Abstract
Research in sociophonetic perception has suggested that linguistic factors influence the social meaning of a particular variant, such that the strength of social meaning appears to be mediated by factors like grammatical category or phonological environment. Here, we further investigate the impact of linguistic factors on the perception of sociolinguistic variables by examining evaluations of /s/ aspiration in the speech of four male Puerto Rican Spanish speakers. We look at how evaluations of this variable pattern based on the phonological context (preconsonantal vs. prevocalic), the proportion of a given variant ([s] or [h]) in the stimuli, and the listener residence (Puerto Rico vs. mainland US). Our results replicate earlier work showing that /s/ realization contributes to status and masculinity ratings. However, we do not find evidence of an effect of incremental changes in the proportions of [s]:[h] variants in an utterance or an effect of listener residence. Critically, we do find that phonological context influences the evaluations of listeners: [s] is rated as less masculine than [h] in preconsonantal environments, but in prevocalic environments, there is no effect of variant. Given that [s] is rarely found in preconsonantal contexts in Puerto Rican Spanish, and even less so in male speech, this result is consistent with studies arguing that social meaning is stronger in marked contexts. Expected patterns for gender, phonological context, and dialect interact to make an [s] realization of preconsonantal /s/ particularly rare in male speech of this variety, which opens the door for more robust socioindexical meaning.
1. Introduction
A key contribution of work in the third wave of sociolinguistics has been the insight that the social meaning of variants is not fixed (Eckert 2012, p. 94). Different listeners respond differently to the same variant based on their linguistic background (Labov et al. 2011; Levon and Fox 2014), and even the same listener will respond differently to the same variant depending on other information they have about the speaker. This includes the regional or ethnic dialect of the speaker (Campbell-Kibler 2009; Pharao et al. 2014; Walker et al. 2014), the way the speaker pronounces other sounds in the utterance (Campbell-Kibler 2009; Levon and Buchstaller 2015), whether and/or how (in)frequently a particular talker is known to use a variant based on diverse social characteristics, such as gender (Podesva et al. 2015; Pharao and Maegaard 2017), and what the speaker is talking about (Montgomery and Moore 2018).
The cognitive mechanism responsible for speaker evaluations has been called the sociolinguistic monitor (Labov et al. 2011). Levon and Fox (2014) emphasize the role that salience has in the process of monitoring speech, both in terms of whether listeners notice a given feature and whether listeners associate that feature with a type of speaker or trait. Crucial here is the idea of markedness; while two (or more) pronunciations may be available to a speaker, one variant (the unmarked form) is more expected, while the other (the marked form) stands out because of its unexpectedness.
Marked and unmarked variants fare quite differently in evaluative tasks. In their work to establish the profile of the sociolinguistic monitor, Labov et al. (2011) found a logarithmic response in their listeners (US undergraduate students) to the percentage of (ING) tokens realized with the alveolar variant: a single alveolar realization (10% of all (ING) tokens in the stimuli) had a considerable impact on professionalism ratings, but increasing the percentage of alveolar variants had a diminishing effect on ratings. That is, the difference between 0% and 10% alveolar realizations was larger than the difference between 10% and 20%, which was larger than the difference between 20% and 30%, etc. Critically, this pattern was in response to the marked (alveolar) variant in the context of broadcast speech, and introducing a single token of the unmarked velar variant to stimuli that were dominated by alveolar variants had no significant impact on ratings.1
In a follow-up study, Levon and Fox (2014) extended the idea of markedness to broader sociolinguistic norms within a community. Despite the alveolar variant also being the nonstandard of the two realizations in British English, they found no effect at all of (ING) realization on professionalism ratings by their British participants. They argued that within the British context, (ING) realization is a weaker marker of class identity than in the American context, and, therefore, the association between class and (ING) is less automatically activated for these listeners.
This work demonstrates how markedness is completely intertwined with context. While most speaker perception work has focused on markedness coming from the social context, investigations into sociolinguistic patterns usually find linguistic constraints on variation as well—what Labov (1994) calls linguistic internal factors. For example, in his famous study of rhoticity in New York City department stores, Labov (1972, p. 52) identified not only an effect of socioeconomic class and attention paid to speech but also of whether the rhotic token is coda final (floor) or not (fourth).
Several studies have suggested that linguistic factors can influence social evaluations of variants.2 Podesva et al. (2015) found a more consistent impact of /t/ realization on speaker evaluation when the /t/ is word-medial compared to word-final. They argued that because released /t/ variants are less common word-medially, they are also “less predictable, thus more salient when heard, and therefore endowed with greater potential for carrying social meaning” (p. 81).
A similar argument was made by Vaughn (2022b), who looked at (ING) realization. It is well established in speech production studies that the likelihood of the alveolar variant of the variable (ING) depends on grammatical category; it is much more common to hear the alveolar variant on verbs (i.e., I was runnin’) than on nouns or gerunds (i.e., Runnin’ is fun). Vaughn and Kendall (2018) reported that listeners indicated being more surprised by the alveolar variant in less likely environments (like nouns), and, in an -in’ monitoring task, were more likely to notice the alveolar variant in less likely environments. Vaughn (2022b) then showed how this sensitivity to variants in marked environments impacts speaker perceptions: speakers are rated as more accented when the -in’ appears on word classes like nouns versus verbs.
The impact that linguistic factors have on the social evaluations of variables appears to depend both on the variant and the listener’s experience with the dialect in question. For the (ING) variable, Vaughn (2022b) found that grammatical category interacts with perceptions of the (marked) alveolar (ING) variant, but there was no effect for the (unmarked) velar variant; -ing was rated as equally unaccented across all grammatical categories. Similarly, for zero copula in African American Vernacular English (AAVE), Bender (2000) reported that the listeners’ race and, by extension, familiarity with copula presence/absence impacted their evaluations. This variable is grammatically conditioned, such that zero copula is more likely preceding a progressive verb (e.g., “she [‘s/0] teachin’ me piano”) than it is preceding a noun phrase (e.g., “she [‘s/0] my piano teacher”). Non-Black listeners, even those who report being familiar with AAVE, rated the speakers differently depending on copula realization, but their ratings did not depend on the following word type, which Bender interpreted as a lack of familiarity with internal constraints of the dialect. For Black listeners who identified as not speaking AAVE, their evaluation of zero copula (but not copula presence) was impacted by following word type, such that zero copula received more negative ratings in its most marked environment (e.g., before a noun). However, for Black listeners who identified as speaking AAVE, it was their evaluation of copula presence (but not copula absence) that was impacted by grammatical category, such that copula presence was rated higher in its most marked environment (e.g., before a verb).3 Bender interpreted these results as reflecting which variant is marked and/or least frequent for each group (p. 185).
Importantly, Bender’s work suggests that markedness can operate independently of standardness, despite the fact that the two are often conflated. For example, Wagner and Hesson (2014) state that “listeners form an impression of the speaker as they attend to the speaker’s frequency of marked (i.e., unexpected or relatively salient) features such as swear words, teenage slang, and nonstandard or nonnative-sounding grammar and pronunciation” (p. 652). For speakers of AAVE, the nonstandard variant, zero copula, also appears to be the unmarked variant based on its frequency within the dialect. It is the standardized variant, copula presence, that is marked, especially in contexts where it least frequently occurs.
In this paper, we further explore the role that linguistic factors have on the evaluation of sociolinguistic variants, focusing on another variable where the most frequent variant in the community is not the prescriptive norm: coda /s/ realization in Puerto Rican Spanish. We investigate patterns of variable evaluation depending on the percentage of a given variant in the stimuli (Labov et al. 2011; Levon and Fox 2014) and the linguistic context (Bender 2000; Podesva et al. 2015; Vaughn 2022b). Additionally, we consider how the listeners’ ambient environment might influence their social sensitivity to the variable by comparing listeners who currently live in Puerto Rico (islanders) to those living in the continental US (mainlanders).
2. Spanish Coda /s/
2.1. Coda /s/ Production in Puerto Rican Spanish
Puerto Rican Spanish is among the approximately 50% of Spanish dialects described as /s/-weakening varieties (Hammond 2001), meaning that /s/ in coda position is variably pronounced as a retained sibilant [s], lenited to an aspirated variant ([h]), or deleted altogether (∅) (Cedergren 1973; Guitart 1976; Lipski 1985).4 In Puerto Rican Spanish, the aspirated variant is overwhelmingly the most frequently used form; in its most favored linguistic environment(s), studies report rates as high as 81% (López Morales 1983) or 92% (Terrell 1978). The deleted variant is usually the next most frequent form, followed by sibilant [s] production, which is very infrequent, with studies reporting rates as low as 2% in disfavored environments (Terrell 1978).
Despite its low frequency in the dialect under study, there is evidence that sibilant [s] is the prescriptive norm (Lipski 1983) and is “generally recognized as the prestige variant” (Mack 2009, p. 27) across the Spanish-speaking world. This is reflected in speaker perception studies, where speakers using [s] are rated as being of higher status (Walker et al. 2014), and in speech production studies, which find that [s] usage increases in more formal styles (Lafford 1986), for speakers of higher social classes (Calles and Bentivoglio 1986; Lipski 1983; López Morales 1983), and for women (Cameron 2005; Terrell 1981), who commonly use more standard forms than men (Labov 1972, p. 55). However, [s] being prestigious does not mean, conversely, that [h] is low prestige; rather, aspiration ([h]) appears to be socially neutral in many weakening dialects (Lynch 2009, p. 772) and is still used more frequently than [s] in the Caribbean even by educated speakers in formal situations (Terrell 1982).5
Of great relevance to the present study, work on a variety of Caribbean dialects has shown that the segment following /s/ conditions variation, with the sibilant [s] being maintained more frequently when followed by a vowel (e.g., las amigas ‘the friends’) than when followed by a consonant (e.g., las casas ‘the houses’) (Alba 2000; Cedergren 1973; Lipski 1985; Lynch 2009; Poplack 1979; Terrell 1978). This appears to relate to the historical trajectory of /s/ aspiration, which began in preconsonantal contexts and from there expanded to prevocalic contexts (Lipski 1995, p. 291). Lynch (2009) found that the following segment was the strongest predictor of /s/ in his study on Cuban Spanish in Miami, with a 29% [s] retention rate before vowels and 14% before consonants. Poplack (1979) divided her study of /s/ in Philadelphia Puerto Rican Spanish into word-internal contexts, which are always preconsonantal, and word-final contexts, which can be followed by a consonant or vowel. Her statistical analysis of word-final contexts, like Lynch’s overall findings, selected the following sound as the leading predictor of [s], with weakening occurring more frequently before consonants (factor weight 0.93) than before vowels (0.22). In San Juan, Puerto Rico, Terrell (1978) also found much lower rates of [s] for word-final preconsonantal (2%) than prevocalic contexts (18%) and found similarly low preconsonantal sibilant rates word-internally (3%). In an investigation of news broadcasts in the Dominican Republic (Alba 2000), rates of [s] were 50% before consonants and 70% before vowels, showing that the pattern of more frequent [s] before vowels holds even in highly formal contexts in which the prescriptive sibilant is more common than in everyday speech. Given the preponderance of /s/ aspiration and deletion in Caribbean Spanish broadly, sibilant [s] may be considered the “marked” variant in Puerto Rican Spanish, particularly in a preconsonantal environment, as it is quite infrequent.
It is important to take into account that the linguistic background of the Puerto Rican population is heterogeneous. Due to their status as US citizens since 1917, travel to and from the island is common, and generations of Puerto Ricans live in the mainland United States. In fact, the population of stateside Puerto Ricans was 5.6 million in 2017 (Pew Research Center 2019), which far outnumbers the current island population of 3.2 million (U.S. Census Bureau 2020). Puerto Ricans residing on the mainland are far more likely to both be bilingual and have frequent contact with speakers of other dialects of Spanish, most notably Mexican Spanish, which overwhelmingly retains the sibilant [s] in coda (e.g., Lipski 1994). Studies comparing the production of /s/ among Puerto Ricans residing on the island to those on the mainland have shown mixed results. Poplack (1980) and Ramos Pellicia (2012) found lower rates of coda /s/ deletion among Puerto Ricans in Philadelphia and Lorain, Ohio, respectively, than on the island, while Ghosh-Johnson’s (2005) Puerto Rican participants in Chicago mirrored islander /s/ production. O’Rourke and Potowski (2016) found that generation is not a significant predictor of /s/ production for Puerto Ricans in Chicago and showed that the conditioning factors were consistent across generations. Erker and Reffel (2021) also did not find generational differences among Caribbeans in NYC and Boston. Studies on other variables in Puerto Rican Spanish, such as /r/ velarization and lateralization, have also displayed varied results in regard to whether living on the mainland influences production (Arias Alvarez 2018; Ramos-Pellicia 2007; Valentín-Márquez 2020). Given the heterogeneous linguistic experiences of Spanish speakers in the United States, conflicting results are not unexpected.
2.2. Social Meaning of /s/ Aspiration
Following the emergence of “third wave” (Eckert 2012) studies that examine the indexical meaning of linguistic variables, scholars have considered the social meanings of /s/ realization among listeners of both aspirating and non-aspirating dialects. For Puerto Rican Spanish, Mack (2009) found a connection between aspiration and perceived sexuality, such that syllable-final [s] is implicitly associated with a Puerto Rican speaker being gay. In a matched guise study, Walker et al. (2014) compared the evaluations of Puerto Rican and Mexican speakers by listeners from both dialects. In line with Mack (2009), they found that overall [s] was rated as less heteronormative than [h] regardless of speaker nationality. However, while female Mexican listeners exhibited no significant difference in their ratings of heteronormativity, a trend in the opposite direction was observed in which they rated [s] as more heteronormative. This once again highlights the influence of context on social meaning. For measures of status, they found that overall, [s] was associated with higher status than [h]; however, the difference in status ratings between the two guises was much smaller when listeners heard a Puerto Rican speaker than when they heard a Mexican speaker. Thus, there are both local and global social meanings tied to /s/ aspiration.
The nuance of the indexical meanings of /s/ aspiration is further confirmed by Chappell (2019a), who examined Mexican listeners’ evaluations of a subset of the same stimuli utilized by Walker et al. (2014). In rating Mexican and Puerto Rican speakers, these listeners again generally associated [s] with higher status; however, there was a significant interaction between variant and speaker nationality in evaluations of “goodness of Spanish.” This interaction showed that regional expectations condition listener evaluations given that Mexican speakers were rated as speaking better Spanish in the [s] guise while Puerto Rican speakers were rated as speaking better Spanish in the [h] guise. Finally, Chappell (2019a) showed a strong association between coda [h] and Caribbean identity, as both Mexican and Puerto Rican speakers were rated as more Caribbean in the [h] guise.
Although previous studies have not compared mainlander and islander Puerto Ricans’ perceptions of /s/ aspiration, some work has been carried out examining Mexican Americans’ sociophonetic perception, providing initial indications of heritage speakers’ evaluations. Using the same stimuli as Walker et al. (2014), Chappell (2021) found that overall perceptions of /s/ aspiration among second-generation Mexican Americans largely matched those of Mexicans in Mexico. For both groups of listeners, coda [s] indexed higher status and confidence, while coda [h] signaled Caribbean identity. This similarity in perceptions of monolingual Spanish listeners and bilingual US listeners is further supported when examining other sociolinguistic variables. In the evaluation of labiodentalized <v>, Chappell (2019b) observed that [v] was evaluated positively in women’s speech and negatively in men’s speech by both monolingual Mexican Spanish listeners and bilingual second-generation Mexican American listeners.
2.3. The Present Study
In the present study, we build on Walker et al.’s (2014) methodology, in which listeners were presented with utterances where all instances of preconsonantal coda /s/ were either aspirated (e.g., “…queda entre la e[h]cuela y el ho[h]pital ‘it’s between the school and the hospital’) or sibilants (e.g., “…queda entre la e[s]cuela y el ho[s]pital”). In the present study, we add two new types of stimuli: (1) sentences with all [s] or all [h] in prevocalic environments and (2) sentences with variable /s/ realizations (i.e., both [s] and [h]) in preconsonantal environments. The former tokens shed light on the role of phonological environment on speaker evaluation, and the latter allow us to explore the impact of the proportion of different /s/ realizations. To consider the impact that listener background might have on /s/ perception, we collected data from both Puerto Ricans living in Puerto Rico and from Puerto Ricans who live in the mainland US.
Our research questions are as follows:
- Does /s/ realization impact listeners’ perception of speakers of Puerto Rican Spanish? In other words, can we replicate the findings of Walker et al. (2014)?
- Does the impact of /s/ realization on speaker ratings depend on the phonological context in which the /s/ is produced (cf. Vaughn 2022b; Bender 2000)? Is the impact stronger in prevocalic environments (the relatively less common setting for [h] in Puerto Rican Spanish) or in preconsonantal environments (the relatively less common setting for [s])?
- What is the shape of participant response to different proportions of preconsonantal [s] vs. [h] realizations in a single utterance? Do we see evidence of a logarithmic response (Labov et al. 2011), a linear response (Levon and Fox 2014; Vaughn 2022a), or a flat response (Levon and Fox 2014)?
- Are any of the above effects mediated by the residential status (islander/mainlander) of the listener?
For the first research question, we expect to replicate the findings of Walker et al. (2014), showing that /s/ realization impacts social perceptions. There is abundant evidence that this variable is socially marked, and thus, it is likely that will be seen in our results. Furthermore, we expect to see an effect of phonological environment on speaker ratings, such that we observe a larger difference in ratings between [s] and [h] depending on the following environment (preconsonantal or prevocalic). Which environment results in a bigger effect depends on which of the two variants is the most marked: [s] is very infrequent, especially preconsonantally, and less expected, so we predict larger social meaning here, following previous studies showing more robust social meaning in marked contexts. Alternatively, given that [s] is considered prescriptively correct, we could find that it is responses to [h] that are most influenced by the following environment, with aspiration being relatively more unexpected in prevocalic position.
Given mixed findings in the literature to date, we enter this study without strong hypotheses for the third research question, although based on Walker et al. (2014), who showed differences between all and no [s], we do not expect a flat response. Finally, it is hard to predict whether residential status (islander/mainlander) will have an effect on ratings, as there are so few previous studies in this specific realm; however, we expect that Puerto Ricans residing in the mainland US may have different social evaluations given that they are generally exposed to more dialects of Spanish in their daily lives and may or may not have had formal schooling in Spanish.
3. Materials and Methods
3.1. Stimuli
The stimuli for the present study, consisting of a slightly modified version of the original recordings made by Walker et al. (2014), include four Puerto Rican male speakers who were between the ages of 19 and 35 and had lived in the mainland United States for one to nine years at the time of recording. The speakers were recorded giving directions in a simple map task that was designed to elicit coda /s/ in two linguistic environments: preconsonantal word-internal (i.e., esquina ‘corner’) and word-final prevocalic (i.e., las Américas ‘the Americas’). Upon completion of the map task, each speaker was asked to repeat the target words with an alveolar fricative [s] and with aspirated [h]. Given that Puerto Ricans use both, they had no issues producing the desired variants.
Excerpts were taken from these recordings to create two sets of stimuli: “context” and “additive.” “Context” stimuli were designed to test whether the following phonological environment had an effect on listener perceptions of [s]:[h]. For these stimuli, two sentences were extracted per speaker, one with two tokens of preconsonantal word-internal /s/ (such as esquina ‘corner’) and one with two tokens of word-final prevocalic /s/ (such as vas a ‘you are going to’), as seen in examples (1) and (2).6 There were no other tokens of /s/ in the sentences besides the target preconsonantal or prevocalic /s/. Two versions of each sentence were made: one with spliced [h] for all tokens of /s/ and one with spliced [s] for all tokens of /s/. Only three of the four speakers were included in this study because the fourth speaker did not produce a usable string of two prevocalic tokens; thus, splicing resulted in 12 “context” stimuli.
| (1) | Preconsonantal: Vira a la derecha, en la esquina a la izquierda. |
| ‘Turn right, at the corner to the left.’ | |
| (2) | Prevocalic: Y cuando llegues a la avenida de la República, vas a virar a la derecha. |
| ‘When you arrive at Avenida de la República, you will turn right.’ |
The “additive” stimuli served to test whether listener evaluations would change incrementally based on the proportion of [s] to [h] in an utterance. For these stimuli, one sentence containing three tokens of preconsonantal /s/ was extracted per speaker. Eight versions of each sentence were made by splicing [s] and [h] into the three target words in every possible combination, as seen in examples 1–8 below. This produced versions with a range of three tokens of [h] (all aspirated) to three tokens of [s] (all sibilant). In the case of one or two tokens of [s], the order was varied so that [s] and [h] appeared in all possible orders in the sentence; this also means that we have more instances of sentences with variable /s/ realizations (vs. zero [s] or three [s]). Since all four speakers were used for this set of stimuli, the splicing resulted in 32 “additive” stimuli. See Appendix A for the full set of stimuli and listen to the sound files at https://osf.io/a6nw2/?view_only=8ae9512090af46e6a8e3ad90dd1d847a.
| 1. | zero | [s]: E[h]tá entre el ho[h]pital y una e[h]cuela elemental. |
| 2. | one | [s]: E[s]tá entre el ho[h]pital y una e[h]cuela elemental. |
| 3. | one | [s]: E[h]tá entre el ho[s]pital y una e[h]cuela elemental. |
| 4. | one | [s]: E[h]tá entre el ho[h]pital y una e[s]cuela elemental. |
| 5. | two | [s]: E[s]tá entre el ho[s]pital y una e[h]cuela elemental. |
| 6. | two | [s]: E[s]tá entre el ho[h]pital y una e[s]cuela elemental. |
| 7. | two | [s]: E[h]tá entre el ho[s]pital y una e[s]cuela elemental. |
| 8. | three | [s]: E[s]tá entre el ho[s]pital y una e[s]cuela elemental. |
| ‘It’s between the hospital and the elementary school.’ | ||
In both sets of stimuli, spliced material came from the target word elicitation that the speakers recorded after the map task. In some cases where the /s/ was in an unstressed syllable, the duration of the spliced [s] was reduced to ensure it would sound natural. The amplitude of the spliced variants did not need to be adjusted. All stimuli were checked by four native speakers, two of whom were trained linguists, who agreed that the recordings sounded natural and would be interpreted as the desired variant ([s] or [h]) by naive native listeners.
3.2. Experimental Design
The stimuli were presented in an online survey hosted on Qualtrics (Provo, UT) that targeted native speakers of Puerto Rican Spanish. After consenting to participate in the experiment, participants completed a basic demographic questionnaire in which they reported their age, gender, where they were born, where they currently resided, in which cities they have lived and for how long, whether the majority of their friendships were with Puerto Ricans, and whether they used headphones or speakers to listen to the survey stimuli.7
After the demographic questionnaire, participants were presented with the stimuli and asked to evaluate each speaker, as seen in Figure 1. Following Walker et al. (2014) and work on perceptual dialectology (e.g., Preston 1999), participants rated each speaker on a six-point scale for the following social characteristics: menos/muy masculino (‘less/very masculine’), antipático/simpático (roughly ‘unpleasant/pleasant’), inseguro/seguro de sí mismo (‘unconfident/confident of himself’), menos/muy educado (’less/very educated’), and de clase baja/de clase alta (‘low class/high class’).8 They were also asked to estimate the age of the speaker and were given the option to leave a text comment about the speaker.
Figure 1.
Screenshot of the online experiment on Qualtrics.
While there were 44 unique stimuli, each participant only heard 20. This was carried out both to keep the online experiment short to decrease attrition and because, of those 44 stimuli, some were eight versions of the same original sentence with different combinations of [s] and [h] variants (see Section 3.1), which we believed might highlight the repetition in voices and potentially frustrate or bore the participants. The 20 tokens that participants heard consisted of all 12 context tokens (both the [s] and [h] variants of the prevocalic and preconsonantal sentences from three speakers) and 8 additive tokens (two of the eight versions of the sentences produced by the four speakers). Which two additive tokens participants heard was semi-randomized (for speakers 1 and 2, it was either the sequence of tokens (1,3,5,7) or (2,4,6,8) and, for speakers 3 and 4, either (1,2,3,4) or (5,6,7,8)). The experiment was split into two halves, and each half had a set trial order, such that if a listener heard speaker 1’s additive sentence first in the list, the second time they heard the same sentence (with a different version), it would be eleventh in the list (10 trials later). Which half the participants began with was randomized, and there were two different lists (into which participants were assigned) so that the order of trials somewhat differed across listeners. We decided not to include any filler stimuli in order to keep the experiment concise. We did not feel this would be problematic given that the vast majority of participants in Walker et al. (2014) did not exhibit knowledge of which variable was being studied. In the present study, no participants specifically pointed out /s/ in the comment field at the end of the survey, which suggests it is unlikely that they were aware that coda /s/ was the variable under investigation.
It is worth noting that this experimental design differs markedly from the classic paradigm that Labov et al. (2011) used to investigate the impact of different proportions of variant realization on speaker perceptions, which has also been used by researchers directly extending that work (Levon and Fox 2014; Levon and Buchstaller 2015; Wagner and Hesson 2014; Vaughn 2022a). This was a pragmatic choice (our study uses stimuli from Walker et al. 2014) but also reflects concerns expressed in the literature about the design of Labov et al. (2011), where participants heard the same recording 10 times in a row, starting with no unmarked variants and changing only by the addition of one marked variant on each listen. As Vaughn notes, this design means that the researcher’s variant of interest is “fairly transparent after hearing several versions of the passage” (Vaughn 2022a, p. 517). In our study, participants heard only two versions of each utterance, with nine other trials in between, and which version they heard was randomized. It is also worth noting that the stimuli in Labov et al.’s study had 10 tokens of the variable of interest, while our additive stimuli had only 3. Given that Labov et al.’s (2011) results suggest that the greatest changes were observed with the introduction of a single unmarked variant and were discussed in terms of proportions of variants, not raw counts, we believe that our findings can still offer insights into discussions of the sociolinguistic monitor.
3.3. Participants
Initial data collection was conducted from fall 2015 to fall 2018, recruiting participants through friends and colleagues via email. In order to complete the study, participants had to be at least 18 years old and be native speakers of Puerto Rican Spanish. We indicated that we were interested in participants from both the mainland and the island. Completion of the survey was compensated with a USD 5 gift card/voucher through Amazon, Paypal, or Venmo. While collecting additional data in October 2018, we realized the survey had been hacked by bots given that the demographic information collected was nonsensical. We increased security on the survey by adding a password and attempted to recruit more participants by posting the survey in Facebook groups targeting Puerto Ricans in May 2021; however, the survey was hacked again, this time by people who took the survey multiple times, as evidenced by repeated IP addresses and answers on the demographic questionnaire. We examined the data from October 2018 and May 2021 to differentiate real and fake responses, and suspect data, containing repeated IP addresses or nonsensical information, were not included in our analysis. We also removed participants who completed less than 75% of the study and one participant who responded with the exact same answer to every attribute for every speaker. In total, we include data from 89 participants from this initial data collection.
To protect against hacking, beginning in the summer of 2022, we used the platform Positly to continue data collection by distributing our Qualtrics survey through both Amazon’s Mechanical Turk (MTurk) and via a traditional panel platform (TPP). Participants were compensated USD 3.80–6.50 through Positly; compensation varied according to platform standards. Because the TPP distributes the survey to companies who recruit workers from specific zip codes, this method was particularly effective to recruit Islanders. Positly blocks suspicious and duplicate IP addresses and allows researchers to include attention checks and language questions to filter out unsuitable participants (see Appendix B). To proceed to our study, participants on both MTurk and TPP had to pass all attention checks, claim to be a speaker of Puerto Rican Spanish, and correctly name two of four images with the Puerto Rican term for the depicted item. This last step was especially important for US participants in order to exclude speakers of other dialects of Spanish from our dataset. In our analysis, we include data from 145 participants who met these criteria, finished at least 75% of the study, and did not respond with the same answer to every attribute for all speakers (1 participant). As explained in Section 3.2, participants who finished 100% of the study only heard 20 of the total 44 stimuli; thus, participants who completed 75% of the study did not hear a significantly smaller portion of the stimuli than those who completed the survey in its entirety.
Combining the two datasets, the responses of a total of 234 listeners were included in our analysis. The demographic information of the listeners is presented in Table 1. There are over twice as many listeners residing on the island as there are on the mainland US, which is a byproduct of the fact that it was easier to recruit island residents on Positly. Unsurprisingly, the vast majority of the island residents were also born on the island; however, it is notable that most of the mainland residents were also born on the island. The mean age of the two populations is very similar, as well as the proportion of responses from male versus female listeners, with female listeners representing nearly 60% of the data in both populations. The proportion of life in Puerto Rico was calculated by dividing the number of years the listener had spent living on the island by their age. While the average proportion of life in Puerto Rico is much higher (0.97) for island residents compared to mainland residents (0.45), the range for both populations is quite large, which reflects the migratory nature of Puerto Ricans mentioned in Section 2.1.
Table 1.
Listener demographics.
3.4. Data Analysis
Walker et al. (2014) found that some of the seven different attributes on which participants were asked to rate speakers were correlated, reflecting broader latent variables. Specifically, class and education loaded highly onto a factor called “status,” and masculinity and sexuality loaded onto a factor called “heteronormativity.” In the present study, we similarly ran a factor analysis, this time on six attributes (because we did not include a question on sexuality), and the Kaiser rule and parallel analysis (Bandalos and Boehm-Kaufman 2008; Weatherholtz et al. 2014) indicated that our factor analysis should have 3 factors. When we ran this model,9 the first factor was again status, with high loadings for education (0.93) and class (0.72) and a loading above 0.4 for confidence. The second factor appeared to primarily capture pleasantness ratings (0.99), and the third captured masculinity (0.62). In the following analyses, we default to using the status factor as a dependent variable in our model, but given that the last two factors consist of one factor, we revert to raw responses for pleasantness and masculinity ratings, as well as age ratings, which did not load above 0.3 on any factor.10
We used linear mixed-effects regression models, with random effects for the participant and speaker. We tested for main effects of the /s/ variant (Section 4.1), the number of [s] in an utterance (Section 4.2), and an interaction between the /s/ variant and phonological environment (Section 4.3). In all models, we also test for interactions between these factors and listener residency.11 We chose the best-fit models by starting with a full model and reducing the model by log likelihood comparisons of more and less complex models.
4. Results
4.1. [s] vs. [h]: Replicating Walker et al. (2014)
We begin our analysis by examining whether we can replicate the basic finding of Walker et al. (2014) that [s] variants are rated as less masculine, higher status, and more pleasant than [h] variants in preconsonantal environments. For this analysis, we include all tokens where the /s/ realizations were either all [s] or all [h]: the extremes of the additive tokens (with zero [s] or three [s]) and the preconsonantal subset of the context tokens (total N = 1796). There were no significant effects of /s/ realization or listener residency on pleasantness or age ratings in this analysis. Thus, we only report masculinity and status results here.
Looking first at masculinity (Figure 2), we find a robust effect of /s/ realization on masculinity ratings in the expected direction: tokens with all [s] are rated as less masculine (mean = 4.27) than tokens with all [h] (mean = 4.45). This difference is significant (Table 2) and holds in subset islander and mainlander models as well. It also holds if we use the masculinity factor values produced from the factor analysis. Listener residency did not improve the model as a main effect or in interaction with /s/ realization. That is, there is no statistical difference between islanders’ and mainlanders’ ratings of masculinity.
Figure 2.
Aggregate masculinity scores by listener residence and /s/ realization (higher rating = more masculine).
Table 2.
Summary of best mixed-effects model for masculinity (N = 1796).
Figure 3 shows the impact that /s/ realization has on status ratings: tokens with [s] are rated as higher status than tokens with [h]. This is significant in our mixed-effects model (Table 3). Again, there is no effect of listener residency, and the main effect of /s/ realization holds in islander and mainlander subsets of the data.
Figure 3.
Aggregate status scores by listener residence and /s/ realization (higher rating = higher status).
Table 3.
Summary of best mixed-effects model for status factor (N = 1796).
To better understand the effect size and more easily compare status and masculinity, we can look separately at class and education ratings, the two components that contributed the most to the status factor in the factor analysis. In models with these ratings as the dependent variable, /s/ realization is not a significant factor (though it approaches significance in the education model (p = 0.07)). Thus, while speakers producing all [s] are rated as being of a higher class (mean = 3.84) and more highly educated (mean = 3.98) than the same speakers producing all [h] (mean class = 3.8, mean education = 3.9), these differences are very small (less than 0.08 on the six-point scale used). It is fair to say that the effect of /s/ realization on perceptions of speaker status is not as robust as the effect on perceptions of masculinity given its particularly small size and the fact that it is determined by which dependent variable is used.
4.2. The Effect of Phonological Environment on Ratings
For the next analysis, we consider only the tokens designed to test the role that phonological context might have in how much /s/ impacts speaker evaluation (N = 2724 given that all context stimuli are included). Specifically, we are comparing the impact of /s/ realization when the /s/ is prevocalic to when it is preconsonantal. In this and the following analyses, we report only on status and masculinity ratings, as pleasantness and age ratings exhibit no significant effect of /s/ realizations in this dataset.
Figure 4 shows the impact of /s/ realization on masculinity ratings (left) and status ratings (right) by the phonological environment. The results look very similar to the figures in our first analysis—this is unsurprising considering the two analyses share some data—and the effect of /s/ is again significant as a main effect for both masculinity and status ratings (Table 4 and Table 5). For masculinity, there is a significant interaction between /s/ realization and phonological context (Table 4): using [s] makes speakers sound less masculine but only in preconsonantal environments.
Figure 4.
Aggregate masculinity (left) and status (right) scores by variant and phonological context for context stimuli (higher rating = more masculine/higher status).
Table 4.
Summary of best mixed-effects model for masculinity for context stimuli (N = 2724).
Table 5.
Summary of best mixed-effects model for status factor for context stimuli (N = 2724).
In the status model (Table 5), there is a significant interaction between phonological environment and listener residence, such that Islanders rate the utterances with prevocalic /s/ as higher overall than those with preconsonantal /s/. Importantly, however, this effect is independent of /s/ realization and instead may reflect the fact that preconsonantal and prevocalic utterances were slightly different in other ways too. For instance, the prevocalic stimuli were more often made by joining together two clauses from different sentences, while the preconsonantal sentences were typically a single string of audio. Nevertheless, the content of preconsonantal and prevocalic stimuli was very similar (giving directions), and there are multi-clausal sentences in both types of stimuli.
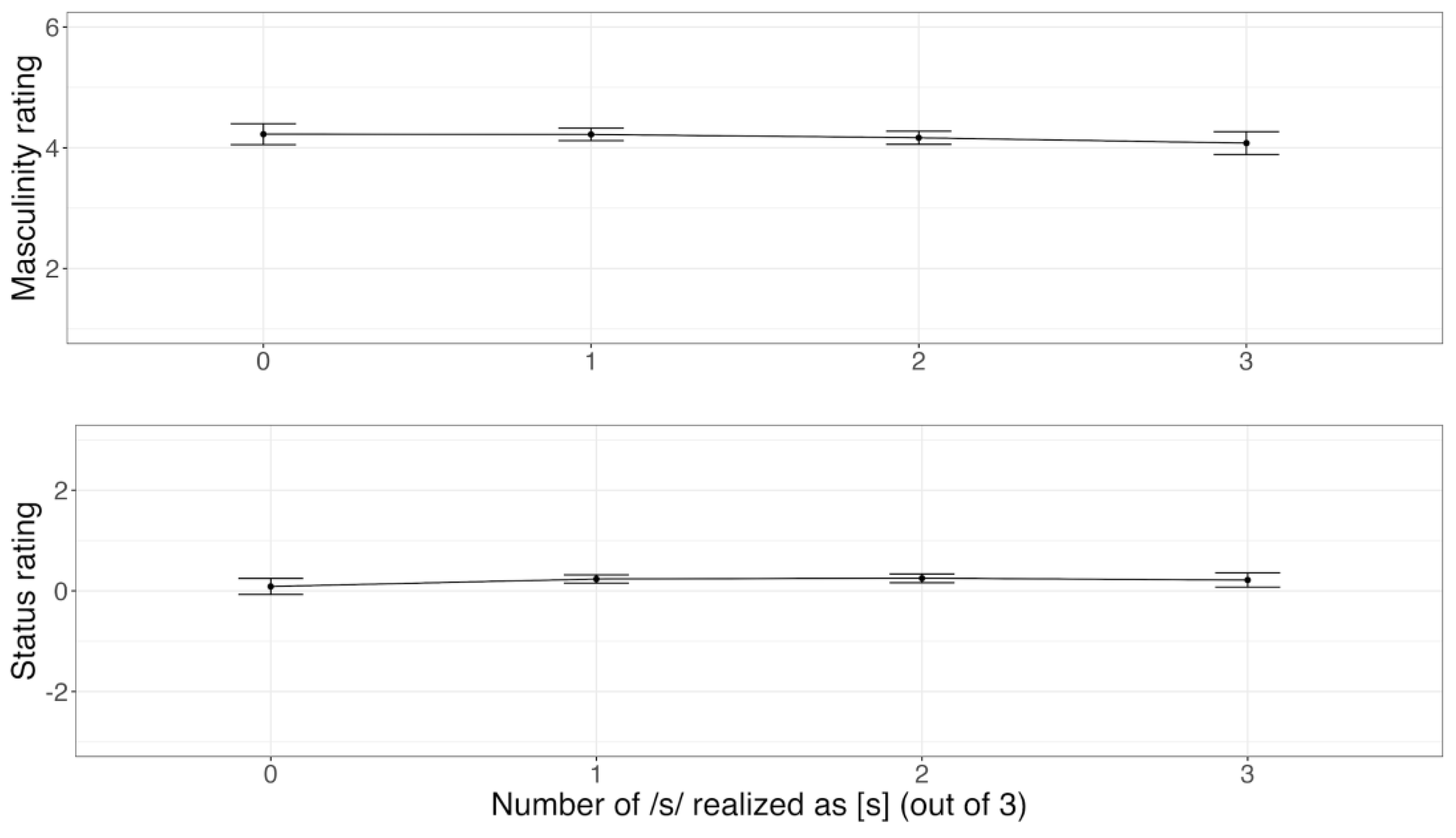
4.3. Additive Effects of [s] and [h]
In this final analysis, we consider only the additive tokens (N = 1790). In these tokens, the utterance had three cases of preconsonantal /s/, and we are interested in the impact that the number of [s]/[h] realizations have on ratings. Figure 5 shows the effect of the number of /s/ realized as [s] on masculinity ratings (top) and status ratings (bottom) by listener residency. The lines are effectively horizontal, which indicates that the number of [s] realizations does not appear to impact speaker perception. This is supported by our statistical analyses, which show no effect of /s/ realization whether we treat the number of [s] as a numeric, categorical, or binary variable that splits (1) zero [s] vs. one or two [s], (2) three [s] vs. one or two [s], or (3) one or less [s] vs. two or more [s].
Figure 5.
Aggregate masculinity (top) and status (bottom) scores by number of /s/ realized as [s] for additive stimuli (higher rating = more masculine/higher status).
In fact, we do not even find an effect of all (three) [s] vs. zero [s], the comparison we made in our first analysis (if we subset our tokens to this comparison). This may be surprising, but it is important to remember that in the eight additive stimuli (see Section 3.1), there was only one version of each sentence with zero tokens of [s] and one version with all three [s], as the other six stimuli had different combinations of one or two [s] tokens. Thus, the lack of effect of an all:none comparison here probably reflects the much smaller number of observations in this subset (N = 427) and that the effect size is very small: the strongest effect we saw in Section 4.1 (for masculinity ratings) was an approximately .2 change on a six-point scale.
5. Discussion
In the present study, we find that /s/ realization can impact masculinity and status ratings of male Puerto Rican speakers, such that they are heard as more masculine and of lower status with the [h] variant compared to the [s] variant. For masculinity ratings, this effect is only seen in preconsonantal environments; however, there is no effect of phonological context on status ratings. In examining the number of realizations of [s] or [h] that participants heard, we find that ratings of status and masculinity remain the same whether listeners heard zero, one, two, or three tokens of [s] in the stimuli.
Upon returning to our first research question, which considers the overall impact of /s/ realization on speaker evaluations, our analysis largely replicates the findings of Walker et al. (2014), who found that Puerto Rican listeners rated speakers using all [h] for preconsonantal /s/ as more masculine, lower status, and more pleasant than speakers using all [s]. We observe the same effect of /s/ realization on masculinity and status ratings but find no impact on pleasantness ratings. This may reflect the fact that the Walker et al. (2014) dataset also included ratings of Mexican speakers, and, while there was not a significant effect of speaker nationality in the pleasantness model in that study, it is possible that responses to Mexican speakers were driving the effect. The fact that the current study does not include Mexican speakers or listeners may then explain the lack of a significant result for pleasantness ratings.
In response to our second research question, concerning the influence of phonological context on social meaning, we do find an effect of phonological context on /s/ ratings such that listeners are more sensitive to /s/ realization in assessing masculinity in preconsonantal environments than they are in prevocalic environments. This effect appears to be driven by responses to the [s] variant (Figure 4, left panel): masculinity ratings are lower when there is an [s] in the preconsonantal environment. In interpreting these results, it is important to emphasize the Puerto Rican context for this study to disentangle notions of markedness and prescriptiveness. There is abundant evidence that, of the two variants we examine in this study, [s] is associated with prescriptive correctness: it is used more by speakers of higher social class (López Morales 1983) and in formal contexts (Lafford 1986) while also being rated as higher status in tasks like ours (including our findings in Section 4.1 and Section 4.2 and those of Walker et al. 2014). At the same time, [h] is the overwhelmingly dominant variant in Puerto Rican Spanish (López Morales 1983; Terrell 1978), which means that most speakers that people encounter—be they particularly masculine, educated, or not—will use [h] most of the time. This is supported by the fact that several listeners in Walker et al.’s (2014) study explicitly commented on the “foreignness” of [s] in Puerto Rican voices, and Chappell (2019a) found that Puerto Ricans (but not Mexicans) were rated as speaking “better Spanish” using [h].
While [h] is the expected realization for coda /s/ in Puerto Rican Spanish overall, this is especially true in preconsonantal environments: production studies find rates of preconsonantal [s] as low as 2–3% of the time (Terrell 1978). This renders [s] as particularly unexpected before a consonant. Bender (2000) argues that social meanings of variants are more salient in marked linguistic environments (see also Podesva et al. 2015; Vaughn 2022b), and our results are consistent with this: [s] more strongly indexes low masculinity when it appears in a particularly disfavored phonological environment. Since women tend to use [s] more than men (Terrell 1981; Cameron 2005), an [s] realization is particularly unexpected for our stimuli, as they feature only male speakers. As such, what is “expected” here depends on the relationship between dialect, gender, and phonological context. This interaction renders a preconsonantal [s] production in a male Puerto Rican voice as noteworthy, which opens the door for more robust indexical meaning to be tied to this variant in this particular context. However, in an environment where [s] is more likely, even if still a minority variant (prevocalically), masculinity ratings are not significantly affected by /s/ realization.12
Given that [s] is the minority variant in all contexts, it could be considered surprising that [s] is not always carrying out significant social work. That is, we might expect it to have a stronger meaning before consonants, because that is where it is particularly disfavored, but still to be carrying out some social work prevocalically. The fact that this is not the case might be related to something observed in the literature on lexical access: words with canonical but infrequent variants (i.e., released /t/ in “center”) are recognized as easily as words containing the most frequent variant (i.e., /t/ deletion in “center”). Sumner et al. (2014) propose that such results are the product of a dual route of processing, where infrequent but prestigious variants are stored differently than other variants. As more studies, including our own, suggest effects of frequency on the social salience of a variant, it will also be valuable to consider other ways in which variants may become relatively unmarked to listeners.
Importantly, our work, like Bender’s (2000), highlights that markedness can be distinct from prescriptive norms, primarily reflecting the frequency of use. It also highlights the contextual sensitivity of social meaning, and we predict that evaluations of female Puerto Rican Spanish speakers would be quite different given their overall higher production of coda [s] and the fact that female speakers are typically evaluated positively when using prestige variants (e.g., Chappell 2019b). Furthermore, we may expect a different pattern of markedness if we examined the impact of linguistic context on social meaning in a different variety, for example, Mexican Spanish. In such an /s/-retaining dialect, we predict that it is the social meaning of infrequent [h] that is more sensitive to phonological context, such that social meaning is intensified prevocalically (where [h] is less common across aspirating dialects (Hammond 2001)) or possibly that social meaning is not dependent on phonological context at all, as coda /s/ aspiration does not occur in either context in the vast majority of Mexican dialects (e.g., Lipski 1994, pp. 279–83).
Seeing as the present study included only word-internal preconsonantal /s/ and word-final prevocalic /s/ before an unstressed syllable, future studies examining phonological context should more carefully control for its interaction with stress and word position. Rates of /s/ aspiration differ before stressed and unstressed syllables and in word-internal versus word-final position (see Section 2.1), so it is possible that speakers may be attuned to this difference in their social evaluations of this variable. Vaughn (2022a) has also suggested that there might be lexically specific effects of phonological context, such that a word-final [s] could be rated differently not simply because it is currently, in this utterance, before a consonant but if it is a word that typically appears before a consonant and therefore is especially likely to be realized as [h] (regardless of the current phonological environment, cf. Guy et al. 2008).
Our third research question concerned the different proportions of [s] versus [h] realizations in a single utterance, and we do not see evidence of a logarithmic (Labov et al. 2011) or linear (Levon and Fox 2014; Vaughn 2022a) response but rather find a flat response (i.e., no effect), similar to evaluations of professionalism for (ING) in Levon and Fox (2014). It is worth emphasizing that this is a null result, which could simply reflect poor experimental design, insensitive tools, and, quite likely in this case, an underpowered statistical model. At the same time, in their cautious interpretation of their null (i.e., flat) result, Levon and Fox hypothesize that a weak correlation between (ING) and social class across British English (where it has more regional significance) leads to a weak association between this variable and professionalism, such that the null result may be truly informative: listeners simply do not find (ING) particularly meaningful when assessing professionalism. This reasoning may hold true for coda /s/ as well, given that aspiration may be considered neutral in Puerto Rican Spanish and Caribbean Spanish more broadly. For instance, Lafford (1986, p. 73) claims that /s/ aspiration “cannot be considered a significant social marker due to its weak stratification power.” In the current study, the effect of /s/ realization on status ratings is small and very sensitive to the particular way we measure status, and even the larger effect size for masculinity is approximately 0.2 on a six-point scale. Therefore, even though we can see an effect of all [s] vs. all [h] realizations when we have more data (see Section 4.1 and Section 4.3), these effects are so small that they suggest a weak role of /s/ realization in speaker evaluation. Moreover, as mentioned in Section 3.2, our methodology differed from the Labov et al. (2011) paradigm such that our participants’ attention was likely less drawn to /s/ realization. Future work could compare how response profiles depend on the experimental design and listener awareness of the variable under study. This would force us to think more carefully about the sociolinguistic monitor in terms of what listeners are able to pay attention to and find meaning in (i.e., ability), as opposed to what they more typically pay attention to and find meaning in (i.e., proclivity).
Future work on perceptions of /s/ realization should also consider responses to deletion, as the deletion of coda /s/ is more socially stratified than aspiration (e.g., Lafford 1986) and is often stigmatized in Puerto Rican Spanish (Valentín-Márquez 2006). Thus, we could expect very different results in both the additive and contextual analyses if, instead of comparing sibilant and aspirated variants, we compared sibilant, aspirated, and deleted variants.
Our final research question addressed the role of listener residence on listener perceptions, and we do not find any differences between islanders and mainlanders in regard to their perception of /s/ realization. One might wonder if this is because the current residence of our listeners is not indicative of their full residential history, particularly given the fact that many Puerto Ricans often move back and forth between the island and mainland US (see Section 2.1). Table 1, however, shows that the islander listeners have resided a notably larger portion of their life (0.97) on the island than the mainlander listeners (0.45), but future studies could consider a more nuanced conceptualization of ‘residence.’ Regardless, we may expect not to find differences between the two populations, in line with some studies that show similar coda /s/ production between Puerto Ricans on the island and mainland (Ghosh-Johnson 2005; O’Rourke and Potowski 2016; Erker and Reffel 2021) and the fact that sociophonetic perception is found to be similar between second-generation Mexican Americans and Mexicans (Chappell 2019b; Chappell 2021). We do find an effect of listener residence independent of /s/ realization, such that Puerto Ricans rate sentences with prevocalic /s/ as higher status than sentences with preconsonantal /s/ regardless of variant. More research is needed to further elucidate this unexpected difference, but it could suggest that mainlanders and islanders do respond to Puerto Rican Spanish differently along certain dimensions.
6. Conclusions
The most important result of this study is that listeners take phonological context into consideration in their evaluations of speaker masculinity, such that social meaning is more robust in more marked environments, corroborating the findings of Bender (2000), Podesva et al. (2015), and Vaughn (2022b). Crucial to our analysis is the disentangling of prescriptiveness and markedness—in Puerto Rican Spanish, it is the norm to aspirate coda /s/, so a sibilant realization ([s]), though prescriptively correct, is more marked and unexpected, particularly in preconsonantal position in men’s speech, where it is especially rare. Additionally, we find no differences in the evaluations of listeners residing on the island versus those on the mainland US in regard to their perception of /s/, which adds to the growing body of evidence that sociolinguistic norms are maintained in Spanish-speaking communities in the US (Chappell 2019b, 2021; Erker and Reffel 2021).
Author Contributions
Conceptualization, C.G. and A.W.; methodology, C.G. and A.W.; data collection, C.G., A.W., and M.B.; formal analysis, A.W.; writing—original draft preparation, C.G., A.W., and M.B.; writing—review and editing, C.G., A.W., and M.B.; visualization, A.W.; funding acquisition, C.G. and M.B. All authors have read and agreed to the published version of the manuscript.
Funding
This project was funded by Denison’s Professional Development Fund and Saint Louis University’s College of Arts and Sciences.
Institutional Review Board Statement
Data collection for this study was first approved by the Institutional Review Board of Virginia Tech (protocol 15-1103, 11/18/15) and subsequently by Denison University (protocol DU IRB SP20 no. 3, 1/21/20).
Informed Consent Statement
Informed consent was obtained from all subjects involved in the study.
Data Availability Statement
Data associated with this project are available at https://osf.io/a6nw2/?view_only=8ae9512090af46e6a8e3ad90dd1d847a (accessed on 1 December 2022).
Acknowledgments
Thank you to Kathryn Campbell-Kibler for her early contributions to this project. Thank you also to Nikita Manavi at Positly who was immensely helpful in the recruitment of participants for this study and to our reviewers and editors for helpful feedback.
Conflicts of Interest
The authors declare no conflict of interest. The funders had no role in the design of the study; in the collection, analyses, or interpretation of data; in the writing of the manuscript; or in the decision to publish the results.
Appendix A
Appendix A.1. Context Stimuli
| Speaker | Type | Sentence |
| 1 | Pre-C | Y a la derecha, en la esquina a la derecha está. To the right, it’s on the corner to the right. |
| Pre-V | Y luego vas a ver el número diez al lado del banco. And then you will see number ten next to the bank. | |
| 2 | Pre-C | Va a estar al lado del hospital. It’s going to be next to the hospital. |
| Pre-V | Sigue directo, llegas al final de la calle Bolívar y vas a encontrar… Continue straight, you will arrive at the end of Bolívar street and you will find… | |
| 3 | Pre-C | Eh, vira a la derecha, en la esquina a la izquierda. Turn right, at the corner to the left. |
| Pre-V | Y cuando llegues a la avenida de la República, vas a virar a la derecha. And when you arrive at Avenida de la República, you will turn right. |
Appendix A.2. Additive Stimuli
| Speaker | Sentence |
| 1 | Está entre el hospital y una escuela elemental. It’s between the hospital and the elementary school. |
| 2 | Y va a estar entre, en, a la derecha, en la esquina de la Avenida de la República y Colón, al lado del hospital. And it’s going to be between, on, to the right, on the corner of Avenida de la República and Colón, next to the hospital. |
| 3 | A la izquierda, queda entre la escuela y el hospital. To the left, it’s in between the school and the hospital. |
| 4 | Y luego de pasar el hospital a tu izquierda, está el lugar. And after passing the hospital on your left, there is the place. |
Appendix B
Appendix B.1. Attention Checks
These questions are multiple-choice questions designed to eliminate users who are randomly choosing answers as well as bots. Correct answers are bolded.
Antes de empezar, conteste estas tres preguntas:
Before we begin, please answer these three questions:
En tu vida, ¿cuántas veces Ud. ha estado en la luna?
- (a)
- 5 o más veces
- (b)
- 2–4 veces
- (c)
- 1 vez
- (d)
- nunca
In your lifetime, how many times have you been to the moon?
- (a)
- 5+ times
- (b)
- 2–4 times
- (c)
- 1 time
- (d)
- 0 times
¿Con qué frecuencia Ud. experimenta ataques cardíacos fatales?
- (a)
- nunca
- (b)
- a veces
- (c)
- a menudo
How often do you experience fatal heart attacks?
- (a)
- Never
- (b)
- Sometimes
- (c)
- Often
Verdadero o falso: Cuando Ud. se enoja, se aumenta de tamaño y se vuelve un verde brillante.
- (a)
- verdadero
- (b)
- falso
True or false: When you get angry, you increase in size and turn bright green.
- (a)
- True
- (b)
- False
Appendix B.2. Language Screening
In order to pass the language screening, participants needed to answer the first question in the affirmative and then correctly identify two of the four pictures by typing the Puerto Rican name for the object. Misspelled answers were accepted as correct.
¿Ud. habla español puertorriqueño? Para aclarar, si Ud. nació en la isla o si nació en los Estados Unidos a una familia puertorriqueña, puede decir que sí.
Sí, hablo español puertorriqueño.
No, no hablo español puertorriqueño.
Do you speak Puerto Rican Spanish? To clarify, if you were born on the island or if you were born in the United States to a Puerto Rican family, you can say yes.
Yes, I speak Puerto Rican Spanish.
No, I do not speak Puerto Rican Spanish.

En Puerto Rico, ¿cómo se llama esta fruta?
In Puerto Rico, what is this fruit called?
(correct answer: china)

¿Cuál es la palabra puertorriqueña para este objeto?
What is the Puerto Rican word for this object?
(correct answer: zafacón)

¿Cómo se llama este plato puertorriqueño?
What is the name of this Puerto Rican dish?
(correct answer: mofongo)

¿Cuál es la palabra puertorriqueña para estos aparatos que se usan para escuchar música?
What is the word used in Puerto Rico for these devices used to listen to music?
(correct answer: bocinas)
Notes
| 1 | This logarithmic response was replicated by looking at the same variable and using the same paradigm for US listeners by Wagner and Hesson (2014) but not by Vaughn (2022a), who instead found a more linear effect of the proportion of alveolar tokens on speaker ratings. |
| 2 | It is also worth noting that work in speech production suggests that speakers account for linguistic factors (word frequency, neighborhood density, and lexical constraints) in stylistic choices (Hay et al. 1999; Munson 2007; Lin and Chan 2022). |
| 3 | Participants in Bender’s study were asked to evaluate speakers in terms of how good they thought the person’s job was and how educated, likable, confident, polite, reliable, and comical they sounded. The presence or absence of copula most impacted ratings of education and job, such that copula presence led to impressions that the speaker was more educated and had a better job, and had the least impact on comical ratings. However, in the analysis examining the impact of the following grammatical category, Bender looks at any scale where a given listener was impacted by copula presence/absence. |
| 4 | Most sociolinguistic studies (Alba 2000; Cedergren 1973; Guitart 1976; Lipski 1985; Lynch 2009; among many others) divide /s/ realizations into these three categories ([s], [h], and [∅]). Studies that take into account more phonetic detail note that other weakened variants exist. For example, aspiration is often voiced ([ɦ]) (Luna 2010). Gemination of the following consonant is common, particularly in Cuban Spanish (estar > [et.taɾ]) (Terrell 1979). /s/ is also sometimes realized as a glottal stop [ʔ], particularly before vowels (vamos a > [b a.moʔ.a]), but has also been documented before consonants in Puerto Rican Spanish (Mohamed and Muntendam 2020). |
| 5 | Unlike aspiration, deletion is socially stratified in many /s/-weakening dialects (Alfaraz 2000; Lafford 1986; Lynch 2009) and is thus often stigmatized, including in Puerto Rican Spanish (Valentín-Márquez 2006). |
| 6 | It is important to note here the interaction between phonological context, word position, and syllable stress in our stimuli. All of the preconsonantal tokens of /s/ are word-internal and are mostly followed by stressed vowels, with the exception of hospital. On the other hand, the prevocalic tokens of /s/ are word-final and followed by unstressed vowels. In his comparison of /s/ aspiration rates in several dialects, Lipski (1985) found minimal differences between aspiration in word-medial versus word-final preconsonantal /s/. He did find a difference between aspiration in prevocalic contexts based on stress (more aspiration before an unstressed vowel); however, this fact should not impact greatly our findings, as the prevocalic tokens included in the stimuli are homogenous in terms of stress (all before unstressed vowels). |
| 7 | As will be explained in Section 3.3, listeners completing the survey through Positly also filled out attention checks and a language screening before completing the demographic questionnaire. |
| 8 | One difference between the questions in Walker et al. (2014) and the present study is that, here, most of the participants were not asked to evaluate the speakers’ sexuality. After the first round of data collection, we decided to take this social characteristic out of the survey given that two Puerto Rican informants mentioned that this could be a sensitive question to ask. In this paper, we do not analyze the responses of the 56 participants who did answer this question about speakers. |
| 9 | Both Bartlett’s test of sphericity and the Kaiser–Meyer–Olkin (KMO) measure of sampling adequacy suggested that our data was adequate for factor analysis. We used an oblique rotation method (oblimin), seeing as it did not assume our variables were uncorrelated, and in our data, it resulted in the simplest structure (for a discussion, see Brown 2009). |
| 10 | We did also run models using second and third factors instead of the raw pleasantness and masculinity ratings but did not find qualitatively different results. |
| 11 | If we substitute listener residency (a categorical factor based on where participants currently lived) with the proportion of their life they have spent in Puerto Rico (a numeric factor), it makes no qualitative difference in the models—the proportion of life lived on the island is only a significant factor in the model presented in Table 5. This is likely because listener residency and proportion of life in PR are correlated (see Table 1). At the editors’ request, we conducted a post hoc test of whether listener age or listener gender has any impact on /s/ ratings. We find a main effect of listener age on masculinity ratings, such that older speakers are more likely to rate speakers as more masculine sounding. Critically, this is regardless of /s/ realization, and so it is not of particular interest in our study. The inclusion of listener age in our masculinity models does not qualitatively change our results regarding /s/ realization. We find no effect of listener gender on ratings. |
| 12 | We confirmed this by changing the order of the factor levels of phonological context in the model presented in Table 4 (such that the /s/ realizations default to prevocalic environments): /s/ realization was no longer significant as a main effect. |
References
- Alba, Orlando. 2000. Nuevos aspectos del español en Santo Domingo. Santo Domingo: Librería la Trinitaria. [Google Scholar]
- Alfaraz, Gabriela. 2000. Sound Change in a Regional Variety of Cuban Spanish. Ph.D. dissertation, Michigan State University, East Lansing, MI, USA. [Google Scholar]
- Arias Alvarez, Alba. 2018. Rhotic Variation in the Spanish Spoken by Puerto Ricans in Puerto Rico and Western Massachusetts. Ph.D. dissertation, University of Massachusetts Amherst, Amherst, MA, USA. [Google Scholar]
- Bandalos, Deborah L., and Meggen R. Boehm-Kaufman. 2008. Four common misconceptions in exploratory factor analysis. In Statistical and Methodological Myths and Urban Legends. Edited by Charles E. Lance and Robert J. Vandenberg. London: Routledge, pp. 81–108. [Google Scholar]
- Bender, Emily. 2000. Syntactic Variation and Linguistic Competence: The Case of AAVE Copula Absence. Ph.D. dissertation, Stanford University, Stanford, CA, USA. [Google Scholar]
- Brown, James Dean. 2009. Choosing the right number of components or factors in PCA and EFA. Shiken: JALT Testing & Evaluation SIG Newsletter 13: 19–23. [Google Scholar]
- Calles, Ricardo, and Paola Bentivoglio. 1986. Hacia un perfil sociolingüístico del habla de Caracas. In Actas del II Congreso Internacional sobre el Español de América. Edited by José G. Moreno de Alba. Mexico City: Universidad Nacional Autónoma de México, pp. 111–14. [Google Scholar]
- Cameron, Richard. 2005. Aging and gendering. Language in Society 34: 23–61. [Google Scholar] [CrossRef]
- Campbell-Kibler, Kathryn. 2009. The nature of sociolinguistic perception. Language Variation and Change 21: 135–56. [Google Scholar]
- Cedergren, Henrietta. J. 1973. On the nature of variable constraints. In New Ways of Analyzing Variation in English. Edited by Charles-James N. Bailey and Roger W. Shuy. Washington, DC: Georgetown University Press, pp. 13–22. [Google Scholar]
- Chappell, Whitney. 2019a. Caribeño or mexicano, profesionista or albañil?: Mexican listeners’ evaluations of /s/ aspiration and maintenance in Mexican and Puerto Rican voices. Sociolinguistic Studies 12: 367–93. [Google Scholar] [CrossRef]
- Chappell, Whitney. 2019b. The sociophonetic perception of heritage Spanish speakers in the United States: Reactions to labiodentalized <v> in the speech of native and heritage voices. In Recent Advances in the study of Spanish Sociophonetic Perception. Edited by Whitney Chappell. Amsterdam: John Benjamins, pp. 239–64. [Google Scholar]
- Chappell, Whitney. 2021. Heritage Mexican Spanish Speakers’ Sociophonetic Perception of /s/ Aspiration. Spanish as a Heritage Language, 167–97. [Google Scholar]
- Eckert, Penelope. 2012. Three waves of variation study: The emergence of meaning in the study of sociolinguistic variation. Annual Review of Anthropology 41: 87–100. [Google Scholar] [CrossRef]
- Erker, Daniel G., and Madeline Reffel. 2021. Describing and analyzing variability in Spanish /s/: A case study of Caribbeans in Boston and New York City. In Sociolinguistic Approaches to Sibilant Variation in Spanish. Edited by Eva Núñez-Méndez. London: Routledge, pp. 131–63. [Google Scholar]
- Ghosh-Johnson, Elka. 2005. Mexiqueño? A case study of dialect contact. Penn Working Papers in Linguistics 11: 91–104. [Google Scholar]
- Guitart, Jorge M. 1976. Markedness and a Cuban Dialect of Spanish. Washington, DC: Georgetown University Press. [Google Scholar]
- Guy, Gregory R., Jennifer Hay, and Abby Walker. 2008. Phonological, lexical, and frequency factors in coronal stop deletion in Early New Zealand English. Paper presented at Laboratory Phonology 11, Wellington, New Zealand, June 30. [Google Scholar]
- Hammond, Robert M. 2001. The Sounds of Spanish: Analysis and Application (with Special Reference to American English). Somerville: Cascadilla Press. [Google Scholar]
- Hay, Jennifer, Stefanie Jannedy, and Norma Mendoza-Denton. 1999. Oprah and /ay/: Lexical Frequency, Referee Design and Style. In Proceedings of the 14th International Congress of Phonetic Sciences. Edited by John Ohala. Berkeley: University of California, pp. 1389–92. [Google Scholar]
- Labov, William, Sharon Ash, Maya Ravindranath, Tracey Weldon, Maciej Baranowski, and Naomi Nagy. 2011. Properties of the sociolinguistic monitor. Journal of Sociolinguistics 15: 431–63. [Google Scholar] [CrossRef]
- Labov, William. 1972. Sociolinguistic Patterns. Philadelphia: University of Pennsylvania Press. [Google Scholar]
- Labov, William. 1994. Principles of Linguistic Change. vol. 1: Internal Factors. Oxford: Basil Blackwell. [Google Scholar]
- Lafford, Barbara. 1986. Valor diagnóstico-social del uso de ciertas variantes de /s/ en el español de Cartagena, Colombia. In Estudios sobre la fonología del español del Caribe. Edited by Rafael A. Nuñez Cedeño, Iraset Páez Urdaneta and Jorge M. Guitart. Caracas: Ediciones La Casa de Bello, pp. 53–75. [Google Scholar]
- Levon, Erez, and Isabelle Buchstaller. 2015. Perception, cognition, and linguistic structure: The effect of linguistic modularity and cognitive style on sociolinguistic processing. Language Variation and Change 27: 319–48. [Google Scholar] [CrossRef]
- Levon, Erez, and Sue Fox. 2014. Social Salience and the Sociolinguistic Monitor: A Case Study of ING and TH-fronting in Britain. Journal of English Linguistics 42: 185–217. [Google Scholar] [CrossRef]
- Lin, Yuhan, and Marjorie K. M. Chan. 2022. Linguistic constraint, social meaning, and multi-modal stylistic construction: Case studies from Mandarin pop songs. Language in Society 51: 603–26. [Google Scholar] [CrossRef]
- Lipski, John M. 1983. La norma culta y la norma radiofónica: /s/ y /n/ en español. Language Problems and Language Planning 7: 239–62. [Google Scholar] [CrossRef]
- Lipski, John M. 1985. Reducción de /s/ y/ n/ en el español isleño de Luisiana: Vestigios del español canario en Norteamérica. Revista de Filología de la Universidad de La Laguna 4: 125–33. [Google Scholar]
- Lipski, John M. 1994. Latin American Spanish. New York: Longman. [Google Scholar]
- Lipski, John M. 1995. Blocking of Spanish /s/-aspiration: The vocalic nature of consonantal disharmony. Hispanic Linguistics 6: 287–327. [Google Scholar]
- López Morales, Humberto. 1983. Lateralización de /r/ en el español de Puerto Rico: Sociolectos y estilos. In Philologica hispaniensia in honorem Manuel Alvar. Tomo I. Madrid: Gredos, pp. 387–98. [Google Scholar]
- Luna, Kenneth V. 2010. The Spanish of Ponce, Puerto Rico: A Phonetic, Phonological, and Intonational Analysis. Ph.D. dissertation, University of California, Los Angeles, CA, USA. [Google Scholar]
- Lynch, Andrew. 2009. A sociolinguistic analysis of final /s/ in Miami Cuban Spanish. Language Sciences 31: 766–90. [Google Scholar]
- Mack, Sara. 2009. Socially Stratified Phonetic Variation and Perceived Identity in Puerto Rican Spanish. Ph.D. dissertation, University of Minnesota, Twin Cities, MN, USA. [Google Scholar]
- Mohamed, Sherez, and Antje Muntendam. 2020. The use of the glottal stop as a variant of /s/ in Puerto Rican Spanish. Studies in Hispanic and Lusophone Linguistics 13: 391–417. [Google Scholar] [CrossRef]
- Montgomery, Chris, and Emma Moore. 2018. Evaluating S(c)illy voices: The effects of salience, stereotypes, and co-present language variables on real-time reactions to regional speech. Language 94: 629–61. [Google Scholar] [CrossRef]
- Munson, Benjamin. 2007. Lexical characteristics mediate the influence of talker sex and sex typicality on vowel-space size. In Proceedings of the 16th International Congress on Phonetic Sciences. Edited by Jürgen Trouvain and William J. Barry. Saarbrücken: University of Saarland, pp. 885–88. [Google Scholar]
- O’Rourke, Erin, and Kim Potowski. 2016. Phonetic accommodation in a situation of Spanish dialect contact: Coda /s/ and /r/ in Chicago. Studies in Hispanic & Lusophone Linguistics 9: 355–99. [Google Scholar]
- Pew Research Center. 2019. Facts on Hispanics of Puerto Rican origin in the United States, 2017. Available online: https://www.pewresearch.org/hispanic/fact-sheet/u-s-hispanics-facts-on-puerto-rican-origin-latinos/ (accessed on 15 November 2022).
- Pharao, Nicolai, and Marie Maegaard. 2017. On the influence of coronal sibilants and stops on the perception of social meanings in Copenhagen Danish. Linguistics 55: 1141–67. [Google Scholar]
- Pharao, Nicolai, Marie Maegaard, Janus S. Møller, and Tore Kristiansen. 2014. Indexical meanings of [s+] among Copenhagen youth: Social perception of a phonetic variant in different prosodic contexts. Language in Society 43: 1–31. [Google Scholar]
- Podesva, Robert J., Jermay Reynolds, Patrick Callier, and Jessica Baptiste. 2015. Constraints on the social meaning of released /t/: A production and perception study of U.S. politicians. Language Variation and Change 27: 59–87. [Google Scholar] [CrossRef]
- Poplack, Shana. 1979. Function and Process in Variable Phonology. Ph.D. dissertation, University of Pennsylvania, Philadelphia, PA, USA. [Google Scholar]
- Poplack, Shana. 1980. Deletion and disambiguation in Puerto Rican Spanish. Language 56: 371–85. [Google Scholar] [CrossRef]
- Preston, Dennis R. 1999. Handbook of Perceptual Dialectology: Volume 1. Amsterdam: John Benjamins. [Google Scholar]
- Ramos Pellicia, Michelle F. 2012. Retention and deletion of /s/ in final position: The disappearance of /s/ in the Puerto Rican Spanish spoken in one community in the US Midwest. Southwest Journal of Linguistics 31: 161–66. [Google Scholar]
- Ramos-Pellicia, Michelle F. 2007. Lorain Puerto Rican Spanish and ‘r’ in three generations. In Selected Proceedings of the Third Workshop on Spanish Sociolinguistics. Edited by Jonathan Holmquist, Gerardo A. Lorenzino and Lotfi Sayah. Somerville: Cascadilla Proceedings Project, pp. 53–60. [Google Scholar]
- Sumner, Meghan, Seung K. Kim, Ed King, and Kevin B. McGowan. 2014. The socially weighted encoding of spoken words: A dual-route approach to speech perception. Frontiers in Psychology 4: 1–13. [Google Scholar] [CrossRef]
- Terrell, Tracy D. 1978. La aspiración y elisión de /s/ en el español porteño. Anuario de Letras 16: 41–66. [Google Scholar]
- Terrell, Tracy D. 1979. Final /s/ in Cuban Spanish. Hispania 62: 599–612. [Google Scholar] [CrossRef]
- Terrell, Tracy D. 1981. Diachronic reconstruction by dialect comparison of variable constraints: S-aspiration and deletion in Spanish. Variation Omnibus, 115–24. [Google Scholar]
- Terrell, Tracy D. 1982. Current trends in the investigation of Cuban and Puerto Rican phonology. In Spanish in the United States: Sociolinguistic Aspects. Edited by Jon Amastae and Lucía Elías-Olivare. Cambridge: University of Cambridge Press, pp. 47–70. [Google Scholar]
- U.S. Census Bureau. 2020. Quick Facts: Puerto Rico. Available online: https://www.census.gov/quickfacts/PR (accessed on 15 November 2022).
- Valentín-Márquez, Wilfredo. 2006. La oclusión glotal y la construcción lingüística de identidades sociales en Puerto Rico. In Selected Proceedings of the 9th Hispanic Linguistics Symposium. Edited by Nuria Sagarra and Almeida Jacqueline Toribio. Somerville: Cascadilla Proceedings Project, pp. 326–41. [Google Scholar]
- Valentín-Márquez, Wilfredo. 2020. The sociolinguistic distribution of Puerto Rican Spanish /r/ in Grand Rapids, Michigan. In Dialects from Tropical Islands: Caribbean Spanish in the United States. Edited by Wilfredo Valentín-Márquez and Melvin González-Rivera. London: Routledge, pp. 88–110. [Google Scholar]
- Vaughn, Charlotte, and Tyler Kendall. 2018. Listener sensitivity to probabilistic conditioning of sociolinguistic variables: The case of (ING). Journal of Memory and Language 103: 58–73. [Google Scholar]
- Vaughn, Charlotte. 2022a. The role of internal constraints and stylistic congruence on a variant’s social impact. Language Variation and Change 34: 331–54. [Google Scholar] [CrossRef]
- Vaughn, Charlotte. 2022b. What carries greater social weight, a linguistic variant’s local use or its typical use? In Proceedings of the 44th Annual Conference of the Cognitive Science Society. Edited by Jennifer Culbertson, Andrew Perfors, Hugh Rabagliati and Véronica Ramenzoni. Berkeley: University of California, pp. 512–18. [Google Scholar]
- Wagner, Suzanne E., and Ashley Hesson. 2014. Individual sensitivity to the frequency of socially meaningful linguistic cues affects language attitudes. Journal of Language and Social Psychology 33: 651–66. [Google Scholar] [CrossRef]
- Walker, Abby, Christina García, Yomi Cortés, and Kathryn Campbell-Kibler. 2014. Comparing social meanings across listeners and speaker groups: The indexical field of Spanish /s/. Language Variation and Change 26: 169–89. [Google Scholar] [CrossRef]
- Weatherholtz, Kodi, Kathryn Campbell-Kibler, and T. Florian Jaeger. 2014. Socially-mediated syntactic alignment. Language Variation and Change 26: 387–420. [Google Scholar] [CrossRef]
Disclaimer/Publisher’s Note: The statements, opinions and data contained in all publications are solely those of the individual author(s) and contributor(s) and not of MDPI and/or the editor(s). MDPI and/or the editor(s) disclaim responsibility for any injury to people or property resulting from any ideas, methods, instructions or products referred to in the content. |
© 2023 by the authors. Licensee MDPI, Basel, Switzerland. This article is an open access article distributed under the terms and conditions of the Creative Commons Attribution (CC BY) license (https://creativecommons.org/licenses/by/4.0/).