Abstract
This study examined how uncertainty and global risk affect financial markets in emerging economies, focusing on foreign investment, CDS spreads, exchange rates, and stock return volatility. Using over 8.6 million ticker transaction observations and structural vector autoregression (VAR) models, the research found that increases in Economic Policy Uncertainty (EPU) significantly reduce foreign net buys, more than global market volatility (VIX). While global volatility drives CDS spreads, these spreads influence exchange rates, causing currency depreciation. The findings highlight the interconnectedness of uncertainty, global risk, and market instability, offering insights for managing risks in opaque markets and improving financial stability.
1. Introduction
Uncertainty has long been a defining characteristic of financial markets, influencing decisions made by policymakers, institutional investors, and individual market participants. At its core, uncertainty refers to situations in which the probabilities of future events are either unknown or unknowable, making predictions and risk management exceedingly challenging (Maccheroni et al., 2013). While risk can often be quantified and mitigated through established statistical techniques, uncertainty represents a more profound informational void, arising from ambiguous signals, incomplete data, or structural inefficiencies within financial systems. This distinction between risk and uncertainty is not merely academic; it has implications for asset pricing, market efficiency, and investor behavior.
In emerging economies, the challenges posed by uncertainty are particularly acute. Unlike mature markets, which are characterized by robust regulatory frameworks, high levels of transparency, and deep liquidity, emerging markets often exhibit weak corporate governance, insufficient regulatory oversight, and limited access to reliable information (González et al., 2024; Morck et al., 2000). These factors contribute to heightened informational opacity, making it difficult for both domestic and international investors to accurately assess the risks associated with specific assets or markets. Consequently, uncertainty in these contexts amplifies the likelihood of mispricing, inefficient resource allocation, and episodes of extreme market volatility. A critical dimension of this issue is the role of international investors, who are often key players in emerging market economies. These investors, motivated by the prospect of higher returns, frequently engage in aggressive trading strategies during periods of heightened uncertainty, rapidly moving capital across borders in response to shifting risk perceptions (Múnera & Agudelo, 2022). Such behavior can exacerbate volatility, destabilize local financial systems, and create spillover effects that extend beyond national boundaries. Understanding how uncertainty shapes the behavior of international investors—and, in turn, the broader dynamics of emerging financial markets—is essential for developing effective policy responses and investment strategies.
This study aimed to address this gap by examining the dynamic relationships between uncertainty, global risk factors, and international investment flows in emerging stock markets. Specifically, it investigated how shifts in uncertainty, as measured by indices like the Economic Policy Uncertainty (EPU) index, influence foreign investors’ net buying behavior, market volatility, and the broader financial ecosystem. While previous research has extensively documented the role of uncertainty in asset pricing (Hansen & Sargent, 2010; Jiang et al., 2005; Morgan, 2002), this study advances the literature by integrating multiple dimensions of risk and uncertainty, including global market volatility (captured by the VIX index), credit default swap (CDS) spreads, and exchange rate fluctuations.
A central focus of this research was the phenomenon of price explosiveness—periods characterized by sudden and sharp increases in asset prices. Previous studies that have examined the relationship between foreign flows and emerging market prices (price pressure) using VAR models include Junior and Junior (2017) and Múnera and Agudelo (2022). Interestingly, the findings on this topic are mixed. Múnera and Agudelo (2022) presented evidence consistent with price pressure in emerging markets, whereas Ülkü (2015) found no evidence of price pressure driven by foreign flows in European emerging markets. These studies did not explicitly test for explosivity in stock prices but instead relied on returns from aggregate market indices, attributing the negative relationship between net foreign investor sales and market returns to price pressure. In contrast, I explicitly tested for episodes of price explosiveness at the individual stock level.
These episodes, often observed in opaque markets, are particularly susceptible to the influence of uncertainty and risk. While some scholars argue that heightened uncertainty reduces the likelihood of such episodes by dampening investor confidence (Mamman et al., 2024), others contend that uncertainty can fuel speculative bubbles, especially in contexts where traditional valuation metrics are less reliable (Enoksen et al., 2020). By analyzing the conditions under which uncertainty contributes to price explosiveness, this paper seeks to reconcile these conflicting perspectives and provide actionable insights for market participants.
The empirical analysis was based on a proprietary dataset of ticker transaction records, encompassing over 8.6 million observations from January 2008 to November 2016. This dataset included detailed information on daily buys and sells, which was aggregated to calculate monthly net buys by foreign investors. Additionally, the 21-day rolling return volatility was computed for individual stocks to capture time-varying market dynamics. Structural vector autoregression (VAR) models were employed to estimate the impact of uncertainty and risk on key financial indicators, while variance decomposition was used to disentangle the relative contributions of different shocks to observed market fluctuations.
The results of this analysis reveal several important findings. First, positive shifts in uncertainty, as measured by the EPU index, have a significant negative impact on foreign investors’ net buying activity. This effect is more pronounced than the influence of global market volatility, underscoring the dominant role of localized uncertainty in shaping investment flows. Second, global market volatility, while less impactful on investment behavior, plays a critical role in driving CDS spreads and exchange rate movements, highlighting the interconnectedness of financial risks. Finally, episodes of price explosiveness are strongly associated with both uncertainty and global risk, suggesting that these factors jointly contribute to extreme market outcomes.
This paper contributes to the existing literature on uncertainty and risk in stock markets in several ways. First, it offers a comprehensive analysis of the dynamic relationships between international investors’ activity and various measures of risk and uncertainty, extending beyond traditional assessments of stock market risk. Second, the identification of uncertainty’s significant impact on foreigners’ net buys underscores its dominant role over global market volatility, providing valuable insights for policymakers and investors addressing the interconnected dynamics of risk and uncertainty in financial markets. Third, the variance decomposition analysis highlights the relative importance of different shocks in driving stock market fluctuations, particularly the substantial impact of global market volatility on CDS spreads, which subsequently influence exchange rate movements and stock return volatility. Finally, by estimating the start and end dates of episodes of accelerating price growth, this research reveals how uncertainty and global risk emerge as primary factors affecting opaque stock prices.
2. Results
This section presents the main results from the VAR model analysis outlined in Section 3.2.1. The IRFs captured the short-run dynamic responses of the dependent variables to structural shocks. Figure 1 displays the orthogonalized responses of the aggregate foreigners’ net buys to positive shifts in the percent changes of the EPU index, using a 5-SVAR system. The significant impact on foreign activity was negative.
Figure 1.
Impulse response function for foreign activity. Note: Impulse response functions (IRFs) for the structural VAR system with five variables, following a shock to the percentage change in the EPU index, with a six-month horizon. The 90% confidence intervals are shown in red.
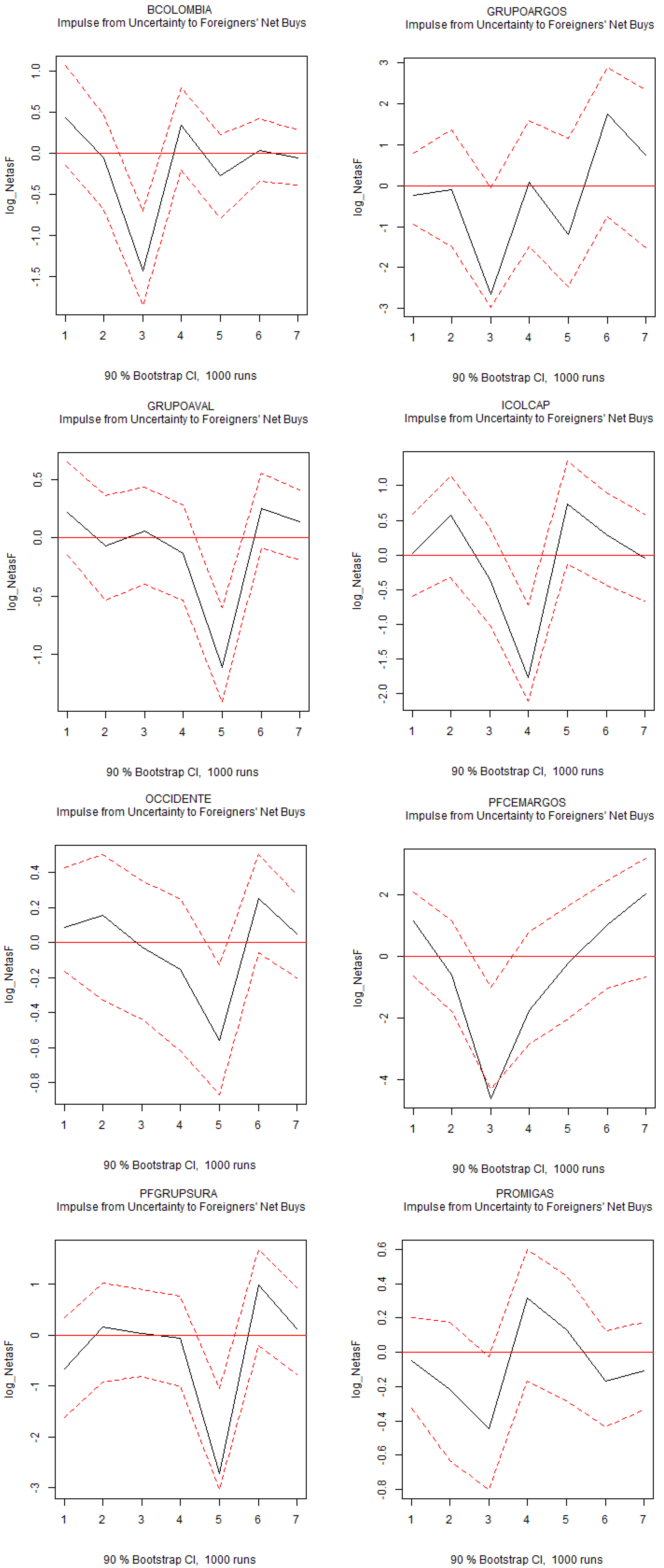
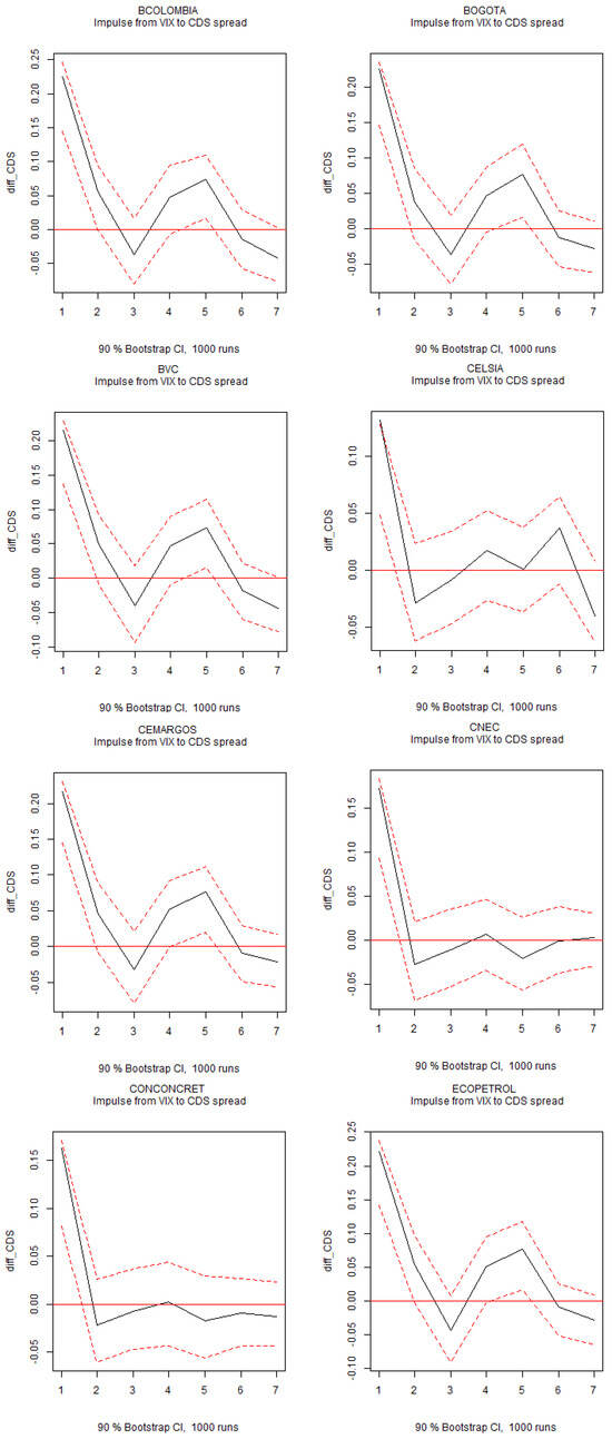
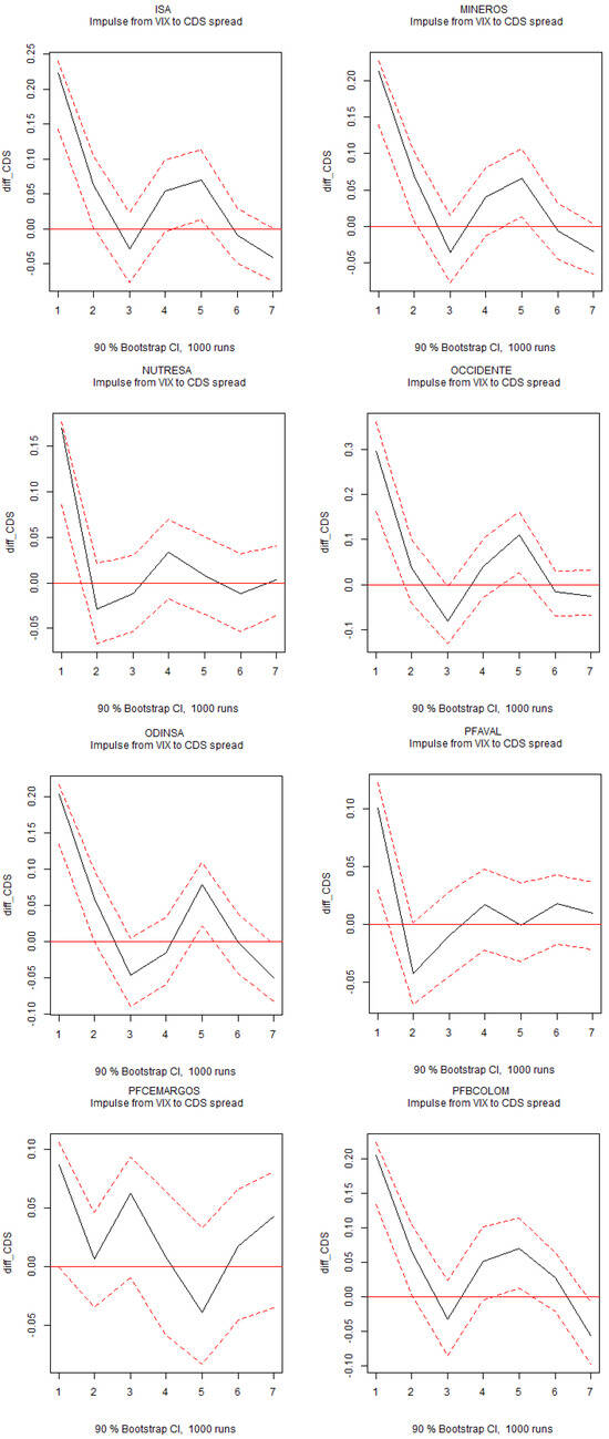
This result was further supported by the IRFs from a six-variable dynamic system, which included the stock return volatility and foreigners’ net buys of individual stocks, as shown in Figure 2. The result reinforces the finding in Agoraki et al. (2024); French et al. (2024) that rising EPU only reduces the capital flows of equity funds, although they did not use transaction-level data but aggregate data at the country-level, did not analyze the foreign investors’ net buys of local equity or the interconnection and relative importance of risk and uncertainty variables, and did not include individual stock return volatilities in their analysis. The analysis used 90% confidence intervals (CIs), which were considered rigorous. For comparison, Múnera and Agudelo (2022) used 90% CIs, Gomez-Gonzalez et al. (2022) used 84%, Gholipour et al. (2021) used 68%, and Chatterjee and French (2022) did not rely on CIs. The stability conditions are verified in Appendix B, where Figure A15 shows that the estimated VAR model is stable, as all roots lie inside the unit circle.
Figure 2.
IRFs of uncertainty in relation to foreigners’ activity. Note: Impulse response functions (IRFs) for the structural VAR system with six variables over a six-month horizon. The 90% confidence intervals are displayed in red.
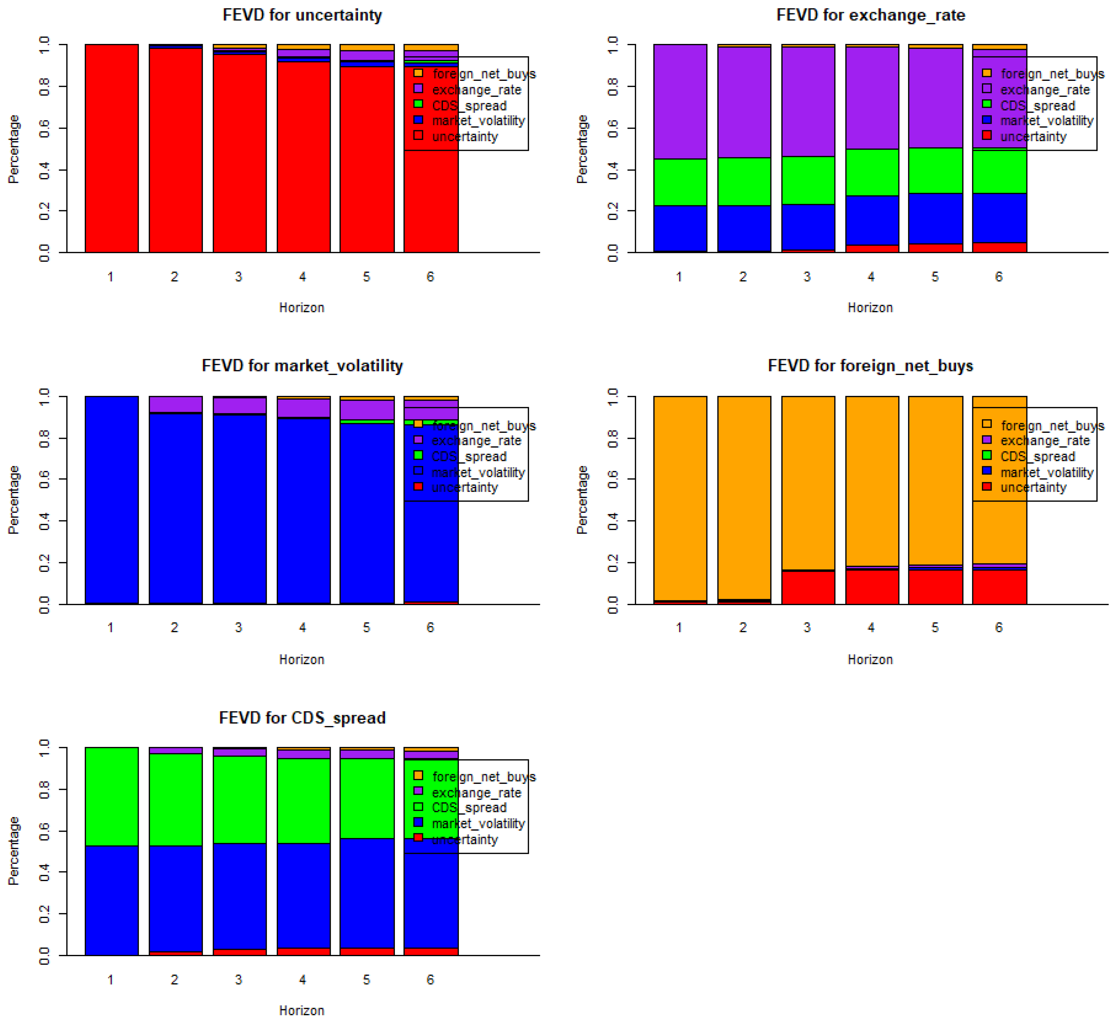
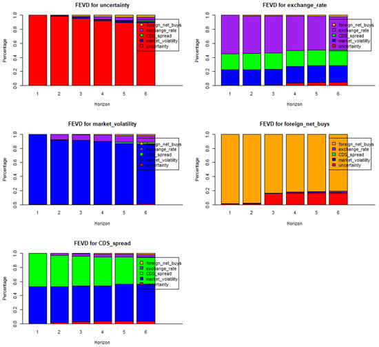
Figure 3 presents the FEVD, a variance analysis or decomposition that explains variations in the response variable in terms of shocks, indicating the strength of the relationship. The FEVD corresponds to the fractions in the expression:
where is the Mean Squared Prediction Error for and . Each of these fractions represents the contribution of each unanticipated shock to the forecast error variance of variable k at horizon h. The plot illustrates the fraction on the vertical axis over on the horizontal axis, representing the proportion of the variance explained by different shocks, such as uncertainty or market volatility, at each forecast horizon.
Figure 3.
Forecast error variance decomposition. Note: The figure presents the forecast error variance decomposition for the SVAR estimated using two measures of risk, one measure of uncertainty, changes in the exchange rates, and the log of foreigners’ net buys at the aggregate level.
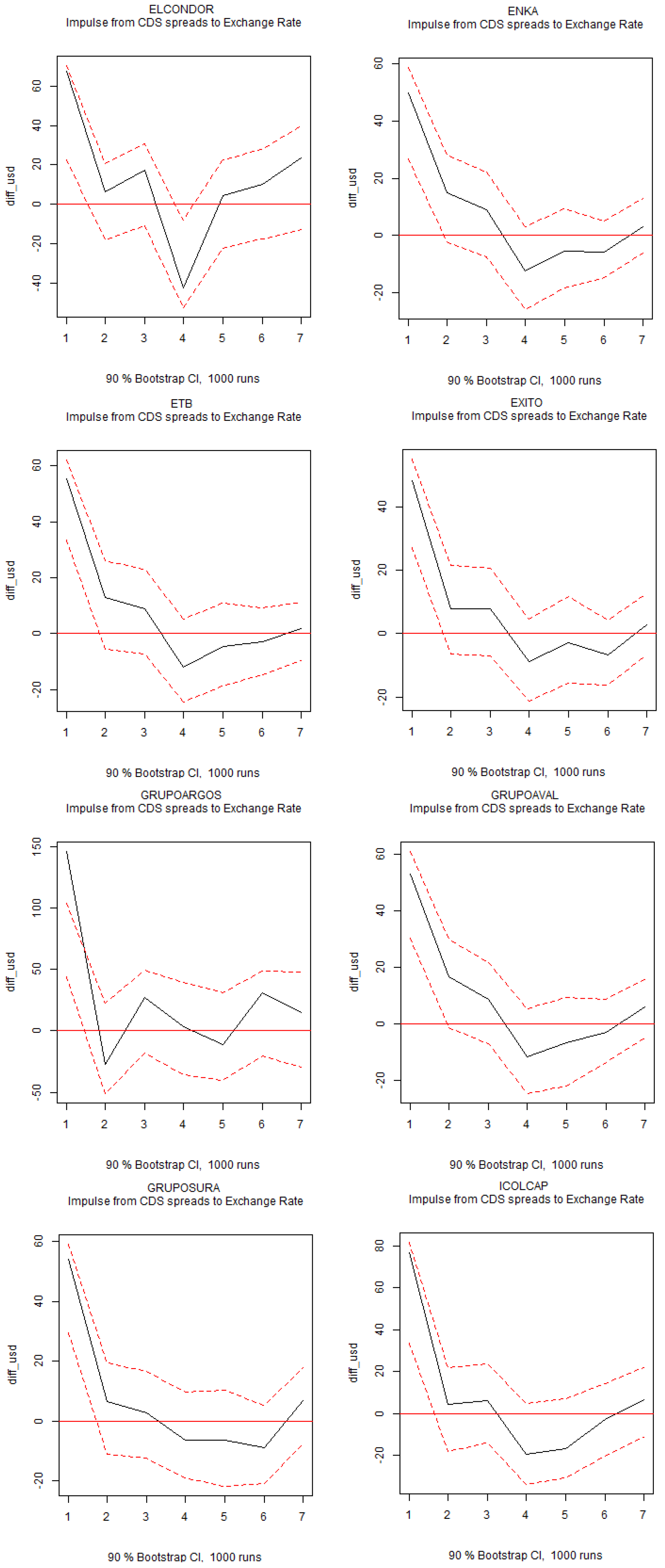
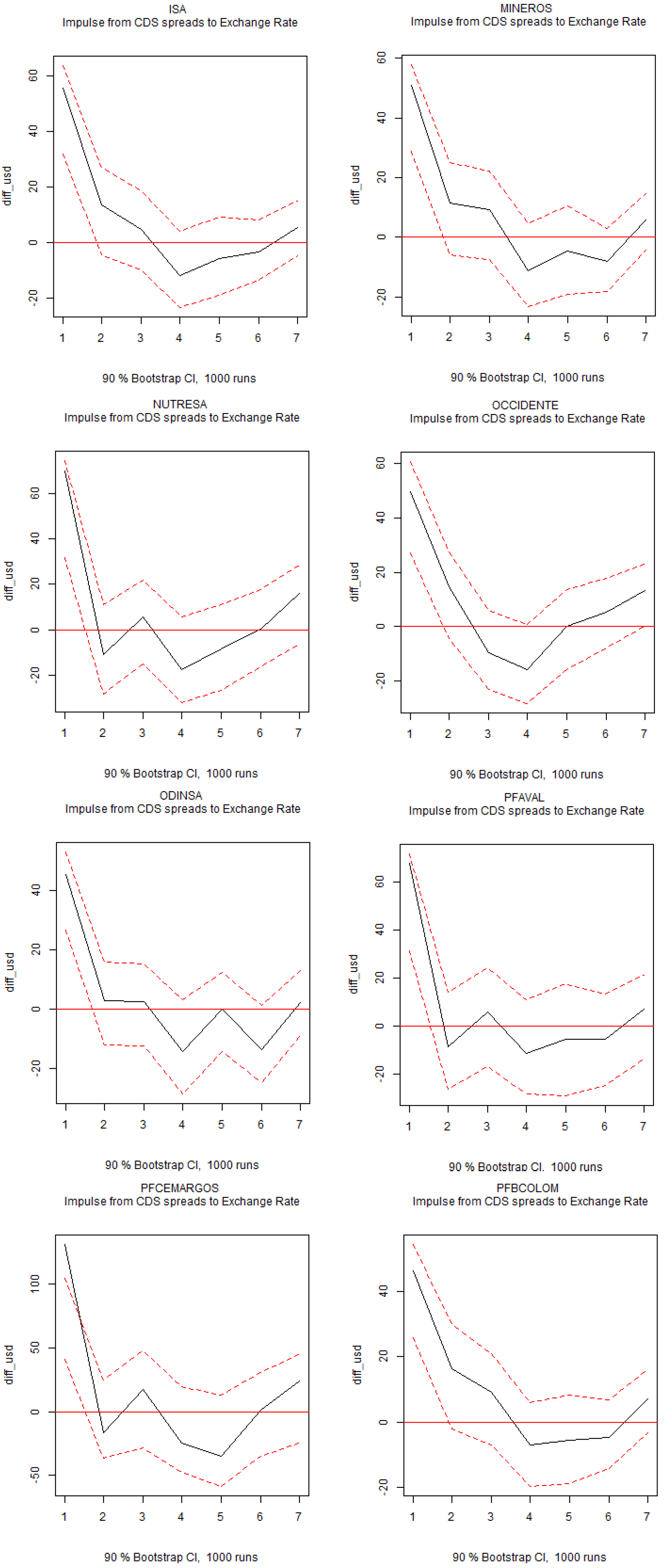
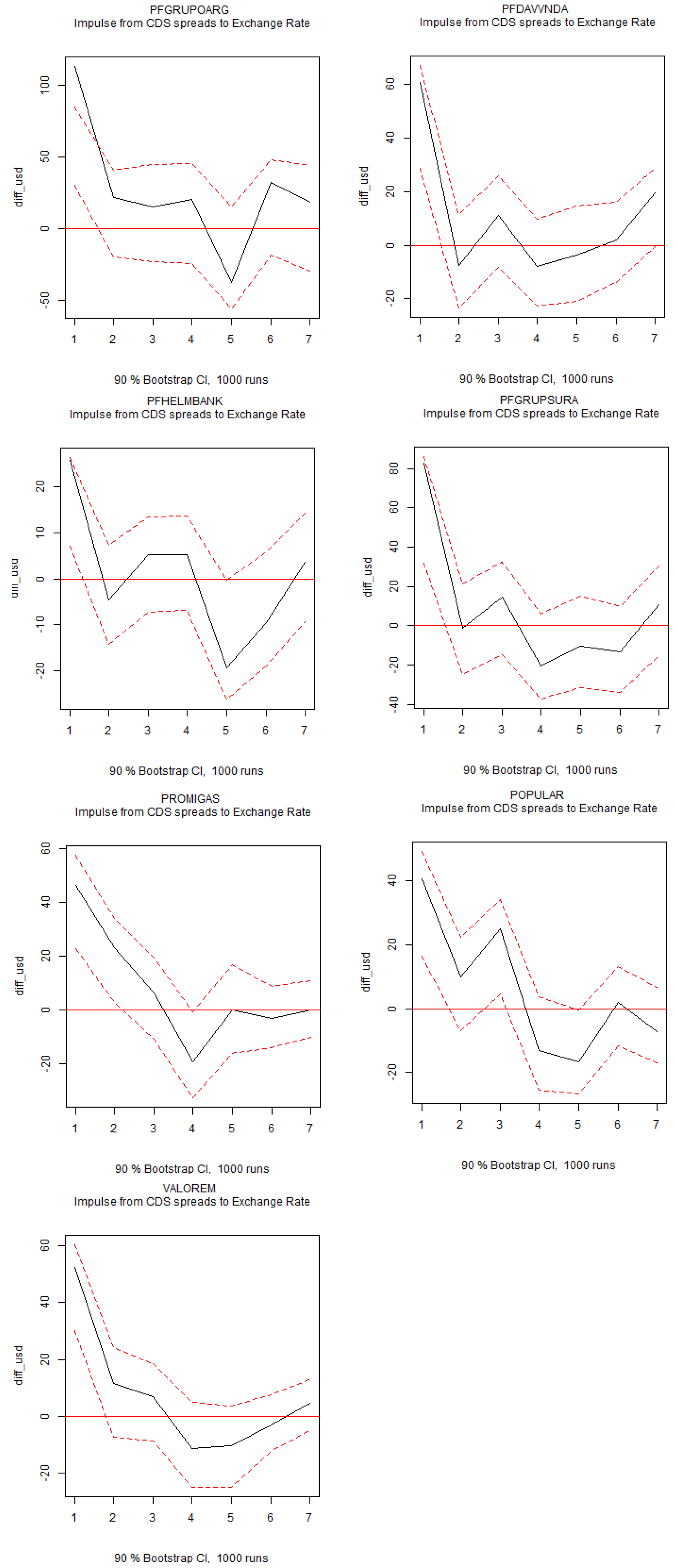
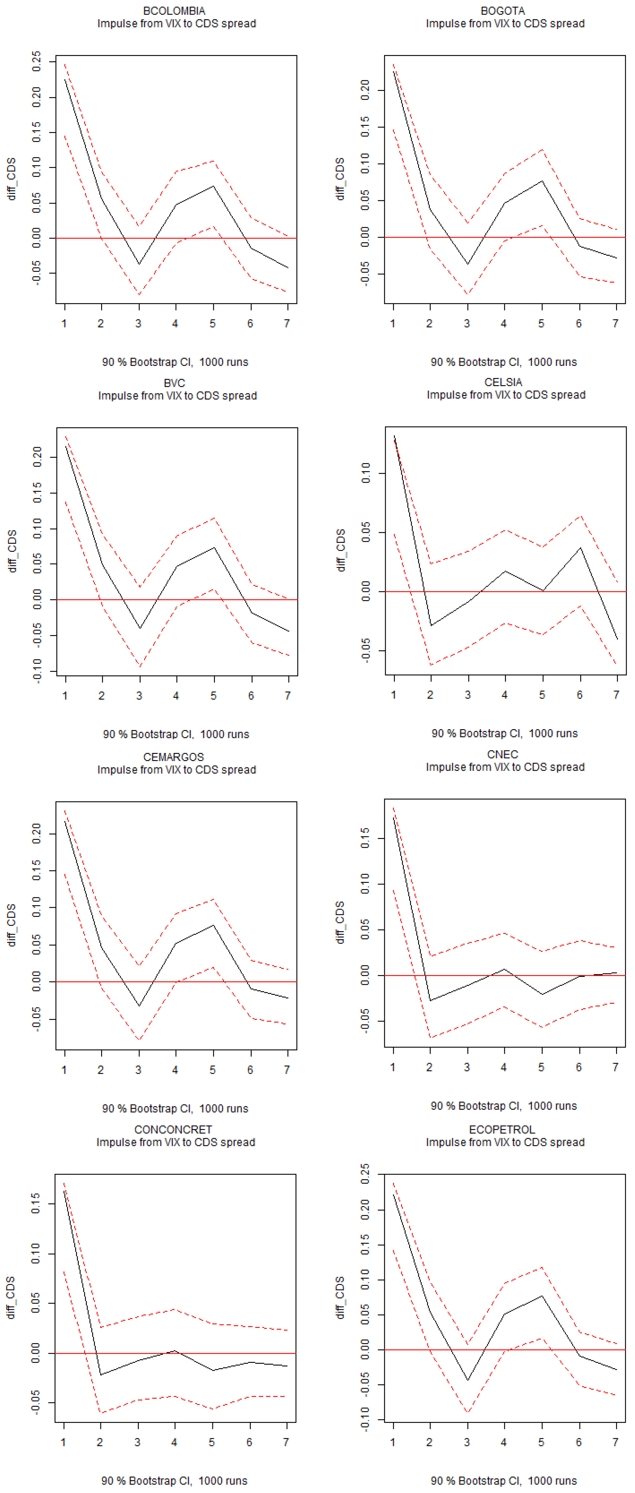
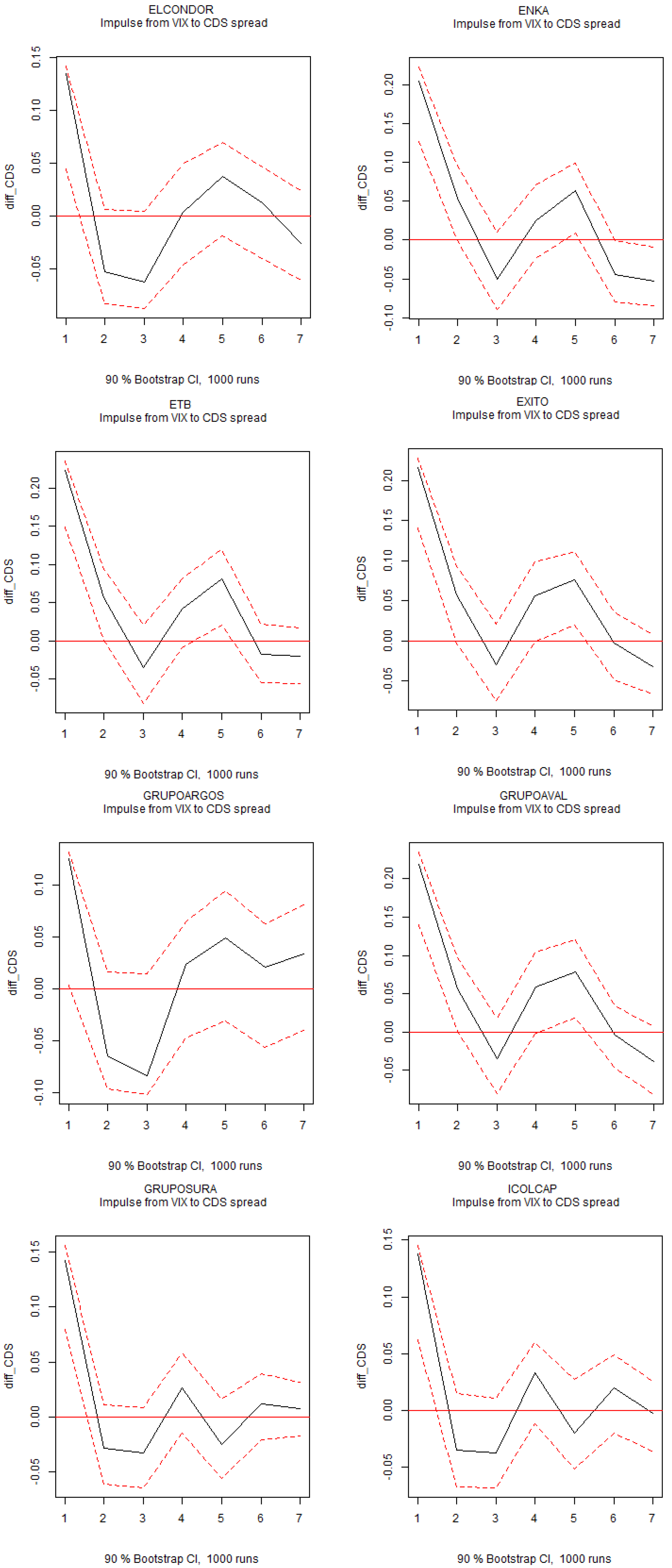
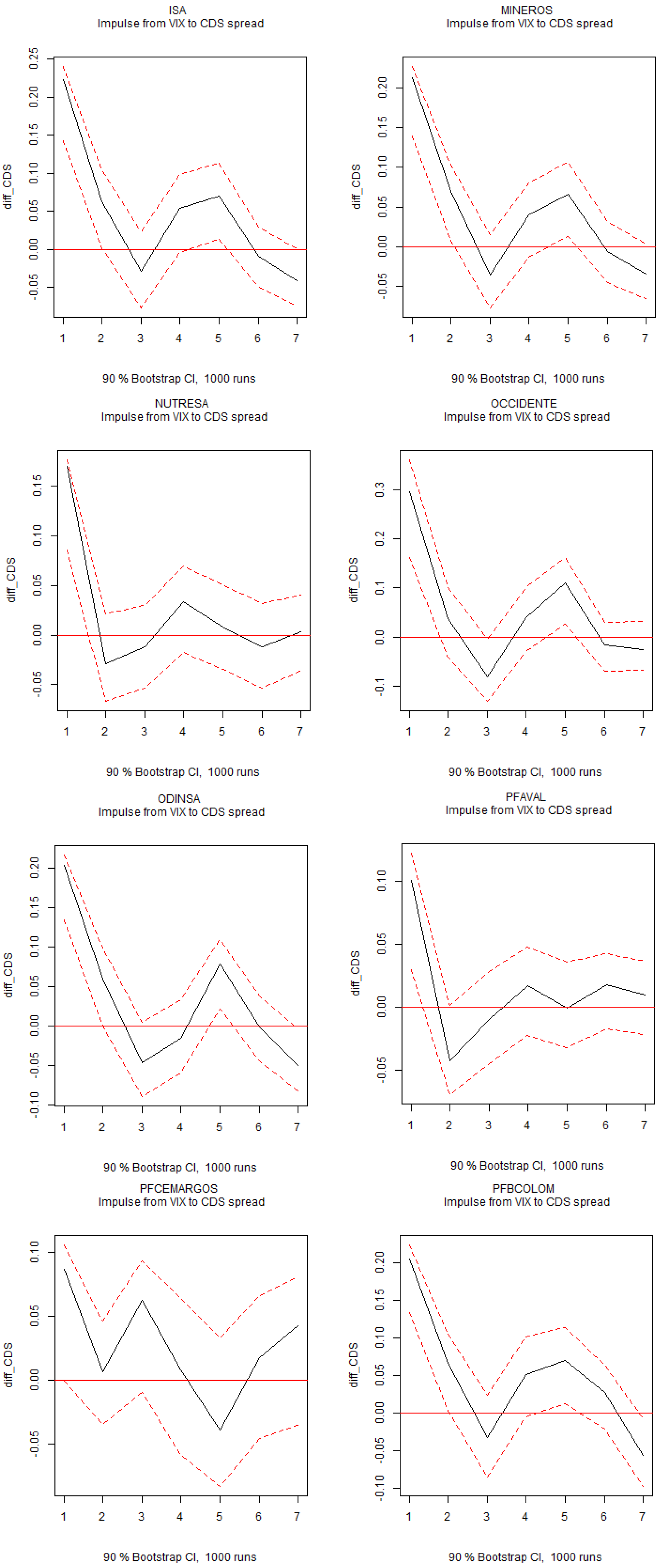
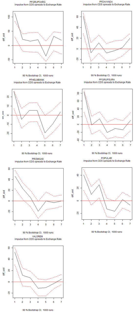
Uncertainty played the most significant role in explaining international activity, surpassing global market volatility as measured by the VIX index. In row 2, column 2 of Figure 3, the red areas represent the contribution of unexpected uncertainty shocks to foreign net buys, while the blue areas represent the contribution of the global market volatility during each period. Global market volatility, however, accounted for a substantial portion of the variance in CDS spreads, as shown in row 3, column 1. The blue areas in each rectangle indicate the contribution of unexpected market volatility shocks to CDS spreads, while the red areas represent the contribution of uncertainty, measured by the EPU index. This result is consistent with the IRFs from the six-variable dynamic system estimated with individual stocks (Figure A10), where a positive shock to the global market volatility significantly increased the CDS spread. The green areas in row 1, column 2 of Figure 3 and Figure A4 highlight the relevance of CDS spreads for exchange rate movements, with shocks to the CDS spread leading to short-term currency depreciation, consistent with the existing literature on exchange rates (Feng et al., 2021; Hui & Fong, 2015). Additionally, shocks to the exchange rate are closely linked to individual stocks, as they significantly increase the stock return volatility (Figure A6).
The analysis revealed that positive shifts in the Economic Policy Uncertainty (EPU) index significantly reduced foreign investors’ net buying activity, highlighting the stronger influence of localized uncertainty compared to global market volatility. Furthermore, exchange rate shocks substantially affected the individual stock volatility, illustrating the sensitivity of domestic markets to external economic factors. Global volatility influenced credit default swap (CDS) spreads and exchange rate movements, revealing the interconnected nature of financial risks. However, uncertainty demonstrated a more pronounced impact on international investment activity, emphasizing its central role in speculative and less transparent markets.
Below, I present the main results from the analysis of price explosiveness outlined in Section 3.3 and Section 3.2.2. Episodes of sudden price increases are identified and displayed in Figure 4, Figure 5 and Figure 6, while the results of the probability regression models are shown in Table 1. The dependent variable in these models was a dummy variable, , which took the value of one if . Given that price explosiveness is also related to monetary policy (Jarrow & Lamichhane, 2022; Okina et al., 2001), the dummy variables and took the value of one during periods of consistent decreases in U.S. and local monetary policy rates, respectively.
Figure 4.
BSADF tests. Note: Date-stamping of stock price explosiveness. Critical values in red.
Figure 5.
BSADF tests (continuation…). Note: Date-stamping of stock price explosiveness. Critical values in red.
Figure 6.
BSADF tests (continuation…). Note: Date-stamping of stock price explosiveness. Critical values in red.
Table 1.
Probability regression models.
Global risk and uncertainty both influenced the probability of episodes of accelerating price growth in stocks, as indicated by the statistically positive parameters for the VIX index and the EPU index. Additionally, international investors contributed to explaining episodes of price explosiveness, consistent with the findings of Griffin et al. (2004) and Agudelo and Múnera (2023), who, using data at the aggregate level and returns instead of prices to explicitly test for explosivity, attributed this effect on local prices to price pressure, rather than to informed trading. In contrast, local risk—measured by stock return volatility and the CDS spread—did not appear to drive these rapid price increases. Overall, uncertainty and global risk were the primary factors affecting opaque stock prices.
3. Methods
3.1. Data
The net buys of foreign investors for each stock were calculated by subtracting the total sales value (in the local currency) of the stock bought by each investor on a given day from the total buys, and then aggregating these data on a monthly basis. The dataset included 8,609,594 ticker transaction observations (both buys and sells) spanning from 2 January 2008 to 30 November 2016. Additionally, I calculated the 21-day rolling return volatility for each stock.
I used a proprietary database provided by the Colombian Stock Exchange (BVC). These data offered valuable insights for analyzing opaque stock markets, as Colombia is a small open economy (Hamann et al., 2021; López, 2015) comparable to other opaque markets, such as Costa Rica, Poland, Argentina, Turkey, and Brazil, where international investors play a pivotal role. The empirical findings in this article can be extended to other opaque emerging markets, particularly emerging open economies where country-specific studies enhance the understanding of financial variables. For instance, Uribe (1997), Tüzün (2024), and Segura-Rodriguez (2024) analyzed exchange rate data from Argentina, Turkey, and Costa Rica, respectively. Similarly, González et al. (2024), Białkowski and Otten (2011), and Alsubaiei et al. (2024) examined equity mutual funds in Colombia, Poland, and Saudi Arabia. Additionally, Junior and Junior (2017) investigated foreign inflows and the sovereign risk in Brazil. Emerging markets often experience weak corporate governance, limited regulatory oversight, and restricted access to reliable information, unlike mature markets, which currently account for an outstanding amount of research and public data on transactions and flows and benefit from strong regulatory frameworks and high transparency. This heightened informational opacity complicates risk assessment for investors. As a result, uncertainty in these environments amplifies the likelihood of mispricing, inefficient resource allocation, and extreme market volatility.
The Economic Policy Uncertainty (EPU) index, used in French et al. (2024); Liang et al. (2022) and Silva et al. (2024), was originally developed by Baker et al. (2016) and later extended to Colombia by Perico Ortiz (2018). The index is available on the EPU website1 and covers the period from January 1994 to December 2016. It was constructed based on a monthly count of news articles that included keywords from categories such as economics, uncertainty, fiscal policy, monetary policy, and regulations. Figure 7 displays data on Colombia’s Economic Policy Uncertainty (EPU) index, foreigners’ aggregate net buys, the COP/USD exchange rate, the CBOE Market Volatility Index (VIX), and credit default swap (CDS) spreads.
Figure 7.
Macroeconomic series. Note: The figure displays data on Colombia’s Economic Policy Uncertainty (EPU) index, foreigners’ aggregate net buys, the COP/USD exchange rate, the CBOE Market Volatility Index (VIX), and credit default swap (CDS) spreads.
As a measure of the global market risk sentiment, I used the CBOE Market Volatility Index (VIX), following Múnera and Agudelo (2022) and Brunnermeier and Pedersen (2009), along with credit default swap spreads, to capture the sovereign risk. The exchange rate was also incorporated into the analysis, given its relevance for investment decisions in opaque emerging markets (Neaime & Gaysset, 2022).
3.2. Methodology
3.2.1. The SVAR Model
A VAR model captures the dynamic interactions between economic uncertainty, risk, and investment decision-making without imposing prior restrictions on the structural relationships (Gholipour et al., 2021; Sims, 1980; Stock & Watson, 2001). The structural VAR is as follows:
where is a vector containing the following six variables: the percentage change in the EPU index for an opaque market, the change in the VIX index, the change in the CDS spread, the change in the exchange rate, the logarithm of foreigners’ net buys, and the 21-day rolling return volatility. are matrices of the coefficients to be estimated, and is a vector of serially and mutually uncorrelated structural shifts. The reduced form of the VAR model is
where is the vector of the estimated residuals in the reduced form. I employed Cholesky ordering, where the EPU index was considered the most exogenous variable and was thus placed first. This first variable affects other variables contemporaneously while being influenced by them with some lag. The second variable was the global market risk sentiment, which impacts the sovereign risk, the third variable in the ordering. The difference in the exchange rate and foreigners’ net buys were the fourth and fifth variables, respectively. Finally, stock volatility was ordered as the sixth variable. The errors, , of the reduced form represent linear combinations of the structural errors and can be decomposed into the following components:
where the zero element in the matrix signifies that there is no expected immediate impact from specific shocks, while the nonzero elements represent the coefficients for the ith response to shocks, j. The identified structural shifts and correspond to six types of shocks: changes in the economic policy uncertainty, changes in the VIX, changes in the CDS spread, changes in the USD exchange rate, changes in the logarithm of foreigners’ net buys, and changes in the stock return volatility. I estimated the orthogonalized impulse response functions (IRFs) to assess the impacts of a one-standard-deviation shock from these six influencing factors, along with the forecast error variance decomposition (FEVD) to evaluate the contributions of each factor.
My main goal was to examine the dynamic relationships between uncertainty, risk, and international investment flows in opaque stock markets. Specifically, I analyzed how foreigners’ net buys of local equity, uncertainty, global and local risk, exchange rates, and stock return volatility evolve and interact over time.
At the theoretical level, risk, uncertainty, and foreign equity investment are interconnected (Pástor & Veronesi, 2013). I included the EPU index in the system, as it was one of the primary variables under analysis. During periods of heightened global risk, international investors tend to favor safer assets, a phenomenon known as the ’flight-to-quality’ effect. These periods are effectively captured by the VIX index (Agudelo & Múnera, 2023; Bams & Honarvar, 2021; Beber et al., 2009; Múnera & Agudelo, 2022).
The sovereign risk is reflected in CDS spreads (Aizenman et al., 2013). Investment flows are linked to the sovereign risk, as equity mutual fund inflows tend to decline when sovereign CDS spreads rise (Alsubaiei et al., 2021). Including the CDS spread in the VAR system allowed for an examination of the relationship between local risk, global risk, and uncertainty. Previous evidence highlights a direct relationship between exchange rates and CDS spreads (Feng et al., 2021); an increase in sovereign risk prompts international investors to sell securities denominated in the local currency, exerting downward pressure on the exchange rate and increasing its volatility (Hui & Fong, 2015).
The exchange rate plays a crucial role in international investor activity, as profits from foreign asset positions are influenced by exchange rate fluctuations—commonly referred to as the exchange rate risk. The macroeconomic literature suggests that exchange rate movements reflect expectations and shifts in fundamentals relevant to international investment decisions. In semi-structural macroeconomic models for emerging markets (González-Gómez et al., 2020; Musil et al., 2018), the exchange rate encapsulates information on local and international interest rates, as well as key commodities. Macroeconomic and financial models traditionally link exchange rate changes to output gaps and inflation, drawing on the LM relationship, Purchasing Power Parity, and Interest Rate Parity (Astaíza-Gómez & Gómez-Sánchez, 2014; Cerutti et al., 2021; Dornbusch, 1980; Frankel, 1979; Salazar-Díaz et al., 2023). A key advantage of the exchange rate is its availability in real time, unlike the GDP or inflation, which are disclosed to investors with a delay of several months.
The analysis of foreigners’ net buys of local individual stocks needed to account for individual stock risks, as these are essential for asset allocation. Consequently, the stock return volatility was examined at the individual level, with potential links to other sources of risk within the SVAR system.
As a prerequisite for the VAR model, I adjusted the main variables to eliminate regularities in their means that were not central to the analysis. For instance, Ding et al. (2022) and Múnera and Agudelo (2022) applied first differences to exchange rates and the VIX index, respectively, to enhance the credibility and stability of their SVAR models, while Junior and Junior (2017) used changes in the sovereign risk. The literature highlights a long-running relationship between real exchange rates and aggregate capital inflows, suggesting that nonstationary variables in levels are suitable for cointegration analysis (Combes et al., 2012). Following Tüzün (2024), Box et al. (2015), and Maddala (1998), I accounted for stochastic and deterministic trends by differencing all series and verifying the VAR system’s stability condition, ensuring the stationarity of the variables of interest (Gholipour et al., 2021; Hamilton, 1994). Figure A15 confirms that all roots lay within the unit circle.
3.2.2. Sudden Price Increases
Stock markets are susceptible to episodes of rapid price increases (Dezhbakhsh & Demirguc-Kunt, 1990; Diba & Grossman, 1988; Lehnert, 2020). The following is an extension of the Augmented Dickey–Fuller specification used to test for explosivity (Astaiza-Gómez, 2024; Gomez-Gonzalez et al., 2018; Phillips et al., 2015b):
The parameters , , and for are to be estimated. The variables and represent the stock price at lag 1 and the first difference of the stock price, , respectively. The term represents the unobserved random shock, and defines the start and end points of a subsample, where and are expressed as fractions of T.
Phillips et al. (2011) proposed estimating (4) recursively by expanding the end point of the subsamples forward, i.e., by fixing and progressively increasing from a minimum value of toward 1. The Augmented Dickey–Fuller statistics, , were calculated for several values of , and the supremum of these values constituted the SADF test. The Generalized SADF (GSADF) test allows for flexible window sizes, applying the SADF test to every subperiod by varying both and .
Comparing the statistic with the critical value from the right tail of the limiting distribution provided insight into the null hypothesis versus the alternative . Following Phillips et al. (2015a, 2015b), the minimum window size was set to to estimate Equation (5) for all possible subsamples, allowing both and to vary. Once exuberant episodes were identified, the supremum of a sequence of backward SADF statistics was computed for each final observation in every regression, yielding the statistic used to estimate the initiation and termination dates of explosive episodes, referred to as the BSADF. The critical values for each test were obtained via Monte Carlo simulations with at least 1000 replications.
3.3. Probability Model
After identifying episodes of rapid price increases (date-stamping), I performed logistic regression to determine whether economic uncertainty, risk, and foreign investment influenced the likelihood of explosivity in stock prices. Following the approach of Bouri et al. (2019), Enoksen et al. (2020), and Shahzad et al. (2022), I analyzed the periods of rapid price increments, represented by a dummy variable, , using the following logistic regression:
where the dependent variable is a dummy variable, , that takes the value of one if , indicating price explosiveness as evidenced by the increase in the BSADF sequence above the corresponding critical value, and zero otherwise. is a vector of the parameters to be estimated, and represents a set of explanatory variables.
4. Discussion
Ambiguity in estimating an asset’s value, arising from hard-to-observe risks, is known as uncertainty (Jiang et al., 2005; Kang et al., 2019; Zhang, 2006). Unlike risk, uncertainty cannot be predicted as there is no clarity on the true probabilistic model (Maccheroni et al., 2013), while risk refers to uncertainty with a known probability distribution (Watkins, 1922). Uncertainty shocks caused by economic activity and policy reveal the link between different types of financial risks and financial markets (Aggarwal & Goodell, 2014; Awijen et al., 2023; Cesa-Bianchi et al., 2020; Chen & Petkova, 2012; Gennaioli et al., 2012; Silva et al., 2024). Incorporating uncertainty is important for asset allocation, as it is significantly correlated with illiquidity (Kang et al., 2019) and future stock returns at the aggregate level (Hao et al., 2024; Jiang et al., 2005). Uncertainty in financial markets, along with the linkages and feedback effects between risks and the financial environment, is increasing. This connection has played a key role in driving various recent financial outcomes, including those related to lottery stocks (Tao et al., 2020) and investor underreactions (Jia et al., 2020). At the aggregate level, uncertainty and risk are related. Sharif et al. (2020) found that uncertainty is related to the Dow Jones volatility, and Chatterjee and French (2022) showed that while the VIX index did not respond to a Twitter-based market uncertainty index (TMU), a positive shock to the VIX decreased the TMU. Researchers puzzled by the mixed empirical findings regarding the relationship between firm opacity and information production in stock markets (Crawford et al., 2012; Derrien & Kecskes, 2013) can gain new insights from the analysis of the relation between risk and uncertainty.
The evidence showing that stock markets are susceptible to episodes of rapid price increases is extensive (Dezhbakhsh & Demirguc-Kunt, 1990; Diba & Grossman, 1988; Lehnert, 2020). Risk and uncertainty are related to explosive increases in prices, although the literature is not conclusive. In cryptocurrencies, Enoksen et al. (2020) showed that uncertainty exhibits a positive relationship with the probability of price explosiveness, and Jones et al. (2012) found that opacity contributes to speculative bubbles in stock prices. Mamman et al. (2024) documented that the likelihood of sudden increases in oil prices decreased with heightened uncertainty. Also, Segal et al. (2015) argued that the risk premium is related to uncertainty.
Heightened information uncertainty contributes to the price of risk (Hansen & Sargent, 2010) and undermines the stability of financial markets (Liang et al., 2024). Emerging stock markets are more opaque than mature stock markets (Morck et al., 2000), so during periods of heightened uncertainty, international investors may engage in aggressive trading (Múnera & Agudelo, 2022) in emerging economies. Additionally, poor corporate governance and weak prosecution for insider trading contribute to informational inefficiencies (González et al., 2024), and investments in ambiguous assets come with an extra alpha relative to a risky benchmark.
5. Conclusions
Uncertainty and global risk play pivotal roles in shaping financial markets, particularly in emerging economies characterized by informational opacity and structural inefficiencies. This study examined the dynamic relationships between international investors’ activity and measures of uncertainty and risk in an emerging market context, focusing on their influence on net foreign buys, credit default swap (CDS) spreads, exchange rates, and stock return volatility. Using a proprietary dataset of over 8.6 million ticker transaction observations, this research employed structural vector autoregression (VAR) models and variance decomposition to identify the key drivers of market fluctuations.
The findings revealed that positive shifts in uncertainty, as measured by the Economic Policy Uncertainty (EPU) index, significantly reduce foreign investors’ net buys, a pattern more pronounced than the effects of global market volatility captured by the VIX index. While global volatility is a primary driver of CDS spreads, these spreads are shown to strongly influence exchange rates, leading to short-term currency depreciation. Additionally, heightened uncertainty and global risk contribute to episodes of accelerating price growth, demonstrating their interconnected role in market instability. This paper advances the literature on financial uncertainty by emphasizing its dominant influence over global factors in driving international investment behavior and by highlighting its role in episodes of price explosiveness. The results provide actionable insights for policymakers and investors, underscoring the importance of managing localized uncertainty and global risks in opaque markets.
These findings offer valuable insights for investors and policymakers. They reveal how risk and uncertainty drive rapid price growth, particularly in opaque markets where external conditions dominate. Addressing these challenges requires stronger regulatory frameworks, improved transparency, and measures to mitigate the disruptive effects of uncertainty on financial systems.
Funding
This research received no external funding.
Informed Consent Statement
Not applicable.
Data Availability Statement
The data supporting the findings of this study are publicly available from the Economic Policy Uncertainty website (https://www.policyuncertainty.com/). Measures of risk are available through Bloomberg Terminals; however, access to these data is restricted, as they were used under license for this study and are not publicly available. Data on public companies, such as ticker transaction observations (both buys and sells) and the type of investor, were kindly provided by Diego Agudelo at Universidad EAFIT. Due to restrictions on these data, public financial information must be sourced through alternative providers.
Acknowledgments
I thank Diego Agudelo in the Area of Macroeconomics and Finance at Universidad EAFIT for providing proprietary data on the stock market. I am also very grateful for his insightful comments.
Conflicts of Interest
The author declares no conflicts of interest.
Abbreviations
The following abbreviations are used in this manuscript:
| CDS | Credit default swap |
| EPU | Economic Policy Uncertainty index |
| FEVD | Forecast error variance decomposition |
| GSADF | Generalized Supremum Augmented Dickey–Fuller test |
| VIX | CBOE Volatility Index |
| 6-SVAR | Six-variable structural vector autorregression |
Appendix A
Figure A1.
IRFs of CDS spreads in relation to the exchange rate. Note: Impulse response functions (IRFs) for the structural VAR system with six variables over a six-month horizon. The 90% confidence intervals are displayed in red.
Figure A1.
IRFs of CDS spreads in relation to the exchange rate. Note: Impulse response functions (IRFs) for the structural VAR system with six variables over a six-month horizon. The 90% confidence intervals are displayed in red.

Figure A2.
IRFs of CDS spreads in relation to the exchange rate (continuation…). Note: Impulse response functions (IRFs) for the structural VAR system with six variables over a six-month horizon. The 90% confidence intervals are displayed in red.
Figure A2.
IRFs of CDS spreads in relation to the exchange rate (continuation…). Note: Impulse response functions (IRFs) for the structural VAR system with six variables over a six-month horizon. The 90% confidence intervals are displayed in red.

Figure A3.
IRFs of CDS spreads in relation to the exchange rate (continuation…). Note: Impulse response functions (IRFs) for the structural VAR system with six variables over a six-month horizon. The 90% confidence intervals are displayed in red.
Figure A3.
IRFs of CDS spreads in relation to the exchange rate (continuation…). Note: Impulse response functions (IRFs) for the structural VAR system with six variables over a six-month horizon. The 90% confidence intervals are displayed in red.

Figure A4.
IRFs of CDS spreads in relation to the exchange rate (continuation…). Note: Impulse response functions (IRFs) for the structural VAR system with six variables over a six-month horizon. The 90% confidence intervals are displayed in red.
Figure A4.
IRFs of CDS spreads in relation to the exchange rate (continuation…). Note: Impulse response functions (IRFs) for the structural VAR system with six variables over a six-month horizon. The 90% confidence intervals are displayed in red.

Figure A5.
IRFs of the exchange rate in relation to the stock return volatility. Note: Impulse response functions (IRFs) for the structural VAR system with six variables over a six-month horizon. The 90% confidence intervals are displayed in red.
Figure A5.
IRFs of the exchange rate in relation to the stock return volatility. Note: Impulse response functions (IRFs) for the structural VAR system with six variables over a six-month horizon. The 90% confidence intervals are displayed in red.

Figure A6.
IRFs of the exchange rate in relation to the stock return volatility (continuation…). Note: Impulse response functions (IRFs) for the structural VAR system with six variables over a six-month horizon. The 90% confidence intervals are displayed in red.
Figure A6.
IRFs of the exchange rate in relation to the stock return volatility (continuation…). Note: Impulse response functions (IRFs) for the structural VAR system with six variables over a six-month horizon. The 90% confidence intervals are displayed in red.

Figure A7.
IRFs of the VIX in relation to the CDS spread. Note: Impulse response functions (IRFs) for the structural VAR system with six variables over a six-month horizon. The 90% confidence intervals are displayed in red.
Figure A7.
IRFs of the VIX in relation to the CDS spread. Note: Impulse response functions (IRFs) for the structural VAR system with six variables over a six-month horizon. The 90% confidence intervals are displayed in red.

Figure A8.
IRFs of the VIX in relation to the CDS spread (continuation…). Note: Impulse response functions (IRFs) for the structural VAR system with six variables over a six-month horizon. The 90% confidence intervals are displayed in red.
Figure A8.
IRFs of the VIX in relation to the CDS spread (continuation…). Note: Impulse response functions (IRFs) for the structural VAR system with six variables over a six-month horizon. The 90% confidence intervals are displayed in red.

Figure A9.
IRFs of the VIX in relation to the CDS spread (continuation…). Note: Impulse response functions (IRFs) for the structural VAR system with six variables over a six-month horizon. The 90% confidence intervals are displayed in red.
Figure A9.
IRFs of the VIX in relation to the CDS spread (continuation…). Note: Impulse response functions (IRFs) for the structural VAR system with six variables over a six-month horizon. The 90% confidence intervals are displayed in red.

Figure A10.
IRFs of the VIX in relation to the CDS spread (continuation…). Note: Impulse response functions (IRFs) for the structural VAR system with six variables over a six-month horizon. The 90% confidence intervals are displayed in red.
Figure A10.
IRFs of the VIX in relation to the CDS spread (continuation…). Note: Impulse response functions (IRFs) for the structural VAR system with six variables over a six-month horizon. The 90% confidence intervals are displayed in red.

Appendix B
Figure A11.
Stationarity. Note: Structural VAR stability condition: All eigenvalues lie within the unit circle, indicating the stability of the SVAR model.
Figure A11.
Stationarity. Note: Structural VAR stability condition: All eigenvalues lie within the unit circle, indicating the stability of the SVAR model.

Figure A12.
Stationarity (continuation…). Note: Structural VAR stability condition: All eigenvalues lie within the unit circle, indicating the stability of the SVAR model.
Figure A12.
Stationarity (continuation…). Note: Structural VAR stability condition: All eigenvalues lie within the unit circle, indicating the stability of the SVAR model.

Figure A13.
Stationarity (continuation…). Note: Structural VAR stability condition: All eigenvalues lie within the unit circle, indicating the stability of the SVAR model.
Figure A13.
Stationarity (continuation…). Note: Structural VAR stability condition: All eigenvalues lie within the unit circle, indicating the stability of the SVAR model.

Figure A14.
Stationarity (continuation…). Note: Structural VAR stability condition: All eigenvalues lie within the unit circle, indicating the stability of the SVAR model.
Figure A14.
Stationarity (continuation…). Note: Structural VAR stability condition: All eigenvalues lie within the unit circle, indicating the stability of the SVAR model.

Figure A15.
Stationarity (continuation…). Note: Structural VAR stability condition: All eigenvalues lie within the unit circle, indicating the stability of the SVAR model.
Figure A15.
Stationarity (continuation…). Note: Structural VAR stability condition: All eigenvalues lie within the unit circle, indicating the stability of the SVAR model.

Note
| 1 | http://www.policyuncertainty.com (accessed on 3 October 2024). |
References
- Aggarwal, R., & Goodell, J. W. (2014). Cross-national differences in access to finance: Influence of culture and institutional environments. Research in International Business and Finance, 31, 193–211. [Google Scholar] [CrossRef]
- Agoraki, M.-E. K., Wu, H., Xu, T., & Yang, M. (2024). Money never sleeps: Capital flows under global risk and uncertainty. Journal of International Money and Finance, 141, 103013. [Google Scholar] [CrossRef]
- Agudelo, D. A., & Múnera, D. J. (2023). Who are the vectors of contagion? Evidence from emerging markets. International Review of Financial Analysis, 87, 102599. [Google Scholar] [CrossRef]
- Aizenman, J., Hutchison, M., & Jinjarak, Y. (2013). What is the risk of European sovereign debt defaults? Fiscal space, CDS spreads and market pricing of risk. Journal of International Money and Finance, 34, 37–59. [Google Scholar] [CrossRef]
- Alsubaiei, B. J., Calice, G., & Vivian, A. (2021). Sovereign CDS and mutual funds: Global evidence. Journal of International Financial Markets, Institutions and Money, 73, 101354. [Google Scholar] [CrossRef]
- Alsubaiei, B. J., Calice, G., & Vivian, A. (2024). How does oil market volatility impact mutual fund performance? International Review of Economics & Finance, 89, 1601–1621. [Google Scholar]
- Astaiza-Gómez, J. G. (2024). Hypothesis testing with explosive time series. An approach to the theory of the functional central limit theorem. Journal de Ciencia e Ingeniería, 16(1), 13–25. [Google Scholar] [CrossRef]
- Astaíza-Gómez, J. G., & Gómez-Sánchez, A. (2014). Analysis of Interest Rate Differentials and Exchange Rate Between Colombia and the United States 2000–2013. Revista Criterio Libre, 12, 157–182. [Google Scholar]
- Awijen, H., Zaied, Y. B., Lahouel, B. B., & Khlifi, F. (2023). Machine learning for US cross-industry return predictability under information uncertainty. Research in International Business and Finance, 64, 101893. [Google Scholar] [CrossRef]
- Baker, S. R., Bloom, N., & Davis, S. J. (2016). Measuring economic policy uncertainty. The Quarterly Journal of Economics, 131(4), 1593–1636. [Google Scholar] [CrossRef]
- Bams, D., & Honarvar, I. (2021). VIX and liquidity premium. International Review of Financial Analysis, 74, 101655. [Google Scholar] [CrossRef]
- Beber, A., Brandt, M. W., & Kavajecz, K. A. (2009). Flight-to-quality or flight-to-liquidity? Evidence from the euro-area bond market. The Review of Financial Studies, 22(3), 925–957. [Google Scholar] [CrossRef]
- Białkowski, J., & Otten, R. (2011). Emerging market mutual fund performance: Evidence for Poland. The North American Journal of Economics and Finance, 22(2), 118–130. [Google Scholar] [CrossRef]
- Bouri, E., Shahzad, S. J. H., & Roubaud, D. (2019). Co-explosivity in the cryptocurrency market. Finance Research Letters, 29, 178–183. [Google Scholar] [CrossRef]
- Box, G. E., Jenkins, G. M., Reinsel, G. C., & Ljung, G. M. (2015). Time series analysis: Forecasting and control. John Wiley & Sons. [Google Scholar]
- Brunnermeier, M. K., & Pedersen, L. H. (2009). Market liquidity and funding liquidity. The Review of Financial Studies, 22(6), 2201–2238. [Google Scholar] [CrossRef]
- Cerutti, E. M., Obstfeld, M., & Zhou, H. (2021). Covered interest parity deviations: Macrofinancial determinants. Journal of International Economics, 130, 103447. [Google Scholar] [CrossRef]
- Cesa-Bianchi, A., Pesaran, M. H., & Rebucci, A. (2020). Uncertainty and economic activity: A multicountry perspective. The Review of Financial Studies, 33(8), 3393–3445. [Google Scholar] [CrossRef]
- Chatterjee, U., & French, J. J. (2022). A note on tweeting and equity markets before and during the COVID-19 pandemic. Finance Research Letters, 46, 102224. [Google Scholar] [CrossRef]
- Chen, Z., & Petkova, R. (2012). Does idiosyncratic volatility proxy for risk exposure? The Review of Financial Studies, 25(9), 2745–2787. [Google Scholar] [CrossRef]
- Combes, J.-L., Kinda, T., & Plane, P. (2012). Capital flows, exchange rate flexibility, and the real exchange rate. Journal of Macroeconomics, 34(4), 1034–1043. [Google Scholar] [CrossRef]
- Crawford, S. S., Roulstone, D. T., & So, E. C. (2012). Analyst initiations of coverage and stock return synchronicity. The Accounting Review, 87(5), 1527–1553. [Google Scholar] [CrossRef]
- Derrien, F., & Kecskes, A. (2013). The real effects of financial shocks: Evidence from exogenous changes in analyst coverage. The Journal of Finance, 68(4), 1407–1440. [Google Scholar] [CrossRef]
- Dezhbakhsh, H., & Demirguc-Kunt, A. (1990). On the presence of speculative bubbles in stock prices. Journal of Financial and Quantitative Analysis, 25(1), 101–112. [Google Scholar] [CrossRef]
- Diba, B. T., & Grossman, H. I. (1988). Explosive rational bubbles in stock prices? The American Economic Review, 78(3), 520–530. [Google Scholar]
- Ding, Q., Huang, J., Gao, W., & Zhang, H. (2022). Does political risk matter for gold market fluctuations? A structural VAR analysis. Research in International Business and Finance, 60, 101618. [Google Scholar] [CrossRef]
- Dornbusch, R. (1980). Exchange rate economics: Where do we stand brookings papers on economic activity. Brookings Papers on Economic Activity, 1, 143–205. [Google Scholar] [CrossRef]
- Enoksen, F. A., Landsnes, C. J., Lučivjanská, K., & Molnár, P. (2020). Understanding risk of bubbles in cryptocurrencies. Journal of Economic Behavior & Organization, 176, 129–144. [Google Scholar]
- Feng, Q., Sun, X., Liu, C., & Li, J. (2021). Spillovers between sovereign CDS and exchange rate markets: The role of market fear. The North American Journal of Economics and Finance, 55, 101308. [Google Scholar] [CrossRef]
- Frankel, J. A. (1979). On the mark: A theory of floating exchange rates based on real interest differentials. The American Economic Review, 69(4), 610–622. [Google Scholar]
- French, J. J., Schaberl, P. D., & Taborda, R. (2024). Fund flows, stock markets, and economic policy uncertainty: From the perspective a civet nation. Emerging Markets Finance and Trade, 60(5), 967–982. [Google Scholar] [CrossRef]
- Gennaioli, N., Shleifer, A., & Vishny, R. (2012). Market institution, financial market risk and financial crisis. Journal of Financial Economics, 104(3), 452–468. [Google Scholar] [CrossRef]
- Gholipour, H. F., Tajaddini, R., Farzanegan, M. R., & Yam, S. (2021). Responses of REITs index and commercial property prices to economic uncertainties: A VAR analysis. Research in International Business and Finance, 58, 101457. [Google Scholar] [CrossRef]
- Gomez-Gonzalez, J. E., Gamboa-Arbeláez, J., Hirs-Garzón, J., & Pinchao-Rosero, A. (2018). When bubble meets bubble: Contagion in OECD countries. The Journal of Real Estate Finance and Economics, 56, 546–566. [Google Scholar] [CrossRef]
- Gomez-Gonzalez, J. E., Hirs-Garzón, J., & Uribe, J. M. (2022). Interdependent capital structure choices and the macroeconomy. The North American Journal of Economics and Finance, 62, 101750. [Google Scholar] [CrossRef]
- González, M., Astaíza-Gómez, J. G., & Pantoja, J. (2024). Actively managed equity mutual funds in emerging markets. Research in International Business and Finance, 72, 102540. [Google Scholar] [CrossRef]
- González-Gómez, A., Guarín-López, A., Rodríguez-Guzmán, D. A., & Vargas-Herrera, H. (2020). 4GM: A new model for the monetary policy analysis in colombia. Banco de la Republica. [Google Scholar]
- Griffin, J. M., Nardari, F., & Stulz, R. M. (2004). Are daily cross-border equity flows pushed or pulled? Review of Economics and Statistics, 86(3), 641–657. [Google Scholar] [CrossRef]
- Hamann, F., Anzola, C., Avila-Montealegre, O., Castro-Fernandez, J. C., Grajales-Olarte, A., Guarín, A., Mendez-Vizcaino, J. C., Ospina-Tejeiro, J. J., & Ramos-Veloza, M. A. (2021). Monetary policy response to a migration shock: An analysis for a small open economy. Borradores de Economía, 1(1153), 1–22. [Google Scholar]
- Hamilton, J. D. (1994). Time series analysis. Princeton University Press. [Google Scholar]
- Hansen, L. P., & Sargent, T. J. (2010). Fragile beliefs and the price of uncertainty. Quantitative Economics, 1(1), 129–162. [Google Scholar]
- Hao, X., Wang, Y., Wu, C., & Wu, L. (2024). Oil information uncertainty and aggregate market returns: A natural experiment based on satellite data. Journal of Financial Markets, 70, 100913. [Google Scholar] [CrossRef]
- Hui, C.-H., & Fong, T. P.-W. (2015). Price cointegration between sovereign CDS and currency option markets in the financial crises of 2007–2013. International Review of Economics & Finance, 40, 174–190. [Google Scholar]
- Jarrow, R., & Lamichhane, S. (2022). Risk premia, asset price bubbles, and monetary policy. Journal of Financial Stability, 60, 101005. [Google Scholar] [CrossRef]
- Jia, N., Rai, A., & Xu, S. X. (2020). Reducing capital market anomaly: The role of information technology using an information uncertainty lens. Management Science, 66(2), 979–1001. [Google Scholar] [CrossRef]
- Jiang, G., Lee, C. M., & Zhang, Y. (2005). Information uncertainty and expected returns. Review of Accounting Studies, 10, 185–221. [Google Scholar] [CrossRef]
- Jones, J. S., Lee, W. Y., & Yeager, T. J. (2012). Opaque banks, price discovery, and financial instability. Journal of Financial Intermediation, 21(3), 383–408. [Google Scholar] [CrossRef]
- Junior, W. G., & Junior, W. E. (2017). Sophistication and price impact of foreign investors in the Brazilian stock market. Emerging Markets Review, 33, 102–139. [Google Scholar]
- Kang, W., Li, N., & Zhang, H. (2019). Information uncertainty and the pricing of liquidity. Journal of Empirical Finance, 54, 77–96. [Google Scholar] [CrossRef]
- Lehnert, T. (2020). Fear and stock price bubbles. PLoS ONE, 15(5), e0233024. [Google Scholar] [CrossRef] [PubMed]
- Liang, C., Goodell, J. W., & Li, X. (2024). Impacts of carbon market and climate policy uncertainties on financial and economic stability: Evidence from connectedness network analysis. Journal of International Financial Markets, Institutions and Money, 92, 101977. [Google Scholar] [CrossRef]
- Liang, C., Umar, M., Ma, F., & Huynh, T. L. (2022). Climate policy uncertainty and world renewable energy index volatility forecasting. Technological Forecasting and Social Change, 182, 121810. [Google Scholar] [CrossRef]
- López, M. (2015). Asset price bubbles and monetary policy in a small open economy. Ensayos Sobre Política Económica, 33(77), 93–102. [Google Scholar] [CrossRef]
- Maccheroni, F., Marinacci, M., & Ruffino, D. (2013). Alpha as ambiguity: Robust mean-variance portfolio analysis. Econometrica, 81(3), 1075–1113. [Google Scholar] [CrossRef][Green Version]
- Maddala, G. (1998). Unit roots, cointegration, and structural change. Cambridge University Press. [Google Scholar]
- Mamman, S. O., Iliyasu, J., Ahmed, U. A., & Salami, F. (2024). Global uncertainties, geopolitical risks and price exuberance: Evidence from international energy market. OPEC Energy Review, 48(2), 96–107. [Google Scholar] [CrossRef]
- Morck, R., Yeung, B., & Yu, W. (2000). The information content of stock markets: Why do emerging markets have synchronous stock price. Journal of Financial Economics, 58, 215–260. [Google Scholar] [CrossRef]
- Morgan, D. P. (2002). Rating banks: Risk and uncertainty in an opaque industry. American Economic Review, 92(4), 874–888. [Google Scholar] [CrossRef]
- Musil, K., Pranovich, M., & Vlcek, M. J. (2018). Structural quarterly projection model for belarus. International Monetary Fund. [Google Scholar]
- Múnera, D. J., & Agudelo, D. A. (2022). Who moved my liquidity? Liquidity evaporation in emerging markets in periods of financial uncertainty. Journal of International Money and Finance, 129, 102723. [Google Scholar] [CrossRef]
- Neaime, S., & Gaysset, I. (2022). Macroeconomic and monetary policy responses in selected highly indebted MENA countries post Covid 19: A structural VAR approach. Research in International Business and Finance, 61, 101674. [Google Scholar] [CrossRef]
- Okina, K., Shirakawa, M., & Shiratsuka, S. (2001). The asset price bubble and monetary policy: Japan’s experience in the late 1980s and the lessons. Monetary and Economic Studies, 19(2), 395–450. [Google Scholar]
- Pástor, L., & Veronesi, P. (2013). Political uncertainty and risk premia. Journal of Financial Economics, 110(3), 520–545. [Google Scholar] [CrossRef]
- Perico Ortiz, D. (2018). Measuring economic policy uncertainty in Colombia: A news based approach. Available online: https://ssrn.com/abstract=4193944 (accessed on 3 October 2024).
- Phillips, P. C., Shi, S., & Yu, J. (2015a). Testing for multiple bubbles: Historical episodes of exuberance and collapse in the S&P 500. International Economic Review, 56(4), 1043–1078. [Google Scholar]
- Phillips, P. C., Shi, S., & Yu, J. (2015b). Testing for multiple bubbles: Limit theory of real-time detectors. International Economic Review, 56(4), 1079–1134. [Google Scholar] [CrossRef]
- Phillips, P. C., Wu, Y., & Yu, J. (2011). Explosive behavior in the 1990s Nasdaq: When did exuberance escalate asset values? International Economic Review, 52(1), 201–226. [Google Scholar] [CrossRef]
- Salazar-Díaz, A., Garavito-Acosta, A. L., Restrepo-Ángel, S., & Arcila-Agudelo, L. V. (2023). Real Equilibrium Exchange Rate in Colombia: Thousands of VEC Models Approach. Lecturas de Economía, 2023(99), 33–78. [Google Scholar] [CrossRef]
- Segal, G., Shaliastovich, I., & Yaron, A. (2015). Good and bad uncertainty: Macroeconomic and financial market implications. Journal of Financial Economics, 117(2), 369–397. [Google Scholar] [CrossRef]
- Segura-Rodriguez, C. (2024). Neutral real interest rate in an open and small economy: The case of Costa Rica. Latin American Journal of Central Banking, 2024, 100159. [Google Scholar] [CrossRef]
- Shahzad, S. J. H., Anas, M., & Bouri, E. (2022). Price explosiveness in cryptocurrencies and Elon Musk’s tweets. Finance Research Letters, 47, 102695. [Google Scholar] [CrossRef]
- Sharif, A., Aloui, C., & Yarovaya, L. (2020). COVID-19 pandemic, oil prices, stock market, geopolitical risk and policy uncertainty nexus in the US economy: Fresh evidence from the wavelet-based approach. International Review of Financial Analysis, 70, 101496. [Google Scholar] [CrossRef]
- Silva, F., Ferreira, A., & Cortez, M. C. (2024). The performance of green bond portfolios under climate uncertainty: A comparative analysis with conventional and black bond portfolios. Research in International Business and Finance, 70, 102354. [Google Scholar] [CrossRef]
- Sims, C. A. (1980). Macroeconomics and reality. Econometrica: Journal of the Econometric Society, 48(1), 1–48. [Google Scholar] [CrossRef]
- Stock, J. H., & Watson, M. W. (2001). Vector autoregressions. Journal of Economic Perspectives, 15(4), 101–115. [Google Scholar] [CrossRef]
- Tao, R., Brooks, C., & Bell, A. R. (2020). When is a MAX not the MAX? How news resolves information uncertainty. Journal of Empirical Finance, 57, 33–51. [Google Scholar] [CrossRef]
- Tüzün, G. (2024). The importance of external shocks and global monetary conditions for a small-open economy: The case of Türkiye. Central Bank Review, 24(3), 100170. [Google Scholar] [CrossRef]
- Uribe, M. (1997). Exchange-rate-based inflation stabilization: The initial real effects of credible plans. Journal of Monetary Economics, 39(2), 197–221. [Google Scholar] [CrossRef]
- Ülkü, N. (2015). The interaction between foreigners’ trading and stock market returns in emerging Europe. Journal of Empirical Finance, 33, 243–262. [Google Scholar] [CrossRef]
- Watkins, G. P. (1922). Knight’s risk, uncertainty and profit. The Quarterly Journal of Economics, 36(4), 682–690. [Google Scholar] [CrossRef]
- Zhang, X. F. (2006). Information uncertainty and stock returns. Journal of Finance, 61, 105–136. [Google Scholar] [CrossRef]
Disclaimer/Publisher’s Note: The statements, opinions and data contained in all publications are solely those of the individual author(s) and contributor(s) and not of MDPI and/or the editor(s). MDPI and/or the editor(s) disclaim responsibility for any injury to people or property resulting from any ideas, methods, instructions or products referred to in the content. |
© 2025 by the author. Licensee MDPI, Basel, Switzerland. This article is an open access article distributed under the terms and conditions of the Creative Commons Attribution (CC BY) license (https://creativecommons.org/licenses/by/4.0/).






