Determinants of Product Innovation Performance in Aviation Industry in Saudi Arabia
Abstract
:1. Introduction
2. Literature Review
2.1. Product Innovation Performance
2.2. Manufacturing Marketing Coordination (MMC)
2.3. Market Intelligence Quality (MIQ)
2.4. Supply Chain Intelligence Quality (SCIQ)
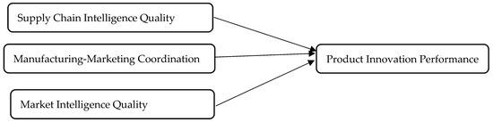
3. Research Framework
4. Research Methodology
4.1. Measurement of Variables
4.2. Data Collection and Techniques for Data Analysis
5. Findings
5.1. Demographic Profile of Respondent
5.2. Measurement Model
5.3. Structural Model
6. Discussion
7. Implications of the Study
8. Conclusions
Limitations and Opportunities for Further Research
Author Contributions
Funding
Informed Consent Statement
Data Availability Statement
Conflicts of Interest
Appendix A. Measurement of the Constructs
| Factors | Items | Resource |
| (MIQ) | Our marketing/sale contacts successfully facilitated following market intelligence activities because it provided valid estimates of the market. | (Maltz and Kohli 1996) |
| Our marketing/sale contacts successfully facilitated following market intelligence activities because it provided accurate information. | ||
| Communicated important details about customer needs because it provided the data necessary to estimate the size of the market for our product. | ||
| Communicated important details about customer needs because it presented their ideas clearly. | ||
| Communicated important details about customer needs because it presented their ideas in a timely manner. | ||
| Communicated important details about customer needs because it provided real-time updates of changes in the market. | ||
| Communicated important details about customer needs because it provided novel information with regard to the customers and the market. | ||
| Communicated important details about customer needs because it gave information that was new and interesting to the customer and the market. | ||
| MMC | We had processes to ensure that our manufacturing plans/solutions were marketing-aligned. | (Bendoly et al. 2012). |
| We had processes to ensure that marketing input was used in developing manufacturing plans and solutions. | ||
| We had processes to ensure that our marketing plans/solutions were manufacturing-aligned. | ||
| We had processes to ensure that manufacturing input was used in developing manufacturing plans and solutions. | ||
| Employees engaged in marketing understood the importance of manufacturing to our business. | ||
| Employees engaged in manufacturing understood the importance of manufacturing to our firm. | ||
| SIQ | Our supply chain partners successfully facilitate following intelligence activities provided valid estimates of the market. | (Maltz and Kohli 1996) |
| Our supply chain partners successfully facilitate following intelligence activities provided accurate information. | ||
| Our supply chain partners successfully facilitate following intelligence activities communicated important details about customer needs. | ||
| Our supply chain partners successfully facilitate following intelligence activities provided the data necessary to estimate the size of the market for our product. | ||
| Our supply chain partners successfully facilitate following intelligence activities presented their ideas clearly. | ||
| Our supply chain partners successfully facilitate following intelligence activities presented their ideas in a timely manner. | ||
| Our supply chain partners successfully facilitate following intelligence activities provided real-time updates of changes in the market. | ||
| Our supply chain partners successfully facilitate following intelligence activities provided novel information with regard to the customers and the market. | ||
| Our supply chain partners successfully facilitate following intelligence activities gave information that was new and interesting with regard to the customer and the market. | ||
| PIP | Our latest innovative product release was successful in achieving the sales target. | (Bendoly et al. 2012; Talke and Colarelli O’Connor 2011) |
| Our latest innovative product release was successful in achieving market share target. | ||
| Our latest innovative product release was successful in achieving competitive advantage target. | ||
| Our latest innovative product release was successful in achieving customer satisfaction target. | ||
| Our latest innovative product addresses a wholly new customer benefit. | ||
| Our latest innovative product requires strong attitude and behavior changes of customers. | ||
| Our latest innovative product offers customers unique advantages over competitor products. | ||
| Our latest innovative product requires strong learning effort on the part of customers. | ||
| Our latest innovative product introduces completely new features to the market. |
References
- Ahmadi, Javad, and T. Letter. 2021. The impact of IT capability on company performance: The mediating role of business process management capability and supply chain integration capability. Journal of Social, Management Tourism Letter 2021: 1–16. [Google Scholar]
- Al-Weshah, Ghazi A. 2017. Marketing intelligence and customer relationships: Empirical evidence from Jordanian banks. Journal of Marketing Analytics 5: 141–52. [Google Scholar] [CrossRef]
- Al-Zyadat, Akif Yousef, and Ayed Al-Zyadat. 2018. Examining New Product Financial Performance Through Marketing Intelligence Quality, Customer Interaction Capabilities and Customer-Centric Commitment on Jordan¡¯ s Micro Retail Fashions. International Journal of Marketing Studies 10: 95–108. [Google Scholar] [CrossRef]
- Asiri, Munaya A., and Gbadebo Odularu. 2020. Trade Facilitation and Logistics Performance in Saudi Arabia: Lessons and Policy Directions for Nigeria in the Digital Age. In Strategic Policy Options for Bracing Nigeria for the Future of Trade. Berlin/Heidelberg: Springer, pp. 39–63. [Google Scholar]
- Bendoly, Elliot, Anandhi Bharadwaj, and Sundar Bharadwaj. 2012. Complementary drivers of new product development performance: Cross-functional coordination, information system capability, and intelligence quality. Production Operations Management 21: 653–67. [Google Scholar] [CrossRef]
- Bodas Freitas, Isabel Maria, and Roberto Fontana. 2018. Formalized Problem-Solving Practices and the Effects of Collaboration with Suppliers on a Firm’s Product Innovation Performance. Journal of Product Innovation Management 35: 565–87. [Google Scholar] [CrossRef]
- Buciuni, Giulio, and Gary Pisano. 2021. Variety of Innovation in Global Value Chains. Journal of World Business 56: 101167. [Google Scholar] [CrossRef]
- Chang, Ching-Hsun. 2018. How to enhance green service and green product innovation performance? The roles of inward and outward capabilities. Corporate Social Responsibility Environmental Management 25: 411–25. [Google Scholar] [CrossRef]
- Chen, Xiaohong, Na Yi, Lu Zhang, and Dayuan Li. 2018. Does institutional pressure foster corporate green innovation? Evidence from China’s top 100 companies. Journal of Cleaner Production 188: 304–11. [Google Scholar] [CrossRef]
- Cooper, Robert G. 2019. The drivers of success in new-product development. Industrial Marketing Management 76: 36–47. [Google Scholar] [CrossRef]
- De Luca, Luigi M., and Kwaku Atuahene-Gima. 2007. Market knowledge dimensions and cross-functional collaboration: Examining the different routes to product innovation performance. Journal of Marketing 71: 95–112. [Google Scholar] [CrossRef]
- Falahat, Mohammad, T. Ramayah, Pedro Soto-Acosta, and Yan-Yin Lee. 2020. SMEs internationalization: The role of product innovation, market intelligence, pricing and marketing communication capabilities as drivers of SMEs’ international performance. Technological Forecasting and Social Change 152: 119908. [Google Scholar] [CrossRef]
- Fornell, Claes, and David F. Larcker. 1981. Evaluating structural equation models with unobservable variables and measurement error. Journal of Marketing Research 18: 39–50. [Google Scholar] [CrossRef]
- GACA (General Authority of Civil Aviation of Saudi Arabia). 2021. Saudi Arabia—Transport and Logistics—Aviation. Available online: https://legacy.export.gov/article?id=Saudi-Arabia-Transport-and-logistics (accessed on 1 September 2022).
- Gautam, Aditya, Surya Prakash, and Umang Soni. 2018. Supply chain risk management and quality: A case study and analysis of Indian automotive industry. International Journal of Intelligent Enterprise 5: 194–212. [Google Scholar] [CrossRef]
- Ghadge, Abhijeet, Merve Er Kara, Hamid Moradlou, and Mohit Goswami. 2020. The impact of Industry 4.0 implementation on supply chains. Journal of Manufacturing Technology Management 31: 669–86. [Google Scholar] [CrossRef]
- Hair, Joseph F., G. Tomas M. Hult, Christian Ringle, and Marko Sarstedt. 2014. A Primer on Partial Least Squares Structural Equation Modeling (PLS-SEM). Los Angeles: SAGE Publications, Incorporated. [Google Scholar]
- Henseler, Jörg, and Georg Fassott. 2010. Testing Moderating Effects in PLS Path Models: An Illustration of Available Procedures. In Handbook of Partial Least Squares: Concepts, Methods and Applications. Edited by Vincenzo Esposito Vinzi, Wynne W. Chin, Jörg Henseler and Huiwen Wang. Berlin/Heidelberg: Springer, pp. 713–35. [Google Scholar]
- Henseler, Jörg, and Wynne W. Chin. 2010. A Comparison of Approaches for the Analysis of Interaction Effects Between Latent Variables Using Partial Least Squares Path Modeling. Structural Equation Modeling: A Multidisciplinary Journal 17: 82–109. [Google Scholar] [CrossRef]
- Henseler, Jörg, Christian M. Ringle, and Rudolf R. Sinkovics. 2009. The use of partial least squares path modeling in international marketing. Advances in International Marketing 20: 277–319. [Google Scholar]
- Hole, Yogesh, Snehal Pawar, and Mahesh P. Bhaskar. 2018. Service marketing and quality strategies. Periodicals of Engineering Natural Sciences 6: 182–96. [Google Scholar] [CrossRef]
- Hou, Yumei, Fangfang Wei, Susan X. Li, Zhimin Huang, and Allan Ashley. 2017. Coordination and performance analysis for a three-echelon supply chain with a revenue sharing contract. International Journal of Production Research 55: 202–27. [Google Scholar] [CrossRef]
- Katiyar, Rajesh, Purushottam L. Meena, Mukesh Kumar Barua, Rajen Tibrewala, and Gopal Kumar. 2018. Impact of sustainability and manufacturing practices on supply chain performance: Findings from an emerging economy. International Journal of Production Economics 197: 303–16. [Google Scholar] [CrossRef]
- Katsikea, Evangelia, Marios Theodosiou, and Katerina Makri. 2019. The interplay between market intelligence activities and sales strategy as drivers of performance in foreign markets. European Journal of Marketing 53: 2080–108. [Google Scholar] [CrossRef]
- Köhler, Christian, Wolfgang Sofka, and Christoph Grimpe. 2012. Selective search, sectoral patterns, and the impact on product innovation performance. Research Policy 41: 1344–56. [Google Scholar] [CrossRef]
- Kumar, Vishnoi Sushant, and Teena Bagga. 2020. Marketing Intelligence: Antecedents and Consequences. Paper Presented at the International Conference on Innovative Computing & Communications (ICICC), Delhi, India, March 28; New Delhi: Elsevier. [Google Scholar] [CrossRef]
- Kurien, Georgy P., Muhammad N. Qureshi, and Social Sciences. 2011. Study of performance measurement practices in supply chain management. International Journal of Business, Management 2: 19–34. [Google Scholar]
- Li, Siyu, Kedi Wang, Baofeng Huo, Xiande Zhao, and Xiling Cui. 2022. The impact of cross-functional coordination on customer coordination and operational performance: An information processing view. Industrial Management & Data Systems 122: 167–93. [Google Scholar] [CrossRef]
- Liu, Weiping, and Kwaku Atuahene-Gima. 2018. Enhancing product innovation performance in a dysfunctional competitive environment: The roles of competitive strategies and market-based assets. Industrial Marketing Management 73: 7–20. [Google Scholar] [CrossRef]
- Löfsten, Hans. 2014. Product innovation processes and the trade-off between product innovation performance and business performance. European Journal of Innovation Management 17: 61–84. [Google Scholar] [CrossRef]
- Maltz, Elliot, and Ajay K. Kohli. 1996. Market Intelligence Dissemination across Functional Boundaries. Journal of Marketing Research 33: 47–61. [Google Scholar] [CrossRef]
- Mardani, Amirhosein, Saghi Nikoosokhan, Mahmoud Moradi, and Mohammad Doustar. 2018. The Relationship Between Knowledge Management and Innovation Performance. The Journal of High Technology Management Research 29: 12–26. [Google Scholar] [CrossRef]
- Maria, Siti, Tommy Pusriadi, and Dio Caisar Darma. 2020. Marketing intelligence: Benefits and implementation of its business. Problems of Management in the 21st Century 15: 92–99. [Google Scholar] [CrossRef]
- Maskey, Reenu, Jiangang Fei, and Hong-Oanh Nguyen. 2020. Critical factors affecting information sharing in supply chains. Production Planning & Control 31: 557–74. [Google Scholar] [CrossRef]
- Min, Soonhong, Zach G. Zacharia, and Carlo D. Smith. 2019. Defining supply chain management: In the past, present, and future. Journal of Business Logistics 40: 44–55. [Google Scholar] [CrossRef]
- Mostaghel, Rana, Pejvak Oghazi, Pankaj C. Patel, Vinit Parida, and Magnus Hultman. 2019. Marketing and supply chain coordination and intelligence quality: A product innovation performance perspective. Journal of Business Research 101: 597–606. [Google Scholar] [CrossRef]
- Munoz-Pascual, Lucia, and Jesus Galende. 2020. Ambidextrous knowledge and learning capability: The magic potion for employee creativity and sustainable innovation performance. Sustainability 12: 3966. [Google Scholar] [CrossRef]
- Patel, Pankaj C., and Cong Feng. 2021. LGBT workplace equality policy and customer satisfaction: The roles of marketing capability and demand instability. Journal of Public Policy Marketing Intelligence 40: 7–26. [Google Scholar] [CrossRef]
- Peñalba-Aguirrezabalaga, Carmela, Paavo Ritala, and Josune Sáenz. 2022. Putting marketing knowledge to use: Marketing-specific relational capital and product/service innovation performance. Journal of Business & Industrial Marketing 37: 209–24. [Google Scholar] [CrossRef]
- Pereira, Bruno Alencar, Gui Lohmann, and Luke Houghton. 2022. Technology trajectory in aviation: Innovations leading to value creation (2000–2019). International Journal of Innovation Studies 6: 128–41. [Google Scholar] [CrossRef]
- Puriwat, Wilert, and Danupol Hoonsopon. 2022. Cultivating product innovation performance through creativity: The impact of organizational agility and flexibility under technological turbulence. Journal of Manufacturing Technology Management 33: 741–62. [Google Scholar] [CrossRef]
- Rajapathirana, R. P. Jayani, and Yan Hui. 2018. Relationship between innovation capability, innovation type, and firm performance. Journal of Innovation & Knowledge 3: 44–55. [Google Scholar] [CrossRef]
- Salisu, Yakubu, and Lily Julienti Abu Bakar. 2018. Technological collaboration, technological capability and SMEs product innovation performance. International Journal of Management Research Reviews 8: 1–12. [Google Scholar]
- Seyedghorban, Zahra, Hossein Tahernejad, Royston Meriton, and Gary Graham. 2020. Supply chain digitalization: Past, present and future. Production Planning & Control 31: 96–114. [Google Scholar] [CrossRef]
- Sombultawee, Kedwadee, and Sakun Boon-itt. 2018. Marketing-operations alignment: A review of the literature and theoretical background. Operations Research Perspectives 5: 1–12. [Google Scholar] [CrossRef]
- Song, Wenhao, Guo-Zheng Wang, and Xifang Ma. 2020. Environmental innovation practices and green product innovation performance: A perspective from organizational climate. Sustainable Development 28: 224–34. [Google Scholar] [CrossRef]
- Talke, Katrin, and Gina Colarelli O’Connor. 2011. Conveying effective message content when launching new industrial products. Journal of Product Innovation Management 28: 943–56. [Google Scholar] [CrossRef]
- Toorajipour, Reza, Vahid Sohrabpour, Ali Nazarpour, Pejvak Oghazi, and Maria Fischl. 2021. Artificial intelligence in supply chain management: A systematic literature review. Journal of Business Research 122: 502–17. [Google Scholar] [CrossRef]
- Venesz, Béla, Tibor Dőry, and Agota Giedrė Raišienė. 2022. Characteristics of Lead Users in Different Stages of the New Product Development Process: A Systematic Review in the Context of Open Innovation. Journal of Open Innovation: Technology, Market, and Complexity 8: 24. [Google Scholar] [CrossRef]
- Yam, Richard C. M., and Cliff Chan. 2015. Knowledge sharing, commitment and opportunism in new product development. International Journal of Operations & Production Management 35: 1056–74. [Google Scholar] [CrossRef]
- Zhang, Jing, and Yanling Duan. 2010. The impact of different types of market orientation on product innovation performance: Evidence from Chinese manufacturers. Management Decision 48: 849–67. [Google Scholar] [CrossRef]
- Zhang, Junfeng, C. Anthony Di Benedetto, and Scott Hoenig. 2009. Product development strategy, product innovation performance, and the mediating role of knowledge utilization: Evidence from subsidiaries in China. Journal of International Marketing 17: 42–58. [Google Scholar] [CrossRef]



| Frequency | Percentage | |
|---|---|---|
| Gender | ||
| Male | 57 | 54.8 |
| Female | 47 | 45.2 |
| Age | ||
| 18–30 years | 36 | 34.6 |
| 31–45 years | 55 | 52.9 |
| 45–65 years | 13 | 12.5 |
| Education | ||
| Bachelor’s degree | 60 | 57.7 |
| Master’s degree | 34 | 32.7 |
| Others | 10 | 9.6 |
| Monthly Income | ||
| Below 5000 SR | 44 | 42.3 |
| 5000–10,000 SR | 40 | 38.5 |
| 11,000–20,000 SR | 14 | 13.5 |
| Above 20,000 SR | 6 | 5.7 |
| Management Level | ||
| Low management | 43 | 41.34 |
| Middle management | 50 | 48.07 |
| High management | 11 | 10.59 |
| Service Years in the Organization | ||
| 5–10 years | 45 | 43.27 |
| 10–15 years | 43 | 41.35 |
| 15–20 years | 16 | 15.38 |
| Constructs | Items | Loadings | AVE | CR | CA |
|---|---|---|---|---|---|
| Market Intelligence Quality | MIQ1 | 0.795 | 0.658 | 0.939 | 0.924 |
| MIQ2 | 0.701 | ||||
| MIQ3 | 0.747 | ||||
| MIQ4 | 0.853 | ||||
| MIQ5 | 0.846 | ||||
| MIQ6 | 0.755 | ||||
| MIQ7 | 0.920 | ||||
| MIQ8 | 0.851 | ||||
| Manufacturing–Marketing Coordination | MMC1 | 0.875 | 0.743 | 0.945 | 0.930 |
| MMC2 | 0.887 | ||||
| MMC3 | 0.846 | ||||
| MMC4 | 0.92 | ||||
| MMC5 | 0.837 | ||||
| MMC6 | 0.801 | ||||
| Product Innovation Performance | PIP1 | 0.920 | 0.797 | 0.972 | 0.968 |
| PIP2 | 0.878 | ||||
| PIP3 | 0.925 | ||||
| PIP4 | 0.868 | ||||
| PIP5 | 0.910 | ||||
| PIP6 | 0.944 | ||||
| PIP7 | 0.924 | ||||
| PIP8 | 0.812 | ||||
| PIP9 | 0.846 | ||||
| Supply Chain Intelligence Quality | SCIQ1 | 0.840 | 0.752 | 0.964 | 0.958 |
| SCIQ2 | 0.890 | ||||
| SCIQ3 | 0.873 | ||||
| SCIQ4 | 0.878 | ||||
| SCIQ5 | 0.863 | ||||
| SCIQ6 | 0.923 | ||||
| SCIQ7 | 0.864 | ||||
| SCIQ8 | 0.899 | ||||
| SCIQ9 | 0.764 |
| Factors | MMC | MIQ | PIP | SIQ |
|---|---|---|---|---|
| MMC | ||||
| MIQ | 0.982 | |||
| PIP | 0.885 | 0.848 | ||
| SCIQ | 0.939 | 0.864 | 0.867 |
| HyP | Paths | Beta | SE | T-Value | p-Value | Findings |
|---|---|---|---|---|---|---|
| H1 | MMC -> PIP | 0.244 | 0.150 | 1.624 | 0.104 | Rejected |
| H2 | MIQ -> PIP | 0.234 | 0.104 | 2.247 | 0.025 | Accepted |
| H3 | SCIQ -> PIP | 0.434 | 0.111 | 3.913 | 0.000 | Accepted |
Disclaimer/Publisher’s Note: The statements, opinions and data contained in all publications are solely those of the individual author(s) and contributor(s) and not of MDPI and/or the editor(s). MDPI and/or the editor(s) disclaim responsibility for any injury to people or property resulting from any ideas, methods, instructions or products referred to in the content. |
© 2023 by the authors. Licensee MDPI, Basel, Switzerland. This article is an open access article distributed under the terms and conditions of the Creative Commons Attribution (CC BY) license (https://creativecommons.org/licenses/by/4.0/).
Share and Cite
Alhamad, A.; Mabkhot, H. Determinants of Product Innovation Performance in Aviation Industry in Saudi Arabia. Economies 2023, 11, 57. https://doi.org/10.3390/economies11020057
Alhamad A, Mabkhot H. Determinants of Product Innovation Performance in Aviation Industry in Saudi Arabia. Economies. 2023; 11(2):57. https://doi.org/10.3390/economies11020057
Chicago/Turabian StyleAlhamad, Abdullah, and Hashed Mabkhot. 2023. "Determinants of Product Innovation Performance in Aviation Industry in Saudi Arabia" Economies 11, no. 2: 57. https://doi.org/10.3390/economies11020057
APA StyleAlhamad, A., & Mabkhot, H. (2023). Determinants of Product Innovation Performance in Aviation Industry in Saudi Arabia. Economies, 11(2), 57. https://doi.org/10.3390/economies11020057

