Abstract
In this paper, we alter Wang’s new iterative method as well as apply it to find the common solution of fixed point problem (FPP) and split variational inclusion problem (VIP) in Hilbert space. We discuss the weak convergence for (VIP) and strong convergence for the common solution of (VIP) and (FPP) using appropriate assumptions. Some consequences of the proposed methods are studied. We compare our iterative schemes with other existing related schemes.
Keywords:
split variational inclusion; fixed point problem; algorithms; weak convergence; strong convergence MSC:
47H05; 49H10; 47J25
1. Introduction
Variational inclusions, which are the generalized forms of variational inequalities, are useful to deal with the problems arising in mechanics, optimization, economics, nonlinear programming, and many other problems occuring in pure and applied sciences. The split feasibility problem (SFP) was initially studied by Censor and Elfving [] for the reconstruction of medical images. This split feasibility problem has also been considered by many researchers (see, for example, [,,,] and references therein). Furthermore, a novel problem was proposed by Censor et al. [] by combing both (SFP) and variational inequality problem (VIP) and they call it split variational inequality problem (SVIP).
where and are Hilbert spaces, , are closed, convex subsets, and are two operators, and is a bounded linear operator; and .
Split variational inclusion problems are applicable in intensity-modulated radiation therapy treatment planning, modeling many inverse problem arising for phase retrieval and many other problems of day-to-day life. For more applications of the related subject, we refer to [].
Moudafi [] extended (SVIP) and call it split monotone variational inclusion problem ().
where and are set-valued operators, and .
Moudafi [] formulated the following iterative scheme to solve ().
For initial point , compute
where is the spectral radius of the operator , is the adjoint of A, and .
Let and be the normal cones. If and , then () reduces to split variational inequality problem (SVIP). If , then () coincides with the split variational inclusion problem (SVIP) studied by Byrne et al. [].
where and , are the same as in (2). We denote the solution set of () by . Moreover, Byrne et al. [] furnished the following scheme to investigate ().
For initial point , compute
where ) and .
Let be a nonexpansive mapping, then (FPP) is to find so that and Fix means the set of fixed points of S.
Kazmi and Rizvi [] investigated the common solution of () and (FPP). They obtain the common solution of () by using the following scheme:
where is a contraction mapping, , , L is the spectral radius of , is a real sequence, and . Inspired by the work of [,,], many authors have studied () and () in diverse directions using different techniques (see, for example, [,,,,,,,,,]).
In view of calculation of , which is not easy to calculate in practice, Yang [] studied the (SFP) such that prior calculation of is not required.
In 2017, Wang [,] studied the split common fixed point problem (SCFP).
However, Wang [] discussed Yang’s step size related to the scheme (3) with and and stated that it is inconvenient to establish the convergence of (3) with the following step size:
where is a positive real sequence such that
To overcome this difficulty, Wang [] analyzed the weak convergence to the (SCFP) by setting up following scheme with step size .
Wang [] studied the weak convergence of Algorithm 1 to investigate the solution of (SCFP) with the step size , such that precalculation of is not required.
Algorithm 1 Weak convergence. |
Choose arbitrary initial point and assume that has been calculated. If , then stop; otherwise, continue and compute the next iteration by the formula: |
Motivated and inspired by the work of [,,,,], we propose two iterative schemes by modifying the Wang’s scheme (9) with a new step size .
We inspect the weak convergence of suggested scheme for (), which is a viscosity type iterative scheme for the common solution of () and (). We also prove the strong convergence of our scheme. Some consequences of the proposed schemes are given. We demonstrate our methods by a numerical example and showing the efficiency of step size in comparison of and . Our results can be seen as different version of Wang’s methods studied in [,].
2. Preliminaries
Throughout the paper, we assume that H is a real Hilbert space with the norm and inner product . Let C be a nonempty, closed, and convex subset of H. We denote the set of all weak cluster points of the sequence by .
The following concepts and results are essential for the proof of the main result.
Definition 1.
A mapping is said to be contraction if
T is nonexpansive if .
Definition 2.
The mapping is said to be firmly nonexpansive if
Definition 3.
The mapping is said to be μ-inverse strongly monotone if there exists a constant such that
Definition 4.
A nonexpansive mapping is said to be α-averaged, if there exists a nonexpansive operator such that . Clearly, if T is averaged, then it is nonexpansive.
Definition 5.
An operator is said to be a metric projection of H onto C if
Note that is firmly nonexpansive and characterized by for all and .
For any and , the following equation holds:
Let be a set-valued operator. Then,
- (i)
- The set denotes the graph of G,
- (ii)
- , denotes the resolvent of G,
- (iii)
- denotes the inverse of G.
Definition 6.
A set-valued mapping is said to be monotone, if
It is well known that resolvent operator of a maximal monotone operator is single-valued and firmly nonexpansive.
Definition 7.
A mapping is said to be demiclosed at zero if, for any sequence in H, such that imply .
Definition 8
([]). (Demiclosedness Principle): Let be an operator with . If is a sequence in C, such that imply .
Remark 1
([]). If is nonexpansive, then is demiclosed at zero. Moreover, if T is firmly nonexpansive, then is firmly nonexpansive.
Lemma 1
([], Corollary 23.10). If is a maximal monotone operator, then and are firmly nonexpansive.
Definition 9
([]). A sequence in a Hilbert space H is said to be Féjer monotone with respect to C, if
Lemma 2
([]). Let the sequence be Féjer monotone with respect to C; then,
- (i)
- (ii)
- converges strongly,
- (iii)
- if , then .
Lemma 3
([]). If is a nonnegative real sequence satisfying for all where is a sequence in and is a real sequence such that:
- (i)
- (ii)
- or
Then,
Lemma 4.
If , and γ are positive real numbers, then holds.
Proof.
For any positive real numbers , and , we estimate
which implies that . □
Lemma 5.
A mapping is τ-inverse strongly monotone, if and only if is firmly nonexpansive, for .
Proof.
Let be firmly nonexpansive, that is,
Thus, is -inverse strongly monotone.
Conversely, it is easy to show that if is -inverse strongly monotone, then is firmly nonexpansive. □
Theorem 1
([]). (Krasnosel’skii–Mann theorem) Let be an averaged operator such that . Then, for initial point , we have .
3. Main Results
Unless otherwise specified, we assume that and are real Hilbert spaces, is a bounded linear operator, is the adjoint of A, , are the set-valued maximal monotone operators, and is a nonexpansive mapping.
We consider the following problem:
We mention some necessary results below:
Lemma 6
([]). and solve (), if and only if
Lemma 7
([]). solves (), if and only if
Lemma 8
([]). Let be a bounded sequence. If for any
then
Lemma 9.
Let and be set-valued maximal monotone operators. Then, for , the operator is firmly nonexpansive, where , A is a bounded linear operator and is adjoint of A.
Proof.
Let . Since and are maximal monotone, by Lemma 1, it follows that the operators and are firmly nonexpansive. As A is a bounded linear operator and is adjoint of A, we have
Using firmly nonexpansiveness of the operators and , we have
As , we have .
Thus, the above inequality implies that
By the Lemma 4, we obtain
which shows that M is -inverse strongly monotone, and hence, by Lemma 5, is firmly nonexpansive for . □
Lemma 10.
If , then , for every .
Proof.
Let ; then, . Let , so and , then , and . By using firmly nonexpansive property of operators and , we obtain
that is, and . Thus, . □
Theorem 2.
Let and be the set-valued maximal monotone operators and be a bounded linear operator. Then, the sequence such that
where and converges weakly to the solution of .
Proof.
Let ; then, by (13), we have
By Lemma 9, the operator is -inverse strongly monotone for . Using the fact that , we have
From (16), it is clear that
Thus, is Féjer monotone and bounded, and consequently, is also bounded. In view of Lemma 2, it is required to show that . From (16), we have
Boundedness of implies that
It follows that
By Lemma 8, we have and , as . Since the nonexpansive operators and are demiclosed at zero, by Lemma 2, we deduce that . □
Making use of the Krasnosel’skii–Mann Theorem [], we have the following weak convergence result.
Theorem 3.
Suppose that the operators , and A are the same as in Theorem 2 and M is same as in Lemma 9. Then, the sequence converges weakly to the solution of .
Proof.
It follows from Lemma 9 that is firmly nonexpansive and hence averaged. Applying Theorem 1, for arbitrary , the sequence converges weakly to the fixed point of . It follows from Lemma 10 that the fixed point of is the solution of . □
We prove a viscosity type convergence result to approximate the common solution of and using Theorem 2.
Theorem 4.
Suppose that the operators , and A are the same as in Theorem 2 and is a self-nonexpansive mapping. Then, the sequence defined by
converges strongly to a common solution s of and , where ψ is an α-contraction mapping, , is a sequence in such that , , and .
Proof.
The proof is divided into following easy steps for the convenience of readers.
Step 1. We show that the sequence is bounded. Let ; then, , and . Applying (16) and (17), we obtain
and
From (19), we get
Continuing in the same way as above, we have
Hence, is bounded, and consequently, and are also bounded.
Step 2., as . By Lemma 9, is firmly nonexpansive and consequently nonexpansive, that is,
Taking limit , we obtain
Thus, , as . That is,
taking limit as , it follows that .
Step 4., where
It follows from the boundedness of that there exists a subsequence of such that converges to r. By step 3 and demiclosedness of nonexpansive mapping T, we get . From (29), we have
By Lemma 8, we have
Since and have the same asymptotic behavior, and by demiclosedness of nonexpansive operators and , we get and . We have . Applying the definition of s, we have . Thus,
Therefore,
that is,
By using (32) and Lemma 3, we have , as . □
4. Consequences
4.1. Split Equilibrium Problem
The equilibrium problem (EP) is to find such that
where is a bifunction. In 2012, He [] studied the concept of split equilibrium problem (SEP), that is, to find
where the bifunctions and are defined over closed convex subsets and , respectively. He studied weak convergence of (SEP). Furthermore, Dinh et al. [] and Dinh and Kim [] studied (SEP) and (FPP) involving monotone and nonmonotone bifunctions and discussed the weak as well as strong convergence. For more details of EPs, see [,,].
The resolvent of a bifunction F is defined as
Blum and Oettli [] have shown that the resolvent is properly defined, that is, and . Takahashi et al. [] defined the following set-valued mapping
and stated that . Additionally, Takahashi et al. [] have shown that for any and , the resolvents of F and are identical, that is, . It is shown in [,], the problem reduces to (SEP).
Remark 2.
If and , then the following assertions are true.
4.2. Split Common Fixed Point Problem
If and , then the following assertions for (SCFP) are true.
- (i)
- The scheme (13) defined in the Theorem 2 converges weakly to the solution of (SCFP).
- (ii)
- The sequence obtained in Theorem 3, converges weakly to the solution of (SCFP).
5. Numerical Example
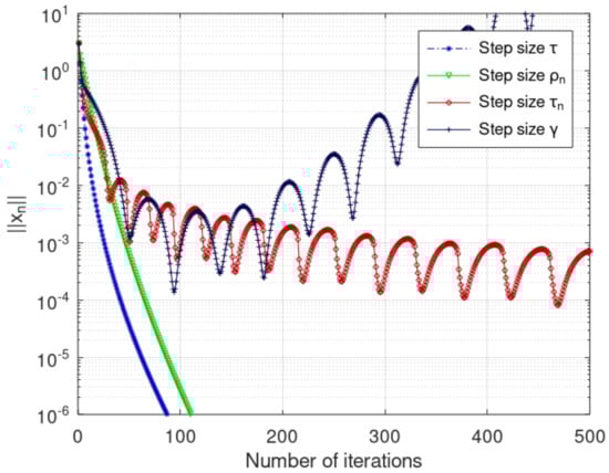
The convergence graph of and obtained from the scheme (19) with step size is shown in Figure 1 and Figure 2, and a comparison of and is shown in Table 1. Later, a comparison of the convergence of scheme (19) with step size , , and is shown in Figure 3 and Figure 4. Figure 3 and Figure 4 ensure that the convergence of and obtained from the scheme (19) with step size is better than with the step sizes and . Moreover, Table 2 shows that the proposed method takes few number of steps and time with the step size in comparison of and . The stopping criterion is . All of the codes are written in MATLAB r2013a. The step sizes and control parameters are chosen as follows:

Figure 1.
Convergence graph of .

Figure 2.
Convergence graph of .

Figure 3.
Comparison of for different step sizes.

Figure 4.
Comparison of with different step sizes.
Let with the inner product defined by
and
Also,
We define the operators and by
Clearly, and are maximal monotone operators and their resolvents are given by
Now, consider a bounded linear operator A and its adjoint operator such that
We define the mappings T and by
Clearly, T is nonexpansive and is a contraction mapping with . Choose the scalars , , and , for all , with , , and . We consider arbitrary initial points , and in scheme (19) of Theorem 4. Then, the sequence generated by suggested scheme converges to a solution of and .
6. Conclusions
In this paper, we modified Wang’s new iterative method using a different stepsize to solve and in Hilbert space. We analyzed the weak convergence of the modified scheme to investigate the approximate solution of and extended it to a viscosity type iterative scheme to obtain the common solution of and in Hilbert space with some mild assumptions. In support of our results, a numerical example with comparison tables and convergence graphs is constructed. We remark that one can further study weak and strong convergence of common solutions of and in higher dimensional spaces.
Author Contributions
Conceptualization, M.A., M.D., A.K.R., F.B., R.A. and J.-C.Y. All authors have contributed equally to this manuscript. All authors have read and agreed to the published version of the manuscript.
Funding
The APC was funded by Deanship of Scientific Research at the Islamic University of Madinah, Medina, Saudi Arabia.
Data Availability Statement
Not applicable.
Acknowledgments
The authors are thankful to the referees for their valuable suggestions and comments, which improved this manuscript a lot. The authors of this paper wish to extend their sincere gratitude to the Deanship of Scientific Research at the Islamic University of Madinah for the support provided to the Post-Publishing Program 1.
Conflicts of Interest
The authors declare no conflict of interest.
References
- Censor, Y.; Elfving, T. A multi projection algorithm using Bregman projections in a product space. Numer. Algor. 1994, 8, 221–239. [Google Scholar] [CrossRef]
- Byrne, C. A unified treatment of some iterative algorithms in signal processing and image reconstruction. Inverse Probl. 2004, 18, 103–120. [Google Scholar] [CrossRef]
- Censor, Y.; Bortfeld, T.; Martin, B.; Trofimov, A. A unified approach for inversion problem in intensity modulated radiation therapy. Phys. Med. Biol. 2006, 51, 2353–2365. [Google Scholar] [CrossRef] [PubMed]
- Censor, Y.; Elfving, T.; Kopf, N.; Bortfeld, T. The multiple-sets split feasibility problem and its applications for inverse problems. Inverse Probl. 2005, 21, 2071–2084. [Google Scholar] [CrossRef]
- Censor, Y.; Motova, X.A.; Segal, A. Perturbed projections and subgradient projections for the multiple-sets split feasibility problem. J. Math. Anal. Appl. 2007, 327, 1244–1256. [Google Scholar] [CrossRef]
- Censor, Y.; Gibali, A.; Reich, S. Agorithms for the split variational inequality problem. Numer. Algor. 2012, 59, 301–323. [Google Scholar] [CrossRef]
- Gwinner, J.; Jadamba, B.; Khan, A.A.; Raciti, F. Uncertainty Quantification in Variational Inequalities: Theory, Numerics and Applications; Chapman and Hall/CRC: New York, NY, USA, 2021. [Google Scholar] [CrossRef]
- Moudafi, A. Split monotone variational inclusions. J. Optim. Theory Appl. 2011, 150, 275–283. [Google Scholar] [CrossRef]
- Byrne, C.; Censor, Y.; Gibali, A.; Reich, S. Weak and strong convergence of algorithms for split common null point problem. J. Nonlinear Convex Anal. 2012, 13, 759–775. [Google Scholar]
- Kazmi, K.R.; Rizvi, S.H. An iterative method for split variational inclusion problem and fixed point problem for a nonexpansive mapping. Optim. Lett. 2014, 8, 1113–1124. [Google Scholar] [CrossRef]
- Dilshad, M.; Aljohani, A.F.; Akram, M.; Khidir, A.A. Yosida approximation iterative methods for split monotone variational inclusion problems. J. Funct. Spaces 2022, 2022, 3665713. [Google Scholar] [CrossRef]
- Dilshad, M.; Aljohani, A.F.; Akram, M. Iterative scheme for split variational inclusion and a fixed-point problem of a finite collection of nonexpansive mappings. J. Funct. Spaces 2020, 2020, 3567648. [Google Scholar] [CrossRef]
- Dilshad, M.; Akram, M.; Ahmad, I. Algorithms for split common null point problem without pre-existing estimation of operator norm. J. Math. Inequal. 2020, 14, 1151–1163. [Google Scholar] [CrossRef]
- Dilshad, M.; Siddiqi, A.H.; Ahmad, R.; Khan, F.A. An terative algorithm for a common solution of a split variational inclusion problem and fixed point problem for non-expansive semigroup mappings. In Industrial Mathematics and Complex Systems Industrial and Applied Mathematics; Manchanda, P., Lozi, R., Siddiqi, A., Eds.; Springer: Singapore, 2017. [Google Scholar]
- Hammad, H.A.; Rehman, H.; De la Sen, M. Shrinking projection methods for accelerating relaxed inertial Tseng-type algorithm with applications. Math. Probl. Eng. 2020, 2020, 7487383. [Google Scholar] [CrossRef]
- Kazmi, K.R.; Ali, R.; Furkan, M. Hybrid iterative method for split monotone variational inclusion problem and hierarchical fixed point problem for a finite family of nonexpansive mappings. Numer. Algor. 2018, 79, 499–527. [Google Scholar] [CrossRef]
- Kraikaew, R.; Satit, S. Another look at Wang’s new method for solving split common fixed point problems without prior knowledge of operator norms. J. Fixed Point Theory Appl. 2018, 20, 81. [Google Scholar] [CrossRef]
- Tuyen, T.M.; Hammad, H.A. Effect of shrinking projection and CQ-methods on two inertial forward–backward algorithms for solving variational inclusion problems. Rend. Circ. Mat. Palermo II Ser. 2021, 70, 1669–1683. [Google Scholar] [CrossRef]
- Abubakar, J.; Kumam, P.; Deepho, J. Multistep hybrid viscosity method for split monotone variational inclusion and fixed point problems in Hilbert spaces. AIMS Math. 2020, 5, 5969–5992. [Google Scholar] [CrossRef]
- Alansari, M.; Dilshad, M.; Akram, M. Remark on the Yosida approximation iterative technique for split monotone Yosida variational inclusions. Comp. Appl. Math. 2020, 39, 203. [Google Scholar] [CrossRef]
- Yang, Q. On variable-step relaxed projection algorithm for variational inequalities. J. Math. Anal. Appl. 2005, 302, 166–179. [Google Scholar] [CrossRef]
- Wang, F. A new iterative method for the split common fixed poin problem in Hilbert spaces. Optimization 2017, 66, 407–415. [Google Scholar] [CrossRef]
- Wang, F. A new method for split common fixed poin problem without prior knowledge of operator norms. J. Fixed Point Theory Appl. 2017, 19, 2427–2436. [Google Scholar] [CrossRef]
- Opial, Z. Weak covergence of the sequence of successive approximations of nonexpansive mappings. Bull. Am. Math. Soc. 1976, 73, 591–597. [Google Scholar] [CrossRef]
- Bauschke, H.H.; Combettes, P.L. Convex Analysis and Monotone Operator Theory in Hilbert Spaces; Springer: Berlin/Heidelberg, Germany, 2011. [Google Scholar]
- Bauschke, H.H.; Borwein, J.M. On projection algorithm for solving convex feasilibility problems. SIAM Rev. 1996, 38, 367–426. [Google Scholar] [CrossRef]
- Xu, H.K. Iterative algorithms for nonlinear operators. J. London Math. Soc. 2002, 66, 240–256. [Google Scholar] [CrossRef]
- Mann, W. Mean value methods in iteration. Am. Math. Soc. 1953, 4, 506–510. [Google Scholar] [CrossRef]
- He, Z. The split equilibrium problem and its convergence algorithms. J. Inequal. Appl. 2012, 2012, 162. [Google Scholar] [CrossRef]
- Dinh, B.V.; Son, D.X.; Jiao, L.; Kim, D.S. Linesearch algorithms for split equilibrium problems and nonexpansive mappings. Fixed Point Theory Appl. 2016, 2016, 27. [Google Scholar] [CrossRef][Green Version]
- Dinh, B.V.; Kim, D.S. Projection algolithms for solving nonmonotone equilibrium problems in Hilbert space. J. Comput. Appl. Math. 2016, 302, 106–117. [Google Scholar] [CrossRef]
- Blum, E.; Oettli, W. From optimization and variational inequalities to equilibrium problems. Math. Stud. 1994, 63, 123–145. [Google Scholar]
- Kassay, G. The Equilibrium Problem and Related Topics; Cluj-Napoca Risoprint: Cluj-Napoca, Romania, 2000. [Google Scholar]
- Takahashi, S.; Takahashi, W.; Toyoda, M. Strong convergence theorems for maximal monotone operators with nonlinear mappings in Hilbert spaces. J. Optim. Theory Appl. 2010, 147, 27–41. [Google Scholar] [CrossRef]
Publisher’s Note: MDPI stays neutral with regard to jurisdictional claims in published maps and institutional affiliations. |
© 2022 by the authors. Licensee MDPI, Basel, Switzerland. This article is an open access article distributed under the terms and conditions of the Creative Commons Attribution (CC BY) license (https://creativecommons.org/licenses/by/4.0/).