Cognitive Strategies of Second Language Vocabulary Inferencing: An Eye Tracking Study
Abstract
1. Introduction
2. Materials and Methods
2.1. Participants
2.2. Measures
2.2.1. Vocabulary Inferencing Outcome
2.2.2. Cognitive Strategies of Vocabulary Inferencing
2.2.3. Eye Tracking Data
- AOI word dwell time (the total amount of time spent on a target word AOI, normalized for pixel size)
- AOI word first fixation duration (the duration of the first fixation made on a target word AOI),
- AOI clause dwell time (the total amount of time spent on a particular target word clause AOI, normalized for pixel size)
- AOI clause mean fixation duration (the average length of the fixations made on a particular target word clause AOI)
2.3. Apparatus and Stimuli
2.4. Procedure
2.5. Data Analysis
3. Results
3.1. Eye Movements and Efficient Vocabulary Inferencing
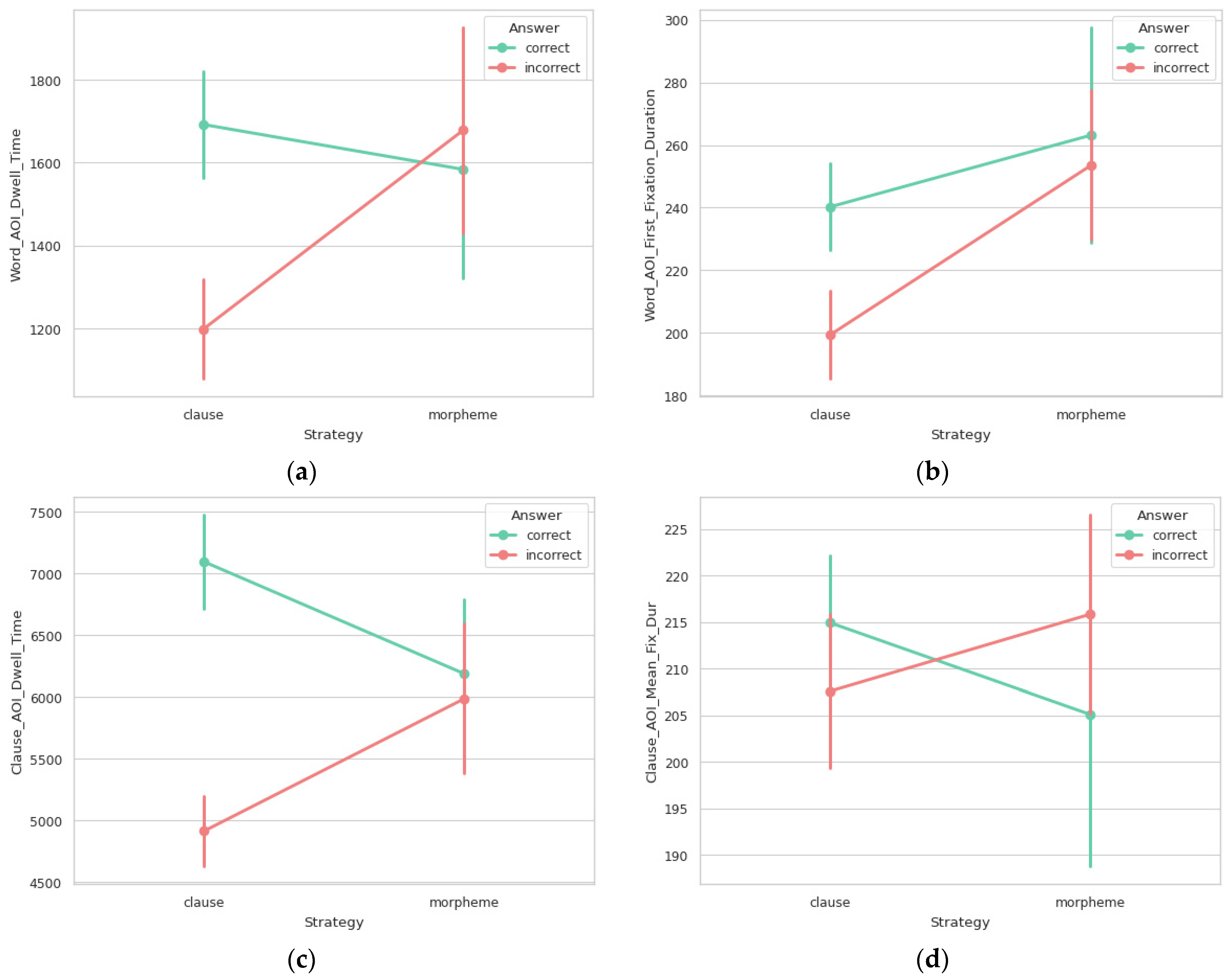
3.2. Eye Movements and Cognitive Strategies
3.3. The Mediating Role of Cognitive Strategies on Attention Distribution in Successful and Unsuccessful Vocabulary Inferencing
4. Discussion
5. Conclusions
Author Contributions
Funding
Institutional Review Board Statement
Informed Consent Statement
Data Availability Statement
Acknowledgments
Conflicts of Interest
Appendix A
References
- Elgort, I.; Brysbaert, M.; Stevens, M.; Van Assche, E. Contextual Word Learning during Reading in a Second Language: An Eye-Movement Study. Stud. Second Lang. Acquis. 2018, 40, 341–366. [Google Scholar] [CrossRef]
- Haastrup, K. Lexical Inferencing Procedures, Or, Talking about Words: Receptive Procedures in Foreign Language Learning with Special Reference to English; Gunter Narr Verlag: Tübingen, Germany, 1991; ISBN 978-3-87808-262-0. [Google Scholar]
- Godfroid, A.; Ahn, J.; Choi, I.; Ballard, L.; Cui, Y.; Johnston, S.; Lee, S.; Sarkar, A.; Yoon, H.-J. Incidental Vocabulary Learning in a Natural Reading Context: An Eye-Tracking Study. Bilingualism 2018, 21, 563–584. [Google Scholar] [CrossRef]
- Bertram, R.; Hyönä, J. The Importance of Eye Movement Research for Gaining Insight into Morphological Processing. In Linguistic Morphology in the Mind and Brain; Routledge: London, UK, 2023; pp. 121–136. ISBN 978-1-00-315975-9. [Google Scholar]
- Luke, S.G.; Christianson, K. Predicting Inflectional Morphology from Context. Lang. Cogn. Neurosci. 2015, 30, 735–748. [Google Scholar] [CrossRef]
- Pellicer-Sánchez, A. Incidental L2 Vocabulary Acquisition from and While Reading: An Eye-Tracking Study. Stud. Second Lang. Acquis. 2015, 38, 97–130. [Google Scholar] [CrossRef]
- Webb, S. The Effects of Context on Incidental Vocabulary Learning. Read. A Foreign Lang. 2008, 20, 232–245. [Google Scholar]
- Nassaji, H. L2 Vocabulary Learning from Context: Strategies, Knowledge Sources, and Their Relationship with Success in L2 Lexical Inferencing. Tesol Q. 2003, 37, 645. [Google Scholar] [CrossRef]
- Elgort, I.; Warren, P. L2 Vocabulary Learning from Reading: Explicit and Tacit Lexical Knowledge and the Role of Learner and Item Variables. Lang. Learn. 2014, 64, 365–414. [Google Scholar] [CrossRef]
- Uchihara, T.; Webb, S.; Yanagisawa, A. The Effects of Repetition on Incidental Vocabulary Learning: A Meta-Analysis of Correlational Studies. Lang. Learn. 2019, 69, 559–599. [Google Scholar] [CrossRef]
- Bengeleil, N.; Paribakht, T. L2 Reading Proficiency and Lexical Inferencing by University EFL Learners. Can. Mod. Lang. Rev. 2004, 61, 225–250. [Google Scholar] [CrossRef]
- Liu, P.-L. Using Eye Tracking to Understand the Responses of Learners to Vocabulary Learning Strategy Instruction and Use. Comput. Assist. Lang. Learn. 2014, 27, 330–343. [Google Scholar] [CrossRef]
- Wu, X.; Anderson, R.C.; Li, W.; Wu, X.; Li, H.; Zhang, J.; Zheng, Q.; Zhu, J.; Shu, H.; Jiang, W.; et al. Morphological Awareness and Chinese Children’s Literacy Development: An Intervention Study. Sci. Stud. Read. 2009, 13, 26–52. [Google Scholar] [CrossRef]
- Bowers, P.N.; Kirby, J.R. Effects of Morphological Instruction on Vocabulary Acquisition. Read. Writ. 2010, 23, 515–537. [Google Scholar] [CrossRef]
- Deacon, S.H.; Kirby, J.R. Morphological Awareness: Just “More Phonological”? The Roles of Morphological and Phonological Awareness in Reading Development. Appl. Psycholinguist. 2004, 25, 223–238. [Google Scholar] [CrossRef]
- Sternberg, R.J. Meta-Intelligence: Understanding, Control, and Coordination of Higher Cognitive Processes. In Intelligence—Theories and Applications; Holm-Hadulla, R.M., Funke, J., Wink, M., Eds.; Springer International Publishing: Cham, Switzerland, 2022; pp. 339–349. ISBN 978-3-031-04198-3. [Google Scholar]
- Wen, M.F.; Sparks, R.L.; Biedroń, A. Cognitive Individual Differences in Second Language Acquisition: Theories, Assessment and Pedagogy; De Gruyter: Berlin, Germany, 2023; ISBN 978-1-61451-474-9. [Google Scholar]
- Pressley, M.; Borkowski, J.G.; Schneider, W. Cognitive Strategies: Good Strategy Users Coordinate Metacognition and Knowledge. Ann. Child Dev. 1987, 4, 89–129. [Google Scholar]
- Nassaji, H. The Relationship Between Depth of Vocabulary Knowledge and L2 Learners’ Lexical Inferencing Strategy Use and Success. Mod. Lang. J. 2006, 90, 387–401. [Google Scholar] [CrossRef]
- Israel, S.E.; Block, C.C.; Bauserman, K.L.; Kinnucan-Welsch, K. Metacognition in Literacy Learning: Theory, Assessment, Instruction, and Professional Development; Routledge: London, UK, 2006; ISBN 978-1-135-60629-9. [Google Scholar]
- Pawlak, M. Investigating Language Learning Strategies: Prospects, Pitfalls and Challenges. Lang. Teach. Res. 2021, 25, 817–835. [Google Scholar] [CrossRef]
- Conklin, K.; Pellicer-Sánchez, A. Using Eye-Tracking in Applied Linguistics and Second Language Research. Second Lang. Res. 2016, 32, 453–467. [Google Scholar] [CrossRef]
- Rayner, K. Eye Movements in Reading: Models and Data. J. Eye Mov. Res. 2009, 2, 1–10. [Google Scholar] [CrossRef] [PubMed]
- Richter, E.M.; Engbert, R.; Kliegl, R. Current Advances in SWIFT. Cogn. Syst. Res. 2006, 7, 23–33. [Google Scholar] [CrossRef]
- Laurinavichyute, A.K.; Sekerina, I.A.; Alexeeva, S.; Bagdasaryan, K.; Kliegl, R. Russian Sentence Corpus: Benchmark Measures of Eye Movements in Reading in Russian. Behav. Res. 2019, 51, 1161–1178. [Google Scholar] [CrossRef]
- Lowell, R.; Morris, R.K. Word Length Effects on Novel Words: Evidence from Eye Movements. Atten. Percept. Psychophys. 2014, 76, 179–189. [Google Scholar] [CrossRef] [PubMed]
- Joseph, H.S.S.L.; Wonnacott, E.; Forbes, P.; Nation, K. Becoming a Written Word: Eye Movements Reveal Order of Acquisition Effects Following Incidental Exposure to New Words during Silent Reading. Cognition 2014, 133, 238–248. [Google Scholar] [CrossRef] [PubMed]
- Wang, A.; Pellicer-Sánchez, A. Incidental Vocabulary Learning From Bilingual Subtitled Viewing: An Eye-Tracking Study. Lang. Learn. 2022, 72, 765–805. [Google Scholar] [CrossRef]
- Montero Perez, M.; Peters, E.; Desmet, P. Enhancing Vocabulary Learning Through Captioned Video: An Eye-Tracking Study. Mod. Lang. J. 2015, 99, 308–328. [Google Scholar] [CrossRef]
- Cop, U.; Drieghe, D.; Duyck, W. Eye Movement Patterns in Natural Reading: A Comparison of Monolingual and Bilingual Reading of a Novel. PLoS ONE 2015, 10, e0134008. [Google Scholar] [CrossRef] [PubMed]
- Kuperman, V.; Siegelman, N.; Schroeder, S.; Acartürk, C.; Alexeeva, S.; Amenta, S.; Bertram, R.; Bonandrini, R.; Brysbaert, M.; Chernova, D.; et al. Text Reading in English as a Second Language: Evidence from the Multilingual Eye-Movements Corpus. Stud. Second Lang. Acquis. 2023, 45, 3–37. [Google Scholar] [CrossRef]
- Godfroid, A.; Boers, F.; Housen, A. An Eye For Words: Gauging the Role of Attention in Incidental L2 Vocabulary Acquisition by Means of Eye-Tracking. Stud. Second Lang. Acquis. 2013, 35, 483–517. [Google Scholar] [CrossRef]
- Yi, W.; DeKeyser, R. Incidental Learning of Semantically Transparent and Opaque Chinese Compounds from Reading: An Eye-Tracking Approach. System 2022, 107, 102825. [Google Scholar] [CrossRef]
- Hyönä, J.; Lorch, R.F.; Kaakinen, J.K. Individual Differences in Reading to Summarize Expository Text: Evidence from Eye Fixation Patterns. J. Educ. Psychol. 2002, 94, 44–55. [Google Scholar] [CrossRef]
- Wang, A.; Pellicer-Sánchez, A. Combining Eye-Tracking and Verbal Reports in Vocabulary Research: Benefits and Challenges. Res. Methods Appl. Linguist. 2023, 2, 100063. [Google Scholar] [CrossRef]
- Najemnik, J.; Geisler, W.S. Optimal Eye Movement Strategies in Visual Search. Nature 2005, 434, 387–391. [Google Scholar] [CrossRef]
- van Meeuwen, L.W.; Jarodzka, H.; Brand-Gruwel, S.; Kirschner, P.A.; de Bock, J.J.P.R.; van Merriënboer, J.J.G. Identification of Effective Visual Problem Solving Strategies in a Complex Visual Domain. Learn. Instr. 2014, 32, 10–21. [Google Scholar] [CrossRef]
- Blinnikova, I.; Izmalkova, A. Eye Movement Evidence of Cognitive Strategies in SL Vocabulary Learning. In Proceedings of the Intelligent Decision Technologies 2016; Czarnowski, I., Caballero, A.M., Howlett, R.J., Jain, L.C., Eds.; Springer International Publishing: Cham, Switzerland, 2016; pp. 311–322. [Google Scholar]
- Bisson, M.-J.; Van Heuven, W.J.B.; Conklin, K.; Tunney, R.J. The Role of Verbal and Pictorial Information in Multimodal Incidental Acquisition of Foreign Language Vocabulary. Q. J. Exp. Psychol. 2015, 68, 1306–1326. [Google Scholar] [CrossRef]
- Jarodzka, H.; Holmqvist, K.; Gruber, H. Eye Tracking in Educational Science: Theoretical Frameworks and Research Agendas. J. Eye Mov. Res. 2017, 10. [Google Scholar] [CrossRef] [PubMed]
- Xie, H.; Zhao, T.; Deng, S.; Peng, J.; Wang, F.; Zhou, Z. Using Eye Movement Modelling Examples to Guide Visual Attention and Foster Cognitive Performance: A Meta-analysis. Comput. Assist. Learn. 2021, 37, 1194–1206. [Google Scholar] [CrossRef]
- Strukelj, A.; Niehorster, D.C. One Page of Text: Eye Movements during Regular and Thorough Reading, Skimming, and Spell Checking. J. Eye Mov. Res. 2018, 11. [Google Scholar] [CrossRef]
- Chaffin, R.; Morris, R.K.; Seely, R.E. Learning New Word Meanings from Context: A Study of Eye Movements. J. Exp. Psychol. Learn. Mem. Cogn. 2001, 27, 225–235. [Google Scholar] [CrossRef] [PubMed]
- Whitford, V.; Titone, D. Second-Language Experience Modulates First- and Second-Language Word Frequency Effects: Evidence from Eye Movement Measures of Natural Paragraph Reading. Psychon. Bull. Rev. 2012, 19, 73–80. [Google Scholar] [CrossRef]
- Yan, M.; Pan, J. Joint Effects of Individual Reading Skills and Word Properties on Chinese Children’s Eye Movements during Sentence Reading. Sci. Rep. 2023, 13, 14754. [Google Scholar] [CrossRef]
- Wang, C.; Yang, J. Revisiting the Explicit Learning of Vocabulary of Chinese EFL Learners. Engl. Lang. Teach. 2020, 13, 86. [Google Scholar] [CrossRef][Green Version]
- Nassaji, H. The Role and Importance of Lower-Level Processes in Second Language Reading. Lang. Teach. 2014, 47, 1–37. [Google Scholar] [CrossRef]

| Strategy | Description | Examples | N Correct Answers | N Incorrect Answers |
|---|---|---|---|---|
| Word-level analysis | Recognizing familiar morphemes (both from L1 and L2) | «“waver” has something to do with “wave”»; «“squalor”—looks like “cкapлaтинa” (Rus for “canker rash”)»; «”sewage” could be something than was sewn, maybe they sewed the wounds» | 22 | 30 |
| Clause-level analysis | Eliciting the meaning mostly by the clause (or the whole sentence) information | «I re-read the sentence and realized that “waver” should be a verb: “our beliefs waver…”, so something is supposed to happen to our beliefs»; «“sewage” must be something disgusting, as there was smell of sewage, and it was unpleasant»; «“squalor” was about bad conditions, maybe it is extensive heat» | 70 | 61 |
| Discourse-level analysis | Guessing the meaning from the general discourse | «“squalor” must be something disease-related, as the text is about the diseases»; «“sewage” is about bad environment»; «”affluence” is something about medical treatment» | 2 | 22 |
| No report | Subjects failed to reflect on the use of particular strategy or failed to attribute it to the strategies above | 8 | 85 |
| Correct Translation | Incorrect Translation | Mann–Whitney Non-Parametric U-Test | ||||
|---|---|---|---|---|---|---|
| Median | IQR 1 | Median | IQR | statistics | p-value | |
| AOI word dwell time (ms) | 1317 | 1521 | 954 | 1157 | 11,923 | <0.01 |
| AOI word first fixation duration (ms) | 218 | 149 | 189 | 143 | 11,589 | <0.05 |
| AOI clause dwell time (ms) | 6481 | 4744 | 4823 | 3324 | 12,836 | <0.01 |
| AOI clause mean fixation duration (ms) | 204 | 87 | 201 | 82 | 11,055 | =0.18 |
| Word-Level Analysis | Clause-Level Analysis | Mann–Whitney Non-Parametric U-Test | ||||
|---|---|---|---|---|---|---|
| Median | IQR | Median | IQR | statistics | p-value | |
| AOI word dwell time (ms) | 1180 | 1538 | 1153 | 1453 | 3612 | =0.52 |
| AOI word first fixation duration (ms) | 243 | 188 | 208 | 144 | 3867 | =0.15 |
| AOI clause dwell time (ms) | 5366 | 3466 | 5728 | 4214 | 3346 | =0.85 |
| AOI clause mean fixation duration (ms) | 218 | 90 | 211 | 82 | 3412 | =0.98 |
| F(3,182) | p-Value | |
|---|---|---|
| AOI word dwell time (ms) | 2.6 | =0.11 |
| AOI word first fixation duration (ms) | 0.2 | =0.65 |
| AOI clause dwell time (ms) | 4.32 | <0.05 |
| AOI clause mean fixation duration (ms) | 0.74 | =0.39 |
Disclaimer/Publisher’s Note: The statements, opinions and data contained in all publications are solely those of the individual author(s) and contributor(s) and not of MDPI and/or the editor(s). MDPI and/or the editor(s) disclaim responsibility for any injury to people or property resulting from any ideas, methods, instructions or products referred to in the content. |
© 2024 by the authors. Licensee MDPI, Basel, Switzerland. This article is an open access article distributed under the terms and conditions of the Creative Commons Attribution (CC BY) license (https://creativecommons.org/licenses/by/4.0/).
Share and Cite
Izmalkova, A.; Blinnikova, I. Cognitive Strategies of Second Language Vocabulary Inferencing: An Eye Tracking Study. Educ. Sci. 2024, 14, 490. https://doi.org/10.3390/educsci14050490
Izmalkova A, Blinnikova I. Cognitive Strategies of Second Language Vocabulary Inferencing: An Eye Tracking Study. Education Sciences. 2024; 14(5):490. https://doi.org/10.3390/educsci14050490
Chicago/Turabian StyleIzmalkova, Anna, and Irina Blinnikova. 2024. "Cognitive Strategies of Second Language Vocabulary Inferencing: An Eye Tracking Study" Education Sciences 14, no. 5: 490. https://doi.org/10.3390/educsci14050490
APA StyleIzmalkova, A., & Blinnikova, I. (2024). Cognitive Strategies of Second Language Vocabulary Inferencing: An Eye Tracking Study. Education Sciences, 14(5), 490. https://doi.org/10.3390/educsci14050490

