Abstract
In this paper, a time-fractional derivative nonlinear Schrödinger equation involving the Riemann–Liouville fractional derivative is investigated. We first perform a Lie symmetry analysis of this equation, and then derive the reduced equations under the admitted optimal-symmetry system. Moreover, with the invariant subspace method, several exact solutions for the equation and their figures are presented. Finally, the new conservation theorem is applied to construct the conservation laws of the equation.
Keywords:
time-fractional derivative nonlinear Schrödinger equation; symmetry group; invariant subspace; conservation law MSC:
35R11; 70G65
1. Introduction
Fractional calculus is the theory of derivatives and integrals with arbitrary real or complex orders, and it unifies and generalizes the notion of integer-order differentiation and n-fold integration [1,2,3]. By the end of the nineteenth century, several different forms of fractional derivatives had been proposed, primarily by Liouville, Grünwald, Letnikov, and Riemann. It can provide a remarkable instrument for the description of various phenomena with memory and hereditary properties [4,5]. This advantage naturally leads to the investigation of the differential equations of fractional order and to the necessity of solving such equations. Although effective general methods for solving fractional differential equations (FDEs) cannot be found, there are several useful ways to construct explicit solutions in special forms, such as the differential transform method [6], finite difference method [7], sub-equation method [8], homotopy perturbation method [9], etc.
A Lie symmetry group, which is a valid and mature method for studying partial differential equations (PDEs), can be used to derive group-invariant solutions, conservation laws, and linearization of nonlinear PDEs [10,11]. As for the Lie group theory of FDEs, a dominant position was taken by Gazizov et al. in [12,13], where they proposed extended formulas and studied the nonlinear anomalous time-fractional diffusion equation involving Riemann–Liouville and Caputo fractional derivatives. In [14], the higher-order symmetries for a class of linear FDEs were discussed in the same manner as Lie point symmetries for this equation. Moreover, potential symmetries for time-fractional PDEs were presented by introducing potential systems with which several exact solutions were constructed [15]. Concerning the conservation law of FDEs, Lukashchuk [16] first achieved the construction of the Noether operator by employing the concept of nonlinear self-adjointness developed by Ibragimov [17]. One of the methods based on invariance principles is the invariant subspace method, which stems from the work of Galaktionov and his collaborator [18]. Recently, Gazizov et al. established the modification of the invariant subspace method for FDEs [19], where they also found that the jointness of invariant subspace and the Lie symmetry group is helpful for finding exact solutions of FDEs. Based on these established schemas, numerous works have focused on FDEs, including scalar-time FDEs [20,21], multidimensional-time FDEs [22,23], coupled-time FDEs [24,25,26], and space-time FDEs [27,28,29].
It is well known that the derivative nonlinear Schrödinger equation for
originated from both nonlinear plasma physics and fiber optics, where and is the complex conjugate of u. In the field of plasma physics, Equation (1) models the long-wavelength dynamics of dispersive Alfvén waves propagating along an ambient magnetic field [30]. As in fiber optics, Equation (1) represents the propagation of nonlinear pulses in optical fibers as the effects of higher-order nonlinear perturbations [31]. The integrability of Equation (1) also stimulates the attention of mathematicians. In [32], the inverse scattering transform and the Lax pair for Equation (1) were investigated by Kaup and Newell. Moreover, the Hirota method [33] and Darboux transformation [34,35] were also used to solve Equation (1). In this paper, we will consider the time-fractional derivative nonlinear Schrödinger equation
where a, b, and p are real constants, and is the left-sided Riemann–Liouville fractional differential operator of order with respect to t. To the best of the authors’ knowledge, the symmetry-related analysis of Equation (2) is still open, which motivates us to make a contribution to the study of the Lie symmetry group, invariant subspace, and conservation law for Equation (2). Furthermore, several exact solutions of Equation (2) are also constructed.
This paper is structured as follows. Section 2 provides some basic results related to fractional calculus. In Section 3, we investigate the point symmetry groups admitted by Equation (2) and the corresponding optimal system, with which Equation (2) is reduced to a fractional ordinary differential equation (FODE), and then derive the explicit solutions of Equation (2). Several separable solutions of Equation (2) are constructed through the study of the admitted invariant subspace in Section 4. Section 5 is devoted to deriving the conservation laws of Equation (2) from the obtained symmetry groups by applying the nonlinear self-adjoint method. Section 6 presents our conclusions.
2. Preliminaries
Here, we list the definition of the Riemann–Liouville fractional derivative and several related results arising from the theory of fractional calculus [2]. Consider the differentiable functions and on . The left-side and right-side fractional integral operators of order are, respectively, defined by
where , represents the Gamma function. The left-side and right-side Riemann–Liouville fractional derivatives of order are, respectively, defined by
where and . For brevity, the left-side Riemann–Liouville fractional derivative is usually said to be the Riemann–Liouville fractional derivative, which has several properties that are different from the ones for the integer-order derivative, such as
It also has the linear property and generalized Leibniz rule, which are given by
where
In particular, if , we have .
3. Symmetry Analysis
In this section, we determine the point symmetry groups admitted by Equation (2) and their corresponding one-dimensional optimal system. Then, we perform the symmetry reductions of Equation (2) under the obtained optimal system.
3.1. Lie Symmetry Group
Let us assume that Equation (2) is invariant under a one-parameter Lie group of transformation
where is the parameter. The corresponding infinitesimal generator with , , , is
and the -th order prolongation of generator V is defined as follows:
In (14), the integer-order extended infinitesimals [11] are given by
and the -th order extended infinitesimals are of the form
where and denote the total derivatives with respect to t and x, respectively, and
The infinitesimal invariance criterion for Equation (2) with respect to the operator (13) demands
and
Substituting the prolongations (15) and (16) and setting the coefficients of linearly independent derivatives , , , , , ,…, , , , to zero in (19), the determining equations, which are the overdetermined system for the infinitesimals , , , and , can be obtained as follows:
Solving determining Equations (20) together with condition (18) yields
where , are arbitrary real constants. Thus, we have the following assertion.
Theorem 1.
Note that symmetries and are phase-rotation and space-translation transformations, respectively, while symmetry is a scaling transformation on . We list the Lie algebra commutator structure of generator (22) in Table 1.
Table 1.
The commutator structure of (22).
Next, the optimal system of Equation (2) will be constructed to find all group-invariant solutions. The optimal system is the maximal set of one-dimensional point symmetry subgroups that are conjugacy-inequivalent in the full Lie group of point symmetries admitted by Equation (2). The method for finding such a system consists of taking a general operator of Lie algebra and subjecting it to various adjoint transformations to simplify it as much as possible [10]. The adjoint action is given by
where denotes the commutator of the Lie algebra and is a parameter. Thus, a direct calculation leads to the corresponding adjoint actions of generators (22), which are shown in Table 2, where the -th entry represents .
Table 2.
The adjoint action of (22).
With the help of the commutator structures in Table 1 and the adjoint representations in Table 2, the one-dimensional optimal subgroups can be determined with a systematic calculation. The result is summarized as follows.
Theorem 2.
3.2. Symmetry Reduction
Now, let us run the reductions under the optimal symmetry generators shown in (24).
3.2.1. Reduction under
Solving the corresponding characteristic equation
we get the invariants , , and . Then, Equation (2) is reduced to the following FODE:
To solve Equation (26), we distinguish two cases: and .
Case 1.. In this case, we find that the FODE (26) has the symmetry group of phase rotation
with which no explicit solution of Equation (26) can be derived.
Case 2.. In this case, the FODE (26) possesses a solution
where is an arbitrary complex constant and is the Mittag–Leffler function [3] defined by
Thus, Equation (2) has a solution
which is a space-periodic separable solution.
3.2.2. Reduction under
The characteristic equation of the generator is given by
which leads to invariants , , and . Now, let us insert these invariants into the definition of the Riemann–Liouville fractional derivative (5), yielding
The change in variable transforms Equation (32) into
Differentiating times, we get
Therefore, Equation (2) is reduced to the following FODE:
4. Invariant Subspace
This section is devoted to the invariant subspace analysis for Equation (2). The maximal dimension of the invariant subspace is determined, and then the reduction of (2) to the FODE is described in terms of the admitted invariant subspaces. Moreover, the symmetry group theory is used to solve the reduced FODEs so that several solutions of Equation (2) can be explicitly derived.
Consider the time-fractional derivative nonlinear Schrödinger Equation (2); we introduce
Let be linearly independent functions that generate a linear subspace
Suppose that is invariant under the operator F. Then, there exist functions , depending on , that satisfy
This implies that Equation (2) has a generalized separable solution
where the coefficients , satisfy a system of FODEs
Note that the space can be determined by the solution space of a linear equation
where , . If the operator F in (38) admits the invariant subspace governed by Equation (43), then the invariance condition is given by
where E denotes the solution set of equation and its differential consequences with respect to x. To construct solutions of FDEs, we need to know the maximal dimension of the invariant subspaces. Indeed, the maximal dimension for a nonlinear ordinary differential operator of order k is bounded by (see [18,36]). It is easily seen that all possible dimensions of the invariant subspace admitted by operator F in (38) are . For each dimension n, the invariance condition (44) with operator L shown in (43) leads to an overdetermined system. Solving the resulting system, we find that operator F in (38) admits no three-, four-, or five-dimensional invariant subspace, where the case of is out of our consideration. The results for one- and two-dimensional invariant subspaces are listed in the Table 3 and Table 4, where , are arbitrary real constants.
Table 3.
One-dimensional invariant subspaces of (38).
Table 4.
Two-dimensional invariant subspaces of (38).
Next, we will apply the obtained invariant subspaces in Table 3 and Table 4 to reduce Equation (2) to a system of FODEs. The symmetry groups admitted by the reduced FODEs are then derived in order to construct the solutions of Equation (2).
Example 1.
The invariant subspace suggests that Equation (2) has a time-dependent solution
where is an unknown complex function to be determined. Substituting (45) into Equation (2) leads to an FODE for
which has the solution
Example 2.
The invariant subspace suggests that Equation (2) possesses an exact solution of the form
where satisfies
It is easy to see that, when , Equation (50) has the solution
Example 3.
The invariant subspace implies that the solution of Equation (2) with is of the form
where is determined by the FODE
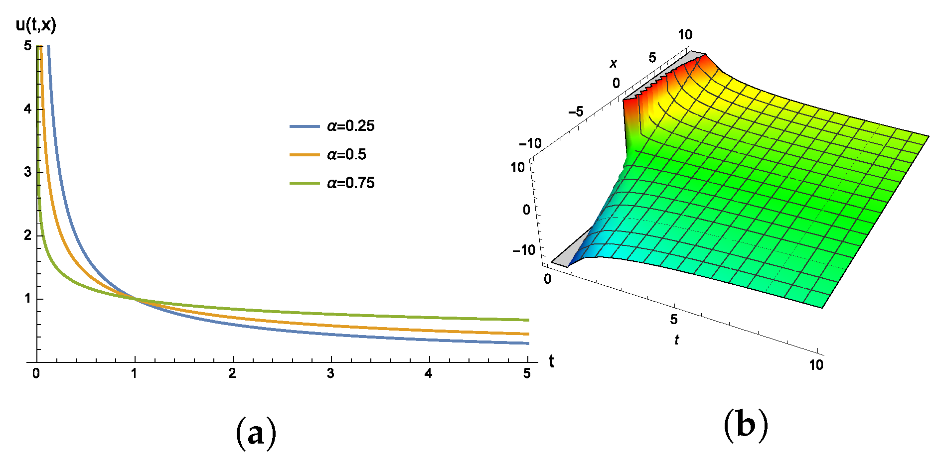
It is easily seen that, when Equation (55) has solution (47), it yields an exact solution for Equation (2)
Solution (56) is the same as solution (48) up to a fixed x, so they have the same analytic behavior with respect to the variable t (see Figure 1a). We depict the perspective view of solution (56) with in 3D in Figure 1b.
To proceed, we use the symmetry (58) to find the invariant solution. The corresponding invariant is , where c is a complex constant. The substitution of this invariant into the Equation (2) gives with and . Thus, Equation (2) has a solution
where , are arbitrary real constants. Solution (60) is blown up at and dispersive. Note that the modulo of solution (60) has similar behavior to that of solution (56) with respect to variables t and x (see Figure 1b). Considering the transformation corresponding to symmetry , one can obtain a family of solutions from (60) given by
The behaviors of the modulo of solution (61) when are shown in Figure 1a and Figure 2a. For the case of , we use 2D and 3D plots against variable t (see Figure 2b,c).
Figure 2.
Behaviors of in (61) (a) with and , (b) with and , (c) with .
Example 4.
The invariant subspace implies that Equation (2) with can be solved by
Example 5.
Example 6.
The invariant subspace leads to a solution of Equation (2) with and , that is,
where the complex function satisfies
Example 7.
The invariant subspace implies that Equation (2) with and can be solved by
where is the solution for the FODE
Example 8.
The invariant subspace yields an exact solution of Equation (2) with and :
5. Conservation Law
In this section, the nonlinear self-adjointness method is applied to construct the conservation laws of Equation (2). A conservation law of Equation (2) is a divergence expression , which vanishes for all solutions of Equation (2). Here, the conserved quantities and are functions of and all derivatives of the dependent variables u and . Note that, in view of the definition of the Riemann–Liouville fractional derivative, when , Equation (2) has an apparent conservation law with
Next, let us apply the nonlinear self-adjointness method to find extra conservation laws. We assume that the formal Lagrangian of Equation (2) takes the form
where , , and and are newly introduced dependent variables. The adjoint equations of Equation (2) are defined by
where and are the Euler–Lagrange operators with respect to variables u and :
Here, is the Caputo fractional derivative operator of order , defined by
where and . Equation (2) is said to be nonlinear self-adjoint if the adjoint Equation (88) upon a substitution satisfy
where , are unknown coefficients to be determined. Solving system (92), we get and for . Thus, for a given symmetry , the conserved quantities and can be expressed explicitly as follows [16,17]:
where and .
Now, the formulas (93) are used to construct the conservation laws. For symmetry with characteristic functions and , the corresponding conserved quantities are given by (86). For symmetry with characteristic functions and , the corresponding conserved quantities are
which imply . Then, holds identically. Thus, the conserved quantities (94) yield a trivial conservation law. For symmetry with characteristic functions and , the corresponding conserved quantities are
6. Conclusions
The aim of this paper was to study the Lie symmetry groups, invariant subspaces, and conservation laws for the time-fractional derivative nonlinear Schrödinger Equation (2). Through a systematic calculation, we found that Equation (2) admits three Lie symmetry groups, namely, phase-rotation transformation, space-translation transformation, and scaling transformation. Then, the corresponding optimal sub-algebras were utilized to transform Equation (2) into FODEs. Moreover, the invariant subspace method was applied in combination with the symmetry group method to compute separable solutions of Equation (2). By using the new conservation theorem, we obtained three conserved currents generated from the three admitted symmetry groups, one of which yielded a new nontrivial conservation law. The analysis in this paper implies that the proposed methods are profoundly beneficial for the study of FDEs, which prompts us to do more work on FDEs arising from real applied fields.
Author Contributions
Formal analysis, F.Q.; Investigation, S.Z.; Methodology, W.F.; Supervision, W.F.; Validation, F.Q., W.F. and S.Z.; Writing—original draft, F.Q.; Writing—review & editing, W.F. All authors have read and agreed to the published version of the manuscript.
Funding
This project was supported by the National Natural Science Foundation of China (Nos. 12071432, 11401529) and by the Natural Science Foundation of Zhejiang Province (Nos. LY18A010033, LY17A010024).
Institutional Review Board Statement
Not applicable.
Informed Consent Statement
Not applicable.
Data Availability Statement
Not applicable.
Conflicts of Interest
The authors declare no conflict of interest.
References
- Oldham, K.B.; Spanier, F. The Fractional Calculus; Academic Press: New York, NY, USA, 1974. [Google Scholar]
- Miller, K.S.; Ross, B. An Introduction to the Fractional Calculus and Fractional Differential Equations; Wiley: New York, NY, USA, 1993. [Google Scholar]
- Podlubny, I. Fractional Differential Equations: An Introduction to Fractional Derivatives, Fractional Differential Equations, to Methods of Their Solution and Some of Their Applications; Academic Press: New York, NY, USA, 1999. [Google Scholar]
- Hilfer, R. Applications of Fractional Calculus in Physics; World Scientific: Singapore, 2000. [Google Scholar]
- Kilbas, A.A.; Srivastava, H.M.; Trujilo, J.J. Theory and Application of Fractional Differential Equation; Elsevier: Amsterdam, The Netherlands, 2006. [Google Scholar]
- Odibat, Z.; Momani, S. A generalized differential transform method for linear partial differential equations of fractional order. Appl. Math. Lett. 2008, 21, 194–199. [Google Scholar] [CrossRef] [Green Version]
- Yuste, S.B.; Acedo, L. An explicit finite difference method and a new von Neumann-type stablity analysis for fractional diffusion equations. SIAM J. Mumer. Anal. 2005, 42, 1862–1874. [Google Scholar] [CrossRef] [Green Version]
- Zhang, S.; Zhang, H.Q. Fractional sub-equation method and its applications to nonlinear fractional PDEs. Phys. Lett. A. 2011, 375, 1069–1073. [Google Scholar] [CrossRef]
- Li, X.C.; Xu, M.Y.; Jiang, X.Y. Homotopy perturbation method to time-fractional diffusion equation with a moving boundary condition. Appl. Math. Comput. 2009, 208, 434–439. [Google Scholar]
- Olver, P.J. Applications of Lie Groups to Differential Equations; Springer: New York, NY, USA, 1993. [Google Scholar]
- Bluman, G.W.; Cheviakov, A.F.; Anco, S.C. Applications of Symmetry Methods to Partial Differential Equations; Springer: New York, NY, USA, 2010. [Google Scholar]
- Gazizov, R.K.; Kasatkin, A.A.; Lukashchuk, S.Y. Continuous transformation groups of fractional differential equations. Vestnik USATU 2007, 9, 125–135. [Google Scholar]
- Gazizov, R.K.; Kasatkin, A.A.; Lukashchuk, S.Y. Symmetry Properties of Fractional Diffusion Equations. Phys. Scr. 2009, T136, 014016. [Google Scholar] [CrossRef]
- Gazizov, R.K.; Lukashchuk, S.Y. Higher-order symmetries of a time-fractional anomalous diffusion equation. Mathematics 2020, 9, 216. [Google Scholar] [CrossRef]
- Zhang, Z.Y.; Lin, Z.X. Local symmetry structure and potential symmetries of time-fractional partial differential equations. Stud. Appl. Math. 2021, 147, 363–389. [Google Scholar] [CrossRef]
- Lukashchuk, S.Y. Conservation laws for time-fractional subdiffusion and diffusion-wave equations. Nonlinear Dyn. 2015, 80, 791–802. [Google Scholar] [CrossRef] [Green Version]
- Ibragimov, N.H. A new conservation theorem. J. Math. Anal. Appl. 2017, 333, 311–328. [Google Scholar] [CrossRef] [Green Version]
- Galaktionov, V.A.; Svirshchevski, S. Exact Solutions and Invariant Subspaces of Nonlinear Partial Differential Equations in Mechanics and Physics; Chapman and Hall: London, UK, 2007. [Google Scholar]
- Gazizov, R.K.; Kasatkin, A.A. Construction of exact solutions for fractional order differential equations by invariant subspace method. Comput. Math. Appl. 2013, 66, 576–584. [Google Scholar] [CrossRef]
- Huang, Q.; Zhdanov, R. Symmetries and exact solutions of the time fractional Harry-Dym equation with Riemann-Liouville derivative. Phys. A 2014, 409, 110–118. [Google Scholar] [CrossRef]
- Feng, W.; Zhao, S.L. Time-fractional inhomogeneous nonlinear diffusion equation: Symmetries, conservation laws, invariant subspaces, and exact solutions. Mod. Phys. Lett. B 2018, 32, 1850401. [Google Scholar] [CrossRef]
- Zhang, Z.Y.; Zheng, J. Symmetry structure of multi-dimensional time-fractional partial differential equations. Nonlinearity 2021, 34, 5186. [Google Scholar] [CrossRef]
- Cheng, X.Y.; Wang, L.Z. Invariant analysis, exact solutions and conservation laws of (2+1)-dimensional time fractional Navier-Stokes equations. Proc. R. Soc. A 2021, 477, 1–20. [Google Scholar] [CrossRef]
- Feng, W. Exact solutions and conservation laws of time-fractional Levi equation. Symmetry 2020, 12, 1074. [Google Scholar] [CrossRef]
- Singla, K.; Gupta, R.K. Generalized Lie symmetry approach for fractional order systems of differential equations. III. J. Math. Phys. 2017, 58, 061501. [Google Scholar] [CrossRef]
- Sahadevan, R.; Prakash, P. Exact solutions and maximal dimension of invariant subspaces of time fractional coupled nonlinear partial differential equations. Commun. Nonlinear Sci. Numer. Simulat. 2017, 42, 158–177. [Google Scholar] [CrossRef]
- Feng, W. On symmetry groups and conservation laws for space-time fractional inhomogeneous nonlinear diffusion equation. Rep. Math. Phys. 2019, 84, 375–392. [Google Scholar] [CrossRef]
- Singla, K.; Gupta, R.K. On invariant analysis of space-time fractional nonlinear systems of partial differential equations. II. J. Math. Phys. 2017, 58, 051503. [Google Scholar] [CrossRef]
- Inc, M.; Yusuf, A.; Aliyu, A.I.; Baleanu, D. Lie symmetry analysis, explicit solutions and conservation laws for the space-time fractional nonlinear evolution equations. Phys. A 2018, 496, 371–383. [Google Scholar] [CrossRef]
- Rogister, A. Parallel propagation of nonlinear low-frequency waves in high-β plasma. Phys. Fluids 1971, 14, 2733–2743. [Google Scholar] [CrossRef]
- Agrawal, G.P. Applications of Nonlinear Fiber Optics; Academic Press: New York, NY, USA, 2001. [Google Scholar]
- Kaup, D.J.; Newell, A.C. An exact solution for a derivative nonlinear Schrödinger equation. J. Math. Phys. 1978, 19, 798. [Google Scholar] [CrossRef]
- Kakei, S.; Sasa, N.; Satsuma, J. Bilinearization of a generalized derivative nonlinear schrödinger equation. J. Phys. Soc. Jpn. 1995, 64, 1519–1526. [Google Scholar] [CrossRef] [Green Version]
- Imai, K. Generlization of Kaup-Newell inverse scattering formulation and Darboux transformation. J. Phys. Soc. Jpn. 1999, 68, 355–359. [Google Scholar] [CrossRef]
- Steudel, H. The hierarchy of multi-soliton solutions of the derivative nonlinear Schrödinger equation. J. Phys. A Math. Gen. 2003, 36, 1931–1946. [Google Scholar] [CrossRef]
- Qu, C.Z.; Ji, L.N. Invariant subspaces and conditional Lie-Bäcklund symmetries of inhomogeneous nonlinear diffusion equations. Sci. China Math. 2013, 56, 2187–2203. [Google Scholar] [CrossRef]
Publisher’s Note: MDPI stays neutral with regard to jurisdictional claims in published maps and institutional affiliations. |
© 2022 by the authors. Licensee MDPI, Basel, Switzerland. This article is an open access article distributed under the terms and conditions of the Creative Commons Attribution (CC BY) license (https://creativecommons.org/licenses/by/4.0/).

