 27.3 | 34.5 | 29.659 | 1.66621 | 0.997756 |
| 12 | BERA | 1.72 | 7.9 | 3.398 | 1.78125 | 1.06475 | 1.55 | 2.15 | 1.80792 | 0.155098 | 0.30905 |
| 13 | BIMAS | 63.7 | 79.75 | 71.9744 | 3.41995 | −0.232885 | 64.85 | 88.65 | 77.0732 | 6.76445 | −0.209872 |
| 14 | BRSAN | 8.08 | 14.71 | 11.9082 | 1.91785 | −0.638474 | 7.45 | 9.99 | 8.45024 | 0.587745 | 0.307411 |
| 15 | BRYAT | 35.2 | 48. | 40.9862 | 2.47256 | 0.231651 | 36.5 | 42.1 | 38.9424 | 1.3909 | 0.595098 |
| 16 | BRISA | 5.76 | 8.04 | 6.92344 | 0.639787 | −0.035386 | 5.79 | 7.33 | 6.30816 | 0.327688 | 1.0946 |
| 17 | CCOLA | 31.92 | 38.64 | 35.5933 | 1.53419 | −0.629036 | 27.2 | 34.6 | 30.2362 | 1.76325 | 0.572583 |
| 18 | CEMAS | 1.54 | 6.85 | 2.59088 | 1.17693 | 1.72275 | 0.72 | 4.35 | 2.50352 | 0.833217 | −0.557142 |
| 19 | CEMTS | 4.12 | 5.73 | 4.88184 | 0.373493 | 0.296627 | 5.35 | 7.65 | 6.53624 | 0.562527 | −0.059523 |
| 20 | CIMSA | 10.41 | 14.36 | 12.8786 | 1.235 | −0.709501 | 7.17 | 10.94 | 8.73552 | 1.13519 | 0.222077 |
| 21 | DEVA | 3.69 | 4.87 | 4.218 | 0.290028 | 0.0128273 | 3.25 | 4.45 | 3.85024 | 0.33519 | −0.329284 |
| 22 | DOHOL | 0.72 | 1.46 | 0.94728 | 0.173611 | 1.2832 | 0.93 | 1.38 | 1.1172 | 0.0934086 | 0.0223721 |
| 23 | DOAS | 6.75 | 9.2 | 7.97144 | 0.632858 | −0.206268 | 4.09 | 7.08 | 5.24432 | 0.828661 | 0.466435 |
| 24 | ECZYT | 8.07 | 11.21 | 9.856 | 0.857708 | −0.418923 | 6.69 | 9.78 | 7.78512 | 0.725923 | 0.64256 |
| 25 | EGEEN | 277. | 399.2 | 335.958 | 31.3252 | 0.237903 | 293.5 | 465.4 | 372.945 | 45.5331 | 0.0929182 |
| 26 | EGGUB | 22.7 | 33.2 | 28.2118 | 3.06464 | −0.264439 | 20.1 | 25.62 | 22.5293 | 1.22272 | 0.305046 |
| 27 | ECILC | 3.29 | 4.73 | 4.072 | 0.399903 | −0.568129 | 2.7 | 3.86 | 3.2672 | 0.311331 | −0.070838 |
| 28 | EKGYO | 1.88 | 2.85 | 2.45208 | 0.232883 | −1.07722 | 1.49 | 2.03 | 1.72768 | 0.110841 | 0.205264 |
| 29 | ENJSA | 1.16 | 1.73 | 1.45088 | 0.169972 | −0.507287 | 0.86 | 1.34 | 1.10376 | 0.126336 | 0.032597 |
| 30 | ENKAİ | 4.15 | 5.96 | 5.20488 | 0.486943 | −0.517393 | 4.43 | 5.37 | 4.8136 | 0.261911 | 0.562262 |
| 31 | ERBOS | 62.65 | 104. | 79.1988 | 10.4206 | 0.328433 | 60.8 | 79.7 | 66.6796 | 4.46059 | 1.44475 |
| 32 | EREGL | 9.63 | 12.37 | 10.6013 | 0.558435 | 0.521141 | 7.11 | 12.21 | 9.99432 | 1.52687 | −0.536378 |
| 33 | FENER | 32.14 | 45.14 | 34.8288 | 2.21755 | 2.41043 | 6.43 | 32.3 | 16.9826 | 9.33197 | 0.0644164 |
| 34 | FROTO | 54.3 | 69.75 | 60.9768 | 2.74565 | 0.0584024 | 48.8 | 68.45 | 58.7914 | 5.22033 | −0.086403 |
| 35 | GSRAY | 1.59 | 6.56 | 3.58032 | 2.02182 | 0.528233 | 1.17 | 1.81 | 1.4568 | 0.204808 | 0.0317085 |
| 36 | GLYHO | 3.27 | 4.98 | 4.0184 | 0.354003 | 0.5603 | 2.48 | 3.75 | 2.99856 | 0.284366 | 0.0605749 |
| 37 | GOZDE | 2.39 | 6.12 | 4.59432 | 1.1025 | −0.697523 | 2.04 | 3.04 | 2.6 | 0.241838 | −0.236242 |
| 38 | GUBRF | 3.11 | 4.65 | 3.96608 | 0.471801 | −0.387898 | 2.76 | 3.69 | 3.08744 | 0.246157 | 0.870546 |
| 39 | SAHOL | 8.44 | 11.47 | 10.2419 | 0.771027 | −0.52949 | 6.85 | 8.9 | 7.6508 | 0.477662 | 0.804217 |
| 40 | HDFGS | 1.34 | 3.1 | 2.08856 | 0.415492 | −0.042038 | 1.03 | 2.05 | 1.37 | 0.238168 | 0.736194 |
| 41 | HEKTS | 6.92 | 12.1 | 9.3456 | 1.3985 | −0.269799 | 8.58 | 12.17 | 9.77496 | 0.752389 | 1.20559 |
| 42 | IHLGM | 0.89 | 2.26 | 1.60256 | 0.377714 | −0.276678 | 1.05 | 1.63 | 1.32048 | 0.107109 | 0.725315 |
| 43 | IHLAS | 0.32 | 0.56 | 0.45 | 0.0709611 | −0.485378 | 0.29 | 0.43 | 0.34736 | 0.0382088 | 0.478875 |
| 44 | INDES | 6.95 | 17.3 | 12.3041 | 3.05311 | −0.383144 | 5.2 | 8.45 | 6.2496 | 0.846065 | 0.81005 |
| 45 | IPEKE | 4.41 | 8.2 | 5.50136 | 0.796778 | 1.66417 | 4.36 | 6.15 | 5.20664 | 0.418632 | 0.421366 |
| 46 | ISFIN | 1.42 | 5.8 | 2.57736 | 1.1203 | 0.895398 | 1.88 | 5.17 | 2.85936 | 0.966975 | 1.3895 |
| 47 | ISGYO | 0.92 | 1.46 | 1.24664 | 0.159333 | −0.7149 | 0.86 | 1.06 | 0.93064 | 0.0577361 | 0.736336 |
| 48 | ISMEN | 2.04 | 2.55 | 2.28288 | 0.155552 | −0.0442992 | 1.95 | 2.27 | 2.08624 | 0.0592107 | 0.928767 |
| 49 | JANTS | 23.26 | 38.36 | 29.8042 | 4.32348 | −0.201844 | 23.96 | 28.08 | 25.9811 | 0.900804 | −0.050858 |
| 50 | KRDMD | 3.08 | 5.16 | 3.90912 | 0.558003 | 0.465523 | 2.13 | 5.04 | 3.63368 | 0.875726 | −0.412889 |
| 51 | KARSN | 1.28 | 2.46 | 1.93768 | 0.284855 | −0.749433 | 1.15 | 1.72 | 1.38968 | 0.147199 | 0.696516 |
| 52 | KARTN | 244.3 | 304.6 | 274.32 | 16.3943 | −0.0821657 | 257. | 380.4 | 322.618 | 32.0567 | −0.572765 |
| 53 | KERVT | 1.79 | 132.1 | 78.1262 | 39.9558 | −1.08414 | 1.75 | 2.71 | 2.02512 | 0.230111 | 1.32758 |
| 54 | KCHOL | 13.05 | 19.24 | 16.0127 | 1.88571 | 0.00884313 | 12.59 | 17.35 | 14.8881 | 1.16793 | 0.0538161 |
| 55 | KONYA | 186. | 268.7 | 233.392 | 25.2154 | −0.491438 | 174.1 | 232.8 | 189.783 | 13.4513 | 1.31277 |
| 56 | KORDS | 5.87 | 8.32 | 7.37368 | 0.621042 | −0.543263 | 6.39 | 10.95 | 9.15808 | 1.27175 | −0.725025 |
| 57 | KOZAL | 32. | 51.45 | 41.3875 | 5.06277 | 0.031109 | 36.86 | 54.5 | 47.575 | 4.4138 | −0.274291 |
| 58 | KOZAA | 5.16 | 8.84 | 6.31864 | 0.798482 | 1.39986 | 5.04 | 8.08 | 6.318 | 0.772713 | 0.795304 |
| 59 | LOGO | 37.84 | 60.95 | 51.0728 | 5.58933 | −0.300283 | 25.8 | 42.5 | 33.0482 | 3.80422 | 0.260759 |
| 60 | MGROS | 18.29 | 27.86 | 22.9474 | 2.6455 | −0.232621 | 13.01 | 20.58 | 15.911 | 2.0199 | 0.983797 |
| 61 | MPARK | 1.17 | 2.33 | 1.70968 | 0.318912 | −0.248749 | 1.3 | 1.85 | 1.51776 | 0.121932 | 0.165251 |
| 62 | NTHOL | 1.66 | 2.62 | 2.12752 | 0.25476 | −0.29144 | 1.68 | 2.28 | 1.9976 | 0.1439 | −0.420848 |
| 63 | NETAS | 7.92 | 16.4 | 12.9462 | 2.75455 | −0.574076 | 6.46 | 9.72 | 8.05936 | 0.986328 | 0.0683042 |
| 64 | NUHCM | 9.13 | 11.6 | 10.2621 | 0.561892 | −0.11521 | 7.74 | 9.35 | 8.6328 | 0.447599 | −0.55855 |
| 65 | ODAS | 3.88 | 7.77 | 6.19784 | 1.17356 | −0.677702 | 1.88 | 5.56 | 3.56176 | 1.03977 | 0.312082 |
| 66 | OTKAR | 69.4 | 129.8 | 100.942 | 20.3982 | −0.402122 | 62.45 | 88.4 | 76.2924 | 6.30319 | 0.109277 |
| 67 | OYAKC | 0.8 | 1.28 | 1.04136 | 0.119376 | −0.548506 | 0.83 | 2.04 | 1.06104 | 0.189727 | 2.24014 |
| 68 | PARSN | 11.72 | 18.78 | 14.6446 | 1.61059 | 0.256838 | 8.9 | 29.52 | 16.8007 | 5.09358 | 0.81477 |
| 69 | PGSUS | 23.86 | 37.34 | 31.7091 | 4.3731 | −0.552645 | 20.04 | 31. | 24.948 | 2.39928 | 0.482988 |
| 70 | PETKM | 4.28 | 8.41 | 6.89016 | 1.44954 | −0.801556 | 4.13 | 6.19 | 5.11496 | 0.436412 | −0.520571 |
| 71 | RTALB | 1.62 | 2.97 | 2.3628 | 0.482505 | −0.318179 | 1.65 | 2.43 | 2.01664 | 0.149758 | −0.189098 |
| 72 | SASA | 8.45 | 15.85 | 11.5578 | 1.80438 | 0.325931 | 7.93 | 11.96 | 9.39752 | 0.742289 | 0.524825 |
| 73 | SELEC | 3.36 | 4.01 | 3.72992 | 0.16223 | −0.538979 | 2.73 | 3.91 | 3.28008 | 0.350395 | 0.366802 |
| 74 | SKBNK | 1.12 | 1.87 | 1.54024 | 0.211772 | −0.51094 | 0.92 | 1.32 | 1.09744 | 0.104124 | 0.232855 |
| 75 | SOKM | 1.23 | 2. | 1.63376 | 0.236758 | −0.459705 | 1.04 | 1.77 | 1.3176 | 0.17967 | 0.540506 |
| 76 | TAVHL | 20.84 | 26. | 22.8472 | 1.27043 | 0.481242 | 20.86 | 32.96 | 26.309 | 3.28153 | 0.230703 |
| 77 | TKFEN | 13.61 | 18.81 | 16.4098 | 1.06603 | −0.180823 | 17.2 | 23.38 | 20.6598 | 1.67631 | −0.317168 |
| 78 | TKNSA | 3.14 | 5.7 | 4.55792 | 0.752249 | −0.224434 | 2.89 | 5.27 | 4.13416 | 0.718848 | −0.344938 |
| 79 | TOASO | 23.32 | 33.98 | 27.771 | 3.18814 | 0.244489 | 16.12 | 24.06 | 20.5538 | 2.30931 | −0.704191 |
| 80 | TRGYO | 2.51 | 3.4 | 2.9184 | 0.240639 | 0.234495 | 1.49 | 2.73 | 1.85008 | 0.356077 | 1.08816 |
| 81 | TCELL | 11.17 | 16.86 | 14.1746 | 1.42309 | −0.57207 | 10.26 | 13.24 | 11.682 | 0.705872 | −0.099327 |
| 82 | TUPRS | 96.05 | 125.1 | 111.971 | 6.29855 | −0.30129 | 98.15 | 142.9 | 121.862 | 11.2938 | −0.29551 |
| 83 | THYAO | 12.52 | 19.77 | 16.763 | 1.80009 | −0.551502 | 13.54 | 19.22 | 16.3915 | 1.25731 | −0.040551 |
| 84 | TTKOM | 4.89 | 7.09 | 6.17384 | 0.542484 | −0.775679 | 3.2 | 5.58 | 3.96032 | 0.551027 | 1.08112 |
| 85 | TTRAK | 48.28 | 80. | 68.271 | 10.7848 | −0.601984 | 33.24 | 52.3 | 42.9468 | 6.26018 | −0.245434 |
| 86 | GARAN | 8.11 | 12.36 | 10.3126 | 1.27252 | −0.206222 | 5.72 | 8.59 | 7.25904 | 0.767802 | −0.318026 |
| 87 | HALKB | 7.15 | 11.02 | 8.91192 | 1.06446 | −0.179096 | 5.78 | 7.84 | 6.72408 | 0.49702 | −0.185978 |
| 88 | ISCTR | 5.57 | 8.22 | 6.7836 | 0.708519 | −0.0120491 | 3.82 | 5.82 | 4.36816 | 0.486519 | 1.46563 |
| 89 | TSKB | 0.92 | 1.69 | 1.40976 | 0.222099 | −0.838833 | 0.71 | 1.02 | 0.79888 | 0.0685356 | 1.15944 |
| 90 | TURSG | 31.4 | 41.04 | 37.772 | 2.13003 | −1.34094 | 25.98 | 36.58 | 29.2936 | 2.44839 | 0.51082 |
| 91 | SISE | 3.98 | 5.2 | 4.70032 | 0.359244 | −0.561709 | 4.23 | 6.3 | 5.2308 | 0.497503 | 0.220849 |
| 92 | VAKBN | 4.76 | 7.57 | 6.3728 | 0.770054 | −0.511776 | 3.08 | 5.05 | 3.78936 | 0.400189 | 1.12849 |
| 93 | ULKER | 16.71 | 23.98 | 21.2021 | 2.02589 | −0.679279 | 13.76 | 18.51 | 15.9911 | 1.16859 | 0.346025 |
| 94 | VERUS | 21.66 | 28.92 | 25.448 | 1.78194 | −0.0423428 | 13.83 | 33.28 | 22.179 | 5.87349 | 0.132888 |
| 95 | VESBE | 9.2 | 11.48 | 10.4679 | 0.628843 | −0.0433434 | 9.74 | 13.5 | 11.1742 | 1.05218 | 0.50243 |
| 96 | VESTL | 8.23 | 12.23 | 9.78584 | 0.942292 | 0.627674 | 5.5 | 9.34 | 7.59072 | 1.17761 | −0.332711 |
| 97 | YKBNK | 2.27 | 4.85 | 4.14016 | 0.717108 | −1.72974 | 1.56 | 2.49 | 1.8036 | 0.240109 | 1.44576 |
| 98 | ZOREN | 1.31 | 2.19 | 1.80344 | 0.247657 | −0.286927 | 1.07 | 1.65 | 1.33744 | 0.131602 | 0.537303 |
Table A2.
Descriptive statistics for the COVID-19 economic period data set.
Table A2.
Descriptive statistics for the COVID-19 economic period data set.
| During COVID-19 | Post-COVID-19 | ||||||||||
|---|---|---|---|---|---|---|---|---|---|---|---|
| Index | Company | Min | Max | Mean | Standard Deviation | Skewness | Min | Max | Mean | Standard Deviation | Skewness |
| 1 | AFYON | 1.23 | 2.99 | 1.76712 | 0.412329 | 1.03336 | 1.44 | 5.73 | 3.96626 | 1.04184 | −0.713805 |
| 2 | AKBNK | 5.35 | 8.68 | 6.99771 | 0.796843 | −0.02394 | 4.58 | 7.35 | 5.63304 | 0.64091 | 0.25633 |
| 3 | AKSA | 3.77 | 7.28 | 4.96362 | 1.06408 | 0.758046 | 5.01 | 17.19 | 9.29912 | 3.74054 | 0.742238 |
| 4 | AKSEN | 2.11 | 4.29 | 2.9352 | 0.649323 | 0.707849 | 3.06 | 12.51 | 6.76421 | 2.61857 | 0.698443 |
| 5 | ALGYO | 5.99 | 16.69 | 8.94642 | 3.26155 | 0.921443 | 8.47 | 29.15 | 17.9487 | 5.20094 | 0.448157 |
| 6 | ALARK | 2.257 | 6.203 | 3.99063 | 1.28502 | 0.204894 | 3.418 | 12.092 | 6.71384 | 2.4817 | 0.867208 |
| 7 | ALBRK | 0.963 | 1.908 | 1.30011 | 0.24348 | 0.618012 | 1.03 | 2.59 | 1.66454 | 0.32881 | 0.183853 |
| 8 | ALKIM | 3.34 | 8.02 | 4.64306 | 1.25823 | 1.16449 | 6.44 | 20.02 | 13.3243 | 3.11507 | −0.150313 |
| 9 | AEFES | 14.36 | 22.38 | 18.067 | 1.92549 | 0.290469 | 13.92 | 26.23 | 19.3084 | 2.85873 | 0.120196 |
| 10 | ARCLK | 14.14 | 20.76 | 17.7455 | 1.45537 | −0.02995 | 11.63 | 34.43 | 23.2515 | 6.87428 | 0.0309029 |
| 11 | ASELS | 8.18 | 15.15 | 10.2319 | 1.58636 | 1.23986 | 10.34 | 19.27 | 16.3641 | 2.01891 | −1.158 |
| 12 | BERA | 1.55 | 4.71 | 2.56343 | 0.95914 | 0.724168 | 2.05 | 27.5 | 11.8623 | 7.95499 | 0.586072 |
| 13 | BIMAS | 32.13 | 49.38 | 41.2014 | 3.99271 | −0.51726 | 42.63 | 74.65 | 63.2759 | 7.20346 | −1.17694 |
| 14 | BRSAN | 7.14 | 13.43 | 9.16775 | 1.55683 | 1.13811 | 6.6 | 37.08 | 17.8348 | 9.06661 | 0.746687 |
| 15 | BRYAT | 31.17 | 76.76 | 41.2963 | 12.7219 | 1.45624 | 41.61 | 616.74 | 220.189 | 178.747 | 0.679694 |
| 16 | BRISA | 5.13 | 9.92 | 6.91258 | 1.36671 | 0.703224 | 6.28 | 30.96 | 16.2083 | 7.27676 | 0.606662 |
| 17 | CCOLA | 22.55 | 45.08 | 32.3358 | 5.11376 | 0.766975 | 31.54 | 79.29 | 51.1922 | 14.0753 | 0.451873 |
| 18 | CEMAS | 0.444 | 1.078 | 0.667277 | 0.21406 | 0.45421 | 0.515 | 2.019 | 1.35148 | 0.398783 | −0.35067 |
| 19 | CEMTS | 4.515 | 9.294 | 6.05739 | 1.16501 | 0.924478 | 4.397 | 17.81 | 12.0747 | 3.93904 | −0.346059 |
| 20 | CIMSA | 5.58 | 10.28 | 7.48727 | 1.24374 | 0.55661 | 5.8 | 25.24 | 13.9548 | 5.50147 | 0.396435 |
| 21 | DEVA | 3.484 | 11.481 | 6.59327 | 2.14048 | 0.547862 | 7.334 | 34.324 | 21.5946 | 6.13889 | −0.158384 |
| 22 | DOHOL | 0.931 | 1.982 | 1.36907 | 0.34284 | 0.297072 | 1.21 | 4.121 | 2.44918 | 0.682609 | 0.406614 |
| 23 | DOAS | 3.19 | 11.73 | 6.03583 | 2.44908 | 0.69012 | 4.6 | 35.25 | 18.2661 | 8.48382 | 0.236403 |
| 24 | ECZYT | 5.47 | 12.29 | 7.63708 | 1.87581 | 0.766093 | 6.77 | 60.7 | 23.6312 | 14.8713 | 1.1623 |
| 25 | EGEEN | 333.97 | 681.12 | 466.507 | 79.5553 | 0.966822 | 366.81 | 1762.5 | 1010.83 | 478.51 | 0.330857 |
| 26 | EGGUB | 21.2 | 56.55 | 33.6213 | 10.7478 | 0.555657 | 31.38 | 246.31 | 123.605 | 61.1082 | 0.455258 |
| 27 | ECILC | 2.145 | 4.251 | 2.92458 | 0.62283 | 0.691663 | 2.932 | 8.85 | 6.41936 | 1.12005 | −0.692972 |
| 28 | EKGYO | 1.028 | 1.705 | 1.33779 | 0.16542 | 0.166562 | 1.048 | 2.658 | 1.87707 | 0.409154 | −0.415539 |
| 29 | ENJSA | 4. | 7.28 | 5.31288 | 0.90362 | 0.631267 | 5.22 | 12.42 | 8.74619 | 1.83028 | 0.126007 |
| 30 | ENKAİ | 3.612 | 5.857 | 4.61658 | 0.55050 | 0.303678 | 4.569 | 8.542 | 6.47242 | 0.922462 | −0.183978 |
| 31 | ERBOS | 13.7 | 26.87 | 18.4617 | 3.9562 | 0.542653 | 13.67 | 81.5 | 33.1247 | 17.457 | 1.10639 |
| 32 | EREGL | 5.238 | 8.453 | 6.61376 | 0.74740 | 0.498183 | 6.284 | 16.31 | 9.59633 | 2.86829 | 0.637 |
| 33 | FENER | 6.06 | 19.44 | 10.7884 | 3.90797 | 0.418634 | 6.87 | 49.24 | 24.67 | 11.5687 | −0.181721 |
| 34 | FROTO | 38.62 | 73.41 | 54.6811 | 8.3082 | 0.435716 | 39.95 | 222.18 | 104.145 | 45.6823 | 0.780675 |
| 35 | GSRAY | 1.15 | 4.1 | 1.79668 | 0.56262 | 1.93048 | 1.33 | 4.99 | 3.38176 | 0.755224 | −0.538536 |
| 36 | GLYHO | 2.65 | 5.28 | 3.77288 | 0.68838 | 0.266462 | 2.07 | 6.83 | 4.54205 | 1.05542 | −0.233805 |
| 37 | GOZDE | 2.48 | 5.49 | 3.63173 | 0.80824 | 0.709064 | 2.25 | 9.14 | 5.73531 | 1.54818 | −0.32818 |
| 38 | GUBRF | 2.31 | 19.55 | 5.69779 | 4.07717 | 1.83589 | 12. | 86.05 | 41.0767 | 22.157 | 0.575377 |
| 39 | SAHOL | 6.39 | 9.69 | 8.11509 | 0.76183 | −0.24350 | 6.64 | 11.3 | 8.8341 | 1.26363 | 0.370338 |
| 40 | HDFGS | 0.296 | 0.844 | 0.466491 | 0.15458 | 0.913594 | 0.376 | 3.994 | 1.68245 | 1.01017 | 0.530144 |
| 41 | HEKTS | 1.043 | 3.079 | 1.6924 | 0.58813 | 1.03851 | 2.219 | 9.766 | 4.75263 | 1.99916 | 1.06328 |
| 42 | IHLGM | 0.583 | 1.184 | 0.809351 | 0.13552 | 1.04053 | 0.592 | 1.613 | 1.21988 | 0.202657 | −0.846892 |
| 43 | IHLAS | 0.281 | 0.842 | 0.508863 | 0.15922 | 0.736177 | 0.353 | 1.258 | 0.856648 | 0.217511 | −0.288515 |
| 44 | INDES | 1.387 | 3.192 | 1.9232 | 0.46875 | 1.24791 | 1.416 | 8.257 | 3.86433 | 1.57915 | 0.891294 |
| 45 | IPEKE | 4.22 | 10.48 | 6.29554 | 1.72678 | 0.93599 | 5.84 | 17.26 | 12.3796 | 1.94661 | −1.20046 |
| 46 | ISFIN | 2.09 | 9. | 4.22568 | 2.01404 | 0.805872 | 2.07 | 4.36 | 3.72044 | 0.39001 | −1.54623 |
| 47 | ISGYO | 0.86 | 2.15 | 1.15875 | 0.34043 | 1.392 | 1.17 | 2.79 | 1.95769 | 0.360449 | 0.0169647 |
| 48 | ISMEN | 1.825 | 4.541 | 2.96725 | 0.78848 | 0.120702 | 2.969 | 20.263 | 10.23 | 5.19039 | 0.433456 |
| 49 | JANTS | 2.718 | 7.894 | 4.58619 | 1.58088 | 0.390807 | 4.496 | 113.673 | 30.4624 | 26.4028 | 1.09316 |
| 50 | KRDMD | 1.812 | 3.13 | 2.25213 | 0.32554 | 1.05288 | 1.81 | 7.83 | 4.16747 | 1.84588 | 0.585767 |
| 51 | KARSN | 0.985 | 1.97 | 1.31345 | 0.26470 | 0.612003 | 1.18 | 5.58 | 3.0326 | 1.04699 | 0.187746 |
| 52 | KARTN | 10.97 | 18.23 | 12.881 | 1.78055 | 1.33022 | 10.13 | 125.21 | 47.6058 | 33.5036 | 0.498572 |
| 53 | KERVT | 1.45 | 3.81 | 2.34686 | 0.70853 | 0.4303 | 2.26 | 7.7 | 5.4181 | 1.26235 | −0.432228 |
| 54 | KCHOL | 13.91 | 20.5 | 17.3976 | 1.47428 | −0.13853 | 12.2 | 23.32 | 17.0136 | 2.88867 | 0.455021 |
| 55 | KONYA | 162. | 301.2 | 210.199 | 37.5319 | 0.792086 | 155.1 | 1730. | 703.133 | 455.189 | 0.493204 |
| 56 | KORDS | 8.51 | 14.97 | 11.7579 | 1.19867 | 0.319578 | 7.98 | 29.16 | 14.6659 | 5.30088 | 1.15791 |
| 57 | KOZAL | 40.3 | 84.45 | 61.1398 | 13.237 | −0.05884 | 51.4 | 152.1 | 88.9229 | 22.4042 | 0.974592 |
| 58 | KOZAA | 5.36 | 12.71 | 8.10941 | 1.94251 | 0.246077 | 7.67 | 20.48 | 13.4982 | 2.19793 | 0.128733 |
| 59 | LOGO | 7.578 | 19.85 | 11.362 | 2.93578 | 1.31279 | 11.97 | 45.904 | 25.3755 | 7.6518 | 0.584661 |
| 60 | MGROS | 11.33 | 26.7 | 18.6617 | 4.5419 | 0.129677 | 17.99 | 51.35 | 37.8553 | 6.41285 | −1.26284 |
| 61 | MPARK | 10.08 | 18.84 | 13.7909 | 2.10972 | 0.324003 | 10.19 | 26.2 | 18.5875 | 3.43255 | 0.160751 |
| 62 | NTHOL | 1.46 | 2.65 | 1.88993 | 0.33176 | 0.975078 | 1.19 | 5.94 | 2.96952 | 1.07354 | 0.69253 |
| 63 | NETAS | 5.53 | 16.53 | 9.45266 | 3.00872 | 0.772234 | 7.68 | 35.3 | 20.0682 | 7.28608 | 0.484591 |
| 64 | NUHCM | 5.23 | 11.46 | 7.43613 | 2.17428 | 0.586615 | 7.94 | 64.38 | 30.0508 | 18.4578 | 0.46327 |
| 65 | ODAS | 0.799 | 2.36 | 1.25803 | 0.38187 | 1.43403 | 1.16 | 4.3 | 2.8963 | 0.897559 | −0.285881 |
| 66 | OTKAR | 85.07 | 150.51 | 114.927 | 18.2664 | 0.27763 | 91.74 | 419.64 | 209.162 | 104.625 | 0.79215 |
| 67 | OYAKC | 2.59 | 6.1 | 3.9202 | 1.29497 | 0.37782 | 4.59 | 9.87 | 7.43234 | 1.23474 | −0.73381 |
| 68 | PARSN | 9. | 18.77 | 13.5168 | 2.42608 | 0.140852 | 10.96 | 39.16 | 21.7749 | 6.86437 | 0.702529 |
| 69 | PGSUS | 26.2 | 86.4 | 53.344 | 19.0001 | −0.025989 | 23.62 | 92.1 | 57.5285 | 14.5189 | 0.343092 |
| 70 | PETKM | 2.75 | 3.854 | 3.13123 | 0.223836 | 0.687314 | 2.333 | 6.26 | 3.98389 | 1.04881 | 0.58836 |
| 71 | RTALB | 1.15 | 2.89 | 1.63148 | 0.500135 | 0.874048 | 2.3 | 62.8 | 32.9593 | 14.4566 | −0.19592 |
| 72 | SASA | 3.566 | 7.7 | 4.91365 | 0.845634 | 1.45837 | 3.683 | 36.905 | 14.1411 | 8.42044 | 1.27624 |
| 73 | SELEC | 3.066 | 7.467 | 4.86752 | 1.03803 | 0.471192 | 5.244 | 17.87 | 9.83355 | 2.48366 | 0.94617 |
| 74 | SKBNK | 0.699 | 1.207 | 0.908421 | 0.12983 | 0.59501 | 0.649 | 1.698 | 1.24546 | 0.26479 | −0.62580 |
| 75 | SOKM | 7.35 | 11.45 | 9.69812 | 0.865975 | −0.289991 | 6.68 | 14.41 | 11.9745 | 1.42546 | −1.3876 |
| 76 | TAVHL | 16.66 | 27.69 | 23.533 | 1.98326 | −0.079059 | 13.24 | 26.74 | 18.8895 | 3.09781 | 0.478895 |
| 77 | TKFEN | 12.81 | 25.82 | 20.2595 | 3.01343 | 0.023539 | 11.06 | 18.88 | 15.3099 | 1.78408 | 0.004616 |
| 78 | TKNSA | 1.226 | 8.152 | 2.40248 | 1.4494 | 1.9265 | 2.575 | 14.013 | 6.49072 | 2.56534 | 0.724539 |
| 79 | TOASO | 12.06 | 22.93 | 16.7999 | 2.95988 | 0.516465 | 13.03 | 35.61 | 25.0067 | 6.14607 | 0.262406 |
| 80 | TRGYO | 1.53 | 3.16 | 2.18391 | 0.419102 | 0.734094 | 1.67 | 5.2 | 3.43176 | 0.725085 | −0.749715 |
| 81 | TCELL | 10.28 | 14.18 | 12.2821 | 0.992613 | 0.049025 | 11.48 | 16.72 | 14.6134 | 1.28494 | −0.511009 |
| 82 | TUPRS | 92.25 | 143.5 | 124.765 | 8.94016 | −0.698192 | 67.3 | 112.2 | 89.8608 | 10.5235 | 0.480667 |
| 83 | THYAO | 9.97 | 15.29 | 13.0551 | 1.12287 | −0.164162 | 7.71 | 15.02 | 11.5592 | 1.43127 | −0.158209 |
| 84 | TTKOM | 3.78 | 8.26 | 5.61576 | 1.21085 | 0.535109 | 5.44 | 8.67 | 7.27864 | 0.659723 | −0.064098 |
| 85 | TTRAK | 22.41 | 55.97 | 36.2503 | 9.83336 | 0.561585 | 35.34 | 230.24 | 114.097 | 55.1032 | 0.453213 |
| 86 | GARAN | 6.92 | 12.22 | 9.36458 | 1.19704 | 0.459781 | 6.33 | 10.53 | 8.03388 | 1.09857 | 0.331392 |
| 87 | HALKB | 4.94 | 7.69 | 6.14114 | 0.672736 | 0.481539 | 4.32 | 6.55 | 5.30264 | 0.380907 | 0.345466 |
| 88 | ISCTR | 4.706 | 7.346 | 5.8311 | 0.552968 | 0.406276 | 4.367 | 7.161 | 5.39736 | 0.717756 | 0.750076 |
| 89 | TSKB | 0.638 | 1.364 | 0.912863 | 0.190596 | 0.837652 | 0.863 | 2.659 | 1.41312 | 0.422116 | 0.714267 |
| 90 | TURSG | 0.831 | 2.705 | 1.54355 | 0.509439 | 0.638249 | 1.535 | 7.152 | 4.979 | 1.53458 | −0.773243 |
| 91 | SISE | 3.817 | 6.378 | 4.89623 | 0.578183 | 0.444672 | 3.541 | 7.933 | 6.16648 | 1.1528 | −0.621656 |
| 92 | VAKBN | 3.39 | 6.86 | 4.9024 | 0.78181 | 0.535839 | 3.45 | 5.38 | 4.44509 | 0.388754 | −0.280576 |
| 93 | ULKER | 16.3 | 25.36 | 20.0801 | 2.06085 | 0.801713 | 17.48 | 27.58 | 22.8085 | 1.61909 | 0.0033168 |
| 94 | VERUS | 13.99 | 22.52 | 17.928 | 2.23989 | 0.105094 | 13.29 | 72.65 | 37.7405 | 15.6178 | 0.21624 |
| 95 | VESBE | 11.218 | 25.216 | 15.7119 | 3.57776 | 1.10228 | 12.479 | 59.967 | 30.7847 | 11.7318 | 0.660761 |
| 96 | VESTL | 6.3 | 17.5 | 11.4969 | 2.19912 | 0.262398 | 8.91 | 38.12 | 19.4336 | 6.67911 | 0.891811 |
| 97 | YKBNK | 1.8 | 3.065 | 2.32439 | 0.278354 | 0.469189 | 1.722 | 3.231 | 2.3644 | 0.389536 | 0.546658 |
| 98 | ZOREN | 1.06 | 1.75 | 1.33753 | 0.187684 | 0.742286 | 0.96 | 3.15 | 2.2874 | 0.632207 | −0.885673 |
References
- Molodtsov, D. Soft set theory—First results. Comput. Math. Appl. 1999, 37, 19–31. [Google Scholar] [CrossRef]
- Aktaş, H.; Çağman, N. Soft sets and soft groups. Inf. Sci. 2007, 177, 2726–2735. [Google Scholar] [CrossRef]
- Al-Janabi, S.; Mustafa, M.; Al-Sultan, A. A new method for prediction of air pollution based on intelligent computation. Soft Comput. 2020, 24, 661–680. [Google Scholar] [CrossRef]
- Yang, C.; Zhao, F.; Tao, X.; Wang, Y. Publicly verifiable outsourced data migration scheme supporting efficient integrity checking. J. Netw. Comput. Appl. 2021, 192, 103184. [Google Scholar] [CrossRef]
- Ali, G.; Sarwar, M. Novel technique for group decision-making under fuzzy parameterized-rung orthopair fuzzy soft expert framework. Math. Probl. Eng. 2021, 2021, 5449403. [Google Scholar] [CrossRef]
- Kalajdzic, K.; Ali, S.H.; Patel, A. Rapid lossless compression of short text messages. Comput. Stand. Interfaces 2015, 37, 53–59. [Google Scholar] [CrossRef]
- Močkoř, J.; Hurtík, P. Approximations of fuzzy soft sets by fuzzy soft relations with image processing application. Soft Comput. 2021, 25, 6915–6925. [Google Scholar] [CrossRef]
- Bhargavi, K. Fuzzy soft set and its engineering applications. In Handbook of Research on Advances and Applications of Fuzzy Sets and Logic; IGI Global: Hershey, PA, USA, 2022; pp. 310–323. [Google Scholar]
- Kirişci, M. Ω-soft sets and medical decision-making application. Int. J. Comput. Math. 2021, 98, 690–704. [Google Scholar] [CrossRef]
- Zulqarnain, R.M.; Abdal, S.; Maalik, A.; Ali, B.; Zafar, Z.; Ahamad, M.I.; Younas, S.; Mariam, A.; Dayan, F. Application of TOPSIS method in decision making via soft set. Biomed. J. Sci. Tech. Res. 2020, 24, 18208–18215. [Google Scholar]
- Lashari, S.A.; Ibrahim, R. A framework for medical images classification using soft set. Procedia Tech. 2013, 11, 548–556. [Google Scholar] [CrossRef][Green Version]
- Alcantud, J.C.R. A novel algorithm for fuzzy soft set based decision making from multiobserver input parameter data set. Inf. Fusion 2016, 29, 142–148. [Google Scholar] [CrossRef]
- Alcantud, J.C.R.; Santos-García, G. Incomplete soft sets: New solutions for decision making problems. In Decision Economics, in Commemoration of the Birth Centennial of Herbert A. Simon 1916–2016 (Nobel Prize in Economics 1978); Springer: Cham, Switzerland, 2016; pp. 9–17. [Google Scholar]
- Ma, X.; Qi, L.; Zhan, J. A survey of decision making methods based on certain hybrid soft set models. Artif. Intell. Rev. 2017, 47, 507–530. [Google Scholar] [CrossRef]
- Zhan, J.; Ali, M.I.; Mehmood, N. On a novel uncertain soft set model: Z-soft fuzzy rough set model and corresponding decision making methods. Appl. Soft Comput. 2017, 56, 446–457. [Google Scholar] [CrossRef]
- Zhan, J.; Zhu, K. Reviews on decision making methods based on (fuzzy) soft sets and rough soft sets. J. Intell. Fuzzy Syst. 2015, 29, 1169–1176. [Google Scholar] [CrossRef]
- Sutoyo, E.; Mungad, M.; Hamid, S.; Herawan, T. An efficient soft set-based approach for conflict analysis. PLoS ONE 2016, 11, e0148837. [Google Scholar] [CrossRef]
- Alcantud, J.C.R.; Cruz Rambaud, S.; Munoz Torrecillas, M.J. Valuation fuzzy soft sets: A flexible fuzzy soft set based decision making procedure for the valuation of assets. Symmetry 2017, 9, 253. [Google Scholar] [CrossRef]
- Zhang, X.; Xu, Z. Consensus model-based hesitant fuzzy multiple criteria group decision analysis. In Hesitant Fuzzy Methods for Multiple Criteria Decision Analysis, Studies in Fuzziness and Soft Computing; Zhang, X., Xu, Z., Eds.; Springer: Berlin, Germany, 2017; Volume 345, pp. 143–157. [Google Scholar]
- Xu, Z.S.; Xia, M.M. Distance and similarity measures for hesitant fuzzy sets. Inf. Sci. 2011, 181, 2128–2138. [Google Scholar] [CrossRef]
- Taş, N.; Yilmaz Özgür, N.; Demir, P. An application of soft set and fuzzy soft set theories to stock management. J. Nat. Appl. Sci. 2017, 21, 10. [Google Scholar] [CrossRef]
- Kalaichelvi, A.; Haritha Malini, P. Application of fuzzy soft sets to investment decision making problem. Int. J. Math. Sci. Appl. 2011, 1, 1583–1586. [Google Scholar]
- Özgür, Y.; Taş, N. A note on “Application of fuzzy soft sets to investment decision making problem”. J. New Theory 2015, 1, 1–10. [Google Scholar]
- De, G.; Tan, Z.; Li, M.; Huang, L.; Wang, Q.; Li, H. A credit risk evaluation based on intuitionistic fuzzy set theory for the sustainable development of electricity retailing companies in China. Energy Sci. Eng. 2019, 7, 2825–2841. [Google Scholar] [CrossRef]
- Xu, W.; Xiao, Z.; Dang, X.; Yang, D.; Yang, X. Financial ratio selection for business failure prediction using soft set theory. Knowl.-Based Syst. 2014, 63, 59–67. [Google Scholar] [CrossRef]
- Chetia, B.; Das, P.K. An application of interval-valued fuzzy soft. Int. J. Contemp. Math. Sci. 2010, 5, 1887–1894. [Google Scholar]
- Saikia, B.K.; Das, P.K.; Borkakati, A.K. An application of intuitionistic fuzzy soft sets in medical diagnosis. Bio. Sci. Res. Bull. 2003, 19, 121–127. [Google Scholar]
- Yuksel, S.; Dizman, T.; Yildizdan, G.; Sert, Ü. Application of soft sets to diagnose the prostate cancer risk. J. Inequal. Appl. 2013, 229. [Google Scholar] [CrossRef]
- Alcantud, J.C.R.; Varela, G.; Santos-Buitrago, B.; Santos-García, G.; Jiménez, M.F. Analysis of survival for lung cancer resections cases with fuzzy and soft set theory in surgical decision making. PLoS ONE 2019, 14, e0218283. [Google Scholar]
- Balcı, M.A.; Akgüller, Ö. Mathematical morphology on soft sets for application to metabolic networks. In Advanced Computational Methods for Knowledge Engineering; Springer: Cham, Switzerland, 2015; pp. 209–218. [Google Scholar]
- Balcı, M.A.; Akgüller, Ö. Soft vibrational force on stock market networks. Libr. J. 2016, 3, e3050. [Google Scholar]
- Millington, T.; Niranjan, M. Partial correlation financial networks. Appl. Netw. Sci. 2020, 5, 11. [Google Scholar] [CrossRef]
- Çalışkan, Ç. Network modeling: Historical perspectives, agent-based modeling, correlation networks, and network similarities. In Financial Data Analytics; Springer: Cham, Switzerland, 2022; pp. 295–327. [Google Scholar]
- Marti, G.; Nielsen, F.; Bińkowski, M.; Donnat, P. A review of two decades of correlations, hierarchies, networks and clustering in financial markets. In Progress in Information Geometry; Springer: Berlin/Heidelberg, Germany, 2021; pp. 245–274. [Google Scholar]
- Wang, G.J.; Chen, Y.-Y.; Si, H.-B.; Xie, C.; Chevallier, J. Multilayer information spillover networks analysis of China’s financial institutions based on variance decompositions. Int. Rev. Econ. Financ. 2021, 73, 325–347. [Google Scholar] [CrossRef]
- Lyócsa, Š.; Výrost, T.; Baumöhl, E. Return spillovers around the globe: A network approach. Econ. Model. 2019, 77, 133–146. [Google Scholar] [CrossRef]
- Saha, S.; Gao, J.; Gerlach, R. A survey of the application of graph-based approaches in stock market analysis and prediction. Int. J. Data Sci. Analyt. 2022, 14, 1–15. [Google Scholar] [CrossRef]
- Mei, Z.; Oguchi, T. Network structure identification via Koopman analysis and sparse identification. Nonlinear Theory Appl. IEICE 2022, 13, 477–492. [Google Scholar] [CrossRef]
- Savinkov, R.; Grebennikov, D.; Puchkova, D.; Chereshnev, V.; Sazonov, I.; Bocharov, G. Graph theory for modeling and analysis of the human lymphatic system. Mathematics 2020, 8, 2236. [Google Scholar] [CrossRef]
- Babič, M.; Mihelič, J.; Calì, M. Complex network characterization using graph theory and fractal geometry: The case study of lung cancer DNA sequences. Appl. Sci. 2020, 10, 3037. [Google Scholar] [CrossRef]
- Werner, F. Graph-theoretic problems and their new applications. Mathematics 2020, 8, 445. [Google Scholar] [CrossRef]
- Davahli, M.R.; Karwowski, W.; Fiok, K.; Murata, A.; Sapkota, N.; Farahani, F.V.; Taiar, R. The COVID-19 infection diffusion in the US and Japan: A graph-theoretical approach. Biology 2022, 11, 125. [Google Scholar] [CrossRef]
- Liu, Y.; Zhang, Z.; Liu, Y.; Zhu, Y. GATSMOTE: Improving imbalanced node classification on graphs via attention and homophily. Mathematics 2022, 10, 1799. [Google Scholar] [CrossRef]
- Zhang, T.; Du, Q.; Yang, G.; Wang, C.; Chen, C.Y.; Zhang, C.; Fang, Z. Assembly configuration representation and kinematic modeling for modular reconfigurable robots based on graph theory. Symmetry 2022, 14, 433. [Google Scholar] [CrossRef]
- Alanazi, A.M.; Muhiuddin, G.; Al-Balawi, D.A.; Samanta, S. Different DNA sequencing using DNA graphs: A study. Appl. Sci. 2022, 12, 5414. [Google Scholar] [CrossRef]
- Bang-Jensen, J.; Gutin, G.Z. Digraphs: Theory, Algorithms and Applications; Springer: London, UK, 2008. [Google Scholar]
- Tutte, W.T. Graph Theory; Cambridge University Press: Cambridge, UK, 2001; Volume 21. [Google Scholar]
- Chen, W.K. Applied Graph Theory; North Holland: Amsterdam, The Netherlands, 2012; Volume 13. [Google Scholar]
- Samal, A.; Pharasi, H.K.; Ramaia, S.J.; Kannan, H.; Saucan, E.; Jost, J.; Chakraborti, A. Network geometry and market instability. R. Soc. Open Sci. 2021, 8, 201734. [Google Scholar] [CrossRef]
- So, M.K.; Chu, A.M.; Chan, T.W. Impacts of the COVID-19 pandemic on financial market connectedness. Financ. Res. Lett. 2021, 38, 101864. [Google Scholar] [CrossRef]
- Huang, Y.; Chen, F. Community structure and systemic risk of bank correlation networks based on the US financial crisis in 2008. Algorithms 2021, 14, 162. [Google Scholar] [CrossRef]
- Giudici, P.; Parisi, L. Corisk: Credit risk contagion with correlation network models. Risks 2018, 6, 95. [Google Scholar] [CrossRef]
- Yan, Y.; Wu, B.; Tian, T.; Zhang, H. Development of stock networks using part mutual information and Australian stock market data. Entropy 2020, 22, 773. [Google Scholar] [CrossRef]
- Peruzzi, A.; Zollo, F.; Quattrociocchi, W.; Scala, A. How news may affect markets’ complex structure: The case of Cambridge Analytica. Entropy 2018, 20, 765. [Google Scholar] [CrossRef] [PubMed]
- Nie, C.X. Analysis of critical events in the correlation dynamics of cryptocurrency market. Phys. A Stat. Mech. Appl. 2022, 586, 126462. [Google Scholar] [CrossRef]
- Su, Q.; Tu, L.; Wang, X.; Rong, H. Construction and robustness of directed-weighted financial stock networks via meso-scales. Phys. A Stat. Mech. Appl. 2022, 605, 127955. [Google Scholar] [CrossRef]
- Chen, W.; Hou, X.; Jiang, M.; Jiang, C. Identifying systemically important financial institutions in complex network: A case study of Chinese stock market. Emerg. Mark. Rev. 2022, 50, 100836. [Google Scholar] [CrossRef]
- Mantegna, R.N.; Stanley, H.E. Introduction to Econophysics: Correlations and Complexity in Finance; Cambridge University Press: Cambridge, MA, USA, 1999. [Google Scholar]
- Battiston, S.; Glattfelder, J.B.; Garlaschelli, D.; Lillo, F.; Caldarelli, G. The structure of financial networks. In Network Science—Complexity in Nature and Technology; Springer: London, UK, 2010; pp. 131–163. [Google Scholar]
- Esfahanipour, A.; Zamanzadeh, S.E. A stock market filtering model based on minimum spanning tree in financial networks. AUT J. Model Simul. 2015, 45, 67–75. [Google Scholar]
- Wang, G.J.; Xie, C.; Stanley, H.E. Correlation structure and evolution of world stock markets: Evidence from Pearson and partial correlation-based networks. Comput. Econ. 2018, 51, 607–635. [Google Scholar] [CrossRef]
- Balcı, M.A.; Batrancea, L.M.; Akgüller, Ö.; Nichita, A. Coarse graining on financial correlation networks. Mathematics 2022, 10, 2118. [Google Scholar] [CrossRef]
- Yen, P.T.W.; Xia, K.; Cheong, S.A. Understanding changes in the topology and geometry of financial market correlations during a market crash. Entropy 2021, 23, 1211. [Google Scholar] [CrossRef] [PubMed]
- Magner, N.; Lavín, J.F.; Valle, M.A. Modeling synchronization risk among sustainable exchange trade funds: A statistical and network analysis approach. Mathematics 2022, 10, 3598. [Google Scholar] [CrossRef]
- Cho, P.; Kim, K. Global collective dynamics of financial market efficiency using attention entropy with hierarchical clustering. Fractal Fract. 2022, 6, 562. [Google Scholar] [CrossRef]
- Memon, B.A.; Yao, H. Structural change and dynamics of Pakistan stock market during crisis: A complex network perspective. Entropy 2019, 21, 248. [Google Scholar] [CrossRef]
- Bonacich, P. Some unique properties of eigenvector centrality. Soc. Netw. 2007, 29, 555–564. [Google Scholar] [CrossRef]
- Martins, A.F.T.; Smith, N.A.; Xing, E.P.; Aguiar, P.M.Q.; Figueiredo, M.A.T. Nonextensive information theoretic kernels on measures. J. Mach. Learn. Res. 2009, 10, 935–975. [Google Scholar]
- Fuglede, B.; Topsoe, F. Jensen-Shannon divergence and Hilbert space embedding. In Proceedings of the International Symposium on Information Theory, Chicago, IL, USA, 27 June 2004–2 July 2004. [Google Scholar]
- Baydilli, Y.Y.; Bayir, Ş.; Türker, I. A hierarchical view of a national stock market as a complex network. Econ. Comput. Econ. Cybern. Stud. Res. 2017, 51, 205–222. [Google Scholar]
- Şükrüoğlu, D. Effects of COVID-19 on the BIST 100 network structure. Appl. Econ. 2022, 54, 5991–6007. [Google Scholar] [CrossRef]
- Aslam, F.; Mohmand, Y.T.; Ferreira, P.; Memon, B.A.; Khan, M.; Khan, M. Network analysis of global stock markets at the beginning of the coronavirus disease (COVID-19) outbreak. Borsa Istanb. Rev. 2020, 20, S49–S61. [Google Scholar] [CrossRef]
- Memon, B.A.; Yao, H. The impact of COVID-19 on the dynamic topology and network flow of world stock markets. J. Open Innov. Technol. Mark. Complex. 2021, 7, 241. [Google Scholar] [CrossRef]
Publisher’s Note: MDPI stays neutral with regard to jurisdictional claims in published maps and institutional affiliations. |
© 2022 by the authors. Licensee MDPI, Basel, Switzerland. This article is an open access article distributed under the terms and conditions of the Creative Commons Attribution (CC BY) license (https://creativecommons.org/licenses/by/4.0/).










