Next Article in Journal
Challenge/Competence Appraisal by Swiss Two-Way Immersion Teachers of the “Cursus bilingue/Bilingualer Studiengang” in Their Professionalization Process and Career-Entry Stage Implications
Previous Article in Journal
An Exploratory Study of Simulations for Leadership Development in the Principal Pipeline
 
 
Font Type:
Arial Georgia Verdana
Font Size:
Aa Aa Aa
Line Spacing:
Column Width:
Background:
Article

Gender Impact on Performance in Adaptive Learning Settings: Insights from a Four-Year University Study

by
Neslihan Ademi
1,* and
Suzana Loshkovska
2
1
Faculty of Engineering, International Balkan University, 1000 Skopje, North Macedonia
2
Faculty of Computer Science and Engineering, University of St. Cyril and Methodius, 1000 Skopje, North Macedonia
*
Author to whom correspondence should be addressed.
Educ. Sci. 2025, 15(6), 771; https://doi.org/10.3390/educsci15060771
Submission received: 21 May 2025 / Revised: 15 June 2025 / Accepted: 16 June 2025 / Published: 18 June 2025
(This article belongs to the Section Technology Enhanced Education)

Abstract

This study explores the role of gender in shaping learners’ outcomes in an adaptive learning environment. Despite the growing adoption of adaptive learning platforms in various educational settings, the literature on gender-related differences in engagement and achievement remains limited. Using quantitative analysis of performance and engagement data from learners, this study aims to shed light on how gender affects success and engagement in adaptive learning settings at the university level in formal education environments. The findings reveal significant differences in both achievement and engagement, emphasizing the importance of considering gender in adaptive course design. This study contains data from four years of the same course with different adaptive course settings and shows the impact of these settings on academic performance and engagement level based on gender.

1. Introduction

Individual differences in learners cause diverse needs and abilities. In one-to-one teaching, the tutor can consider these needs and abilities, and the learner’s needs can be satisfied to a degree. However, in e-learning and online distance learning settings, traditional teaching methods are unsuitable for creating a motivating learning environment, especially in this era when human attention spans are very short and many everyday services are personalized. Adaptive learning systems (ALSs) emerged as a promising approach to overcome these challenges. ALSs aim to personalize the educational experience by tailoring instructional materials, pacing, and feedback to individual learners’ needs and abilities.
Many studies (Xie et al., 2017; Arsovic & Stefanovic, 2020; Gligorea et al., 2023; Contrino et al., 2024) have determined that this approach has great potential for improving learning outcomes and effectiveness. However, research has focused little on specific learner subgroups or demographic factors, especially in formal education. Gender, as an integral aspect of learner identity, can influence multiple dimensions of the learning experience, including self-efficacy, motivation, and interaction patterns.
Recent studies suggest that male and female learners sometimes exhibit different preferences for learning tools and environments (Al Salman et al., 2021; Kobayashı, 2017), which may shape their success in technology-mediated contexts. Understanding how gender influences students’ engagement with adaptive learning platforms can help educators and administrators make informed decisions on system design, teacher training, and instructional strategies.
This study investigates potential gender differences, focusing on both measurable performance outcomes and learners’ learning management system (LMS) engagement. It addresses a gap in educational research by examining how gender influences learner outcomes in adaptive learning environments. This area remains underexplored despite the rapid expansion of adaptive learning technologies. While adaptive platforms promise personalized learning experiences, the existing literature rarely investigates whether these systems support all genders equally in engagement and achievement. By analyzing four years of data from a consistent university course, this research provides empirical evidence of gender-related performance differences. Also, it evaluates how varying adaptive course settings may contribute to or mitigate these disparities. Understanding these dynamics is essential for ensuring that adaptive learning designs are inclusive and effective for diverse learner populations, thereby informing educators, instructional designers, and policymakers aiming to promote equity and optimize educational outcomes.
This paper addresses two research questions concerning gender dynamics in adaptive learning environments. First (RQ1), it investigates whether gender influences student performance, examining if male and female learners demonstrate significant differences in academic outcomes under adaptive instructional conditions. Second (RQ2), it explores whether gender-related differences exist in learners’ engagement with adaptive learning platforms, focusing on patterns of interaction, participation in course activities, and overall platform usage. The subsequent sections provide an overview of the research, methods implemented, results, discussion, and conclusions with future research.

2. Literature Review

2.1. Adaptive Learning and Personalized Instruction

Adaptive learning platforms are based on learning analytics and intelligent tutoring systems, which use data-driven algorithms to adjust the learning path in real time. Research in this domain supports the idea that individualized feedback, difficulty level adjustments, and tailored learning activities can enhance motivation and achievement. However, results often vary based on learner characteristics such as prior knowledge, learning style, and self-regulated learning behaviors. These systems apply artificial intelligence, data analysis, and educational theories to continuously tailor content difficulty, format, and pacing according to students’ performance and individual traits (Jing et al., 2023; Kabudi et al., 2021).
Adaptive learning systems (ALSs) are integral to blended and fully online learning environments, enhancing face-to-face instruction or serving as the primary mode of engagement and content delivery. Fully online settings, in particular, require personalized strategies to maintain participation, with adaptive systems playing a key role. The COVID-19 pandemic highlighted their importance in sustaining student engagement and performance without in-person interaction (Castro, 2019; Faghir Ganji et al., 2024).
To enhance ALS development, researchers have examined the integration of adaptive learning into current LMSs (Luna-Urquizo, 2019; Ean Heng et al., 2021). LMS platforms effectively deliver learning materials, manage assignments and assessments, and monitor learner behavior. Data mining techniques applied to LMSs can help tailor the learning experience based on user activity. Although numerous studies suggest incorporating adaptability into LMSs, many of these efforts are still experimental and have yet to be fully implemented in real-world educational environments.

2.2. Gender Differences in Technology-Enhanced Learning

Gender disparities persist across science and engineering disciplines, particularly in computer science (CS). Trapani and Hale (2022) reported that while women earned the majority of degrees in psychology, biological sciences, and social sciences in 2019, they represented only a quarter of degree holders in engineering and CS. This underrepresentation underscores the need for gender-based analysis in CS, which can help identify barriers such as limited prior programming experience and gender bias (Rezwana & Maher, 2023). Early exposure to quality CS programs has reduced stereotypes and fostered confidence, perseverance, and collaboration among female students (Yang & Bers, 2023). Additionally, systematic reviews highlight the importance of inclusive educational interventions to broaden women’s participation in computing fields (Perez-Felkner et al., 2024).
In technology-enhanced learning (TEL) environments, gender has been studied primarily regarding device usage, attitudes toward technology, and performance in STEM disciplines. Several studies indicate that male learners may show higher confidence with technology, while female learners may place more importance on social interaction and collaboration (Yau & Cheng, 2012). In other settings, these distinctions do not appear as pronounced, suggesting that context and cultural factors significantly influence how gender mediates technology use (Zheng et al., 2021).
Nikou and Maslov (2021) surveyed 139 students during the COVID-19 period about their use of e-learning systems. Their results showed that gender and length of use impact students’ e-learning system use, and gender should be considered a crucial factor in e-learning initiatives taken by educational institutions.
Cho et al. (2022) explored gender differences in online learning using the Community of Inquiry (CoI) framework, revealing significant variations between male and female students in cognitive and social presence. Male students showed greater engagement in cognitive exploration and higher scores in all social presence sub-elements. In contrast, female students had lower social presence scores, but teaching presence (especially design and organization) significantly predicted their perceived learning. For both genders, cognitive presence strongly predicted perceived learning and course satisfaction, though the specific predictors varied by gender. The findings suggest that gender differences should be considered in online course design to enhance student learning experiences.

2.3. Gender and Adaptive Learning

While numerous investigations have examined gender differences in general e-learning environments, fewer studies have directly explored how gender impacts adaptive learning outcomes. Some preliminary work suggests female learners may benefit from learning systems that offer more structured guidance and frequent feedback, whereas male learners may be more comfortable with open-ended exploration (González-Gómez et al., 2012). Nonetheless, conflicting or inconclusive findings in the literature underscore the need for further empirical research.
Adaptive learning systems are usually designed based on learning styles. Some ALSs also use gender as an input parameter in determining learning styles (Troussas et al., 2020; Truong, 2016; Brusilovsky et al., 2016; Fernandes et al., 2023). However, they are not exploring the results in terms of gender.
Zourmpakis et al. (2024) researched adaptive gamification in science education, focusing on its effects on students’ science learning and potential gender differences. Their findings indicated that while students in the control group began with comparable levels of knowledge, post-test outcomes revealed notable disparities. Male students demonstrated significant improvement, whereas female students showed only modest gains, which were not statistically significant.
The impact of gender on student success in adaptive learning systems appears to be mixed, with some studies highlighting differences and others finding little to no effect. Jin (2023), for example, reports significant gender differences among junior high students in China: school effort had a greater impact on academic achievement for girls, whereas parental effort exerted a more substantial impact on boys. This suggests that gender may shape how various factors affect academic performance, which could have implications for ALSs. Conversely, Johnsen et al. (2023) present contrasting findings in an interdisciplinary project-based course context. Their study found that gender had little impact on students’ collaboration skills, a critical component of many adaptive learning environments.
In conclusion, while some studies point to gender-based differences in the factors influencing academic performance, other studies suggest that gender may have a minimal effect on skill development in specific educational settings. These mixed results underscore the need for further research on the role of gender in adaptive learning systems to draw more definitive conclusions.
This study uses a targeted empirical method to investigate the relationship between gender and adaptive learning in a higher education setting, building on the literature on adaptive learning and gender dynamics in technology-enhanced contexts. There is still a significant knowledge gap regarding how these factors interact in adaptive environments, particularly in formal university courses, despite previous research highlighting the general benefits of ALSs and some studies identifying gender-based preferences or disparities in online learning. In order to close this gap, the current study examines how students who use adaptive learning in a university LMS differ in terms of their gender in terms of their academic performance and engagement levels. Specifically, this study aims to address two key research questions: (RQ1) does gender influence student performance in an adaptive learning environment, and (RQ2) are there gender-based differences in engagement patterns within the learning management system (LMS)? To explore these questions, a four-year longitudinal dataset was analyzed from a third-year elective course where an adaptive framework was consistently applied.

3. Materials and Methods

3.1. Research Design

A quantitative research design was employed to capture learners’ achievement and engagement with an adaptive learning platform. This study spanned four academic years from 2019 to 2022 in a university’s third-year elective course, which utilized our adaptive course framework within Moodle LMS to deliver course materials, quizzes, and personalized feedback.
We introduced an adaptive learning framework for the 2020–2021 academic year and have applied it consistently in each subsequent year. It was implemented under two distinct conditions: pre-COVID-19 and during COVID-19. In the pre-COVID-19 phase, a blended learning model was used; lectures were conducted in person, while all other learning activities were supported or delivered through the LMS. However, all course components were conducted entirely online during the COVID-19 period. Each academic year also featured adjustments to assessment learning outcomes to explore how various policies and constraints affected student engagement and academic success.
The framework was evaluated in a semi-automated manner using the Moodle learning management system and the faculty student information system. Rather than relying on a single final exam, a formative, continuous assessment strategy was used to evaluate student performance throughout the course. This involved additional formative activities to provide more detailed insights into students’ learning progress. Moodle’s automated features supported quiz evaluations, while other tasks required manual grading by instructors, especially for assignments that demanded creativity or task-specific practical skills. Although AI holds promise for tracking learning progress, it cannot currently effectively assess such complex and open-ended outputs.
Figure 1 shows the general structure of our adaptive course framework and its data flow. The proposed adaptive course framework is integrated as a key element of the course information support system. Once fully implemented, it will gather data and dynamically recommend materials, activities, and assessments based on the learner’s ongoing performance. It will also assist at-risk students by offering additional alternatives to low-scoring formative assessments. The framework comprises three primary components: the Course Module, the Learner Module, and the Adaptation Module. The Course Module defines the course structure and presents personalized learning paths for learners. The Learner Module models learner behavior and communicates this information to the Adaptation Module to guide decision making.
The teacher defines the rules and restrictions for personal learning paths each year. The framework was tested from multiple perspectives by adjusting these rules each year. A transferable points system was introduced to support adaptability, following the principle that “nothing is lost, everything is transferable”. Table 1 outlines the graded activities and corresponding points. The calculation of total points varied across years; for instance, in one year, points were accumulated from all activities, while in another, activities were grouped with capped maximum points for each group. Consistent with faculty policy, students pass the course regardless of the approach by earning at least 50% of the total possible points. Additionally, all students have access to the full range of materials and activities, allowing them to engage in any task, even if it was not specifically recommended for their learning path.

3.2. Participants and Context

The testing set includes 736 undergraduate students (335 female, 401 male) who were enrolled in an elective visualization course during four academic years. Table 2 shows the distribution of the students through different academic years and different course settings over these years.
The course was selected due to its granularity and suitability for adaptivity, and it also had balanced enrolment of male and female students, reducing the likelihood of sampling bias. Students in different academic years used different adaptive course settings. In the first year, blended learning was implemented without any adaptivity. That group was selected as the control group. In the second year, adaptivity was implemented, employing formative assessments and personalized learning pathways. The third year included score limits, and the fourth year had additional time limits within the adaptive course.

3.3. Data Collection

The study contains two data types:
  • Performance Data: This type includes students’ overall quiz, homework, classwork, lab exercises, lab classwork, lab homework, project scores, and final course grades.
  • Engagement Data: This type includes students’ overall engagement in terms of their performed ungraded activities through LMS, such as course views, file submissions, meetings joined, recording views, etc., based on log data.

3.4. Data Processing and Analysis

Due to their structure, log files require more complex preprocessing for data mining, as each row represents a single activity. Logs must be filtered and transformed into a user-activity data frame to enable user-based analysis. Two datasets were analyzed: Moodle log files (student activities) and student score files (performance records from the student information system). Although Moodle manages scores internally, external aggregation was performed to facilitate more flexible grade calculations, particularly for external activities.
Preprocessing involved several key steps: converting Cyrillic characters to Latin script for R compatibility, filtering out non-student activities, extracting essential fields (e.g., time, username, event context, IP address), and removing duplicates. Finally, user identifiers were anonymized by generating user IDs, ensuring data privacy while preserving the integrity of the analysis.
We performed independent t-tests and Tukey tests to compare performance and engagement metrics across genders in four different groups of students. We applied Pearson correlation analysis to examine relationships among key variables.
When an ANOVA yields a significant result, it indicates that at least one group mean differs from the others but does not specify which groups differ. Post hoc pairwise comparisons were conducted to determine the specific differences between group means. Tukey’s Honestly Significant Difference (HSD) test was widely used among these. Tukey’s HSD evaluates all possible pairwise mean differences using the q distribution, which accounts for the largest expected difference among means from the same population. By applying the same sampling distribution across all comparisons, Tukey’s method offers a conservative and statistically robust approach to control for Type I error when identifying which group differences are significant (Abdi & Williams, 2010).

4. Results

4.1. Performance Outcomes

The learners’ performance outcomes are measured in terms of points/scores obtained from each type of assessment and overall course grade. Figure 2 illustrates the grade distribution over the years with error bars representing standard deviations in different educational settings, providing a visual context and variability. Table 3 shows the mean grades and t-test results, with the significance of the differences giving a precise statistical comparison.
The analysis of gender-based grade performance from 2019 to 2022 provides several important insights.
In 2019, the average grade for male students was 8.76, while for female students it was 8.70. A p-value of 0.899 indicates no significant difference between the groups, with very similar grade distributions, as shown in Figure 2. Gender was not a meaningful factor in determining grades that year.
In 2020, female students achieved a slightly higher average grade of 8.82 compared to 8.51 for male students. However, the p-value of 0.265 shows that this difference is not statistically significant. Dot plots for 2020 confirm this finding, with similar grade distributions between genders.
The trend shifted notably in 2021, where female students had an average grade of 7.26, compared to 6.63 for males. The p-value of 0.00045 indicates a highly statistically significant difference (p < 0.001). The dot plot highlights that female students had a higher median grade and a wider range among top-performing scores, confirming stronger performance by females that year.
In 2022, the pattern continued, with female students averaging 6.90 versus 6.31 for males. A p-value of 0.013 again shows a statistically significant difference (p < 0.05). This result is consistent with the trend observed in 2021, reinforcing the finding that female students outperformed male students in the most recent years.
These results suggest that female students may benefit slightly more from structured, adaptive modules, whereas male students typically performed well overall but did not show as large a performance gap compared to traditional instruction.
Table 4 shows the means and standard deviations of scores for female and male learners, along with the t-test results and the significance degree of differences based on gender.
The comparison between male and female students shows clear trends in academic performance across different score types. Female students generally outperformed male students in areas such as quizzes, homework, lab exercises, and overall total scores. These differences were not only consistent but also statistically significant based on t-test results, particularly in quizzes, lab exercises, and total performance.
In tasks involving active participation, like lab classwork, females again showed a slight but significant advantage, while other practical areas, such as lab homework and project work, did not exhibit meaningful gender differences. This suggests that while females had an edge in frequent coursework and assessments, independent or project-based work was more balanced between genders.
Interestingly, total academic performance and final grades revealed a significant cumulative advantage for female students, indicating that their consistently higher engagement and achievement across smaller tasks translated into better overall outcomes. The findings highlight that gender differences in academic performance are more pronounced in routine, graded activities rather than in isolated, large projects.
Overall, the results suggest a pattern of stronger academic consistency among female students, especially in continuous assessment activities, while project-based outcomes appear unaffected by gender. These trends are supported by the low p-values across many core performance areas, confirming that the observed differences are unlikely to be due to chance.
Figure 3 illustrates the significance based on a t-test over time, where red (1) indicates a statistically significant difference (p < 0.05) between male and female students for that score in that year, while blue (0) indicates that no significant difference was found.

4.2. Correlations

Correlation analysis was conducted to examine the relationships between various coursework components and overall academic outcomes among male and female students. This statistical approach identifies the strength and direction of associations between variables, offering insights into how performance in one area may relate to success in others. By analyzing these patterns, this study aimed to uncover which academic activities were most closely linked to overall achievement and whether these connections varied by gender. The results provide a deeper understanding of how students engage with different types of assessments and how these behaviors contribute to their final grades. Figure 4 and Figure 5 show the correlation matrices for the male and female students, respectively.
For male students, the strongest correlations were observed among lab homework, lab exercises, and homework activities. These deep interconnections indicate that performance in one area, such as lab homework, was closely tied to success in related practical and assignment tasks. Specifically, Lab_Homework and Total Score showed an exceptionally high correlation (0.93), followed by Lab_Homework and Lab_Exercises (0.89) and Homework and Lab_Homework (0.88). On the other hand, correlations between grade and other metrics were notably weak for males, particularly with Lab_Homework (only 0.03) and Quiz (0.15). This suggests that grades for male students were less directly tied to their detailed coursework scores.
In the case of female students, a similar strong clustering appeared around lab-related activities and homework. The highest correlations were between Lab_Exercises and Lab_Homework (0.91), Lab_Homework and Total Score (0.91), and Homework and Lab_Homework (0.87). Compared to males, females exhibited slightly stronger overall correlations between grades and other academic metrics, although these remained moderate (reaching up to 0.41). This implies that while coursework performance was a predictor of grades for both genders, it was more influential among female students.
Overall, both male and female students demonstrated a consistent pattern: strong internal consistency within practical and homework-related metrics but a weaker direct connection between these components and the final grade, particularly among males. These patterns suggest that while coursework success is important, other factors may have influenced final grading differently across genders.

4.3. Engagement

To better understand patterns of student interaction with course materials and learning platforms, an engagement analysis was conducted across gender groups. Engagement metrics provide valuable insights into how students participate in different learning activities, which can influence both academic performance and overall learning experiences. By examining behaviors such as file uploads, quiz submissions, course views, and participation in interactive components like meetings and recordings, this analysis aimed to identify potential gender-based differences in engagement. Understanding these patterns is essential for designing more inclusive and effective learning environments that support diverse learning preferences and promote equitable participation. Figure 6 shows the trend in students’ activities through the years in male and female students.
When adjusting for the number of students, the activity rate per student is quite close between males and females. Females slightly outperform males in average activities per student in certain years (especially in 2020 and 2022). Overall engagement increased in that period, as students of both genders became more active over time.
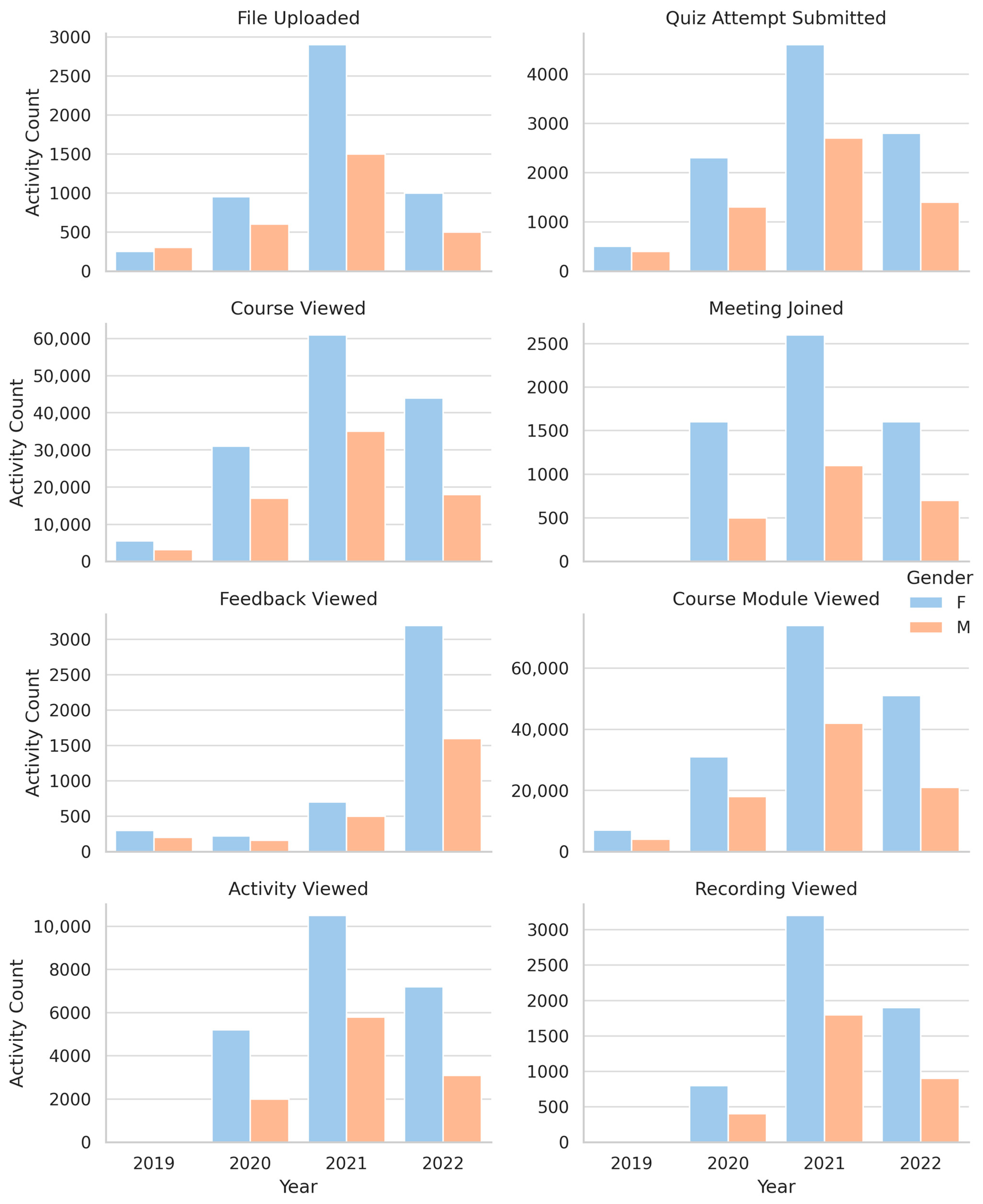
Figure 7 shows the LMS activities: file uploads, quiz attempts, course views, meeting joins (meetings represent the online live lectures), feedback views, course module views, and recording views through the years by gender.
Several patterns emerge when analyzing engagement activities across genders. In terms of file uploads, male students consistently uploaded slightly more files across all years. For quiz attempts submitted, gender differences were minimal, with both males and females showing a steady increase over time. The metric for course views was also very similar between genders, although male students exhibited slightly more variability. Regarding meeting participation, female students often had slightly higher meeting attendance counts.
Regarding feedback viewed, males performed more feedback-related activities, particularly notable in 2021. For course module views, both genders demonstrated steady growth, with males maintaining a slight lead on average. When it came to activity viewed, high engagement was observed from both genders, though males tended to lead slightly in the later years. Lastly, recording views surged after 2020, reflecting the shift to remote learning, with males again marginally leading in this category. Table 5 shows the average number of LMS activities based on gender over the years.
The year 2021 marked a significant increase in almost all student activities, with the rise being particularly notable among female students. This surge reflects a broader trend of heightened engagement across academic tasks during that period. Activities such as Meeting Joined and Recording Viewed only began appearing from 2020 onward, due to the shift toward online learning triggered by the pandemic. Interestingly, from 2020 onward, female students consistently led in most engagement metrics, suggesting that they adapted slightly more actively to the new digital learning environment.
Figure 8 shows the significance of activities based on the Tukey HSD test. The Tukey HSD (Honestly Significant Difference) test was used to explore which specific year-to-year differences in student activity were statistically significant, separated by gender. The results provide nuanced insight into how student engagement changed over time and whether those changes were consistent across genders.
One of the most prominent findings is the significant jump in file uploads from 2019 to 2021 for both male and female students. This reflects a broader transition to digital learning workflows, with both groups adapting quickly to remote submission systems. The increase was statistically significant for both genders, with mean differences of 6.31 for males and 6.91 for females, confirming a clear rise in engagement with online platforms.
Similarly, quiz attempts showed significant increases between 2019 and 2021 for both groups. The greater increase for females (mean diff = 8.70) compared to males (mean diff = 6.93) suggests that female students may have been slightly more responsive to digital assessment formats or more engaged with continuous assessment during this period.
The results of the feedback viewed are more gender-specific. Male students showed a significant increase from 2019 to 2022, while female students demonstrated a significant drop between 2019 and 2020, followed by a dramatic rise in subsequent years. This may indicate different feedback-seeking behaviors between genders during the early transition to online learning.
Notably, course and module viewing behaviors also saw sharp and significant rises between 2020 and 2021, especially among male students (e.g., course views increased by over 100 points). This likely reflects greater self-navigation through course materials as synchronous instruction became more limited.
Recording and activity views exhibited large and statistically significant jumps between 2020 and 2021, aligning with the expanded use of recorded lectures and asynchronous learning tools. Again, both genders significantly increased, although male students tended to lead slightly.

5. Discussion

The results align with the existing literature suggesting that female students often value structured, supportive learning environments, especially in technology-based contexts (Price, 2006). This study adds that adaptive learning platforms might cater well to these preferences by providing targeted feedback and clear pathways. At the same time, male participants may thrive in adaptivity that permits more self-directed exploration (Chen et al., 2017).
Wang et al. (2020) reported that their adaptive learning system, Squirrel AI, did not produce gender-based performance differences. Consistent with their findings, our results under non-restrictive adaptive settings without score or time limits also revealed no significant gender disparities. However, when score and time constraints were introduced in later course iterations, gender differences in academic performance emerged, indicating that specific adaptive conditions can influence equity in learning outcomes.
The comparison of grades between male and female students reveals important insights into overall academic success patterns. Across the dataset, female students consistently achieved higher average grades than their male counterparts. While the differences were modest in earlier years, they became statistically significant from 2021 onward, indicating a shift in academic performance trends.
In 2019 and 2020, the average grades between genders were quite similar, and t-tests confirmed no statistically significant differences. This suggests a relatively balanced performance during the pre-pandemic and early pandemic years, where course settings were non-adaptive and adaptive with no limits, respectively. However, from 2021, the gap widened—female students’ grades began to significantly outpace those of males, with p-values well below the 0.05 threshold. This trend continued into 2022, reinforcing the pattern of female academic advantage when adaptivity is implemented with score and time limits.
Several factors might have contributed to this shift. The transition to remote and hybrid learning environments likely demanded greater self-regulation, time management, and adaptability (Eggers et al., 2021)—areas where prior research often suggests female students excel.
Wongwatkit et al. (2020) suggest that male and female students may engage differently with adaptive tools based on how they perceive and value specific system features. Korlat et al. (2021) stated in their study that females showed higher engagement than males in digital learning. In our study, females were shown (in activity data) to be slightly more engaged with interactive components like quizzes and meetings, which may have further influenced grade outcomes. Additionally, despite males showing slightly more interaction in resource-based metrics (e.g., recording views, file uploads), these did not appear to translate into higher grades. This suggests that the quality or type of engagement, rather than just the quantity, may be more strongly associated with academic success, and this dynamic appears to have favored female students in recent years.
The Tukey test confirms that many of the shifts observed in the data are not just apparent trends but statistically significant changes in behavior, particularly between the pre-pandemic (2019) and peak remote learning years (2020–2021). Engagement increased sharply in many metrics during the shift to online education. Female students were generally more responsive to assessment-related changes (e.g., quizzes), while male students showed more consistent increases across exploratory activities (e.g., course/module views, recordings).
These findings highlight the importance of understanding not just how much engagement is occurring but how different student groups engage in response to structural changes in education delivery.
While this study is limited to a small participant group within a single course context, it remains a valuable contribution to the field. Small-scale studies are essential for piloting research frameworks, testing methodological approaches, and identifying preliminary trends that can inform larger, more diverse investigations. Moreover, in the context of adaptive learning and gender-based analysis, even a focused dataset can highlight nuanced behavioral patterns and equity-related issues that may otherwise go unnoticed in broader studies. The controlled environment of a single course also allows for more consistent variables, making it possible to isolate the effects of specific instructional design features. Thus, the findings serve as a critical foundation for future research and offer practical insights for course designers and educators working in similar settings.
Nevertheless, it is important to interpret the results with caution. The findings must be generalized carefully, as individual variability often exceeds broad gender-based distinctions. Additional factors—such as prior familiarity with digital tools, cultural expectations, and discipline-specific norms—also play critical roles in shaping learners’ experiences and outcomes and should be considered in future research efforts.

6. Conclusions

This study highlights that while adaptive learning can be beneficial for all students, gender may influence how learners perform and engage with these platforms. Female participants displayed higher achievement, suggesting the structured and supportive elements of adaptive systems are more engaging to them. Conversely, male participants generally reported similar levels of performance but showed a preference for autonomy in course navigation.
The grade performance shows a growing academic advantage for female students, especially during and after the shift to online learning. While both genders adapted to the new formats, the data suggest that female students were more academically resilient, translating engagement into consistently higher outcomes. These findings underscore the need to further explore how learning environments and assessment styles interact with gendered learning behaviors.
To fully leverage adaptive learning for diverse learner populations, educators and platform developers should carry out the following steps: (1) Integrate both structured guidance and open-ended exploration options to cater to a range of preferences. (2) Offer ample feedback mechanisms and peer support, which can be particularly beneficial for learners seeking more social or collaborative elements. (3) Continue investigating other demographic variables, such as age, cultural background, and prior experience, to ensure a truly inclusive adaptive environment.
Future research may involve multiple disciplines, longitudinal studies tracking changes in learners’ self-regulation skills over time, and controlled experiments isolating platform design features. By building a more comprehensive understanding of gender’s role in adaptive learning, researchers and practitioners can work toward equity and effectiveness in adaptive course design.
In the future, when designing adaptive courses, gender could be another parameter to consider, as female and male responses to different adaptive settings were different.

Author Contributions

Conceptualization, N.A. and S.L.; methodology, N.A.; software, N.A.; validation, N.A. and S.L.; formal analysis, N.A.; investigation, N.A. and S.L.; resources, S.L.; data curation, N.A. and S.L.; writing—original draft preparation, N.A.; writing—review and editing, N.A. and S.L.; visualization, N.A.; supervision, S.L. All authors have read and agreed to the published version of the manuscript.

Funding

This research received no external funding.

Institutional Review Board Statement

The study was conducted in accordance with the Declaration of Helsinki, and approved by the Institutional Review Board (or Ethics Committee) of International Balkan University (314/10-1, 20 May 2025).

Informed Consent Statement

Formal written consent was not obtained for this study, as it was conducted within the normal scope of instructional activity in a university course. Students were fully informed of the course structure, including the use of adaptive technologies, assessment mechanisms, and engagement tracking, from the beginning of each academic term. Participation in all course activities was a standard component of their academic program and carried no additional risk beyond regular coursework. The data analyzed were collected as part of routine educational processes and were anonymized prior to analysis to ensure the protection of student identity and privacy. No interventions outside the established curriculum were introduced, and no individually identifiable data were reported. In accordance with institutional guidelines and ethical standards for educational research, explicit written consent was deemed unnecessary due to the non-invasive nature of the study and the transparency of course policies.

Data Availability Statement

The anonymized datasets generated during and/or analyzed during the study are available from the corresponding author upon reasonable request.

Conflicts of Interest

The authors declare no conflicts of interest.

Abbreviations

The following abbreviations are used in this manuscript:
ALSsAdaptive Learning Systems
CSComputer Science
HSDHonestly Significant Difference
LMSLearning Management Systems
TELTechnology Enhanced Learning

References

  1. Abdi, H., & Williams, L. J. (2010). Tukey’s honestly significant difference (HSD) test. Encyclopedia of Research Design, 3(1), 1–5. [Google Scholar]
  2. Al Salman, S., Alkathiri, M., & Khaled Bawaneh, A. (2021). School off, learning on: Identification of preference and challenges among school students towards distance learning during COVID19 outbreak. International Journal of Lifelong Education, 40(1), 53–71. [Google Scholar] [CrossRef]
  3. Arsovic, B., & Stefanovic, N. (2020). E-learning based on the adaptive learning model: Case study in Serbia. Sādhanā, 45(1), 266. [Google Scholar] [CrossRef]
  4. Brusilovsky, P., Somyurek, S., Guerra, J., Hosseini, R., Zadorozhny, V., & Durlach, P. J. (2016). Open social student modeling for personalized learning. IEEE Transactions on Emerging Topics in Computing, 4(3), 450–461. [Google Scholar] [CrossRef]
  5. Castro, R. (2019). Blended learning in higher education: Trends and capabilities. Education and Information Technologies, 24, 2523–2546. [Google Scholar] [CrossRef]
  6. Chen, Y.-S., Wu, C.-H., & Chen, T.-G. (2017). An adaptive e-learning system for enhancing learning performance: Based on dynamic scaffolding theory. EURASIA Journal of Mathematics, Science and Technology Education, 14(3), 903–913. [Google Scholar] [CrossRef] [PubMed]
  7. Cho, M.-H., Lim, S., Lim, J., & Kim, O. (2022). Does gender matter in online courses? A view through the lens of the community of inquiry. Australasian Journal of Educational Technology, 38(6), 169–184. [Google Scholar] [CrossRef]
  8. Contrino, M. F., Reyes-Millán, M., Vázquez-Villegas, P., & Membrillo-Hernández, J. (2024). Using an adaptive learning tool to improve student performance and satisfaction in online and face-to-face education for a more personalized approach. Smart Learning Environments, 11, 6. [Google Scholar] [CrossRef]
  9. Ean Heng, L., Pei Voon, W., Jalil, N. A., Lee Kwun, C., Chee Chieh, T., & Fatiha Subri, N. (2021, February 23–26). Personalization of learning content in learning management system. ICSCA’21: Proceedings of the 2021 10th International Conference on Software and Computer Applicatio (pp. 219–223, ACM International Conference Proceeding Series. ), Kuala Lumpur, Malaysia. [Google Scholar] [CrossRef]
  10. Eggers, J. H., Voogt, J., & Oostdam, R. (2021). Self-regulation strategies in blended learning environments in higher education: A systematic review. Australasian Journal of Educational Technology, 37(6), 175–192. [Google Scholar] [CrossRef]
  11. Faghir Ganji, M., Jafari Malvajerd, A., Moradi, A., Amanollahi, A., Ansari-Moghaddam, A., & Basir Ghafouri, H. (2024). Teachers and managers experiences of virtual learning during the COVID-19 pandemic: A qualitative study. Heliyon, 10(2), e24118. [Google Scholar] [CrossRef]
  12. Fernandes, C. W., Rafatirad, S., & Sayadi, H. (2023, June 14–16). Advancing personalized and adaptive learning experience in education with artificial intelligence. EAEEIE 2023—Proceedings of the 2023 32nd Annual Conference of the European Association for Education in Electrical and Information Engineering, Eindhoven, The Netherlands. [Google Scholar] [CrossRef]
  13. Gligorea, I., Tudorache, P., Gorski, A.-T., Gorski, H., Oancea, R., & Cioca, M. (2023). Adaptive learning using artificial intelligence in e-learning: A literature review. Education Sciences, 13(12), 1216. [Google Scholar] [CrossRef]
  14. González-Gómez, F., Guardiola, J., Martín Rodríguez, Ó., & Montero Alonso, M. Á. (2012). Gender differences in e-learning satisfaction. Computers & Education, 58(1), 283–290. [Google Scholar] [CrossRef]
  15. Jin, X. (2023). Predicting academic success: Machine learning analysis of student, parental, and school efforts. Asia Pacific Education Review. [Google Scholar] [CrossRef]
  16. Jing, Y., Zhu, K., Wang, C., Zhao, L., Wang, H., & Xia, Q. (2023). Research landscape of adaptive learning in education: A bibliometric study on research publications from 2000 to 2022. Sustainability, 15(4), 3115. [Google Scholar] [CrossRef]
  17. Johnsen, M. M. W., Sjølie, E., & Johansen, V. (2023). Learning to collaborate in a project-based graduate course: A multilevel study of student outcomes. Research in Higher Education, 65(3), 439–462. [Google Scholar] [CrossRef]
  18. Kabudi, T., Pappas, I., & Olsen, D. H. (2021). AI-enabled adaptive learning systems: A systematic mapping of the literature. Computers and Education: Artificial Intelligence, 2, 100017. [Google Scholar] [CrossRef]
  19. Kobayashı, M. (2017). Students’ media preferences in online learning. Turkish Online Journal of Distance Education, 18(3), 4–15. [Google Scholar] [CrossRef]
  20. Korlat, S., Kollmayer, M., Holzer, J., Lüftenegger, M., Pelikan, E. R., Schober, B., & Spiel, C. (2021). Gender differences in digital learning during COVID-19: Competence beliefs, intrinsic value, learning engagement, and perceived teacher support. Frontiers in Psychology, 12, 637776. [Google Scholar] [CrossRef] [PubMed]
  21. Luna-Urquizo, J. (2019). Learning management system personalization based on multi-attribute decision making techniques and intuitionistic fuzzy numbers. International Journal of Advanced Computer Science and Applications, 10(11), 669–676. [Google Scholar] [CrossRef]
  22. Nikou, S., & Maslov, I. (2021). An analysis of students’ perspectives on e-learning participation—The case of COVID-19 pandemic. International Journal of Information and Learning Technology, 38, 299–315. [Google Scholar] [CrossRef]
  23. Perez-Felkner, L., Erichsen, K., Chen, J., Shore, C., Ramirez Surmeier, L., Hu, S., & Li, Y. (2024). Computing education interventions to increase gender equity from 2000 to 2020: A systematic literature review. Review of Educational Research, 95(3), 536–580. [Google Scholar] [CrossRef]
  24. Price, L. (2006). Gender differences and similarities in online courses: Challenging stereotypical views of women. Journal of Computer Assisted Learning, 22(5), 349–359. [Google Scholar] [CrossRef]
  25. Rezwana, J., & Maher, M. L. (2023). Increasing women’s participation in CS at large public universities: Issues and insights. ACM Inroads, 14(2), 18–25. [Google Scholar] [CrossRef]
  26. Trapani, J., & Hale, K. (2022). Higher education in science and engineering. Science & engineering indicators 2022. NSB-2022-3; National Science Foundation. Available online: https://files.eric.ed.gov/fulltext/ED619278.pdf (accessed on 29 April 2025).
  27. Troussas, C., Krouska, A., Sgouropoulou, C., & Voyiatzis, I. (2020). Ensemble learning using fuzzy weights to improve learning style identification for adapted instructional routines. Entropy, 22(7), 735. [Google Scholar] [CrossRef]
  28. Truong, H. M. (2016). Integrating learning styles and adaptive e-learning system: Current developments, problems, and opportunities. Computers in Human Behavior, 55, 1185–1193. [Google Scholar] [CrossRef]
  29. Wang, S., Christensen, C., Cui, W., Tong, R., Yarnall, L., Shear, L., & Feng, M. (2020). When adaptive learning is effective learning: Comparison of an adaptive learning system to teacher-led instruction. Interactive Learning Environments, 31(2), 793–803. [Google Scholar] [CrossRef]
  30. Wongwatkit, C., Srisawasdi, N., Panjaburee, P., & Seprum, P. (2020). Moderating effects of gender differences on the relationships between perceived learning support, intention to use, and learning performance in a personalized e-learning. Journal of Computers in Education, 7(2), 229–255. [Google Scholar] [CrossRef]
  31. Xie, J., Marino, M. T., Rice, M. F., & Basham, J. D. (2017). Reviewing research on mobile learning in K–12 educational settings. Journal of Special Education Technology, 33(1), 27–39. [Google Scholar] [CrossRef]
  32. Yang, Z., & Bers, M. (2023). Examining gender difference in the use of ScratchJr in a programming curriculum for first graders. Computer Science Education, 34, 864–885. [Google Scholar] [CrossRef]
  33. Yau, H. K., & Cheng, A. L. F. (2012). Gender difference of confidence in using technology for learning. Journal of Technology Studies, 38(2), 74–79. [Google Scholar] [CrossRef]
  34. Zheng, M., Bender, D., & Lyon, C. (2021). Online learning during COVID-19 produced equivalent or better student course performance as compared with pre-pandemic: Empirical evidence from a school-wide comparative study. BMC medical education, 21, 1–11. [Google Scholar] [CrossRef]
  35. Zourmpakis, A.-I., Kalogiannakis, M., & Papadakis, S. (2024). The effects of adaptive gamification in science learning: A comparison between traditional inquiry-based learning and gender differences. Computers, 13(12), 324. [Google Scholar] [CrossRef]
Figure 1. General structure of the proposed adaptivity mechanism.
Figure 1. General structure of the proposed adaptivity mechanism.
Education 15 00771 g001
Figure 2. Mean grades by gender with error bars representing standard deviations (2019–2022).
Figure 2. Mean grades by gender with error bars representing standard deviations (2019–2022).
Education 15 00771 g002
Figure 3. Significance of the mean grades by gender with error bars representing standard deviations (2019–2022).
Figure 3. Significance of the mean grades by gender with error bars representing standard deviations (2019–2022).
Education 15 00771 g003
Figure 4. Correlation matrix for male students.
Figure 4. Correlation matrix for male students.
Education 15 00771 g004
Figure 5. Correlation matrix for female students.
Figure 5. Correlation matrix for female students.
Education 15 00771 g005
Figure 6. Trend of average activities per student by gender.
Figure 6. Trend of average activities per student by gender.
Education 15 00771 g006
Figure 7. LMS activities across years by gender.
Figure 7. LMS activities across years by gender.
Education 15 00771 g007
Figure 8. Significance of the LMS activities across years by gender.
Figure 8. Significance of the LMS activities across years by gender.
Education 15 00771 g008
Table 1. Assessment activities and their points.
Table 1. Assessment activities and their points.
Activity TypeMaximum Number of Activities During One SemesterMinimum Number of Points per ActivityTotal Points from All Activities in One Semester
Self-Evaluation Quiz10570
Classwork1030200
Homework1030500
Lab Classwork1030200
Lab Homework1030330
Badges91090
Project1100150
Total ScoreThe above points are combined each year with a limit of 1000
Table 2. Participants through the years.
Table 2. Participants through the years.
YearCourse SettingsFemale (F)Male (M)
2019Non-adaptive2025
2020Adaptive (time limits, no repetition limits, all points scored)8289
2021Adaptive with score limits (time limits, repetition limits on quizzes, and limitations on scores)142164
2022Adaptive with time limits (no time limits, repetition limits on quizzes, and limitations on scores)91123
Table 3. Mean grades and significance based on t-test by gender.
Table 3. Mean grades and significance based on t-test by gender.
YearAvg. Female GradeAvg. Male GradeDifferencep-Values
20198.708.76−0.060.899
20208.828.51+0.310.265
20217.266.63+0.630.00045
20226.936.31+0.620.013
Table 4. Statistical differences in scores from various assessment activity scores between females and males.
Table 4. Statistical differences in scores from various assessment activity scores between females and males.
Score TypeFemaleMaletSig.
MSDCountMSDCount
Quiz48.7519.1933442.8522.16401−3.86410.0001
Homework181.72136.99334157.49130.81401−2.43770.015
Lab_Exercises199.52101.92251170.68108.13312−3.24670.0012
Lab_Homework94.2963.2422485.6363.1253−1.49420.1358
Lab_Classwork71.1647.122462.1746.6253−2.09020.0371
Classwork121.33137.3314103.59129.11376−1.73670.0829
Project86.6743.997486.6838.13570.00240.9981
Total472.83291.95334403.25281.72401−3.26850.0011
Grade7.631.873347.081.86401−4.00070.0001
Table 5. Summary table showing the mean number of activities per gender per year.
Table 5. Summary table showing the mean number of activities per gender per year.
YearGenderFile UploadedQuiz Attempt SubmittedCourse ViewedMeeting JoinedFeedback ViewedCourse Module ViewedActivity ViewedRecording Viewed
2019F8.0914.55198.32NaN14.23294.14NaNNaN
2019M7.3014.74189.59NaN8.11264.04NaNNaN
2020F7.5718.09248.9313.081.74288.9642.106.79
2020M7.4216.80182.298.371.66272.2427.884.84
2021F15.0023.25321.6913.973.82382.7356.3616.67
2021M13.6021.67289.669.754.60382.5546.3715.14
2022F6.7718.32296.5511.5122.02303.9649.8913.07
2022M6.4017.21259.7510.2620.28299.1044.7911.12
Disclaimer/Publisher’s Note: The statements, opinions and data contained in all publications are solely those of the individual author(s) and contributor(s) and not of MDPI and/or the editor(s). MDPI and/or the editor(s) disclaim responsibility for any injury to people or property resulting from any ideas, methods, instructions or products referred to in the content.

Share and Cite

MDPI and ACS Style

Ademi, N.; Loshkovska, S. Gender Impact on Performance in Adaptive Learning Settings: Insights from a Four-Year University Study. Educ. Sci. 2025, 15, 771. https://doi.org/10.3390/educsci15060771

AMA Style

Ademi N, Loshkovska S. Gender Impact on Performance in Adaptive Learning Settings: Insights from a Four-Year University Study. Education Sciences. 2025; 15(6):771. https://doi.org/10.3390/educsci15060771

Chicago/Turabian Style

Ademi, Neslihan, and Suzana Loshkovska. 2025. "Gender Impact on Performance in Adaptive Learning Settings: Insights from a Four-Year University Study" Education Sciences 15, no. 6: 771. https://doi.org/10.3390/educsci15060771

APA Style

Ademi, N., & Loshkovska, S. (2025). Gender Impact on Performance in Adaptive Learning Settings: Insights from a Four-Year University Study. Education Sciences, 15(6), 771. https://doi.org/10.3390/educsci15060771

Note that from the first issue of 2016, this journal uses article numbers instead of page numbers. See further details here.

Article Metrics

Back to TopTop