Next Article in Journal
The Importance of Being Onset: Tuscan Lenition and Stops in Coda Position
Previous Article in Journal
Chinese “Dialects” and European “Languages”: A Comparison of Lexico-Phonetic and Syntactic Distances
 
 
Font Type:
Arial Georgia Verdana
Font Size:
Aa Aa Aa
Line Spacing:
Column Width:
Background:
Article

The Addition of a Target Structure to Task Repetition as an Accuracy Enhancement: The Necessity of Reducing Cognitive Load

School of Education, Guangzhou University, Guangzhou 510006, China
*
Author to whom correspondence should be addressed.
Languages 2025, 10(6), 128; https://doi.org/10.3390/languages10060128
Submission received: 19 February 2025 / Revised: 13 May 2025 / Accepted: 14 May 2025 / Published: 29 May 2025

Abstract

Task repetition is a technique that promotes the development of utterance fluency, but the addition of an accuracy enhancement is necessary. The study tested the effects of an accuracy enhancement where a Target Structure was used in response to what a partner said, limiting cognitive load (group 1, n = 31), while group 2 (n = 29) had to independently produce an idea formulated by the structure, which represented an additional load that could negatively affect the processes of proceduralization. Group 3 (n = 26) constituted the control group. Group 1 outperformed group 2 in terms of the fluent use of the structure, with a large effect size. Regarding the accurate use of the Target Structure, group 1 also outperformed group 2, but with a smaller effect size. In a new task, group 1 used the structure more, and a significant correlation was observed between the number of uses of the structure and the degree of proceduralization.

1. Introduction

Language teaching research focuses on the optimal way to simultaneously develop fluency, accuracy and complexity in learners’ oral production. Task repetition (TR) has been the subject of numerous studies, and this teaching technique has shown significant gains in fluency development (Bygate, 2018; de Jong & Perfetti, 2011; Suzuki et al., 2022). However, researchers agree that, when a task is performed where the learner’s attention is initially focused on meaning, it is difficult to develop fluency, accuracy and complexity simultaneously, because ungrammatical forms may be repeated beyond the teacher’s control (Boers, 2014; Suzuki et al., 2022). These researchers therefore call for the addition of a Focus-on-Form (FoF) to the meaning-focused activity, which may take the form of corrective feedback or the introduction of a Target Structure (TS) selected prior to the task. Yet, it is very challenging to have a TS used naturally as a result of an internal process (Long, 2015, 2016). Several obstacles indeed exist to adding an FoF to a meaning-focused activity like TR. First of all, the learner will always have the choice to avoid using the TS if it is not imposed upon them (Loschky & Bley-Vroman, 1993). Furthermore, existing research that has tested the effects of an FoF on the fluent use of a TS chosen prior to a task has shown no gains in fluency following a repeated practice phase (Tran & Saito, 2021; Van de Guchte et al., 2016).
Adding an FoF to a meaning-focused activity thus poses a challenge, and there is no consensus among researchers on this matter. One possible idea tested by researchers is that learners tend to naturally reuse structures formulated by their partner. Thus, the concept of structural priming has been theorized to account for this phenomenon. Learners tend to reuse the syntactic structures that have just been employed by their partner (McDonough et al., 2015; Wei et al., 2022). We draw inspiration from this idea, which seems essential to us, that the oral production (and thus the choice of linguistic structures made during a spontaneous discussion) of a learner can be influenced by what their partner has just said. We hypothesize that, in a classic proactive FoF situation where the learner makes an effort to use the TS in a meaning-focused activity, the cognitive load is quite heavy. In contrast, relying on Kormos’s (2006) psycholinguistic model of oral production, if the TS is naturally prompted by an idea that emerges at the level of the conceptualizer in response to what the partner has just said, the load would be lighter, making the use of the TS increasingly easy and rapid.

2. Literature Review

2.1. Task Repetition, Fluency Enhancement and FoF

Many research studies have shown that TR improves utterance fluency (Bygate, 2018; de Jong & Perfetti, 2011). Studies on utterance fluency distinguish three aspects: speed fluency, evaluated through articulation rate; breakdown fluency, evaluated through counting mid-clause and clause-final pauses; and repair fluency, evaluated through the number of self-repairs. According to Kormos’s (2006) research on L2 learning, there are three stages in speech production: conceptualization, formulation and articulation. The first level corresponds to the elaboration of the preverbal message. At this stage, attentional resources are primarily devoted to preparing ideas or concepts to be expressed. The second level corresponds to formal encoding, where the preverbal message is formulated as lexical and grammatical structures. The third level corresponds to the production of sounds. Researchers associate clause-final pauses with conceptualization activity, while mid-clause pauses are associated with effortful conscious encoding at the level of formulation (Lambert et al., 2017). TR appears to be an effective technique for reducing clause-final pauses, because repeated task repetition allows for a reduction in attentional effort at the conceptualization level. TR is also effective for reducing mid-clause pauses, because learners tend to reuse the same linguistic structures (Boers, 2014; de Jong & Perfetti, 2011; Thai & Boers, 2016; Suzuki et al., 2022). TR is an effective technique in developing fluency, which is in line with Long’s (2015, 2016) work on task-based learning. According to Long, task-based learning is the most appropriate framework for developing language proficiency as it enables learners to use language naturally during the task. In line with Kormos (2006), learners use language as they have a need to at the conceptual level. TR leaves learners free to express their ideas without imposing specific forms and respects the conceptualization–formulation–articulation order. However, studies have shown that TR has weaknesses in terms of accuracy and complexity.
As noted by Boers (2014) and Suzuki (2021), when learners’ attention is initially focused on meaning, nongrammatical forms can be repeated. Without corrective feedback, TR is not sufficient to develop fluency, accuracy and complexity simultaneously. These authors thus call for the addition of an accuracy enhancement to TR. The addition of an FoF to TR can take several forms. Two studies have attempted to add an accuracy enhancement to TR, the first in the form of a TS added to the task (Van de Guchte et al., 2016), and the second involving corrective feedback targeting a specific form (Tran & Saito, 2021). In both studies, attention was required to apply a grammatical rule. Both studies concluded that there was a more accurate use of the TS, but no gains in terms of fluency. The authors justified this through the insufficient amount of practice, referring to skill acquisition theory. However, recent studies focusing on grammar learning have shown that a TS can be used with increasing fluency due to the effects of practice, even though these studies had participants practice the TS in a largely decontextualized manner.
Thus, our study seeks explanations for the lack of fluency in using a TS in a communicative context. We have isolated two potential factors that may explain these results.

2.2. Variability: An Obstacle to the Acquisition of Grammatical Knowledge?

2.2.1. Constant/Blocked vs. Variable Practice and Development of Grammar Declarative Knowledge

Grammatical acquisition occurs through the practice of a TS in varied contexts, for broad, novel and creative L2 use, because syntactic rules with varied exemplars are called upon in a range of contexts (Dekeyser, 2001). This rule-based learning, therefore, requires variable practice. While it is evident that practicing the TS is necessary, it is important to vary the contexts of using a grammatical structure in order to be able to retrieve this knowledge in diverse and situation-specific contexts during spontaneous discussion. In cognitive psychology research, the theory of skill acquisition is an important theoretical framework that helps us understand how a skill can be gradually acquired (DeKeyser, 2020). The acquisition of a skill starts with declarative knowledge, which is gradually turned into procedural knowledge through a phase of practice. Repetition strengthens the fine-tuning process of a specific skill, so that the retrieval of this declarative knowledge becomes increasingly rapid and effortless. However, in the context of grammatical learning, the various uses of a TS are just as different skills. Cognitive psychology research has thus focused on how to practice various skills simultaneously. Should one start by practicing the same skill several times in the same block and then change the context of use, or should one begin by varying the contexts of use?
A part of the research then sought to apply theoretical frameworks derived from cognitive psychology to L2 learning, and more specifically to grammar learning. Cognitive psychology has a vested interest in the optimal sequencing of learning events by blocking exemplars in the same category (AAA-BBB-CCC) or interleaving exemplars from different categories (ACB-CAB-BAC). Research has shown that interleaving facilitates learning more than blocking does (Brunmair & Richter, 2019) in various disciplines (such as mathematics, music, sports, etc.). But what about L2 learning, and more specifically L2 grammar learning? In L2 grammar acquisition, interleaving exemplars with different rules seems to be superior to blocking exemplars with the same rules for acquiring declarative knowledge learned through fill-in-the-blank grammar exercises (Nakata & Suzuki, 2019). This is likely because interleaved practice can facilitate the discrimination of the distinctive characteristics of constructions that resemble each other, such as English tense–aspect–mood systems (past tense, present perfect, hypothetical conditionals) or relative clause constructions (subject and object relative clauses). However, as Suzuki notes in a review on the links between practice and automatization (2023), this type of practice in the laboratory is not very demanding of cognitive resources, making this mental discrimination operation possible.
Variable practice therefore seems to yield better results in terms of declarative knowledge. What about procedural knowledge? Some studies on grammar learning have focused on procedural knowledge by measuring the speed of using a TS. Two studies are significant because they involved practicing a TS in production activities, not just in reception or error correction. The TSs, then, required the production of ideas, which represents an additional cognitive load.

2.2.2. Development of Procedural Knowledge and Cognitive Load

Our study aims to evaluate the effects of repeated practice on the development of procedural knowledge, a type of knowledge that can be assessed by calculating the speed of applying a grammatical rule. However, existing research has shown that the acquisition of this type of knowledge is facilitated by a type of practice that limits cognitive load. Thus, adding an additional difficulty, such as the spacing of practice, interleaved practice, or meaning production, alongside focusing attention on forms, may hinder acquisition processes. Several studies have tested the effects of practice on the development of procedural knowledge of a TS. Referring to skill acquisition theory, these studies have shown that massed and intensive practice promotes increasingly rapid use of a TS, indicating the beginning of proceduralization.
For instance, the study by Suzuki and DeKeyser (2015) tested the effects of spaced vs. massed practice on the fluent and accurate use of a verbal morphological structure. Massed practice favored the development of procedural knowledge. The authors explain this by the fact that the activity was already sufficiently challenging on a cognitive level, making it difficult to observe a spacing effect in a productive activity, unlike in a receptive or error correction activity (Bird, 2010; Rogers, 2015). This study is important as it was the first to test the spacing effect in practice involving the production of an idea. The cognitive load is therefore heavier. However, as noted by Sato and McDonough (2019), this production activity remained highly guided, as the image necessitated the use of a single verb followed by its complement. It is unclear how this task would behave with a fully free production activity. The transformation operation of the 18 verbs practiced during the picture sentence completion activity was performed more quickly in the massed practice group due to the effects of practice. Variability did not represent an obstacle. Thus, this study clearly indicates that the effective development of procedural knowledge is strongly related to the cognitive load involved in the type of activity chosen.
The study by Sato and McDonough (2019) is one of the few studies to have targeted a structure (the wh-questions) while allowing learners the freedom to produce ideas of their choice. This type of fully meaning-focused activity was therefore very challenging. The design of the study made the use of the TS mandatory. Indeed, learners were prompted to ask questions to their teacher naturally using this TS. The authors observed a decrease in mid-clause pauses and an increase in speech rate following five practice sessions spread over five weeks. The authors noted that the types of meaning-focused activities chosen, such as information-gap activities, necessarily induced greater variability in the forms selected for expressing ideas compared to existing studies conducted in laboratory settings. This study is very important for our reflection, as it demonstrates that it is possible to proceduralize a TS in a fully meaning-focused activity. However, the design of this study was constructed so that the conditions remained highly controlled, meaning that learners were only prompted to produce questions. It is unclear whether these same learners would then be able to naturally reuse the TS in a free task. Avoidance of the TS might occur because researchers advocating for a strong version of task-based language teaching (TBLT) believe that it is difficult to make the use of a pre-selected TS feel natural when the learner’s attention is fully focused on meaning. Furthermore, this study was conducted over a long period, five weeks. This extended duration likely explains the gains in the fluent use of the TS.

2.2.3. The Development of Procedural Knowledge Within the Framework of a Task

The studies mentioned above succeeded in developing procedural knowledge of a TS, but these studies were conducted in a laboratory setting with a low cognitive load, allowing learners’ attention to be consistently focused on forms. Indeed, the design of these studies encouraged learners to exert effort to apply the grammar rule while producing meaning. However, what happens when learners are required to perform a free task that involves generating ideas, which is highly demanding cognitively? Several studies have shown that variability can pose an obstacle to the development of procedural knowledge, even if they did not target specific linguistic structures. Three studies on TR have tested the effects of variable vs. constant practice on the scale of an entire task. Unlike the laboratory studies, the task first brings out ideas that are then formulated by structures, according to Kormos’ (2006) model. Suzuki’s (2021) study showed that blocked practice outperformed interleaved practice (a more significant reduction in mid-clause and final-clause pauses, a more significant decrease in the number of repairs and greater speed fluency) because the same ideas were more easily expressed in the former case. The learner more easily remembers what they expressed just before, while varying the tasks makes this mental operation more demanding in cognitive resources. Suzuki refers to a self-priming process to explain this (Jacobs et al., 2019). Thus, blocked practice facilitates the fine-tuning process of a unique skill because the same expressions are reused more in blocked practice. Boers’s research (Boers, 2014; Thai & Boers, 2016) on TR concluded that the same process applies in the case of time pressure. Repeating the same ideas under time pressure reinforces the phenomenon of verbatim duplication, whereas no-time-pressure practice allows learners to produce new ideas requiring new structures. In a study conducted by de Jong and Perfetti (2011) that is particularly relevant to our study, learners performed a speech task multiple times under either (a) a constant condition in which narration on one topic (e.g., sports) was repeated three times, or (b) a variable condition in which each speech related to a different topic (e.g., sports, learning English and travel). Constant practice was the only condition that improved utterance fluency. The common conclusion from these three studies is that constant practice (following the AAA model) facilitates the production of the same ideas during task repetition phases, so that the same skill is practiced in a block, reinforcing the fine-tuning process. In contrast, practicing multiple different skills at the same time (following the ABC model) makes the retrieval of declarative knowledge more difficult.
In conclusion, variability can be an asset in grammatical acquisition when practice is decontextualized, especially at the level of declarative knowledge. Contextualized practice, such as tasks that are much more challenging cognitively, seems to benefit more from constant practice. In the study by Van de Guchte et al. (2016), the TS was practiced following variable practice within the very challenging context of the task. We hypothesize that the fine-tuning of skills was unlikely to occur in such a short time. A second explanation can be put forward to explain the difficulty of adding an accuracy enhancement to TR.

2.3. Critique of an FoF When the TS Is Chosen Prior to the Task

The studies by Boers (2014) and Suzuki et al. (2022) advocate for the addition of an FoF in the form of accuracy enhancement to TR activities, but some research doubt the effectiveness of such an FoF. This part of the research argues that it is very challenging to select a TS in advance and to compel learners to use it in a communicative context. This research perspective, particularly among proponents of a strong version of Task-Based Language Teaching (TBLT), asserts that, when completing a task where the learner’s attention is primarily focused on the meaning of the message to be produced, it is very difficult to conceive of an FoF that would make the use of the TS natural and logical (Long, 2015, 2016). Oral production is primarily the result of an internal process within the learner. These researchers often rely on the existence of a natural order of acquisition that complicates any proactive FoF (Pica, 1983; Pienemann, 1989). Techniques such as PPP (Presentation, Practice, Production) are therefore considered largely ineffective. According to Long, only reactive corrective feedback, which follows a linguistic need from a learner, is effective. The learner will always have the option to avoid using the TS by expressing their ideas in different ways, with expressions they are more familiar with (Loschky & Bley-Vroman, 1993). However, this strong version of TBLT has been criticized by R. Ellis (2018, 2019), in that this type of FoF does not allow learners to achieve a high level of accuracy and complexity. R. Ellis therefore proposes a modular solution (2019), where fluency enhancement activities, such as TR, allow for the greater development of fluency, but accuracy enhancement activities are added by the teacher according to the learners’ needs. However, he argues that it is not useful to practice this type of activity repeatedly, as it is difficult to develop the increasingly fluent use of a TS in the context of an open task. The learner’s attention when performing a task is therefore primarily focused on meaning; they first produce ideas that are then formulated using linguistic structures, following an internal process within the learner that the teacher has very little control over.
A phenomenon of avoidance was highlighted in Nergis’s (2021) recent study which targeted the teaching of formulaic sequences. Our study focused on the same type of TS. Nergis demonstrated that, despite the repeated practice of these formulaic sequences, few were reused during the task performance, to the extent that no significant correlation was found between the number of formulaic sequences uses and the gains in terms of utterance fluency. While Nergis’s study did not quantify this avoidance phenomenon, our study did. The author notes that there has been a development in the declarative knowledge of these sequences, but not yet at the level of their rapid use in communicative contexts. Our study extends this reflection on avoidance phenomena.
In conclusion, TR is an effective technique for enhancing fluency, but the addition of an FoF seems necessary if one wishes to improve the quality of learners’ oral production. Researchers have not yet reached a consensus on the type of accuracy enhancement most suitable for TR, given that learners have great difficulty focusing on forms while centering their attention on meaning, in accordance with Skehan’s (2014) hypothesis of limited attentional resources.

2.4. The Motivations for the Current Study

Based on the criticisms from proponents of the strong version of TBLT regarding the addition of a proactive FoF to a meaning-focused activity (Long, 2015, 2016), the lack of gains in the fluent use of TSs in studies that tested the addition of an accuracy enhancement to TR (Tran & Saito, 2021; Van de Guchte et al., 2016) and the avoidance phenomenon observed in Nergis’s (2021) study following the instruction of formulaic sequences, we tested another type of FoF. Our study is part of the reflection on the optimal way to practice a TS when it is added to TR in the form of an accuracy enhancement. Although studies on grammar learning have shown that applying a grammar rule such as conjugation can be performed increasingly quickly, indicating the beginning of proceduralization, these studies were conducted in a laboratory setting (Suzuki & DeKeyser, 2015). We believe that applying a conjugation rule within a free task is too cognitively challenging. Drawing on studies related to TR that have demonstrated that the development of fluency is due to the reuse of similar ideas formulated through similar expressions (e.g., Suzuki et al., 2022), we established a type of FoF where the TS is used because it allows for the formulation of an idea that arises naturally in conversation, thereby reducing cognitive load. Our study is not directly related to reflections on structural priming (McDonough et al., 2015; Wei et al., 2022), as we believe it is less about a structure than an idea initiated by the interlocutor; however, our study is nonetheless inspired by these reflections.
Two groups from two classes of second-year undergraduate students majoring in French at a Chinese university practiced the TS in two different ways. A third group served as the control group, which only received a presentation of the new grammar point, followed by application exercises. This group did not take part in any training sessions. Group 1 practiced the TS using a verb conjugated in the subjunctive mood placed after a formulaic introductory sequence, producing the same idea, namely disagreement. This idea can be expressed as follows: je ne pense pas que + a subjunctive (I do not think that + a verb in the subjunctive). We chose this idea of disagreement because it arises very naturally in a discussion, especially when the task requires giving an opinion (in this case, on how to effectively learn a foreign language). We hypothesize that cognitive load will be reduced because the learner will not have to exert significant effort to produce an idea expressed through the TS. This type of FoF thus relies on what was just said by the partner. Furthermore, it is expected that the verbs to be conjugated in the subjunctive will be those expressed by the partner, further reducing cognitive load We named this group the ‘low-cognitive-load group’ in the following Section 4. In group 2, a unique introductory formulaic sequence was also chosen because it expressed the idea of necessity: il faut que + a verb in the subjunctive (it is necessary that + a verb in the subjunctive). The transformation operation and the length of the introductory sequence are very similar. Otherwise, this would have constituted a difference favoring one of the groups. Unlike group 1, the idea to be produced was very little related to what directly preceded it, so the learner had to make an effort to think for themselves about an idea to express. This type of FoF is similar to that practiced in the study by Van de Guchte et al. (2016) or in the PPP technique. We named this group the ‘high-cognitive-load group’ in the following Section 4. In both cases, the task naturally encourages the production of the idea of disagreement and necessity. Therefore, we expect a greater cognitive load in group 2, which must produce a new idea while simultaneously executing the conjugation operation. We hypothesize that group 1 will tend to reuse similar forms (verbs conjugated in the subjunctive), while group 2 will tend to vary more in the verbs used. We therefore believe that greater variability will pose an obstacle to the fine-tuning of the skills practiced in the highly challenging context of the task, negatively affecting the process of reducing mid-clause pauses. Given that the treatment did not impose any verbs after the introductory structure, it is indeed likely that participants in group 1 will use more similar verbs, thereby reducing the variability of forms. Regarding the accurate use of the TS, two scenarios are considered: either group 1 outperforms because their cognitive load is lighter, or group 2 outperforms because their attention is more focused on the forms.
A third research question concerns the phenomenon of avoidance. While the training phase requires the repeated use of the TS, based on the model of the study by Van de Guchte et al. (2016), proponents of the strong version of TBLT might criticize this design by assuming that learners could avoid using the TS in spontaneous conversation. It was therefore interesting to see if the TS could be reused in a new task placed two days after the practice phase. Here, we partially adopt the design of the studies by Suzuki and Hanzawa (2022) and Suzuki et al. (2022). The task to be carried out did not require the use of the TS, but it strongly encouraged learners to use it given the chosen theme (how to prepare well for an exam). We expected a greater strategy of avoidance in group 2 (a phenomenon observed in the study by Nergis (2021)), while group 1 would likely take more initiative to use it. As in the first task, the idea of disagreement would naturally arise, as it would be initiated by what the partner says. Finally, we sought a correlation between the number of TS uses in the new task and the average length of the mid-clause pauses in the third session of task repetition (T3), hypothesizing that the TS would be more easily used in the new task when the beginning of proceduralization had been observed at T3. We believe that the natural use of the TS is primarily the result of a priming effect at the level of the conceptualizer. Therefore, we seek to determine whether the learners who use the TS with the most fluency at T3 are also those who use it the most in the new task. This would mean that the transfer from one task to another is primarily due to the generation of similar ideas.
We will attempt to answer the following three research questions:
  • To what extent does the production of an idea related to what a partner has just said facilitate fluent use of a TS?
  • To what extent does this type of FoF reinforce, or not, the accurate use of a TS?
  • Does this type of FoF allow the learner to use the TS in a new task?

3. The Current Study

3.1. Participants

The study involved 86 Chinese students (aged 19–20 years, 59 women, 27 men) enrolled in a French language major at a Chinese university in their second year of a bachelor’s degree program. These students, from three different classes, were randomly assigned to three different groups. None of the students had learned French before they entered university, and all the classes received the same teaching from the same teachers during their studies. Their results in the French end-of-year exams did not reveal significant differences between the groups. The level of French before the experimental phase did not advantage one group over the others. Like every Chinese undergraduate student, they had studied English for around ten years, but their English learning had mainly focused on reading, writing and grammatical knowledge of the language. A questionnaire showed that none of the learners had learned English in middle and high school through task-based teaching. All the participants filled out a participation consent form.

3.2. Design

This study partially replicated the design of the study by Suzuki and Hanzawa (2022), in which a task was repeated three times and then a fourth time few days later. We chose to repeat the task with very little spacing because research has shown that procedural knowledge benefits more from massed practice (e.g., Suzuki & Hanzawa, 2022). In the week prior to the experiment, the same topic, namely, how to effectively learn a foreign language, was practiced three times, resulting in a total of six repetitions of the task (three times without the addition of the TS and three times with the addition of the TS). We proceeded this way in order to reinforce the validity of the study. Indeed, the main issue was ensuring that the learners in the three groups started with equivalent skills before the addition of the TS so that general speaking skills would be as little of a variable that could have affected the results, which would then need to be considered, as possible. The third session of the task (just before the beginning of the addition of the TS) was recorded by the learners, transcribed and analyzed solely in terms of utterance fluency (the main goal was to ensure that no group was exerting more effort, which would have added an additional difficulty). Statistical analysis showed no significant difference between the three groups.
The learners had no prior knowledge of the TS. To ensure this, we conducted a test before the start of the experiment in the form of fill-in-the-blank exercises and error correction. Only one learner had some knowledge of the TS, so he was excluded from the study. On the same day, the TS was presented in the form of a PPT in the same way to the three classes for about 20 min. Application exercises then reinforced their knowledge of the TS for 25 min. Immediately after, the first task session took place, where learners had to use the TS five times. The following morning and afternoon, during their usual class hours, the second and third practice sessions occurred, immediately preceded for groups 1 and 2 by the treatment phase.

3.3. Treatment

The objective of our study was to compare the effects of two types of training administered just before the second and third sessions of the task. We sought to determine whether one of the two treatments facilitated the fluent and accurate use of the TS, not when it was practiced during this training phase, but when the learner performed a fully meaningful task and needed to use this TS. The cognitive load was very high, to the point that focusing attention on the production of a message and on the forms simultaneously was very difficult, in line with Skehan’s (2014) hypothesis of limited attentional resources. Both groups started from a formulaic sequence requiring the addition of a verb to be conjugated in the subjunctive mood followed by a complement (see the Target Structure Section for details). In both cases, the learners had to carry out a transformation operation since the verb had to be conjugated. Thus, the same type of operation was replicated, which imposed a cognitive effort (here, an effort of conjugation) as in the laboratory studies (e.g., Suzuki & DeKeyser, 2015). Learners in both groups practiced the TS the same number of times during the different phases of the experiment (training and task). The only difference in treatment was at the level of how to practice the TS. Both groups were first asked to produce an idea, which then called for the TS. In group 1, the training consisted of repeating the same idea, the disagreement, while group 2 repeatedly produced the idea of necessity. These are two very common ideas that the subjunctive mood allows us to express in French.
The training in group 1 consisted of expressing agreement or disagreement regarding what the leaners’ partner had just expressed. The subjunctive was therefore required following the formulaic sequence “I don’t think that + subjunctive” to express disagreement. In the case of agreement, this structure was no longer appropriate. Thus, the learner had to restate the expressions formulated by the partner. For example, if a partner said, “pour moi, parler une langue est le plus difficile” (for me, speaking a language is the most difficult), the learner could say, “je ne pense pas que parler soit difficile/le plus difficile” (I do not think that speaking is difficult/the most difficult) or “il faut écrire beaucoup” (it is necessary to write a lot), which would prompt the response, “je ne pense pas qu’il faille écrire beaucoup” (I do not think that it is necessary to write a lot). In other words, a variability of forms necessarily emerged, as the learner most often started from what their partner said.
The training in group 2 was different, because the learner had to express the unique idea of necessity formulated through the formulaic sequence “il faut que + subjunctive” (it is necessary that + subjunctive). However, unlike in group 1, the idea expressed behind the formulaic sequence was not related to what the partner had just said. The learners’ therefore had to make an effort to think of a verb and its complement and apply the transformation required by the conjugation of the verb. Sentences of this type were produced: “Pour bien apprendre une langue, il faut que je fasse des efforts tous les jours, et toi? Moi, je pense qu’il faut que je parle avec mon professeur pendant le cours…” (In order to learn a language well, I need to make an effort every day, and you? I think that I need to speak with my teacher during class…).
We hypothesized that group 1 would use the TS with greater fluency than group 2 because their cognitive load was less heavy. Indeed, the production of an idea by the partner will naturally trigger the idea of agreement or disagreement, and the verbs to be conjugated are already present in the partner’s speech, following an internal process within the learner. We also estimated that the variability of the verbs used would be less in group 1, because expressions such as “…est le plus difficile/important, il faut…” (…is the most difficult/important, one must…) would be frequently repeated by the partner. In contrast, in group 2, the cognitive load would be heavier because the learner would have to generate an idea on their own, unrelated to what has preceded, while conjugating the verb in the subjunctive. The fine-tuning process would likely be easier in group 1, even though there existed variability in the verbs to be conjugated in both groups. We therefore targeted grammar learning, since a conjugation operation took place in each group.
In both groups, the training phase took the form of a dialogue first between a learner and the teacher, and then between learners, lasting approximately 20 min. Building on Chen and Li’s (2022) study, the structure was introduced directly into a conversation between the teacher and a learner. The aim of this phase was to demonstrate directly in a communication context how to use the TS. We chose, as in the study by Sato and McDonough (2019), not to provide any corrective feedback throughout the duration of the experiment. We wanted to minimize teacher intervention as much as possible; otherwise, the presence of corrective feedback would have to be taken into account in the interpretation of the results. Sato and McDonough justify this by relying on skill acquisition theory, which posits that practice should allow for the increasingly fluent and accurate use of the TS. Furthermore, learners had access to their notes only during the training phase, but no documents were allowed during the task performance.

3.4. Target Structure

We chose the subjunctive mood as a TS for several reasons. First of all, this mood was unknown to the learners. Moreover, this mood was the subject of a study that also tested the effects of practice on the fluent and accurate use of the subjunctive. The study by Michaud and Ammar (2023) evaluated the most effective timing for teaching this form—before, during, or after a task. As Michaud (2019) notes, the subjunctive allows for the expression of a wide variety of ideas such as necessity, doubt, feelings, or disagreement. For this reason, the subjunctive must be placed after an introductory structure (il faut que, il est important que, je ne pense pas que: it is necessary that, it is important that, I do not think that…) that expresses these varied ideas. These introductory structures (notably “it is necessary” and “I think that”) were already known to the learners, so the difficulty lay in the conjugation of the verb. However, the most frequent verbs (aller, faire, être, avoir…: to go, to do, to be, to have…) often have an irregular form, making the structure very salient, while for many other verbs, the subjunctive form resembles that of the present, rendering the structure less salient. Michaud (2019) concludes that there is a need for a Focus-on-Form targeting this mood, as simple exposure to input makes its acquisition unlikely. According to the terminology of Housen and Simoens (2016), this TS can be considered complex because it requires several operations (choosing an introductory structure, conjugating the verb) and because the learners’ L1 (Chinese) does not have conjugation operations.

3.5. Scoring

Two series of tests were conducted in this study, the first during the training phase at three different times (T1, T2 and T3), and the second during a new task placed two days after the third training session.

3.5.1. Training Phase

During each session of the task, learners recorded themselves with their phones, with the stipulation that they could not stop the recording, as that would have skewed the analysis. Just before the first session, to ensure that the recording went smoothly and that the learners became familiar with the activity’s requirements, they practiced on another topic (talking about their last vacation), with the necessity to use the past tense at least five times. This tense was very suitable for the topic, making its use very natural. The first session of the task then took place. The recordings were collected and transcribed. Only the sentences containing the TS were analyzed. For the fluency measures, we based our calculations on the method used by Sato and McDonough (2019), but adapted it. The PRAAT software (Version 6.0.14) was used, but the quality of the recordings necessitated a parallel manual analysis. The speech rate indicator focused on the entire sentence. Since the useful expressions for completing the task had been practiced intensively the previous week to make the proficiency levels as close as possible among the learners, we expected that the development of the speech rate (which therefore did not specifically target the structure) would not show significant differences between the groups. After an initial analysis of a portion of the speech rate data, we realized that the sentences containing the TS were very short, following the model of introductory sequence + a verb in the subjunctive + complement. However, the presence of more or less long pauses at the level of the TS significantly influenced the speech rate results. We then decided to retain only the indicator of the average length of pauses targeting the TS. We calculated the average length of the mid-clause pauses. Since the introductory sequences were already familiar to the learners, we expected the pauses to occur mainly just before or just after the subject preceding the verb conjugated in the subjunctive. This indicator was therefore a relatively precise tool for assessing the speed of the conjugation operation. Research on the effects of practice on the development of utterance fluency often adopts this mode of calculation, as mid-clause pauses are good indicators of the degree of proceduralization (Lambert et al., 2017). If a repetition occurred, we considered it a sign of hesitation, as the learner was evidently reflecting on the conjugation. Following de Jong and Bosker (2013), pauses shorter than 250 ms were not considered as pauses in the present study.
In Suzuki and DeKeyser (2015) and Sato and McDonough (2019), only accurate uses of the TS were retained for an analysis of utterance fluency. After an initial analysis of the results, we found that an overly large number of utterances were incorrect, particularly at T1. By setting the cut-off at 40%, as in Suzuki and DeKeyser (2015), too many participants would have been excluded from the analysis. We then chose to exclude from the analysis only those utterances where the verb was not conjugated. This allowed us to target sentences where the form was used with an effort, even though those uses were not accurate, as some learners, under the influence of time pressure, did not conjugate verbs, following a natural avoidance strategy when producing meaning. Loschky and Bley-Vroman (1993) believe that a task can be designed to make the use of a notion natural, useful, or essential, but point out that it is very difficult to make its use essential because learners can always find a way to bypass the notions deemed essential by the task designer. This difficulty is not present when the activity is decontextualized. We ensured that an effort was made. This was therefore a technique that improves the validity of the experiment. Finally, 3 learners in group 1, 4 in group 2 and 7 in the control group were excluded from the analysis because the percentage of verbs where an effort of conjugation had been made did not reach 40% in each of the 3 sessions.
For the accuracy indicator, we targeted the introductory sequence as well as the conjugated verb, but not the rest of the sentence. Minor pronunciation errors were not counted as mistakes, following Suzuki and DeKeyser (2015). One point was awarded for accurate usage, and no half points were given. Since some learners used the TS more than 5 times or less than 5 times, we calculated an accuracy usage rate ranging from 0 to 1 (with 1 corresponding to 100% accurate usage). A second teacher coded part of the data. Interrater reliability was calculated on a subset of the data (20%), which yielded acceptable agreement rates for all indices (mean length of pauses: r = 0.79; accuracy: r = 0.94).

3.5.2. New Task

The objective of this test was to determine to what extent a TS practiced in context could be naturally reused in a new task that presented similarities in terms of the ideas to be expressed. We relied on the design of Suzuki and Hanzawa (2022) and Suzuki et al. (2022) regarding TR, which added a new task to analyze the phenomenon of transfer. As Suzuki (2023) notes, when the activity focuses the learner’s attention on meaning, it is necessary for the ideas expressed in both tasks to be similar for transfer to occur. Thus, in these studies, the prompts used encouraged the use of similar grammatical structures, such as the use of the subjunctive to express disagreement and necessity. We then chose a very similar new theme: how to prepare well for an exam. The ideas of necessity and disagreement (expressed by the TS) were expected to arise naturally, just as in the first task. Therefore, a transfer in the use of the TS was anticipated because the ideas to be expressed were very close. The goal was to quantify the number of TS uses by each learner, without assessing the quality of the use (fluent and accurate use). The participants had not been informed in advance that they would need to complete this new task. Just before performing the task, the teacher only indicated that they could use the subjunctive if they felt the need to. At no point was it required for them to use the TS, as in the previous task. When the TS was not used, the score was 0, and if the learner used it twice, they received a score of 2.

4. Results

To understand the overall patterns of accuracy and fluency changes across different sessions during the training phase (T1, T2 and T3), descriptive statistics were first analyzed. Then, the data were subjected to two types of inferential statistics. First, to determine if one of the two groups outperformed the other in terms of a specific indicator of fluency or accuracy at a particular data collection phase, we conducted a one-way ANOVA at T1, T2 and T3. Before proceeding, we checked the homogeneity of variances and the assumptions of normality. In cases where the p-value was less than 0.05 in Levene’s test, we applied Welch’s correction. If normality was not met, we conducted a Kruskal–Wallis test. We then compared the results of the ANOVA with this test to ensure that the results were equivalent. Next, to test the differences in evolution between the groups across different phases, we conducted a series of mixed two-way ANOVAs. If the assumptions of normality, homogeneity of variance, linearity and homogeneity of regression slopes were not met, we applied the Greenhouse–Geisser correction. These mixed two-way ANOVAs allowed us to search for significant differences between the groups in the evolution between two phases of data collection. Furthermore, we also sought to determine whether the levels of each group individually or between groups experienced a significant change in a fluency or accuracy indicator between two phases of data collection and whether the effect sizes differed between the two groups using Cohen’s d. To do this, we conducted post hoc comparisons. Finally, we sought to find a correlation between the number of times the TS was used during the new task and the average length of pauses at T3 by calculating the Pearson correlation coefficient. The alpha level for statistical significance was set at less than 0.05. Since there is no specific benchmark for effect size partial eta squared for grammatical learning, the effect size magnitudes were interpreted based on the educational research benchmark for partial eta squared (Suzuki and Hanzawa (2022): small: ηp2 = 0.0099; medium: ηp2 = 0.0588; and large: ηp2 = 0.1379). For Cohen’s d, the magnitude of effect size was considered as small (0.40), medium (0.70) and large (1.00) according to an L2 field-general benchmark (Plonsky & Oswald, 2014).
We organized the results report as follows. We first present any differences between the groups in terms of fluency at each of the three sessions of the training phase (one-way ANOVAs), and in the evolution between sessions (mixed two-way ANOVAs). The results regarding accuracy are then presented for the training phase. We report the details of the statistical results when we found a significant difference (p < 0.05) or a trend (p-value between 0.05 and 0.10). In the second stage, we report the results concerning the number of uses of the TS in the new task (and thus the avoidance rate) and the existence or not of a correlation between pauses at T3 and the number of uses of the TS. In the following figures, group 1 is referred to as “Low CL (cognitive load)” and group 2 as “High CL”.

4.1. Fluent and Accurate Use of Target Structure

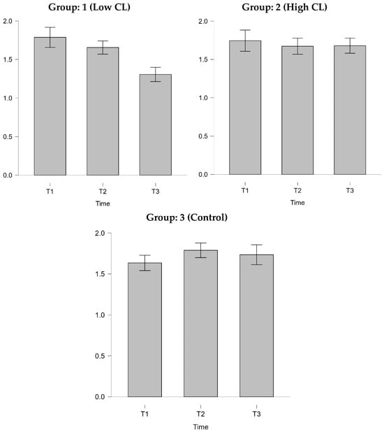
Regarding the fluent use of the TS, we first conducted a one-way ANOVA at T1 (the first session of the task) to ensure that none of the three groups outperformed one another. At T1, none of the groups had yet received treatment. Therefore, T1 can be considered as a pre-test. No significant difference was found between the groups: F (2,83) = 0.458, p = 0.634. At T2, no significant difference was found either: F (2,83) = 0.508, p = 0.604. We can conclude that the first phase of treatment had no effect on the fluent use of the TS, and post hoc tests showed no difference between the two groups that received treatment and the control group. It was only from T3 that significant differences were observed. The ANOVA was significant—F (2,83) = 5.538, p = 0.006—suggesting that the groups differed in their fluency scores. The descriptive plots indicate the superiority of group 1 (Figure 1), and the post hoc test confirms that group 1 outperformed group 2 and group 3 with a medium effect size, while group 2 did not manage to reduce pause length more than the control group (Table 1).
To analyze the evolution of fluency scores between T1 and T3, a mixed two-way ANOVA was performed. The descriptive plots (Figure 2) showed a clear advantage for group 1 over the other two groups. The results of the ANOVA were clearly significant after applying the Greenhouse–Geisser correction when testing the effects of time on the group: F (3.568, 148.089) = 9.000, p < 0.001, ηp2 = 0.178. The simple main effects indicated that the difference was only significant at T3, confirming the earlier findings. Only group 1 experienced a significant decrease in pauses between T2 and T3: pholm < 0.001, d = 0.855.
Regarding the accurate use of the TS, the results showed fewer significant differences between the groups, with smaller effect sizes. At T1, the one-way ANOVA revealed no significant difference, suggesting that the three groups started at an equivalent level: F (2,83) = 0.382, p = 0.684. At T2, the three groups showed a significant difference: F (2,83) = 5.097, p = 0.008. Post hoc tests indicated a tendency for group 1 to have an advantage over group 2, with a small effect size (Table 2). Group 1 significantly outperformed the control group, while group 2 did not achieve this. However, at T3, group 2 intensified its difference from the control group without reaching a significant score. Group 1 maintained its advantage over group 2 with an equivalent effect size (Table 3).
A mixed two-way ANOVA was subsequently conducted to analyze the evolution of accuracy scores between T1 and T3. When testing the effect of time on the groups, the results were significant: F (4,166) = 2.620, p = 0.037, ηp2 = 0.059. In other words, the groups evolved differently between T1 and T3. We then performed post hoc tests to identify significant differences. Although descriptive statistics showed that all three groups improved their scores between the sessions (Figure 3), only group 1 reached a significant threshold, and only between T1 and T2—pholm = 0.010, d = 0.695—which constitutes a medium effect size. None of the groups significantly improved their scores between T2 and T3.

4.2. Avoidance Phenomenon and Correlation with Average Length of Pauses

We first report the number of times the TS was used during the implementation of the new task. We calculated the avoidance rate by dividing the number of scores equal to 0 by the number of participants. In group 1, 10 out of 31 learners avoided using the TS, which was 32%. In group 2, 16 out of 29 learners avoided it, accounting for 55%, and in group 3, 17 out of 26 learners avoided it, which was 65%. Therefore, group 1 avoided using the TS considerably less than the other two groups. A one-way ANOVA comparing the number of times the TS was used showed that the three groups had significantly different scores—F (2,83) = 5.665, p = 0.005, ηp2 = 0.120—indicating a large effect size. Post hoc tests revealed that group 1 outperformed the other two groups in terms of the average number of times the TS was used during the execution of the new task. Group 2 did not manage to outperform the control group (Table 4).
We then sought to find a correlation between the average length of pauses at T3 and the number of uses of the TS during the new task by calculating the Pearson correlation coefficient. After calculating this coefficient across the three groups, we performed the operation individually for each group. Considering all three groups, a significant correlation was found: r = −0.310, p = 0.004. However, when calculating the coefficients individually for each of the three groups, only group 1 showed a significant correlation: r = −0.395, p = 0.028. Thus, in group 1, the more advanced the level of proceduralization at T3, the more the TS was used in the new task (Figure 4).

5. Discussion

Our study evaluated the effects of a proactive FoF where a TS, the subjunctive positioned after an introductory sequence, was chosen prior to the task. The objective was to compare the effects of two types of training. We aim to address the three research questions posed in this article. Regarding the first question, group 1 clearly outperformed group 2 in the fluent use of the TS (mid-clause pauses), but only from T3. Furthermore, without reaching the 0.05 threshold, group 1 showed a trend towards the more accurate use of the TS compared to group 2. Concerning the third question, the obtained results are interesting as they clearly demonstrated that only group 1 used the TS in a new task, indicating that a transfer occurred. Group 2 did not outperform the control group, which had not undergone a training phase, suggesting that this type of training is relatively ineffective in the context of a cognitively challenging activity.

5.1. Fluency Changes in the Target Structure

Group 1 clearly outperformed group 2 in terms of mid-clause pauses from T3, with a medium/large effect size. This type of pause is often associated by researchers with an indication of the beginning of proceduralization (Lambert et al., 2017), as the presence of these pauses is a mark of conscious effort to conjugate the verb in the subjunctive. Although the study did not allow for quantification, it was observed by the two teachers who coded the data that these pauses were rarely present in the introductory sequence (il faut que and je ne pense pas que, I need and I do not think that), given that these expressions were already familiar to the learners in the form of il faut + a verb in the infinitive and je pense que + a verb in the indicative. The pauses were predominantly present at the point of verb conjugation. Therefore, our study fits well within research focusing on grammar learning, as an effort was made to conjugate the TS (e.g., Nakata & Suzuki, 2019; Sato & McDonough, 2019; Suzuki & DeKeyser, 2015). The fluency calculation method excluded utterances where the form was not conjugated, either due to the absence of a subject before the verb or by directly using the infinitive (avoidance phenomena). By doing so, we ensured that an effort was indeed being made when calculating the length of pauses.
We interpret these results as follows. In group 1, the idea of disagreement naturally emerged during the conversation, as the idea produced by the partner was most often a personal opinion regarding language learning. Even in their L1, it was logical to want to express agreement or disagreement. The idea emerged naturally at the level of the conceptualizer (Kormos, 2006). Learners then had to make little effort to produce this idea, so the process remained internal to the learner (Long, 2015, 2016). The subjunctive was therefore naturally used to formulate this idea of disagreement, given that the learner often simply repeated the expressions used by the partner. The operation thus mostly consisted of conjugating the verb used by the partner in the subjunctive. Without being able to quantify it, by observing the transcripts, we noticed a large number of uses of the verb être (to be) (soit in the subjunctive) and falloir (to need) (faille in the subjunctive) because the task often prompted the partner to produce sentences such as “je pense que… est très important/le plus important/très difficle/le plus difficle… or je pense qu’il faut + verb” (I think that… is very important/the most important/very difficult/the most difficult… or I think that one must + V). Adopting the perspective of skill acquisition theory (DeKeyser, 2020), it seems evident that the frequent reuse of the verb “être” (to be) strengthened the fine-tuning process of a single skill, marked by a significant decrease in the length of mid-clause pauses. Without ever imposing a verb behind the introductory sequence (“I don’t think that”), an interesting phenomenon was observed. Learners tended to favor the same form (the verb “to be”), likely because the partner frequently used these verbs, making the reuse of this same form increasingly easier. It would have been interesting to quantify this reuse of the same verb. de Jong and Perfetti (2011) quantified this phenomenon on the scale of an entire task by referring to lexical overlap. The repetition of the same task pushes learners to express similar ideas, which are then formulated using similar structures. It seems that the same phenomenon occurred at the level of the TS.
In contrast, group 2 was unable to significantly reduce the average length of these pauses, in accordance with studies that provided an FoF in TR (Tran & Saito, 2021; Van de Guchte et al., 2016). We interpret this as follows: according to Kormos’s (2006) model, the production of ideas at the conceptualizer level always precedes their formulation into linguistic forms. Here, the production of an idea expressing a necessity was much less connected to what preceded it, meaning that the learner had to exert more effort to independently generate an idea to express. The operation of conjugation subsequently added to the cognitive load. This likely represented too great a burden for the fine-tuning of a skill to occur. As Suzuki (2023) notes, variability can pose an obstacle to acquisition, especially in already challenging meaning-focused activities. In group 2, learners likely struggled more to reuse the same ideas, a phenomenon that has been observed in studies focused on TR with a greater spacing between sessions or under an interleaved schedule (e.g., Bui et al., 2019; Suzuki, 2021). The verbs and their complements used after the introductory sequence were likely more varied than in group 1. Even though Suzuki and Dekeyser (2015) noted an increasingly rapid conjugation operation following the practice of 18 different verbs (with the variability of forms not obstructing proceduralization), group 2 did not succeed in this. Their study was one of the first to evaluate grammar learning in a production activity requiring the generation of an idea (formulating a sentence containing the TS from a picture). Group 2 also practiced the TS with the same variability of forms. However, they were unable to reduce the average length of pauses given the high cognitive load that performing a task represents. It seems, therefore, that variability becomes an obstacle to acquisition when the activity is too challenging.
Our study is therefore situated at the intersection between those that have focused on TR and those that have focused on grammar learning. While studies on grammar learning have observed an initial proceduralization following the effects of practice (Suzuki & DeKeyser, 2015), the practice was largely decontextualized. When the TS is integrated into a task, the operation of conjugation is much more challenging, which may explain why Van de Guchte et al. (2016) did not observe any improvement in fluency. Our study responded to the call from Suzuki and DeKeyser (2015) to practice and test language knowledge in more meaning-focused contexts that are closer to spontaneous discussion. Contextualized practice first requires the reuse of similar ideas, as shown by studies on TR, which is not necessitated by laboratory practice.

5.2. Accuracy Changes in the Target Structure

In terms of the accurate use of the TS, the transcriptions showed that errors were most often located at the level of the verb to be conjugated. A small part of the errors concerned introductory sequences. Following Sato and McDonough (2019), no corrective feedback was provided throughout the experimentation. The aim was to see how the TS was used and whether there was progress between T1 and T3. Once again, group 1 outperformed group 2, but only a trend was observed, with a smaller effect size than for the mid-clause pauses. This difference was noted as early as T2 and was maintained at T3. Cognitive load was certainly lower for group 1, as the idea of disagreement arose naturally during the conversation. Given that the verb “être” (to be) was most frequently used among the participants in group 1, less effort was required for verb conjugation, which reduced the risk of errors. The memory of the subjunctive form of the verb “to be” was more easily retrieved. Thus, monitoring (Kormos, 2006) was simpler in group 1. Nevertheless, we observed that there was indeed a faster use of the TS (a sign of the initial stages of proceduralization), but sometimes the verb was repeated in an incorrect form (a phenomenon observed on the scale of a task when performed without the addition of corrective feedback (Boers, 2014; Suzuki, 2021)). We deduce this from the accuracy scores of group 1, which did not show significant improvement between T2 and T3. It seems that the subsequent practice sessions had only a limited effect on the development of accuracy. A fourth session would have been necessary to confirm our hypothesis. We believe that the addition of corrective feedback targeting only the subjunctive verb could have allowed for a gradual improvement in accuracy after each practice session. In contrast, in group 2, the greater variability of the verbs used represented various skills that the learners had to practice during the task. Learners did not have access to their notes during the task, only during the training phase. It was therefore more difficult to remember the forms, especially since the use of the subjunctive requires the mastery of many irregular forms (Michaud, 2019).

5.3. Contextualized Grammar Learning and Avoidance Phenomenon

In adding a new task, we sought to determine whether requiring the use of the TS five times during the task (following the model of the study by Van de Guchte et al. (2016)) was an effective technique. One of the criticisms from proponents of the strong version of TBLT regarding a proactive FoF is the uncertainty of whether the TS would actually be reused in spontaneous discussion afterward (Long, 2015, 2016). The study by Suzuki et al. (2022) on TR showed a limited transfer of fluency from one task to another, likely because the new prompts encouraged the use of new structures. Our study focused on a specific structure and clearly demonstrated that only group 1 was able to reuse the TS (with a large effect size) in a new task that shared similarities with the ideas expressed in the first task. Group 2 did not manage to significantly outperform the control group, even though descriptive statistics showed a slight superiority of group 2 compared to the control group. It can be concluded that the classical teaching of a TS imposed in a context, following the PPP teaching model, makes it difficult to prevent a phenomenon of avoidance of the TS when the task is different. The results of group 2 are therefore consistent with those of Nergis’s (2021) study, which observed this phenomenon in the context of instruction on formulaic sequences. The percentage of TS usage in group 2 was low, as only 45% of learners used the TS at least once in the new task, compared to 68% in group 1. Group 1 managed to use the TS without being imposed upon because the new task naturally evoked the idea of disagreement, as in the first task. The new task also allowed for the expression of the idea of necessity, but the TS was largely avoided in group 2, with a similar extent of avoidance as in the control group.
A very interesting point in our study is the existence of a significant correlation between the number of TS uses in the new task and the average length of pauses at T3. We interpret this as follows: when the TS began to become proceduralized, it was primarily due to the fact that the idea arising naturally during the conversation prompted the relevant form. It was thus more easily used in the new task. Conversely, a longer average pause length, indicating a lack of automaticity, was more correlated with a phenomenon of avoidance.
We can draw pedagogical implications from this. When it comes to choosing a TS prior to the task, it seems more effective to first determine the ideas that would naturally arise during the execution of the task. Researchers refer to this as a needs analysis (Long, 2015). However, for the technique to be effective, it is likely that the idea should be simple and unique in order to attach it to a single structure. It is uncertain whether the order in which grammar points are addressed in textbooks (with structures considered simple at the beginning of the curriculum and becoming progressively more complex) corresponds to the actual needs during task execution. For instance, the past tense in L2 French is often taught at the middle of the A1 level, while a simple idea such as being able to express a difficulty (for example, “je n’ai pas compris”, I did not understand) emerges right from the early lessons. Yet, the past tense is used to formulate such an idea.

6. Conclusions and Limitations

This study attempted to show that a proactive FoF involving the application of a grammar rule appears to be more effective when the TS is used primarily to formulate an idea that arises naturally in response to what the partner has just said. The learner then needs to exert less attentional effort to generate an idea. In contrast, when the learner has to use the TS to produce an idea on their own, the processes of proceduralization are likely negatively affected. Moreover, this type of FoF seems to promote the reuse of the TS without imposing it in a new task when that task involves the production of similar ideas.
Our study is not without limitations. The main limitation is related to the nature of the study design. The learners performed the task in pairs by asking each other questions. They were given a great deal of freedom to express themselves naturally. Therefore, it was very difficult to control the experimental conditions as one could do in a laboratory study. Although the level of general proficiency among the learners did not show significant differences between groups, individual differences did exist. It would have been useful to introduce a new parameter into the analysis, specifically individual abilities such as working memory. Learners with better working memory likely performed better. Furthermore, it would have been interesting to see which treatment more effectively reinforced declarative knowledge of the TS by adding a fill-in-the-blank test or an error correction test.
Despite these limitations, this study had its participants practice a TS in an environment that resembles the natural conditions of classroom practice. The form of dialogue was chosen so that the learners could use the TS while constantly maintaining their attention on the message to be understood and produced.

Author Contributions

Conceptualization, N.B.; methodology, N.B. and Q.X.; validation, Q.X.; data curation, N.B.; writing—original draft preparation, N.B.; writing—review and editing, N.B. and Q.X.; supervision, Q.X. All authors have read and agreed to the published version of the manuscript.

Funding

This research received no external funding.

Institutional Review Board Statement

This research followed the norm and standard of the university where the research was conducted. This study complied with the ethical guidelines of the University Ethics Review Committee because the participants provided their informed consent and the research involved non-invasive, non-sensitive topics, posing no risk to their privacy or well-being.

Informed Consent Statement

Informed consent was obtained from all subjects involved in the study.

Data Availability Statement

The data and instructional materials will be made available upon request.

Conflicts of Interest

The authors declare no competing interests.

References

  1. Bird, S. (2010). Effects of distributed practice on the acquisition of second language English syntax. Applied Psycholinguistics, 31, 635–636. [Google Scholar] [CrossRef]
  2. Boers, F. (2014). A reappraisal of the 4/3/2 activity. RELC Journal, 45(3), 221–235. [Google Scholar] [CrossRef]
  3. Brunmair, M., & Richter, T. (2019). Similarity matters: A meta-analysis of interleaved learning and its moderators. Psychological Bulletin, 145, 1029–1052. [Google Scholar] [CrossRef] [PubMed]
  4. Bui, G., Ahmadian, M. J., & Hunter, A. M. (2019). Spacing effects on repeated L2 task performance. System, 81, 1–13. [Google Scholar] [CrossRef]
  5. Bygate, M. (2018). Learning language through task repetition. John Benjamins Publishing Company. [Google Scholar]
  6. Chen, M., & Li, W. (2022). The influence of form-focused instruction on the L2 Chinese oral production of Korean native speakers. Frontiers in Psychology, 13, 790424. [Google Scholar] [CrossRef]
  7. de Jong, N., & Bosker, H. R. (2013, August 21–23). Choosing a threshold for silent pauses to measure second language fluency. 6th Workshop on Disfluency in Spontaneous Speech, Stockholm, Sweden. [Google Scholar]
  8. de Jong, N., & Perfetti, C. A. (2011). Fluency training in the ESL classroom: An experimental study of fluency development and proceduralization. Language Learning, 61, 533–568. [Google Scholar] [CrossRef]
  9. DeKeyser, R. M. (2001). Automaticity and automatization. In P. Robinson (Ed.), Cognition and second language instruction (pp. 125–151). Cambridge University Press. [Google Scholar]
  10. DeKeyser, R. M. (2020). Skill acquisition theory. In B. VanPatten, G. D. Keating, & S. Wulff (Eds.), Theories in second language acquisition: An introduction (3rd ed., pp. 83–104). Routledge. [Google Scholar]
  11. Ellis, R. (2018). Reflections on task-based language teaching. Multilingual Matters. [Google Scholar]
  12. Ellis, R. (2019). Towards a modular language curriculum for using tasks. Language Teaching Research, 23(4), 454–475. [Google Scholar] [CrossRef]
  13. Housen, A., & Simoens, H. (2016). Introduction: Cognitive perspectives on difficulty and complexity in L2 acquisition. Studies in Second Language Acquisition, 38(2), 163–175. [Google Scholar] [CrossRef]
  14. Jacobs, C. L., Cho, S.-J., & Watson, D. G. (2019). Self-priming in production: Evidence for a hybrid model of syntactic priming. Cognitive Science, 43, e12749. [Google Scholar] [CrossRef]
  15. Kormos, J. (2006). Speech production and second language acquisition. Routledge. [Google Scholar]
  16. Lambert, C., Kormos, J., & Minn, D. (2017). Task repetition and second language speech processing. Studies in Second Language Acquisition, 39(1), 167–196. [Google Scholar] [CrossRef]
  17. Long, M. H. (2015). Second language acquisition and task-based language teaching. Wiley-Blackwell. [Google Scholar]
  18. Long, M. H. (2016). In defense of tasks and TBLT: Nonissues and real issues. Annual Review of Applied Linguistics, 36, 5–33. [Google Scholar] [CrossRef]
  19. Loschky, L., & Bley-Vroman, R. (1993). Grammar and task-based methodology. In G. Crookes, & S. Gass (Eds.), Tasks and language learning: Integrating theory and practice (pp. 123–167). Multilingual Matters. [Google Scholar]
  20. McDonough, K., Neumann, H., & Trofimovich, P. (2015). Eliciting production of L2 target structures through priming activities. Canadian Modern Language Review, 71, 75–95. [Google Scholar] [CrossRef]
  21. Michaud, G. (2019). À quel moment enseigner la forme dans le cadre d’un enseignement basé sur la tâche? [Doctoral thesis, Université de Montréal]. [Google Scholar]
  22. Michaud, G., & Ammar, A. (2023). Explicit instruction within a task: Before, during, or after? Studies in Second Language Acquisition, 45(2), 442–460. [Google Scholar] [CrossRef]
  23. Nakata, T., & Suzuki, Y. (2019). Mixing grammar exercises facilitates long-term retention: Effects of blocking, interleaving, and increasing practice. The Modern Language Journal, 103, 629–647. [Google Scholar] [CrossRef]
  24. Nergis, A. (2021). Can explicit instruction of formulaic sequences enhance L2 oral fluency? Lingua, 255, 103072. [Google Scholar] [CrossRef]
  25. Pica, T. (1983). Methods of morpheme quantification: Their effect on the interpretation of second language data. Studies in Second Language Acquisition, 6(1), 69–78. [Google Scholar] [CrossRef]
  26. Pienemann, M. (1989). Is language teachable? Psycholinguistic experiments and hypotheses. Applied Linguistics, 10, 52–79. [Google Scholar] [CrossRef]
  27. Plonsky, L., & Oswald, F. L. (2014). How big is “big?” Interpreting effect sizes in L2 research. Language Learning, 64, 878–912. [Google Scholar] [CrossRef]
  28. Rogers, J. (2015). Learning second language syntax under massed and distributed conditions. TESOL Quarterly, 49(4), 857–866. [Google Scholar] [CrossRef]
  29. Sato, M., & McDonough, K. (2019). Practice is important but how about its quality? Contextualized practice in the classroom. Studies in Second Language Acquisition, 41, 999–1026. [Google Scholar] [CrossRef]
  30. Skehan, P. (2014). Limited attentional capacity, second language performance and task-based pedagogy. In P. Skehan (Ed.), Processing perspectives on task performance (pp. 211–262). Benjamins. [Google Scholar]
  31. Suzuki, Y. (2021). Optimizing fluency training for speaking skills transfer: Comparing the effects of blocked and interleaved task repetition. Language Learning, 71, 285–325. [Google Scholar] [CrossRef]
  32. Suzuki, Y. (2023). Introduction: Practice and automatization in a second language. In Y. Suzuki (Ed.), Practice and automatization in second language research: Perspectives from skill acquisition theory and cognitive psychology (pp. 1–36). Routledge. [Google Scholar]
  33. Suzuki, Y., & DeKeyser, R. (2015). Effects of distributed practice on the proceduralization of morphology. Language Teaching Research, 21, 166–188. [Google Scholar] [CrossRef]
  34. Suzuki, Y., Eguchi, M., & de Jong, N. (2022). Does the reuse of constructions promote fluency development in task repetition? A usage-based perspective. TESOL Quarterly, 56, 1290–1319. [Google Scholar] [CrossRef]
  35. Suzuki, Y., & Hanzawa, K. (2022). Massed task repetition is a double-edged sword for fluency development: An EFL classroom study. Studies in Second Language Acquisition, 44, 536–561. [Google Scholar] [CrossRef]
  36. Thai, C., & Boers, F. (2016). Repeating a monologue under increasing time pressure: Effects on fluency, complexity, and accuracy. TESOL Quarterly, 50(2), 369–393. [Google Scholar] [CrossRef]
  37. Tran, M. N., & Saito, K. (2021). Effects of the 4/3/2 activity revisited: Extending Boers (2014) and Thai & Boers (2016). Language Teaching Research, 28(2), 326–345. [Google Scholar] [CrossRef]
  38. Van de Guchte, M., Braaksma, M., Rijlaarsdam, G., & Bimmel, P. (2016). Focus on form through task repetition in TBLT. Language Teaching Research, 20(3), 300–320. [Google Scholar] [CrossRef]
  39. Wei, R., Kim, S.-A., & Shin, J.-A. (2022). Structural priming and inverse preference effects in L2 grammaticality judgment and production of English relative clauses. Frontiers in Psychology, 13, 845691. [Google Scholar] [CrossRef]
Figure 1. Descriptives plot, mean length of pauses at T3 (second).
Figure 1. Descriptives plot, mean length of pauses at T3 (second).
Languages 10 00128 g001
Figure 2. Descriptive plots, fluency evolution (second).
Figure 2. Descriptive plots, fluency evolution (second).
Languages 10 00128 g002
Figure 3. Descriptive plots, accuracy evolution.
Figure 3. Descriptive plots, accuracy evolution.
Languages 10 00128 g003
Figure 4. Correlation plot, group 1 (Low CL).
Figure 4. Correlation plot, group 1 (Low CL).
Languages 10 00128 g004
Table 1. Post hoc comparisons by group at T3—MLP.
Table 1. Post hoc comparisons by group at T3—MLP.
Mean DifferenceSEtCohen’s dpholm
12−0.3730.139−2.686−0.6940.017
3−0.4280.143−2.996−0.7970.011
23−0.0550.145−0.381−0.1030.704
Note. p-values adjusted for comparing family of 3.
Table 2. Post hoc comparisons by group and accuracy—T2.
Table 2. Post hoc comparisons by group and accuracy—T2.
Mean DifferenceSEtCohen’s dpholm
120.0960.0462.0940.5410.079
30.1470.0473.1110.8270.008
230.0510.0481.0600.2860.292
Note. p-values adjusted for comparing family of 3.
Table 3. Post hoc comparisons by group and accuracy—T3.
Table 3. Post hoc comparisons by group and accuracy—T3.
Mean DifferenceSEtCohen’s dpholm
120.0910.0452.0420.5280.089
30.1640.0463.5690.9490.002
230.0730.0471.5600.4210.122
Note. p-values adjusted for comparing family of 3.
Table 4. Post hoc comparisons by group and TS use.
Table 4. Post hoc comparisons by group and TS use.
Mean DifferenceSEtCohen’s dpholm
120.8130.3252.5060.6470.028
31.0560.3343.1610.8410.007
230.2430.3390.7150.1930.476
Note. p-values adjusted for comparing family of 3.
Disclaimer/Publisher’s Note: The statements, opinions and data contained in all publications are solely those of the individual author(s) and contributor(s) and not of MDPI and/or the editor(s). MDPI and/or the editor(s) disclaim responsibility for any injury to people or property resulting from any ideas, methods, instructions or products referred to in the content.

Share and Cite

MDPI and ACS Style

Buhot, N.; Xing, Q. The Addition of a Target Structure to Task Repetition as an Accuracy Enhancement: The Necessity of Reducing Cognitive Load. Languages 2025, 10, 128. https://doi.org/10.3390/languages10060128

AMA Style

Buhot N, Xing Q. The Addition of a Target Structure to Task Repetition as an Accuracy Enhancement: The Necessity of Reducing Cognitive Load. Languages. 2025; 10(6):128. https://doi.org/10.3390/languages10060128

Chicago/Turabian Style

Buhot, Nicolas, and Qiang Xing. 2025. "The Addition of a Target Structure to Task Repetition as an Accuracy Enhancement: The Necessity of Reducing Cognitive Load" Languages 10, no. 6: 128. https://doi.org/10.3390/languages10060128

APA Style

Buhot, N., & Xing, Q. (2025). The Addition of a Target Structure to Task Repetition as an Accuracy Enhancement: The Necessity of Reducing Cognitive Load. Languages, 10(6), 128. https://doi.org/10.3390/languages10060128

Article Metrics

Back to TopTop