Computational Analysis of Fractional Diffusion Equations Occurring in Oil Pollution
Abstract
1. Introduction
2. Mathematical Preliminaries
3. Fundamental Plan of q-Homotopy Analysis Generalized Transform Method (q-HAGTM)
4. Numerical Solution of Fractional Diffusion Equations Occurring in Oil Pollution
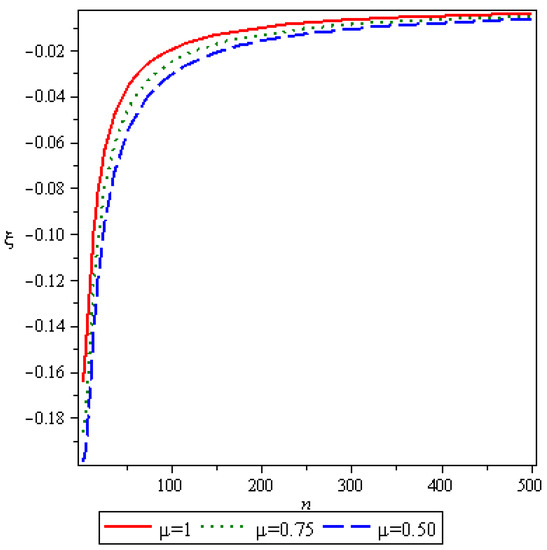
5. Numerical Simulation and Discussions
6. Conclusions
Author Contributions
Funding
Data Availability Statement
Conflicts of Interest
References
- Miller, K.S.; Ross, B. An Introduction to the Fractional Calculus and Fractional Differential Equations; Willey: New York, NY, USA, 1993. [Google Scholar]
- Podlubny, I. Fractional Differential Equations; Academic Press: San Diego, CA, USA, 1999; Volume 198, p. 340. [Google Scholar]
- Caputo, M. Elasticita e Dissipazione; Zani-Chelli: Bologna, Italy, 1969. [Google Scholar]
- Singh, J. Analysis of fractional blood alcohol model with composite fractional derivative. Chaos Solitons Fractals 2020, 140, 110127. [Google Scholar] [CrossRef]
- Caputo, M.; Fabrizio, M. A new definition of fractional derivative without singular kernel. Progr. Fract. Differ. Appl. 2015, 1, 73–85. [Google Scholar]
- Caputo, M.; Fabrizio, M. On the Singular Kernels for Fractional Derivatives. Some Applications to Partial Differential Equations. Progr. Fract. Differ. Appl. 2021, 7, 79–82. [Google Scholar]
- Singh, J.; Kumar, D.; Kumar, S. An efficient computational method for local fractional transport equation occurring in fractal porous media. Comput. Appl. Math. 2020, 39, 137. [Google Scholar] [CrossRef]
- Singh, J.; Ahmadian, A.; Sushila; Kumar, D.; Baleanu, D.; Senu, N. An Efficient Computational Approach for Local Fractional Poisson Equation in Fractal Media. Numer. Methods Partial. Differ. Equ. 2020, 37, 1439–1448. [Google Scholar] [CrossRef]
- Yang, X.J. A new integral transform operator for solving the heat-diffusion problem. Appl. Math. Lett. 2017, 64, 193–197. [Google Scholar] [CrossRef]
- Losada, J.; Nieto, J.J. Properties of the new fractional derivative without singular kernel. Progr. Fract. Differ. Appl. 2015, 1, 87–92. [Google Scholar]
- Atangana, A.; Baleanu, D. New fractional derivative with nonlocal and non-singular kernel, Theory and application to heat transfer model. Therm. Sci. 2016, 20, 763–769. [Google Scholar] [CrossRef]
- Kumar, D.; Agarwal, R.P.; Singh, J. A modified numerical scheme and convergence analysis for fractional model of Lienard’s equation. J. Comput. Appl. Math. 2018, 339, 405–413. [Google Scholar] [CrossRef]
- Hariharan, G. An efficient Legendre wavelet-based approximation method for a few Newell-Whitehead and Allen-Cahn equations. J. Membr. Biol. 2014, 247, 371–380. [Google Scholar] [CrossRef] [PubMed]
- Allen, S.M.; Cahn, J.W. A microscopic theory for antiphase boundary motion and its application to antiphase domain coarsening. Acta Metall. 1979, 27, 1085–1095. [Google Scholar] [CrossRef]
- Shah, A.; Sabir, M.; Qasim, M.; Bastian, P. Efficient numerical scheme for solving the Allen-Cahn equation. Numer. Methods Partial. Differ. Equ. 2018, 34, 1820–1833. [Google Scholar] [CrossRef]
- Chen, Y.; Huang, Y.; Yi, N. A SCR-based error estimation and adaptive finite element method for the Allen–Cahn equation. Comput. Math. Appl. 2019, 78, 204–223. [Google Scholar] [CrossRef]
- Ahmad, H.; Khan, T.A.; Durur, H.; Ismail, G.M.; Yokus, A. Analytic approximate solutions of diffusion equations arising in oil pollution. J. Ocean. Eng. Sci. 2021, 6, 62–69. [Google Scholar] [CrossRef]
- Bulut, H.; Atas, S.S.; Baskonus, H.M. Some novel exponential function structures to the Cahn–Allen equation. Cogent Phys. 2016, 3, 1240886. [Google Scholar] [CrossRef]
- Manafian, J. An optimal Galerkin-homotopy asymptotic method applied to the nonlinear second order bvps. Proc. Instit. Math. Mech. 2021, 447, 156–182. [Google Scholar] [CrossRef]
- Shahriari, M.; Manafian, J. An efficient algorithm for solving the fractional dirac differential operator. Adv. Math. Model. Appl. 2020, 5, 289–297. [Google Scholar]
- Dehghan, M.; Manafian, J.; Saadatmandi, A. Solving nonlinear fractional partial differential equations using the homotopy analysis method. Num. Meth. Part. D. E. 2010, 26, 448–479. [Google Scholar] [CrossRef]
- Almeida, R.; Malinowska, A.B.; Odzijewicz, T. Fractional differential equations with dependence on the Caputo-Katugampola derivative. J. Comput. Nonlinear Dynam. 2016, 11, 061017. [Google Scholar] [CrossRef]
- Liao, S.J. Beyond Perturbation: Introduction to Homotopy Analysis Method; Chapman and Hall/CRC Press: Boca Raton, FL, USA, 2003. [Google Scholar]
- Liao, S.J. On the homotopy analysis method for nonlinear problems. Appl. Math. Comput. 2004, 147, 499–513. [Google Scholar] [CrossRef]
- El-Tawil, M.A.; Huseen, S.N. The q-homotopy analysis method (q-HAM). Int. J. App. Math. Mech. 2012, 8, 51–75. [Google Scholar]
- El-Tawil, M.A.; Huseen, S.N. On convergence of the q-homotopy analysis method. Int. J. Contem. Math. Sci. 2013, 8, 481–497. [Google Scholar] [CrossRef]
- Odibat, Z.; Bataineh, S.A. An adaptation of homotopy analysis method for reliable treatment of strongly nonlinear problems: Construction of homotopy polynomials. Math. Meth. Appl. Sci. 2014, 38, 991–1000. [Google Scholar] [CrossRef]
- Singh, J.; Gupta, A.; Baleanu, D. On the analysis of an analytical approach for fractional Caudrey-Dodd-Gibbon equations. Alex. Eng. J. 2021, 61, 5073–5082. [Google Scholar] [CrossRef]
- Singh, J.; Ganbari, B.; Kumar, D.; Baleanu, D. Analysis of fractional model of guava for biological pest control with memory effect. J. Adv. Res. 2021, 32, 99–108. [Google Scholar] [CrossRef] [PubMed]
- Thanompolkrang, S.; Sawangtong, W.; Sawangtong, P. Application of the Generalized Laplace Homotopy Perturbation Method to the Time Fractional Black–Scholes Equations Based on the Katugampola Fractional Derivative in Caputo Type. Computation 2021, 9, 33. [Google Scholar] [CrossRef]
- Jarad, F.; Abdeljawad, T.; Baleanu, D. Caputo-type modification of the Hadamard fractional derivatives. Adv. Differ. Equ. 2012, 142, 1–8. [Google Scholar] [CrossRef]
- Jarad, F.; Abdeljawad, T. Generalized fractional derivatives and Laplace transform. Disc. Cont. Dyn. Syst. S 2019, 13, 709–722. [Google Scholar] [CrossRef]
- Jarad, F.; Abdeljawad, T. A modified Laplace transform for certain generalized fractional operators. Res. Nonlinear Anal. 2018, 2, 88–98. [Google Scholar]
- Katugampola, U.N. New approach to a generalized fractional integral. Appl. Math. Comput. 2011, 218, 860–865. [Google Scholar] [CrossRef]
- Katugampola, U.N. A new approach to generalized fractional derivatives. Bull. Math. Anal. Appl. 2014, 6, 1–15. [Google Scholar]

















Publisher’s Note: MDPI stays neutral with regard to jurisdictional claims in published maps and institutional affiliations. |
© 2022 by the authors. Licensee MDPI, Basel, Switzerland. This article is an open access article distributed under the terms and conditions of the Creative Commons Attribution (CC BY) license (https://creativecommons.org/licenses/by/4.0/).
Share and Cite
Singh, J.; Alshehri, A.M.; Momani, S.; Hadid, S.; Kumar, D. Computational Analysis of Fractional Diffusion Equations Occurring in Oil Pollution. Mathematics 2022, 10, 3827. https://doi.org/10.3390/math10203827
Singh J, Alshehri AM, Momani S, Hadid S, Kumar D. Computational Analysis of Fractional Diffusion Equations Occurring in Oil Pollution. Mathematics. 2022; 10(20):3827. https://doi.org/10.3390/math10203827
Chicago/Turabian StyleSingh, Jagdev, Ahmed M. Alshehri, Shaher Momani, Samir Hadid, and Devendra Kumar. 2022. "Computational Analysis of Fractional Diffusion Equations Occurring in Oil Pollution" Mathematics 10, no. 20: 3827. https://doi.org/10.3390/math10203827
APA StyleSingh, J., Alshehri, A. M., Momani, S., Hadid, S., & Kumar, D. (2022). Computational Analysis of Fractional Diffusion Equations Occurring in Oil Pollution. Mathematics, 10(20), 3827. https://doi.org/10.3390/math10203827

