Abstract
In contextual vocabulary acquisition, second language learners address both morphological and contextual cues to infer the meanings of novel words. The study investigated cognitive strategies and their eye movement correlates in contextual vocabulary inferencing task. A sample of 30 healthy participants with normal or corrected to normal vision read an Intermediate-level text in English, aiming to define the meaning of 10 low-frequency words embedded in the text. Based on both unstructured and structured post-hoc reports, we attributed the inferencing process either to word-level processing, context-level processing, or discourse-level processing strategy. Eye movements were recorded on the target word and on the target word clause areas of interest. Inferencing success was associated with increased first fixation duration on the target word both for word- and context-level processing strategy, and increased dwell time on the target word clause for context-level processing strategy. Our findings emphasize the role of both morphological and contextual processing in vocabulary inferencing task.
1. Introduction
Vocabulary inferencing, the process of determining the meaning of a word based on the context in which it is used, sometimes referred to as contextual word learning [1], is an essential part of second language contextual vocabulary acquisition, and has long been supposed to significantly aid in learning new vocabulary [2]. Intentionally concentrating on the target word embedded in context enhances the learning benefits obtained from repeated exposure to the word, aiding in the development of a comprehensive understanding of word meanings [3]. Recent eye tracking research has provided evidence that encountering novel words in reading and trying to figure out their meaning by lexical inferencing requires different cognitive mechanisms than processing words in isolation—that is, context analysis provides a vast amount of cues, while morphological analysis can yield information on derivational and inflectional affixes [4,5].
Learning outcomes in contextual vocabulary inferencing task vary depending on many factors: study design, features of text, features of target words, features of study sample [6], number of encounters (contextual exposure of the word) [7], cognitive strategies of vocabulary inferencing, and the knowledge sources (morphology, context, discourse) that learners address [8]. While the number of encounters with a word has long been considered a powerful predictor of learning outcome in contextual vocabulary acquisition task, recent studies demonstrate that a word may not be learned even after many encounters, especially in cases of insufficient inferencing [9]. This is supported with only medium effects of repetition on incidental vocabulary learning outcomes in meta-analysis—the effect is modulated by individual differences, treatment variables, and methodological differences (pseudo-word use, vocabulary test format) [10].
Second language learners have been observed to use a variety of knowledge sources to infer the meaning of the target word while reading, among which three main categories can be distinguished: target word level, sentence level and discourse level knowledge sources, which are addressed to gain information from the contextual and morphological cues [8,11].
The effect of embedding context features on a target word was demonstrated by Webb [7]: higher recognition and recall results were observed with more contextual cues. It was concluded that the quality of the context, rather than the quantity of word repetitions, has a greater influence on eliciting word meaning; however, increasing the number of repetitions was more effective for memorizing word forms [7].
Morphological cues are also beneficial for vocabulary inferencing: eliciting the target word meaning based on familiar morphemes leads to better vocabulary inferencing [12], enhancing storage in memory in vocabulary acquisition tasks [13,14]. Moreover, general morphological awareness facilitates performance in reading tasks and contributes to reading comprehension through its effect on vocabulary [15].
The features of deliberate attention distribution between morphological and contextual cues are often referred to as “strategies” [8,12], following the general notion of cognitive strategies as meta-componential processes that apply to thinking, learning, and problem solving, and enable better performance with the same working memory resources [16]. In contemporary studies of second language acquisition, preferred strategic behavior pertains to the “individual differences” group of factors, along with age, intelligence, aptitude, memory, and attention [17].
Previous studies on cognitive strategies demonstrate that good strategy users coordinate metacognition and knowledge in second language tasks performance [18]. Pressley et al. distinguished “good strategy users”, whose efforts are strategic and task matching, as opposed to non-strategic effort attribution, in five ways: (1) possessing a wide repertoire of cognitive strategies; (2) using strategies appropriately and in appropriate contexts; (3) having an extensive task-relevant knowledge base; (4) being able to automatically execute and coordinate the use of strategies with various knowledge sources; (5) having awareness that, although success is related to efforts, efforts alone may not be enough.
Cognitive strategies in novel vocabulary learning have generally been elicited by introspective think-aloud protocols in second language reading during task performance [11,19], interviews (including post-hoc report), and surveys [20]. However, subjective methods have their limitations and used alone may lack reliability. For instance, Pawlak, creator of the grammar learning strategy inventory, emphasizes the need to design valid and reliable tools for assessing language learning strategies [21].
Among reliable measures of second language learners’ attention distribution in reading is recording participants’ gaze coordinates during task performance, which provides researchers with “a window into the mind” [22] (p. 1). In eye movement research in reading, eye movements of the reader are intricately linked to ongoing language processing [23], reflecting contextual effects on eye movements. Three main word and context properties—word length, frequency, and predictability (the probability of guessing a word from reading the preceding words of the sentence)—have proven useful for predicting fixation duration (a period where our visual gaze remains at a particular location), with longer fixation duration observed on longer, lower-frequency words and less predictable words [24,25]. Studies of eye movements in reading have demonstrated that the interaction of these factors affects eye movement parameters: larger word length effects on fixation duration were found for novel than familiar words, and refixations on unfamiliar words were longer than on familiar controls of different length [26], while repeated exposure to novel words in context reduced reading times across various eye movement metrics: first fixation, single-fixation, gaze duration, and total times [27]. Fixation duration in reading is considered as reflection of constituent processing time, while first fixation duration on a word is considered as a reflection of early stages of word processing, including morphological processing [4].
Eye tracking studies have yielded valuable results on the features of information processing in different learning contexts. For instance, in subtitle viewing, the benefits of bilingual subtitles over captions (second language text) for meaning recognition and over subtitles (native language text) for meaning recall were demonstrated, with learning outcomes correlating with the amount of attention to the second language target words (but not to the translations) [28]. Moreover, in full captioning with intentional vocabulary inferencing, second pass (time spent on the second visit of the word area) as well as total fixation duration (time spent on the word) were found to positively correlate with learning outcomes [29].
In second language research, recording eye movements during the reading of continuous texts is a relatively recent area of research [1]. Compared to reading in the first language, longer sentence reading times, more fixations, shorter saccades (fast ballistic eye movements), and less word skipping have been observed in reading in the second language [30]. Kuperman et al. (2023) analyzed the contribution of first language background on eye movement measures, reading fluency, and comprehension in the second language of the readers [31]. Eye tracking research in vocabulary inferencing is generally conducted with non-words occurring in high-constraining sentences that support the guessing of their meanings from context [6], with distinguished word familiarity effect for non-words embedded in continuous texts, similar to that found with low-frequency words, on fixation duration [32].
Eye movements in incidental vocabulary learning have included studies in Chinese character acquisition as well. Yi and DeKeyser (2022) demonstrated that second language learners’ real-time processing of novel compounds [33] across repeated exposures was influenced by the semantic transparency of the compounds. Transparent compounds were more readily acquired than opaque compounds in terms of form recognition and meaning recall, with the reading time influencing learning outcomes.
Eye tracking research has provided objective measures of reading strategies (strategies, in this case, are operationalized as preferred patterns of allocating one’s attention over the text). For instance, Hyönä et al. (2022) distinguished three eye movement patterns, consistent within individuals: (1) preferring quickly skimming the text without looking back; (2) looking back for verification; (3) skipping more words but making more regressive eye movements [34]. Recently, Kuperman et al. (2023) found evidence of individuals maintaining reading strategy when reading in both first and second language [31], with strong correlations in fixation duration, word skipping, and regression eye movement measures.
Eye tracking measures can be used either alone or in triangulation with other measures such as reaction time, self-report, and analysis of correct answers and mistakes. Combining eye tracking with verbal reports has been suggested for obtaining a fuller picture of learners’ cognitive processes [35]. Liu used eye tracking to assess learners’ attention distribution with and without vocabulary learning strategy instruction in vocabulary inferencing task [12]. The results indicated that after morphological instruction (trying to elicit the target word meaning by analyzing familiar morphemes) the participants inferred unknown words with greater success.
Eye movement correlates of effective cognitive strategies have been defined in different tasks, e.g., visual search [36] and visual problem solving in a complex visual domain [37]. Eye movement evidence of cognitive strategies in vocabulary acquisition have been observed in paired associate learning task (vocabulary learning without context): more transitions between the target word and its translation were recorded in using a rote learning strategy (constantly repeating the word pair), resulting in a lower learning outcome, while using a mnemonic keyword method (a novel word is connected to its translation by a keyword, similar in sound to the novel word, and a mental image is created of the interaction between the keyword and the translation) was associated with attention distribution in favor of the target word, resulting in a higher learning outcome [38]. Similarly, the benefits of combining verbal and visual information have been demonstrated in multimodal incidental acquisition of foreign language vocabulary [39]. Bisson et al. (2015) found that participants recalled significantly more words after a week-long delay if they had been presented with a picture during incidental learning, with the time spent looking at the pictures during incidental learning significantly predicting recognition and recall scores one week later. The studies emphasize the importance of combining visual and verbal information for vocabulary acquisition and elaboration processes in working memory.
Among practical implications of cognitive strategy research is strategy instruction. For instance, the Eye Movement Modelling Examples paradigm involves showing learners the gaze behavior of a domain expert performing a perceptual task, providing a domain novice with guidance in how to process the visual input [40]. The paradigm has been widely used for strategy instruction in professional tasks in different areas: meta-analysis results demonstrated significant effect of displaying experts’ gaze on time to first fixation (searching for the relevant area before resting the gaze on it) and fixation duration (length of the eyes remaining fixed on a relatively stable point) on task-relevant areas, thus helping learners attend faster and longer to the task-relevant elements, fostering their cognitive performance [41]. These practical implications highlight the application of eye tracking research for finding eye movement correlates of cognitive strategies.
Effective reading strategies, however, are task-dependent: eye movement patterns differ in regular and thorough reading, skimming, and spell checking tasks on the same text [42]. In the study by Chaffin et al. (2001), the time readers allocated to the context was influenced by both the familiarity of the target word and the informativeness of the context. Readers extended their reading time on the target word only in cases where the context was neutral and the target word was unfamiliar. This indicates that readers could discern the pertinent sections of text and leverage this information to deduce the meaning of unfamiliar words [43].
Therefore, most eye tracking research in second language vocabulary inferencing task focuses on the effects of the number of encounters and length of contextual exposure of the novel words on eye movement measures in reading the words [3,6]. However, little research in the field of vocabulary inferencing concentrates on eye movement evidence of cognitive strategies.
The current study is devoted to investigating eye movement correlates of cognitive strategies in vocabulary inferencing task. We employed the research paradigm introduced in Nassaji’s study [8]: an Intermediate-level text with embedded low-frequency words for a vocabulary inferencing task. We decided to use a natural text containing low-frequency words (instead of non-words, commonly used in vocabulary inferencing research [6]). These words were embedded in the Intermediate-level second language text, providing the participants with both morpheme and context cues. Cognitive strategies here are elicited based on the distribution of attention on context-level or word-level cues in reading. We analyzed eye movements as an online measure of overt attention and inferencing outcome and post-hoc cognitive strategy report as an offline measure in the vocabulary inferencing process.
Considering the aforementioned, we hypothesized that mentioning using word cues or contextual cues in the report would be associated with different performance and different eye movement patterns in vocabulary inferencing task.
2. Materials and Methods
2.1. Participants
An a priori power analysis indicated that a minimum of 30 participants was needed to test our hypotheses, assuming a medium effect size (d = 0.45) with 0.403 power and alpha set at 0.05. Therefore, the sample included 30 healthy participants with normal or corrected to normal vision, with ages ranging between 19–21 years (median = 20), comprising 22 females and 8 males. Based on interim ESL course test results, all the participants had an Intermediate English level. The subjects were recruited at Moscow State Linguistic University (Russia), receiving course credit for their participation. Written informed consent (providing information on the objectives of the study, the ability to withdraw at any point of the study, and possible inconveniences of refraining from moving their head during trials after the calibration procedure) and consent regarding personal data (permitting preprocessing, statistical analysis, and storing of the personal data) were obtained from all the subjects involved in the study.
2.2. Measures
2.2.1. Vocabulary Inferencing Outcome
Two experts analyzed the participants’ answers, scoring “correct” if the translation was within the range of the expected translations (provided by the Multitran online dictionary).
2.2.2. Cognitive Strategies of Vocabulary Inferencing
Vocabulary inferencing strategies were determined based on the post-hoc reports—first via unstructured reflection, then multiple choice from the list. Possible answers included “word-level analysis”, “clause-level analysis”, “discourse-level analysis”, and “can’t define”. We defined the strategies according to the deliberate use of knowledge sources as defined by Bengeleil and Paribakht [11].
2.2.3. Eye Tracking Data
The 10 target words and the 10 target words’ clauses were mapped in the text as areas of interest (AOIs). The following eye movement measures were included in the analysis:
- AOI word dwell time (the total amount of time spent on a target word AOI, normalized for pixel size)
- AOI word first fixation duration (the duration of the first fixation made on a target word AOI),
- AOI clause dwell time (the total amount of time spent on a particular target word clause AOI, normalized for pixel size)
- AOI clause mean fixation duration (the average length of the fixations made on a particular target word clause AOI)
Thus both early-stage reading measures (AOI word first fixation duration and AOI clause mean fixation duration), associated with initial lexical access, and late-stage reading measures (AOI word dwell time and AOI clause dwell time), associated with post-lexical access [44], were included in the analysis.
2.3. Apparatus and Stimuli
Eye movements were recorded with an SMI RED eye tracker (60 Hz, accuracy 0.4°, precision 0.03°) with a 22″ screen and a 1280 × 1024 pixels screen resolution.
We used an Intermediate-level text (1860 characters with spaces) with 10 low-frequency words, commonly used in vocabulary inferencing research in emergent bilinguals [8] (see Appendix A). The target words were four nouns, four verbs, and two adjectives with ipm < 0.35 (less than 0.35 encounters per 1 million words, obtained with Python wordfreq library based on open corpora), with exception of the word “contract” with ipm = 8.7, which was used in the text in its less frequent meaning “to fall ill”.
The text was presented in Verdana typeface, 18 type size, with a 50–60 cm distance from the screen the visual angle of the target words was approximately 5°.
2.4. Procedure
The 10 target low-frequency words were demonstrated to the participants prior to text reading. The participants were asked to translate the words into Russian (their native language) to make sure they were not familiar with the meaning of the words. The reading task was administered only in case participants could not provide correct translations of all 10 target words.
Eye movements were recorded during text reading and vocabulary inferencing. After reading, the subjects were asked to provide a translation of the 10 target words. The comprehension was assessed based on whether the answer corresponded to the possible variants of translation (e.g., for the word “to waver” the ideal translation would be “кoлeбaтьcя”, but possible translations included synonyms such as “to change”, “to become different”, “to fluctuate”: “мeнятьcя”, “измeнятьcя”, “cтaнoвитьcя дpyгими”, “пoшaтнyтьcя” (Rus).
After the translation, the subjects first provided unstructured reflection on the inferencing process, then chose the corresponding strategy from the list (“word-level analysis”, “clause-level analysis”, “discourse-level analysis”, “can’t define”).
Before starting the main task, the subjects performed a training session with an Elementary text to make sure they understood the procedure.
2.5. Data Analysis
Eye movement data was pre-processed in BeGaze3.0 software with a 50 ms and 50 pixel fixation threshold.
The normality distribution of the eye tracking measures was evaluated with the Kolmogorov–Smirnov test (for all eye movement measures the distribution was not Gaussian). Data pertaining to the two factors (reported strategy and answer correctness) were analyzed using the Mann–Whitney non-parametric U-test. To estimate how the means of continuous variables (AOI word dwell time, AOI word first fixation duration, AOI clause dwell time, AOI clause mean fixation duration) change according to the levels of two independent variables—strategy use (levels: clause, morpheme) and inferencing outcome (levels: correct, incorrect)—we used two-way ANOVA, aiming to investigate the interaction effect of the factors. Following previous eye movements in reading research, log10 transformation was applied to remove skewness in the eye tracking data before ANOVA analysis [45].
All analyses were conducted in Python programming language statistical packages (scipy and statsmodels).
3. Results
The strategies were defined based on structured and unstructured post-hoc report. In 83 cases (27.7%) the subjects failed to provide the report, the other 217 cases (72.3%) were attributed to one of the following levels of analysis: word level, clause level, discourse level (see Table 1 for strategy description and number of correct and incorrect answers).
Table 1.
Cognitive strategies for inferring word meanings from context.
The participants tended to use syntactic information from the target word clause and target word morpheme analysis more often than trying to guess the word meaning from the general discourse. The highest rate of correct answers was demonstrated when the participants elicited the meaning based on the target word clause analysis, while the lowest correct answer rate was in cases where no strategy was reported (χ2 = 57.4, p < 0.01). However, the difference in performance between word-level and sentence-level processing strategies was not significant (χ2 = 1.43, p < 0.01). This emphasizes the role of both morpheme and context analysis in successful vocabulary inferencing. Moreover, in some cases, morphological cues could more significantly contribute to the performance than in others, e.g., the word “curative”, derived from higher frequency word “cure”, could provide a morphologically rich cue, while the only familiar morpheme in “hazards” is the inflectional morpheme (see Appendix A for details).
3.1. Eye Movements and Efficient Vocabulary Inferencing
The statistics were performed only for the eye tracking data in the areas of interest of the target word and the target word clause. Mann–Whitney U-test results showed significant distinctions in dwell time on target word and target word clause AOIs, as well as in first fixation on the word AOI (the results are presented in Table 2).
Table 2.
Eye tracking measures in correct/incorrect vocabulary translation.
Higher inferencing performance was associated with longer dwell time on the target word AOI, emphasizing the role of the word-level analysis regardless of the strategy use. Moreover, longer first fixation duration on the word AOI also contributed to higher vocabulary inferencing results. That is, both overall and initial increased attention to the word facilitated performance.
Better inferencing was also observed when more time was spent on the target word clause. However, mean fixation duration on the clause did not contribute to the performance.
3.2. Eye Movements and Cognitive Strategies
Discourse-level strategy was excluded from eye movement data analysis as this knowledge source could not be mapped in the text as an area of interest and due to the small amount of data on this strategy. Mann–Whitney U-test results showed no significant distinctions in eye movement measures for word-level and clause-level strategies (the results are presented in Table 3).
Table 3.
Eye tracking measures in word-level/clause-level cognitive strategies.
Using word-level analysis was associated with a small increase in first fixation duration on the word; however, the results were not significant. However, this tendency could indicate the importance of initial stage of information processing in vocabulary inferencing.
Overall, no significant effect of reported cognitive strategies was shown on eye movement measures. However, we assumed that the use of cognitive strategies would mediate the effect of inferencing success on eye movement characteristics.
3.3. The Mediating Role of Cognitive Strategies on Attention Distribution in Successful and Unsuccessful Vocabulary Inferencing
We used two-way (strategies × inferencing outcome) ANOVA to investigate the interaction effect on eye movements (the results are presented in Table 4 and Figure 1).
Table 4.
The two-way (strategies × inferencing outcome) ANOVA results of the eye movement characteristics.
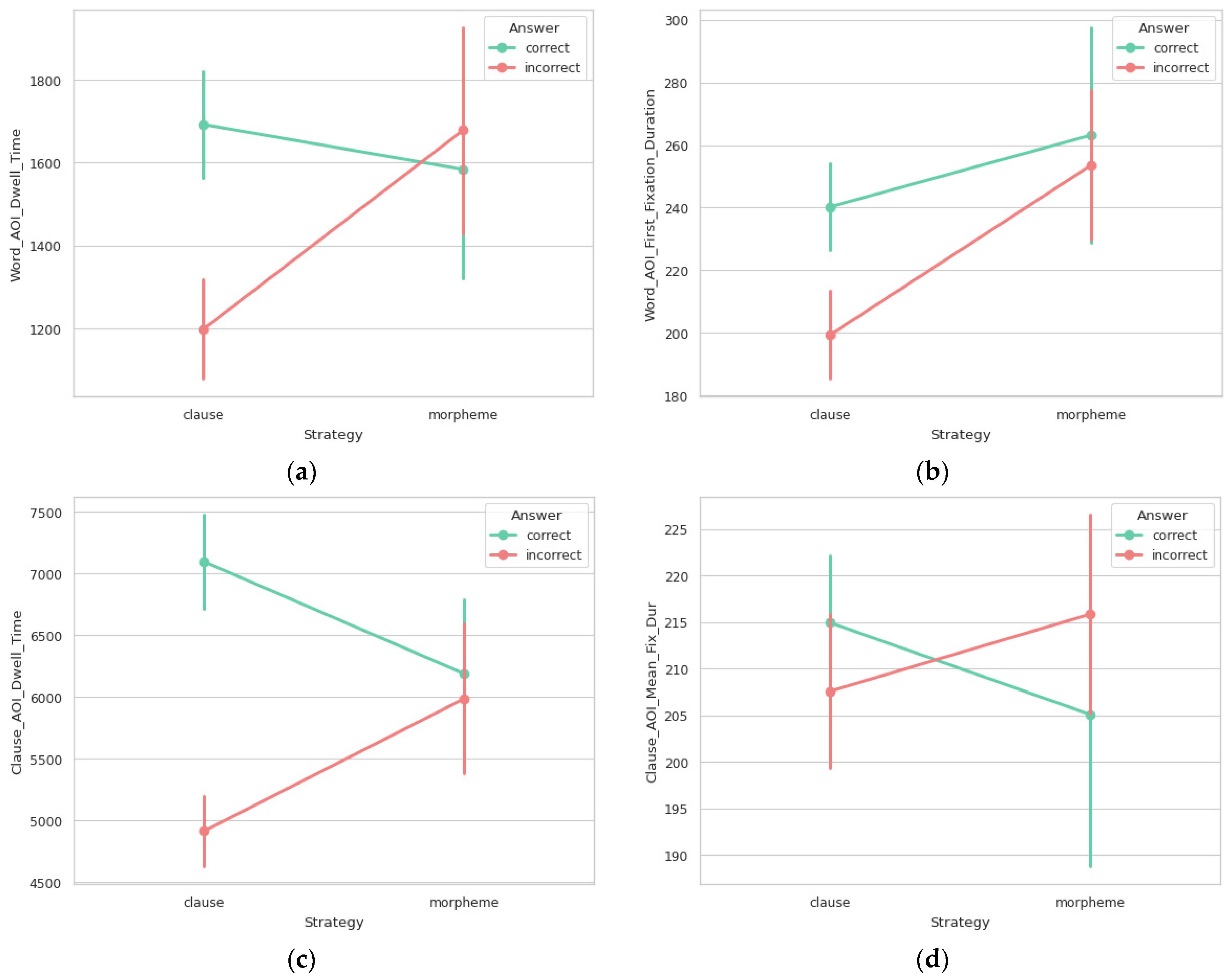
Figure 1.
Eye movement measures in the target words and the target word clauses areas of interest (AOI) in clause-level and morpheme-level strategies in post-hoc report, in correct and incorrect answer cases (means and standard error). (a) AOI target words dwell time, (b) AOI target words first fixation duration, (c) AOI target words clause dwell time, (d) AOI target words clause mean fixation duration.
Significant distinctions were observed only for the target word clause dwell time: correct answers in clause-level analysis were associated with longer dwell time than incorrect answers, while no such effect was observed for word-level analysis (see Figure 1c).
Therefore, when clause-level analysis was reported, the longer the time spent on the clause, the higher the probability of the correct answer (see Figure 1c). This could be due to the rich contextual cues provided for the target words in the text. Therefore, the distribution of attention in favor of the surrounding context can contribute to a better vocabulary inferencing result. Interestingly, when clause-level analysis was reported but did not yield successful inferencing, average time spent on the clause was lower, probably indicating less extensive information processing.
On the other hand, when morpheme-level analysis was reported, no effect of time spent on the word on the inferencing outcome was observed (see Figure 1a,b).
However, it should be noted that first fixation duration on the target word (associated with the start of lexical processing) in successful recall was higher than average fixation duration on the text (see Figure 1b,d).
Therefore, although morpheme analysis can significantly contribute to vocabulary inferencing, if the meaning has not been inferenced, dwelling on the word does not contribute to performance. Conversely, prolonged viewing of the context significantly contributed to vocabulary inferencing outcome.
4. Discussion
We examined the effect of cognitive strategies of attention distribution on morphological and context cues on performance and eye movements in vocabulary inferencing task.
The study has three main findings: (1) cognitive strategies of vocabulary inferencing affect the inferencing outcome; (2) eye movement measures (e.g., first fixation duration on the target word) are related to vocabulary inferencing performance; (3) distribution of attention in favor of context facilitates performance, but only in the case of context-level processing, with no effect observed for word-level processing.
The lowest rate of correct answers was demonstrated when the participants reported no strategy use, which we attribute to the benefit of conscious use of cognitive strategies in vocabulary inferencing task. Highest performance was demonstrated in the cases when context-level processing was reported, which is in line with previous research, stating that learning new items in collocations yields better retention of receptive and productive knowledge of target word meaning than in single words [46].
Interestingly, our results demonstrate that the distribution of attention both on the word level (e.g., first fixation duration, associated with the onset of morphological processing) and on the sentence level (dwell time on the target word’s clause area of interest) contribute to higher vocabulary inferencing performance. Better inferencing results in case of enhanced attention to the word-level features can be attributed to phonological and orthographic processes, which along with syntactic and semantic processes are considered to be important for reading comprehension [47]. Moreover, the distribution of attention in favor of word-level features can be related to morphological strategy (considering the morphemes as inferring references), which is in line with Liu’s results on morphological strategy fostering performance [12] and with general morphological awareness contributing to reading comprehension [15].
Notably, while significant distinctions were observed only for the target word clause dwell time, the tendency can be observed for attention distribution on the target word area of interest (longer dwell time and first fixation duration) when word-level analysis was reported with no effect on inferencing outcome. The same tendency was observed in cases with correct answers in clause-level analysis, but not when the translation was incorrect. This, in our opinion, denotes the value of both word-level and context-level processing in vocabulary inferencing task.
Distinguishing eye movement patterns of effective cognitive strategies in vocabulary inferencing tasks can be applied for training effective cognitive strategies of inexperienced language learners. The Eye Movement Modelling Examples paradigm—displaying the visualized gaze pattern of a domain expert person while carefully executing the learning or problem-solving task to train a domain novice—has yielded significant improvement of novices’ performance in different domains [41]. However, further research is needed for univocal distinguishing of vocabulary inferencing strategies and corresponding eye movement patterns.
5. Conclusions
We examined the effect of cognitive strategies in vocabulary inferencing task on performance and eye movement characteristics, with target word-level, sentence-level and discourse-level strategies distinguished based on the participants’ post-hoc reports.
Following our predictions, strategic behavior affected the performance in that mentioning strategy in the post-hoc report was associated with a higher inferencing result as compared to failing to report use of a strategy, with this effect more pronounced in addressing sentence-level processing.
Furthermore, the results indicate that the distribution of attention both in favor of word-level processing (reflected in increased first fixation duration) and sentence-level processing (reflected in increased target word clause dwell time) contribute to higher recall, emphasizing both lower- and higher-level processing in the vocabulary inferencing task.
Theoretically, these new findings contribute to eye movement evidence of cognitive strategies in second language acquisition tasks. Practically, our results point to directions for further research in strategy instruction: both explicit instruction and instruction in the Eye Movement Modeling Examples paradigm.
Author Contributions
Conceptualization, A.I. and I.B.; methodology, A.I. and I.B.; software, A.I.; validation, A.I. and I.B.; formal analysis, A.I.; investigation, A.I. and I.B.; resources, A.I.; data curation, A.I.; writing—original draft preparation, A.I.; writing—review and editing, A.I. and I.B..; visualization, A.I.; supervision, A.I. and I.B.; project administration, A.I.; funding acquisition, A.I. All authors have read and agreed to the published version of the manuscript.
Funding
The research was funded by the Russian Science Foundation (project NO 22-78-00222), https://rscf.ru/project/22-78-00222/, accessed on 1 April 2024.
Institutional Review Board Statement
The study was performed in concordance with the Declaration of Helsinki. All subjects gave a written informed consent composed in accordance with APA’s Ethical Code. In particular, the participants took part in the study voluntarily and their data were analyzed anonymously. A formal approval of an IRB was not obtained as there is no IRB at MSLU, and such an approval is not required by Russian legislation (this is the case only for medical studies in Russia).
Informed Consent Statement
Informed consent was obtained from all subjects involved in the study.
Data Availability Statement
All the data are available upon reasonable request to the authors.
Acknowledgments
The authors would like to express our gratitude to Sofia Kirsanova for her assistance in data collection.
Conflicts of Interest
The authors declare no conflicts of interest.
Appendix A
Health in the Rich World and in the Poor
An American journalist, Dorothy Thompson, criticizes the rich world’s health program for the poor world. She describes her trip to Africa, where she got food poisoning and malaria:
The town is very dirty. All the people are hot, have dust between their toes and the smell of sewage in their noses. We both fell ill, and at ten o’clock in the morning I got frightened and took my friend to the only private hospital in town, where you have to pay. After being treated by a doctor, we caught the next airplane home.
Now, I believe that the money of the World Health Organization should be spent on bringing health to all people of the world and not on expensive doctors and hospitals for the few who can pay. But when we ourselves become ill, our beliefs waver. After we came back to the States we thought a lot about our reaction to this sudden meeting with health care in a poor country. When assessing modern medicine, we often forget that without more money for food and clean water to drink, it is impossible to fight the diseases that are caused by infections.
Doctors seem to overlook this fact. They ought to spend much time thinking about why they themselves do not contract some of the serious and infectious diseases that so many of their patients die from. They do not realize that an illness must find a body that is weak either because of stress or hunger. People are killed by the conditions they live under, the lack of food and money and the squalor. Doctors should analyse why people become ill rather than take such a keen interest in the curative effect of medicine.
In the rich world many diseases are caused by affluence. The causes of heart diseases, for instance, are far from being mysterious and unfathomable—they are as well-known as the causes of tuberculosis. Other diseases are due to hazards in the natural conditions in which we live. Imagine the typical worker on his death-bed: every cell permeated with such things as chemicals and radio-active materials. Such symptoms are true signs of an unhealthy world.
The text was adapted from [8] (p. 670)
References
- Elgort, I.; Brysbaert, M.; Stevens, M.; Van Assche, E. Contextual Word Learning during Reading in a Second Language: An Eye-Movement Study. Stud. Second Lang. Acquis. 2018, 40, 341–366. [Google Scholar] [CrossRef]
- Haastrup, K. Lexical Inferencing Procedures, Or, Talking about Words: Receptive Procedures in Foreign Language Learning with Special Reference to English; Gunter Narr Verlag: Tübingen, Germany, 1991; ISBN 978-3-87808-262-0. [Google Scholar]
- Godfroid, A.; Ahn, J.; Choi, I.; Ballard, L.; Cui, Y.; Johnston, S.; Lee, S.; Sarkar, A.; Yoon, H.-J. Incidental Vocabulary Learning in a Natural Reading Context: An Eye-Tracking Study. Bilingualism 2018, 21, 563–584. [Google Scholar] [CrossRef]
- Bertram, R.; Hyönä, J. The Importance of Eye Movement Research for Gaining Insight into Morphological Processing. In Linguistic Morphology in the Mind and Brain; Routledge: London, UK, 2023; pp. 121–136. ISBN 978-1-00-315975-9. [Google Scholar]
- Luke, S.G.; Christianson, K. Predicting Inflectional Morphology from Context. Lang. Cogn. Neurosci. 2015, 30, 735–748. [Google Scholar] [CrossRef]
- Pellicer-Sánchez, A. Incidental L2 Vocabulary Acquisition from and While Reading: An Eye-Tracking Study. Stud. Second Lang. Acquis. 2015, 38, 97–130. [Google Scholar] [CrossRef]
- Webb, S. The Effects of Context on Incidental Vocabulary Learning. Read. A Foreign Lang. 2008, 20, 232–245. [Google Scholar]
- Nassaji, H. L2 Vocabulary Learning from Context: Strategies, Knowledge Sources, and Their Relationship with Success in L2 Lexical Inferencing. Tesol Q. 2003, 37, 645. [Google Scholar] [CrossRef]
- Elgort, I.; Warren, P. L2 Vocabulary Learning from Reading: Explicit and Tacit Lexical Knowledge and the Role of Learner and Item Variables. Lang. Learn. 2014, 64, 365–414. [Google Scholar] [CrossRef]
- Uchihara, T.; Webb, S.; Yanagisawa, A. The Effects of Repetition on Incidental Vocabulary Learning: A Meta-Analysis of Correlational Studies. Lang. Learn. 2019, 69, 559–599. [Google Scholar] [CrossRef]
- Bengeleil, N.; Paribakht, T. L2 Reading Proficiency and Lexical Inferencing by University EFL Learners. Can. Mod. Lang. Rev. 2004, 61, 225–250. [Google Scholar] [CrossRef]
- Liu, P.-L. Using Eye Tracking to Understand the Responses of Learners to Vocabulary Learning Strategy Instruction and Use. Comput. Assist. Lang. Learn. 2014, 27, 330–343. [Google Scholar] [CrossRef]
- Wu, X.; Anderson, R.C.; Li, W.; Wu, X.; Li, H.; Zhang, J.; Zheng, Q.; Zhu, J.; Shu, H.; Jiang, W.; et al. Morphological Awareness and Chinese Children’s Literacy Development: An Intervention Study. Sci. Stud. Read. 2009, 13, 26–52. [Google Scholar] [CrossRef]
- Bowers, P.N.; Kirby, J.R. Effects of Morphological Instruction on Vocabulary Acquisition. Read. Writ. 2010, 23, 515–537. [Google Scholar] [CrossRef]
- Deacon, S.H.; Kirby, J.R. Morphological Awareness: Just “More Phonological”? The Roles of Morphological and Phonological Awareness in Reading Development. Appl. Psycholinguist. 2004, 25, 223–238. [Google Scholar] [CrossRef]
- Sternberg, R.J. Meta-Intelligence: Understanding, Control, and Coordination of Higher Cognitive Processes. In Intelligence—Theories and Applications; Holm-Hadulla, R.M., Funke, J., Wink, M., Eds.; Springer International Publishing: Cham, Switzerland, 2022; pp. 339–349. ISBN 978-3-031-04198-3. [Google Scholar]
- Wen, M.F.; Sparks, R.L.; Biedroń, A. Cognitive Individual Differences in Second Language Acquisition: Theories, Assessment and Pedagogy; De Gruyter: Berlin, Germany, 2023; ISBN 978-1-61451-474-9. [Google Scholar]
- Pressley, M.; Borkowski, J.G.; Schneider, W. Cognitive Strategies: Good Strategy Users Coordinate Metacognition and Knowledge. Ann. Child Dev. 1987, 4, 89–129. [Google Scholar]
- Nassaji, H. The Relationship Between Depth of Vocabulary Knowledge and L2 Learners’ Lexical Inferencing Strategy Use and Success. Mod. Lang. J. 2006, 90, 387–401. [Google Scholar] [CrossRef]
- Israel, S.E.; Block, C.C.; Bauserman, K.L.; Kinnucan-Welsch, K. Metacognition in Literacy Learning: Theory, Assessment, Instruction, and Professional Development; Routledge: London, UK, 2006; ISBN 978-1-135-60629-9. [Google Scholar]
- Pawlak, M. Investigating Language Learning Strategies: Prospects, Pitfalls and Challenges. Lang. Teach. Res. 2021, 25, 817–835. [Google Scholar] [CrossRef]
- Conklin, K.; Pellicer-Sánchez, A. Using Eye-Tracking in Applied Linguistics and Second Language Research. Second Lang. Res. 2016, 32, 453–467. [Google Scholar] [CrossRef]
- Rayner, K. Eye Movements in Reading: Models and Data. J. Eye Mov. Res. 2009, 2, 1–10. [Google Scholar] [CrossRef] [PubMed]
- Richter, E.M.; Engbert, R.; Kliegl, R. Current Advances in SWIFT. Cogn. Syst. Res. 2006, 7, 23–33. [Google Scholar] [CrossRef]
- Laurinavichyute, A.K.; Sekerina, I.A.; Alexeeva, S.; Bagdasaryan, K.; Kliegl, R. Russian Sentence Corpus: Benchmark Measures of Eye Movements in Reading in Russian. Behav. Res. 2019, 51, 1161–1178. [Google Scholar] [CrossRef]
- Lowell, R.; Morris, R.K. Word Length Effects on Novel Words: Evidence from Eye Movements. Atten. Percept. Psychophys. 2014, 76, 179–189. [Google Scholar] [CrossRef] [PubMed]
- Joseph, H.S.S.L.; Wonnacott, E.; Forbes, P.; Nation, K. Becoming a Written Word: Eye Movements Reveal Order of Acquisition Effects Following Incidental Exposure to New Words during Silent Reading. Cognition 2014, 133, 238–248. [Google Scholar] [CrossRef] [PubMed]
- Wang, A.; Pellicer-Sánchez, A. Incidental Vocabulary Learning From Bilingual Subtitled Viewing: An Eye-Tracking Study. Lang. Learn. 2022, 72, 765–805. [Google Scholar] [CrossRef]
- Montero Perez, M.; Peters, E.; Desmet, P. Enhancing Vocabulary Learning Through Captioned Video: An Eye-Tracking Study. Mod. Lang. J. 2015, 99, 308–328. [Google Scholar] [CrossRef]
- Cop, U.; Drieghe, D.; Duyck, W. Eye Movement Patterns in Natural Reading: A Comparison of Monolingual and Bilingual Reading of a Novel. PLoS ONE 2015, 10, e0134008. [Google Scholar] [CrossRef] [PubMed]
- Kuperman, V.; Siegelman, N.; Schroeder, S.; Acartürk, C.; Alexeeva, S.; Amenta, S.; Bertram, R.; Bonandrini, R.; Brysbaert, M.; Chernova, D.; et al. Text Reading in English as a Second Language: Evidence from the Multilingual Eye-Movements Corpus. Stud. Second Lang. Acquis. 2023, 45, 3–37. [Google Scholar] [CrossRef]
- Godfroid, A.; Boers, F.; Housen, A. An Eye For Words: Gauging the Role of Attention in Incidental L2 Vocabulary Acquisition by Means of Eye-Tracking. Stud. Second Lang. Acquis. 2013, 35, 483–517. [Google Scholar] [CrossRef]
- Yi, W.; DeKeyser, R. Incidental Learning of Semantically Transparent and Opaque Chinese Compounds from Reading: An Eye-Tracking Approach. System 2022, 107, 102825. [Google Scholar] [CrossRef]
- Hyönä, J.; Lorch, R.F.; Kaakinen, J.K. Individual Differences in Reading to Summarize Expository Text: Evidence from Eye Fixation Patterns. J. Educ. Psychol. 2002, 94, 44–55. [Google Scholar] [CrossRef]
- Wang, A.; Pellicer-Sánchez, A. Combining Eye-Tracking and Verbal Reports in Vocabulary Research: Benefits and Challenges. Res. Methods Appl. Linguist. 2023, 2, 100063. [Google Scholar] [CrossRef]
- Najemnik, J.; Geisler, W.S. Optimal Eye Movement Strategies in Visual Search. Nature 2005, 434, 387–391. [Google Scholar] [CrossRef]
- van Meeuwen, L.W.; Jarodzka, H.; Brand-Gruwel, S.; Kirschner, P.A.; de Bock, J.J.P.R.; van Merriënboer, J.J.G. Identification of Effective Visual Problem Solving Strategies in a Complex Visual Domain. Learn. Instr. 2014, 32, 10–21. [Google Scholar] [CrossRef]
- Blinnikova, I.; Izmalkova, A. Eye Movement Evidence of Cognitive Strategies in SL Vocabulary Learning. In Proceedings of the Intelligent Decision Technologies 2016; Czarnowski, I., Caballero, A.M., Howlett, R.J., Jain, L.C., Eds.; Springer International Publishing: Cham, Switzerland, 2016; pp. 311–322. [Google Scholar]
- Bisson, M.-J.; Van Heuven, W.J.B.; Conklin, K.; Tunney, R.J. The Role of Verbal and Pictorial Information in Multimodal Incidental Acquisition of Foreign Language Vocabulary. Q. J. Exp. Psychol. 2015, 68, 1306–1326. [Google Scholar] [CrossRef]
- Jarodzka, H.; Holmqvist, K.; Gruber, H. Eye Tracking in Educational Science: Theoretical Frameworks and Research Agendas. J. Eye Mov. Res. 2017, 10. [Google Scholar] [CrossRef] [PubMed]
- Xie, H.; Zhao, T.; Deng, S.; Peng, J.; Wang, F.; Zhou, Z. Using Eye Movement Modelling Examples to Guide Visual Attention and Foster Cognitive Performance: A Meta-analysis. Comput. Assist. Learn. 2021, 37, 1194–1206. [Google Scholar] [CrossRef]
- Strukelj, A.; Niehorster, D.C. One Page of Text: Eye Movements during Regular and Thorough Reading, Skimming, and Spell Checking. J. Eye Mov. Res. 2018, 11. [Google Scholar] [CrossRef]
- Chaffin, R.; Morris, R.K.; Seely, R.E. Learning New Word Meanings from Context: A Study of Eye Movements. J. Exp. Psychol. Learn. Mem. Cogn. 2001, 27, 225–235. [Google Scholar] [CrossRef] [PubMed]
- Whitford, V.; Titone, D. Second-Language Experience Modulates First- and Second-Language Word Frequency Effects: Evidence from Eye Movement Measures of Natural Paragraph Reading. Psychon. Bull. Rev. 2012, 19, 73–80. [Google Scholar] [CrossRef]
- Yan, M.; Pan, J. Joint Effects of Individual Reading Skills and Word Properties on Chinese Children’s Eye Movements during Sentence Reading. Sci. Rep. 2023, 13, 14754. [Google Scholar] [CrossRef]
- Wang, C.; Yang, J. Revisiting the Explicit Learning of Vocabulary of Chinese EFL Learners. Engl. Lang. Teach. 2020, 13, 86. [Google Scholar] [CrossRef][Green Version]
- Nassaji, H. The Role and Importance of Lower-Level Processes in Second Language Reading. Lang. Teach. 2014, 47, 1–37. [Google Scholar] [CrossRef]
Disclaimer/Publisher’s Note: The statements, opinions and data contained in all publications are solely those of the individual author(s) and contributor(s) and not of MDPI and/or the editor(s). MDPI and/or the editor(s) disclaim responsibility for any injury to people or property resulting from any ideas, methods, instructions or products referred to in the content. |
© 2024 by the authors. Licensee MDPI, Basel, Switzerland. This article is an open access article distributed under the terms and conditions of the Creative Commons Attribution (CC BY) license (https://creativecommons.org/licenses/by/4.0/).
