Thermodynamic Modelling of Transcriptional Control: A Sensitivity Analysis
Abstract
:1. Introduction
2. Materials and Methods
- Variable number of TFBSs (enhancers): In general, a regulatory machinery is governed by specific cis-regulatory regions, bound by transcription factors and RNAP. In our model, we will work with n transcription factor enhancers, and one binding site for the RNAP (promoter).
- Binding affinities: The binding process of both transcription factors and RNA polymerase is defined by the binding energy (affinity). This affinity will be described by dissociation constants , and , for the Activator, Repressor and RNAP proteins, respectively. Please note that in our description the higher the value of , the lower the binding affinity of the protein i for their corresponding cis-regulatory region, with .
- stands for “Recruitment” model,
- stands for “Stimulated” model,
- or stands for “Hill” model deduced either from the recruitment or the stimulated model.
- Recruitment model: the synthesis of P depends on the total probability of finding RNA polymerase in the promoter. This probability is obtained from a combination of all the enhancer micro-states where the promoter is occupied by the RNAP. Each micro-state takes into account the number of activators and repressors, and , and their TFs-RNAP cooperative/anti-cooperative effect modifies the RNA polymerase binding affinity by the promoterwith , , and - being the “TF empty-occupied” binding affinity of the RNA polymerase. That is, activators/repressors facilitate/impede RNAP binding, and therefore transcription.
- Stimulated model: the synthesis of P depends on a weighted combination of probabilities of finding the enhancers occupied. These weights are determined for each configuration in terms of the constants, , , and being , , the basal, maximal and minimal transcription rates corresponding to either empty or filled with n activators/repressors. The superscript in denotes the dependence of this maximal rate on the number of enhancers n in the same manner that the minimal rate does. This dependence is a point not considered in standard modelling of the stimulated BEWARE operator that we will discuss in Supplementary Materials Section S1.
- Hill versions of both Recruitment and Stimulated operator have been obtained with any number of transcription factors (see specific results in Supplementary Materials Section S2). In order to do this, we have adopted the “extreme cooperativity approach” [48] according to several cooperativity regimes explained in the next paragraphs.
- Total cooperativity: , where both activators and repressors cooperate with a cooperativity constant .
- Partial cooperativity: , where the activators cooperate only between other activators with a cooperativity constant , and the repressors cooperate only with other repressors with a cooperativity constant .
2.1. Activation/Repression Threshold
- relatively activated if ;
- or relatively repressed if .
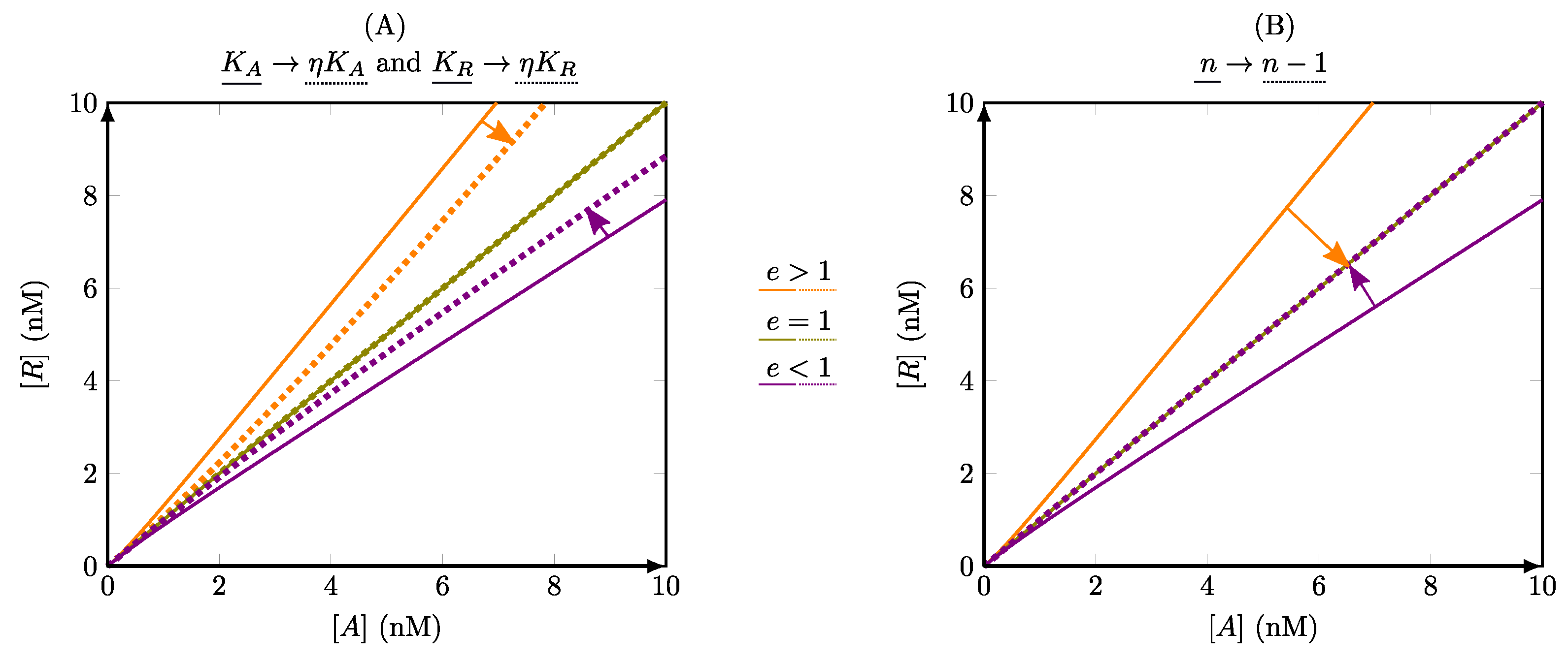
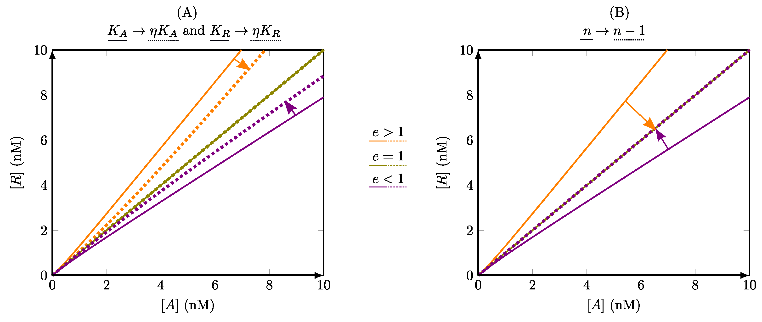
2.2. Sensitivity Analysis of the Threshold Functions: Elasticity
- proportional reduction in affinity for the enhancers:
- decrease in the number of available enhancers:
- will decrease in the elastic regime, that is, if ;
- will not be modified in the unit elastic regime, that is, if ;
- will increase in the inelastic regime, that is, if .
- high affinity enhancers because the first binding required for cooperativity is more likely to occur,
- a high number of enhancers because they allow improvement of TF’s affinity by cooperativity.
2.3. Calculations: Recruitment, Stimulated and Hill BEWARE Operators: Comparative Analysis
3. Results
- Null/Total cooperative case: The activators and repressors lose no competitive advantage in the the null case or lose exactly the same amount of competitive advantage in the total cooperativity case. Hence, the threshold function should not vary (unit elastic case);
- Activator cooperative case: The activators lose that competitive advantage over the repressors. Hence, the threshold function should decrease (elastic case).
- Repressor cooperative case: The repressors now lose the competitive advantage over the activators. Hence, the threshold function should increase (inelastic case).
- (i)
- a transcriptional advantage for repressors if , since in that case comparatively the binding of a second activator is less effective than the binding of a second repressor;
- (ii)
- a transcriptional advantage for activators if , since in that case comparatively the binding of a second activator is more effective than the binding of a second repressor;
- (iii)
- no advantage for any TF when because in that case the binding of a second TF is equally as effective as the first bound TF.
4. Discussion
- The Hill model fails to reproduce the experimental evidence. This is because the strong cooperativity assumption leads to an elastic threshold, which is not compatible with the results obtained in [15].
- The stimulated model could also fail, depending on the selection of the model parameters.
Supplementary Materials
Author Contributions
Funding
Institutional Review Board Statement
Informed Consent Statement
Data Availability Statement
Acknowledgments
Conflicts of Interest
Abbreviations
| Binding Equilibrium Weighted Average Rate Expression. The subindex m is used to denote what version of the model is used (i.e., denotes Recruitment model, denotes Stimulated model, , denote Hill models). | |
| Set of transcription factors. Depending on the cooperativity interactions between the TFs, this set can be arranged on subsets of cooperativity, characterized by the cooperativity constant . | |
| Cooperativity constant of a protein i. Depending on the model, this constant can be the same for all proteins (total cooperativity), in which case , or extreme (Hill), in which case . | |
| Ci | Cubitus Interruptus. Transcription factor involved in the regulation of Hedgehog target genes. |
| cis (-regulatory regions) | Regions of non-coding DNA which regulate the transcription of neighboring genes. |
| Dpp | Decapentaplegic. Protein synthesized from the transcription of the gen dpp, one of the target genes of Hedgehog. |
| Elasticity function of . It measures the system response to proportional perturbations in the model parameters. | |
| Threshold function. It defines the concentration of TFs needed in order to get a basal transcription in the a model. The subindex l denotes what kind of cooperativity is applied between the TFs (i.e., denotes Total cooperativity and denotes partial cooperativity). | |
| Hh | Hedgehog. Morphogen involved in the development of Drosophila melanogaster. |
| Occupation number of a protein i. It denotes the number of cis-regulatory regions that are bound by the protein i. | |
| Dissociation constant of a protein i. It is related to the binding affinity of the protein i by its inverse (i.e., the larger is, the lower the binding affinity of the protein i is.) | |
| mRNA | RNA messenger. Single-stranded segment of RNA that corresponds to the genetic sequence of a gene. |
| n | Number of TFBSs (enhancers). |
| RNAP | RNA Polymerase (Pol II). Protein that binds the DNA in a specific cis-regulatory region (promoter) and starts genetic transcription. |
| Shh | Sonic Hedgehog. Morphogen member of the Hh family in vertebrates. |
| TF | Transcription Factor. Protein that binds the DNA in a specific cis-regulatory region (enhancers; TFBSs) and regulates genetic transcription. |
| TFBSs | Transcription factor binding sites. Specific DNA cis-regulatory region that transcription factors bind to in order to regulate the genetic transcription. |
| Ptc | Patched. Transcription factor involved in the regulation of Hedgehog target genes. |
References
- Bradshaw, R.A.; Dennis, E.A. Handbook of Cell Signaling; Elsevier Science and Technology: Amsterdam, The Netherlands, 2009; Volume 3. [Google Scholar]
- Kicheva, A.; Cohen, M.; Briscoe, M. Developmental pattern formation: Insights from physics and biology. Science 2012, 338, 210–212. [Google Scholar] [CrossRef] [PubMed]
- Griffiths, P.; Stotz, K. Genetics and Philosophy. An Introduction; Cambridge University Press: Cambridge, UK, 2013. [Google Scholar]
- Lee, T.I.; Young, R.A. Transcriptional Regulation and Its Misregulation in Disease. Cell 2013, 152, 1237–1251. [Google Scholar] [CrossRef] [PubMed] [Green Version]
- Perutz, M.F. Mechanisms of cooperativity and allosteric regulation in proteins. Q. Rev. Biophys. 1989, 22, 139–237. [Google Scholar] [CrossRef] [PubMed]
- De Las Rivas, J.; Fontanillo, C. Protein-protein interactions essentials: Key concepts to building and analyzing interactome networks. PLoS Comput. Biol. 2010, 6, e1000807. [Google Scholar] [CrossRef] [Green Version]
- Ben-Naim, A. Cooperativity in binding of proteins to DNA. J. Chem. Phys. 1997, 107, 10242–10252. [Google Scholar] [CrossRef]
- Ben-Naim, A. Cooperativity in binding of proteins to DNA. II. Binding of bacteriophage lambda repressor to the left and right operators. J. Chem. Phys. 1998, 108, 6937–6946. [Google Scholar] [CrossRef]
- Ptashne, M.; Gann, A. Transcription activation by recruitment. Nature 1997, 386, 569–577. [Google Scholar] [CrossRef]
- Ptashne, M.; Gann, A. Genes and Signals; Cold Spring Harbor Laboratory Press: Woodbury, NY, USA, 2001. [Google Scholar]
- Ptashne, M. Regulation of transcription: From lambda to eukaryotes. Trends Biochem. Sci. 2005, 30, 275–279. [Google Scholar] [CrossRef]
- Tomaszewska, A.; van Mourik, S.; Blom, J.; Westerhoff, H.V.; Carlberg, C.; Bruggeman, F.J. Tracing the molecular basis of transcriptional dynamics in noisy data by using an experiment-based mathematical model. Nucleic Acids Res. 2015, 43, 153–161. [Google Scholar]
- McClure, W. Rate-limiting steps in RNA chain initiation. Proc. Natl. Acad. Sci. USA 1980, 77, 5634–5638. [Google Scholar] [CrossRef] [Green Version]
- Na, D.; Lee, S.; Lee, D. Mathematical modelling of translation initiation for the estimation of its efficiency to computationally design mRNA sequences with desired expression levels in prokaryotes. BMC Syst. Biol. 2010, 4, 71. [Google Scholar] [CrossRef] [Green Version]
- Parker, D.S.; White, M.A.; Ramos, A.I.; Cohen, B.A.; Barolo, S. The cis-Regulatory Logic of Hedgehog Gradient Responses: Key Roles for Gli Binding Affinity, Competition, and Cooperativity. Sci. Signal. 2011, 4, ra38. [Google Scholar] [CrossRef] [PubMed] [Green Version]
- Torroja, C.; Gorfinkiel, N.; Guerrero, I. Mechanisms of Hedgehog Gradient Formation and Interpretation. J. Neurobiol. 2005, 64, 334–356. [Google Scholar] [CrossRef] [PubMed]
- Tabata, T.; Takei, Y. Morphogenes, their identification and regulation. Development 2004, 131, 703–712. [Google Scholar] [CrossRef] [PubMed] [Green Version]
- Junker, J.P.; Peterson, K.A.; Nishi, Y.; Mao, J.; McMahon, A.P.; van Oudenaarden, A. A Predictive Model of Bifunctional Transcription Factor Signalling during Embryonic Tissue Patterning. Dev. Cell 2014, 31, 448–460. [Google Scholar] [CrossRef] [Green Version]
- Ay, A.; Arnosti, D.N. Mathematical modeling of gene expression: A guide for the perplexed biologist. Crit. Rev. Biochem. Mol. Biol. 2011, 46, 137–151. [Google Scholar] [CrossRef] [Green Version]
- de Jong, H. Modeling and simulation of genetic regulatory systems: A literature review. J. Comput. Biol. 2002, 9, 67–103. [Google Scholar] [CrossRef] [Green Version]
- García-Ojalvo, J. Physical approaches to the dynamics of genetic circuits: A tutorial. Contemp. Phys. 2011, 52, 439–464. [Google Scholar] [CrossRef]
- Chen, W.W.; Niepel, M.; Sorger, P.K. Classic and contemporary approaches to modelling biochemical reactions. Genes Dev. 2010, 17, 1861–1875. [Google Scholar] [CrossRef] [Green Version]
- Filkov, V. Identifying gene regulatory networks from gene expression data. In Handbook of Computational Molecular Biology; CRC Press: London, UK, 2005; pp. 708–736. [Google Scholar]
- Friedman, N.; Linial, M.; Nachman, I.; Peer, D. Using Bayesian networks to analyse expression data. J. Comput. Biol. 2000, 7, 601–620. [Google Scholar] [CrossRef]
- Friedman, N. Inferring cellular networks using probabilistic graphical models. Science 2004, 303, 799–805. [Google Scholar] [CrossRef] [PubMed]
- Markowetz, F.; Spang, R. Inferring cellular networks-a review. BMC Bioinform. 2007, 6, 5. [Google Scholar] [CrossRef] [PubMed] [Green Version]
- Elowitz, M.B.; Levine, A.J.; Siggia, E.D.; Swain, P.S. Stochastic gene expression in a single cell. Science 2002, 297, 1183–1186. [Google Scholar] [CrossRef] [PubMed] [Green Version]
- Milias-Argeitis, A. Elucidation of Genetic Interactions in the Yeast GATA-Factor Network Using Bayesian Model Selection. PLoS Comput. Biol. 2016, 12, e1004784. [Google Scholar] [CrossRef] [PubMed] [Green Version]
- Wang, R.S.; Saadatpour, A.; Albert, R. Boolean modelling in systems biology: An overview of methodology and applications. Phys. Biol. 2012, 9, 055001. [Google Scholar] [CrossRef] [Green Version]
- Ackers, G.K.; Johnson, A.D.; Shea, M.A. Quantitative model for gene regulation by λ phage repressor. Proc. Natl. Acad. Sci. USA 1982, 79, 1129–1133. [Google Scholar] [CrossRef] [Green Version]
- Shea, M.; Ackers, G.K. The OR Control System of Bacteriophage Lambda. A Physical-Chemical Model for Gene Regulation. J. Mol. Biol. 1985, 181, 211–230. [Google Scholar] [CrossRef]
- Bintu, L.; Buchler, N.E.; García, H.G.; Gerland, U.; Hwa, T.; Kondev, J.; Phillips, R. Transcriptional regulation by the numbers: Models. Curr. Opin. Genet. Dev. 2005, 15, 116–124. [Google Scholar] [CrossRef] [Green Version]
- Buchler, N.E.; Gerland, U.; Hwa, T. On schemes of combinatorial transcription logic. Proc. Natl. Acad. Sci. USA 2003, 100, 5136–5141. [Google Scholar] [CrossRef] [Green Version]
- Cohen, M.; Page, K.M.; Perez-Carrasco, R.; Barnes, C.P.; Briscoe, J. A theoretical framework for the regulation of Shh morphogen-controlled gene expression. Development 2014, 141, 3868–3878. [Google Scholar] [CrossRef] [Green Version]
- Gilman, A.; Arkin, A.P. Genetic “Code”: Representation and Dynamical Models of Genetic Components and Networks. Annu. Rev. Genom. Hum. Genet. 2002, 3, 341–369. [Google Scholar] [CrossRef] [PubMed] [Green Version]
- Segal, E.; Widom, J. From DNA Sequence to Transcriptional Behaviour: A Quantitative Approach. Nat. Rev. Gen. 2009, 10, 443–456. [Google Scholar] [CrossRef] [PubMed] [Green Version]
- Kininis, M.; Isaacs, G.D.; Core, L.J.; Hah, N.; Kraus, W.L. Postrecruitment regulation of RNA polymerase II directs rapid signalling responses at the promoters of estrogen target genes. Mol. Cel. Biol. 2009, 29, 1123–1133. [Google Scholar] [CrossRef] [PubMed] [Green Version]
- Fakhouri, W.D.; Ay, A.; Sayal, R.; Dresch, J.; Dayringer, E.; Arnosti, D.N. Deciphering a transcriptional regulatory code: Modeling short-range repression in the Drosophila embryo. Mol. Syst. Biol. 2010, 6, 34. [Google Scholar] [CrossRef] [PubMed]
- He, X.; Samee, M.A.; Blatti, C.; Sinha, S. Thermodynamics-based models of transcriptional regulation by enhancers: The roles of synergistic activation, cooperative binding and short-range repression. PLoS Comput. Biol. 2010, 6, e1000935. [Google Scholar] [CrossRef] [PubMed] [Green Version]
- Keller, A.D. Model Genetic Circuits Encoding Autoregulatory Transcription Factors. J. Theor. Biol. 1995, 172, 169–185. [Google Scholar] [CrossRef]
- Lai, K.; Robertson, M.J.; Schaffer, D.V. The Sonic Hedgehog Signalling System as a Bistable Genetic Switch. Biophys. J. 2004, 86, 2748–2757. [Google Scholar] [CrossRef] [Green Version]
- Hill, A. The combinations of haemoglobin with oxygen and with carbon monoxide. J. Physiol. 1910, 40, 4–7. [Google Scholar] [CrossRef] [Green Version]
- Hill, T. Cooperativity Theory in Biochemistry; Springer: New York, NY, USA, 1985. [Google Scholar]
- von Dassow, G.; Meir, E.; Munro, E.M.; Odell, G.M. The segment polarity network is a robust developmental module. Nature 2000, 406, 188–192. [Google Scholar] [CrossRef]
- Cerone, L.; Neufeld, Z. Differential Gene Expression Regulated by Oscillatory Transcription Factors. PLoS ONE 2012, 7, e30283. [Google Scholar] [CrossRef]
- Aguilar-Hidalgo, D.; Dominguez-Cejudo, M.A.; Amore, G.; Brockmann, A.; Lemos, M.C.; Córdoba, A.; Casares, F. A Hh-driven gene network controls specification, pattern and size of the Drosophila simple eyes. Development 2013, 140, 82–92. [Google Scholar] [CrossRef] [PubMed] [Green Version]
- Garcia-Morales, D.; Navarro, T.; Iannini, A.; Pereira, P.S.; Míguez, D.G.; Casares, F. Dynamic Hh signalling can generate temporal information during tissue patterning. Development 2019, 146, dev176933. [Google Scholar] [CrossRef] [PubMed] [Green Version]
- Sherman, M.S.; Cohen, B.A. Thermodynamic State Ensemble Models of cis-Regulation. PLoS Comput. Biol. 2012, 8, e1002407. [Google Scholar]
- Segal, E.; Raveh-Sadka, T.; Schroeder, M.; Unnerstall, U.; Gaul, U. Predicting expression patterns from regulatory sequence in Drosophila segmentation. Nature 2008, 451, 535–540. [Google Scholar] [CrossRef] [PubMed]
- Frank, T.D.; Cavadas, M.A.S.; Nguyen, L.K.; Cheong, A. Nonlinear Dynamics in Transcriptional Regulation: Biological Logic Gates. In Nonlinear Dynamics in Biological Systems; SEMA SIMAI Springer Series; Springer International Publishing: Cham, Switzerland, 2016; Volume 7, pp. 43–62. [Google Scholar]
- Müller, B.; Basler, K. The repressor and activator forms of Cubitus Interruptus control Hedgehog target genes trough common generic Gli-binding sites. Development 2000, 127, 2999–3007. [Google Scholar] [CrossRef]
- Niewiadomski, P.; Niedziółka, S.M.; Markiewicz, L.; Uśpieński, T.; Baran, B.; Chojnowska, K. Gli Proteins: Regulation in Development and Cancer. Cells 2019, 8, 147. [Google Scholar] [CrossRef] [Green Version]
- Cambón, M.; Sánchez, O. Analysis of the transcriptional logic governing differential spatial expression in Hh target genes. PLoS ONE 2019, 14, e0209349. [Google Scholar] [CrossRef] [Green Version]
- Gertz, J.; Siggia, E.D.; Cohen, B.A. Analysis of combinatorial cis-regulation in synthetic and genomic promoters. Nature 2009, 457, 215–218. [Google Scholar] [CrossRef] [Green Version]
- Gertz, J.; Cohen, B.A. Environment-specific combinatorial cis-regulation in synthetic promoters. Mol. Syst. Biol. 2009, 5, 244. [Google Scholar] [CrossRef]
- Audun, B.; Metzler, R.; Sneppen, K. Sensitivity of OR in phage λ. Biophys. J. 2004, 86, 58–66. [Google Scholar]
- Law, S.M.; Bellomy, G.R.; Schlax, P.J.; Record, M.T. In vivo thermodynamic analysis of repression with and without looping in lac constructs. J. Mol. Biol. 1993, 230, 161–173. [Google Scholar] [CrossRef] [PubMed]
- Zinzen, R.P.; Senger, K.; Levine, K.; Papatsenko, D. Computational models for neurogenic gene expression in the Drosophila embryo. Curr. Biol. 2006, 16, 1358–1365. [Google Scholar] [CrossRef] [PubMed] [Green Version]
- Saha, K.; Schaffer, D.V. Signal dynamics in Sonic hedgehog tissue patterning. Development 2006, 133, 889–900. [Google Scholar] [CrossRef] [Green Version]
- Verbeni, M.; Sánchez, O.; Mollica, E.; Siegl–Cachedenier, I.; Carlenton, A.; Guerrero, I.; Ruiz i Altaba, A.; Soler, J. Morphogenetic action through flux–limited spreading. Phys. Life Rev. 2013, 10, 457–475. [Google Scholar] [CrossRef] [PubMed]
- Granek, J.A.; Clarke, N.D. Explicit equilibrium modeling of transcription-factor binding and gene regulation. Genome Biol. 2005, 6, R87. [Google Scholar] [CrossRef] [Green Version]
- Simpson-Brose, M.; Treisman, J.; Desplan, C. Synergy between the hunchback and bicoid morphogens is required for anterior patterning in Drosophila. Cell 1994, 78, 855–865. [Google Scholar] [CrossRef]
- Szymanski, P.; Levine, M. Multiple modes of dorsal-bHLH transcriptional synergy in the Drosophila embryo. EMBO J. 1995, 14, 2229–2238. [Google Scholar] [CrossRef]
- Shearwin, K.E.; Perkins, A.J.; Burr, T.; Hochschild, A.; Egan, J.B. Cooperativity in the long-range gene regulation by the λ cI repressor. Genes Dev. 2004, 18, 344–354. [Google Scholar]
- Zhou, X.; Su, Z. tCal: Transcriptional probability calculator using thermodynamic model. Bioinformatics 2008, 24, 2639–2640. [Google Scholar] [CrossRef] [Green Version]
- Caswell, H. Matrix Population Models: Construction, Analysis, and Interpretation; Sinauer Associate, Inc.: Sunderland, MA, USA, 2001. [Google Scholar]
- Turányi, T.; Tomlin, A.S. Analysis of Kinetic Reaction Mechanisms; Springer: Berlin/Heidelberg, Germany, 2014. [Google Scholar]
- Rabani, M.; Levin, J.Z.; Fan, L.; Adiconis, X.; Raychowdhury, R.; Garber, M.; Gnirke, A.; Nusbaum, C.; Hacohen, N.; Friedman, N.; et al. Metabolic labeling of RNA uncovers principles of RNA production and degradation dynamics in mammalian cells. Nat. Biotechnol. 2011, 29, 436–442. [Google Scholar] [CrossRef] [Green Version]
- Nahmad, M.; Stathopoulos, A. Dynamic Interpretation of Hedgehog Signaling in the Drosophila Wing Disc. PLoS Biol. 2009, 7, e1000202. [Google Scholar] [CrossRef] [PubMed] [Green Version]
- Lorberbaum, D.S.; Ramos, A.I.; Peterson, K.A.; Carpenter, B.S.; Parker, D.S.; De, S.; Hillers, L.E.; Blake, V.M.; Nishi, Y.; McFarlane, M.R. An ancient yet flexible cis-regulatory architecture allows localized Hedgehog tuning by patched/Ptch1. eLife 2016, 5, e13550. [Google Scholar] [CrossRef] [PubMed]
- Ramos, A.I.; Barolo, S. Low-affinity transcription factor binding sites shape morphogen responses and enhancer evolution. Philos. T. R. Soc. Lon. B 2013, 368, 20130017. [Google Scholar] [CrossRef] [PubMed] [Green Version]
- Arnosti, D.N.; Gray, S.; Barolo, S.; Zhou, J.; Levine, M. The gap protein knirps mediates both quenching and direct repression in the Drosophila embryo. EMBO J. 1996, 15, 3659–3666. [Google Scholar] [CrossRef]
- Janssens, H.; Hou, S.; Jaeger, J.; Kim, A.R.; Myasnikova, E.; Sharp, D.; Reinitz, J. Quantitative and predictive model of transcriptional control of the Drosophila melanogaster even-skipped gene. Nat. Genet. 2006, 38, 1159–1165. [Google Scholar] [CrossRef]
- Arkin, A.; Ross, J.; McAdams, H.H. Stochastic kinetic analysis of developmental pathway bifurcation in phage lambda-infected Escherichia coli cells. Genetics 1998, 149, 1633–1648. [Google Scholar] [CrossRef]
- Von Hippel, P.H.; Revzin, A.; Gross, C.A.; Wang, A.C. Non-specific DNA binding of genome regulating proteins as a biological control mechanism: 1. The lac operon: Equilibrium aspects. Proc. Natl. Acad. Sci. USA 1974, 71, 4808–4812. [Google Scholar] [CrossRef] [Green Version]
- Sloman, J.; Wride, A. Economics, 7th ed.; Pearson Education Limited: London, UK, 2009. [Google Scholar]
- Gautschi, W. Numerical Analysis, 2nd ed.; Springer: New York, NY, USA, 2012. [Google Scholar]
- Folguera-Blasco, N.; Perez-Carrasco, R.; Cuyas, E.; Menendez, J.A.; Alarcon, T. A multiscale model of epigenetic heterogeneity-driven cell fate decisicion-making. PLoS Comput. Biol. 2019, 15, e1006592. [Google Scholar] [CrossRef] [Green Version]
- Bokes, P.; Lin, Y.T.; Singh, A. High Cooperativity in Negative Feedback can Amplify Noisy Gene Expression. Bull. Math. Biol. 2018, 80, 1871–1899. [Google Scholar] [CrossRef]
- Fukaya, T.; Lim, B.; Levine, M. Enhancer Control of Transcriptional Bursting. Cell 2016, 166, 358–368. [Google Scholar] [CrossRef] [Green Version]
- Yokoshi, M.; Kawasaki, K.; Cambón, M.; Fukaya, T. Enhancer Control of Transcriptional Bursting. NAR 2022, 50, 92–107. [Google Scholar] [CrossRef]
- Érdi, P.; Tóth, J. Mathematical Models of Chemical Reactions: Theory and Applications of Deterministic and Stochastic Models; Manchester University Press: Manchester, UK, 1989. [Google Scholar]
- Bisswanger, H. Encyme Kinetics: Principles and Methods; Wiley-VCH: Weinheim, Germany, 2008. [Google Scholar]
- Weiss, J.N. The Hill equation revisited: Uses and misuses. FASEB J. 1997, 11, 835–841. [Google Scholar] [CrossRef] [PubMed]
- Frank, T.D.; Carmody, A.M.; Kholodenko, B.N. Versatility of Cooperative Transcriptional Activation: A Thermodynamical Modeling Analysis for Greater-Than-Additive and Less-Than-Additive Effects. PLoS ONE 2012, 7, e34439. [Google Scholar] [CrossRef] [PubMed]
- Dilão, R. The regulation of gene expression in eukaryotes: Bistability and oscillations in repressilator models. J. Theor. Biol. 2014, 340, 199–208. [Google Scholar] [CrossRef] [PubMed]



| Act Coop. | Null/Total Coop. | Rep Coop. | |
|---|---|---|---|
| Recr. | |||
| Hill |
Publisher’s Note: MDPI stays neutral with regard to jurisdictional claims in published maps and institutional affiliations. |
© 2022 by the authors. Licensee MDPI, Basel, Switzerland. This article is an open access article distributed under the terms and conditions of the Creative Commons Attribution (CC BY) license (https://creativecommons.org/licenses/by/4.0/).
Share and Cite
Cambón, M.; Sánchez, Ó. Thermodynamic Modelling of Transcriptional Control: A Sensitivity Analysis. Mathematics 2022, 10, 2169. https://doi.org/10.3390/math10132169
Cambón M, Sánchez Ó. Thermodynamic Modelling of Transcriptional Control: A Sensitivity Analysis. Mathematics. 2022; 10(13):2169. https://doi.org/10.3390/math10132169
Chicago/Turabian StyleCambón, Manuel, and Óscar Sánchez. 2022. "Thermodynamic Modelling of Transcriptional Control: A Sensitivity Analysis" Mathematics 10, no. 13: 2169. https://doi.org/10.3390/math10132169
APA StyleCambón, M., & Sánchez, Ó. (2022). Thermodynamic Modelling of Transcriptional Control: A Sensitivity Analysis. Mathematics, 10(13), 2169. https://doi.org/10.3390/math10132169

