Generation and Mitigation Mechanism Studies of Nonlinear Thermoacoustic Instability in a Modelled Swirling Combustor with a Heat Exchanger †
Abstract
1. Introduction
2. 3 D Model and Numerical Method
2.1. Combustor Geometry and Boundary Conditions
2.2. Governing Equations and Numerical Set-Up
3. Results and Discussion
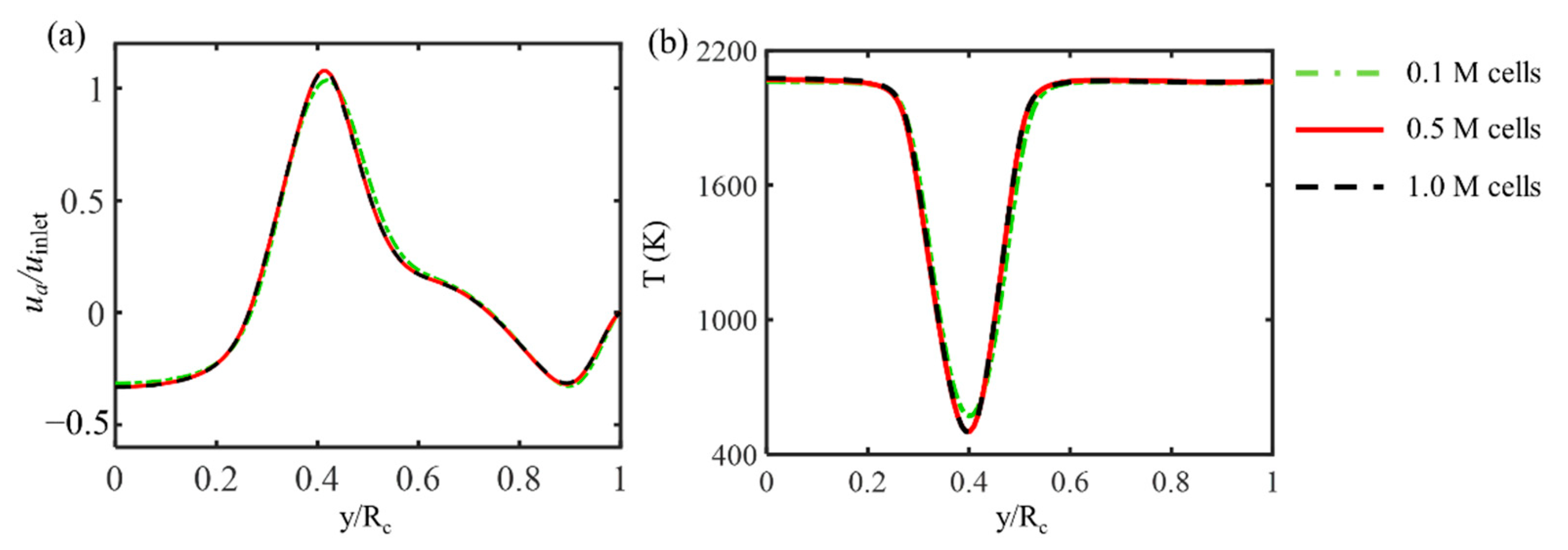
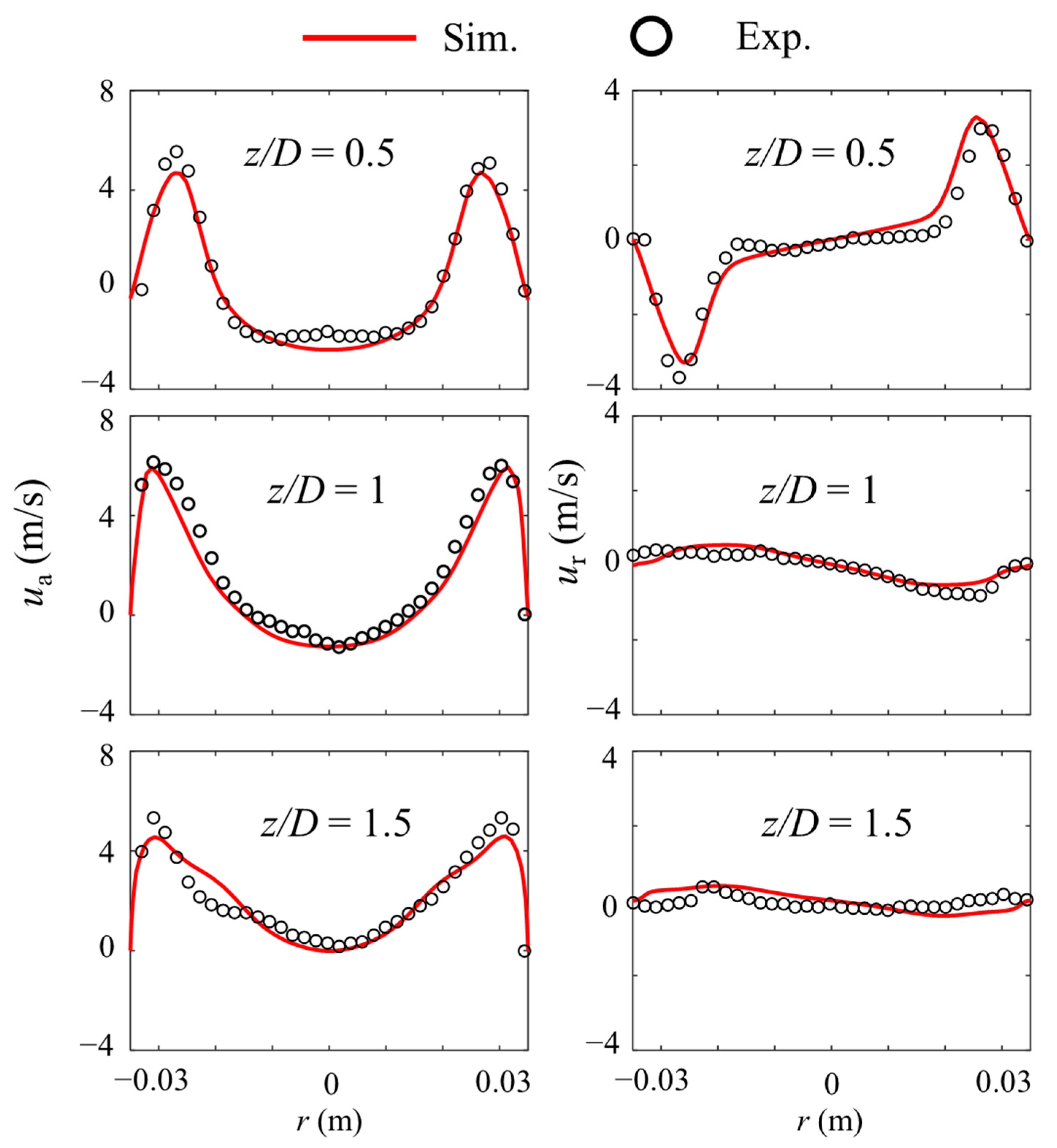
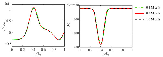
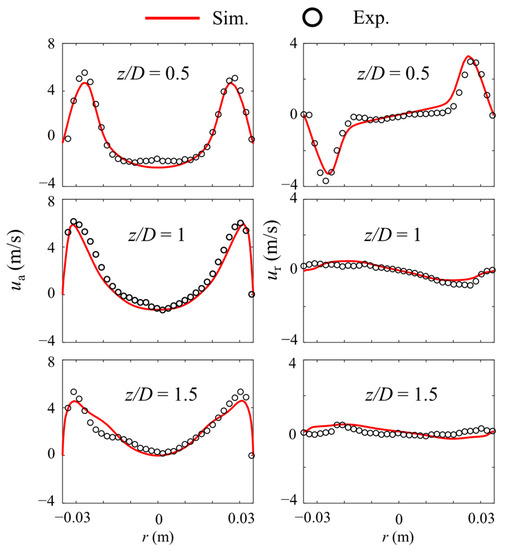
3.1. Model Validation and Mesh-Independence Study
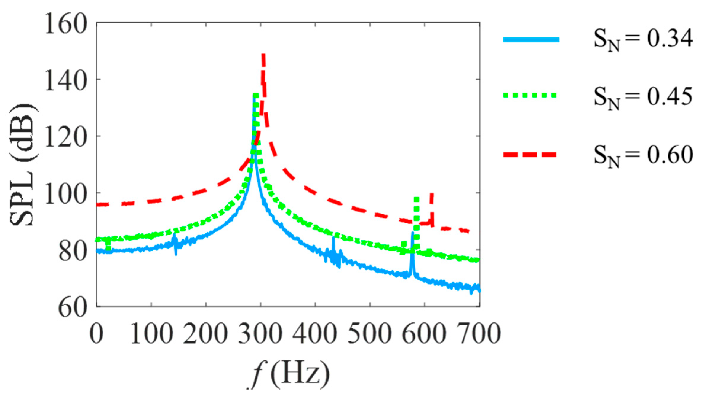
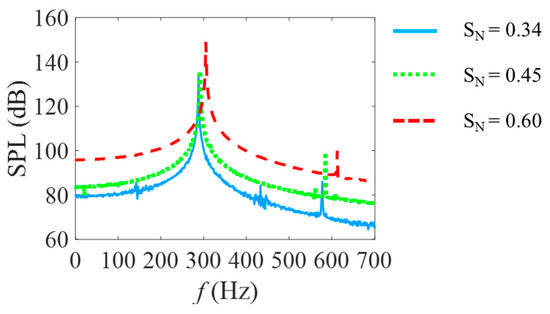
3.2. Effect of Swirling Number SN
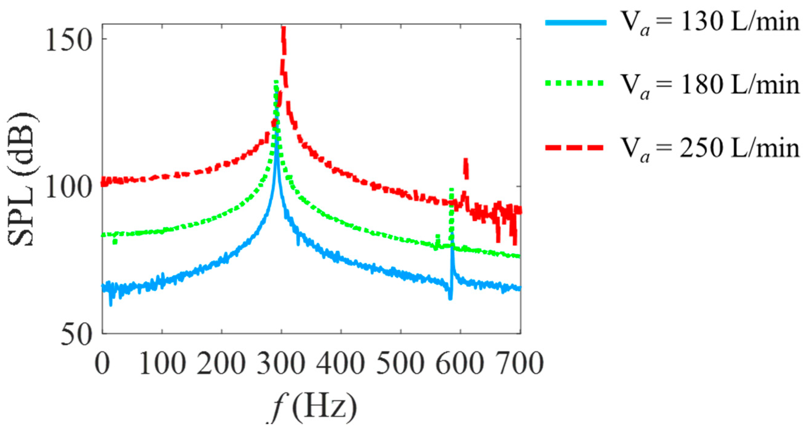
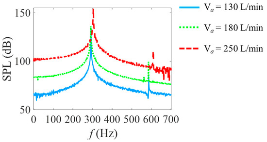
3.3. Effect of Incoming Air Flow Rate Va
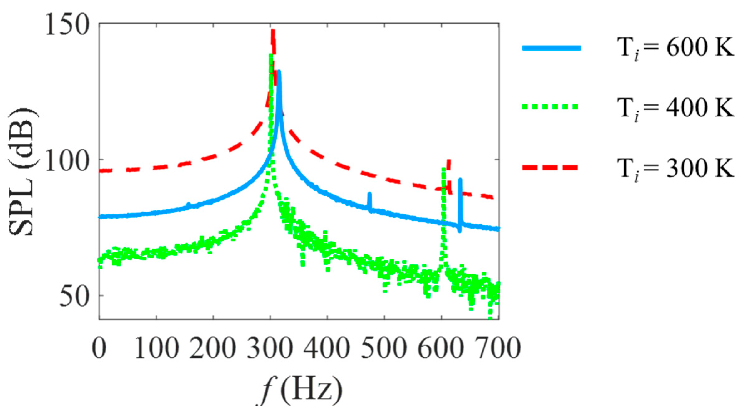
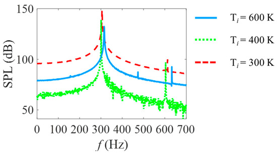
3.4. Effect of Incoming Preheated Air Temperature Ti
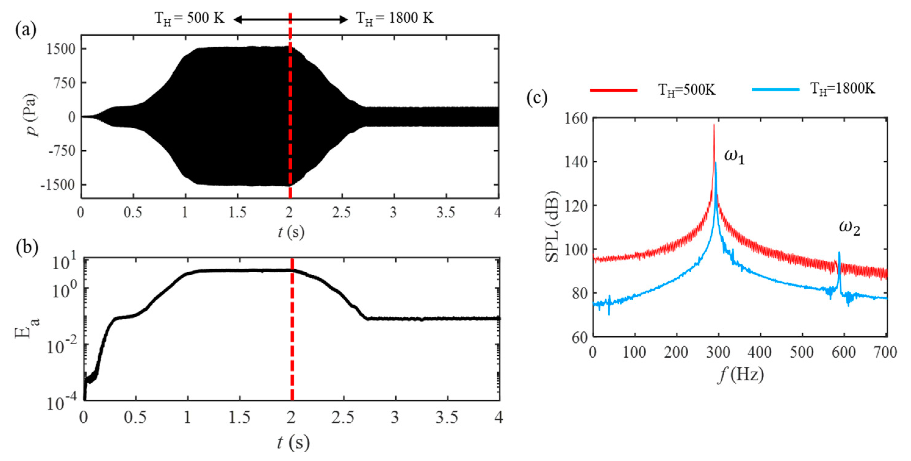
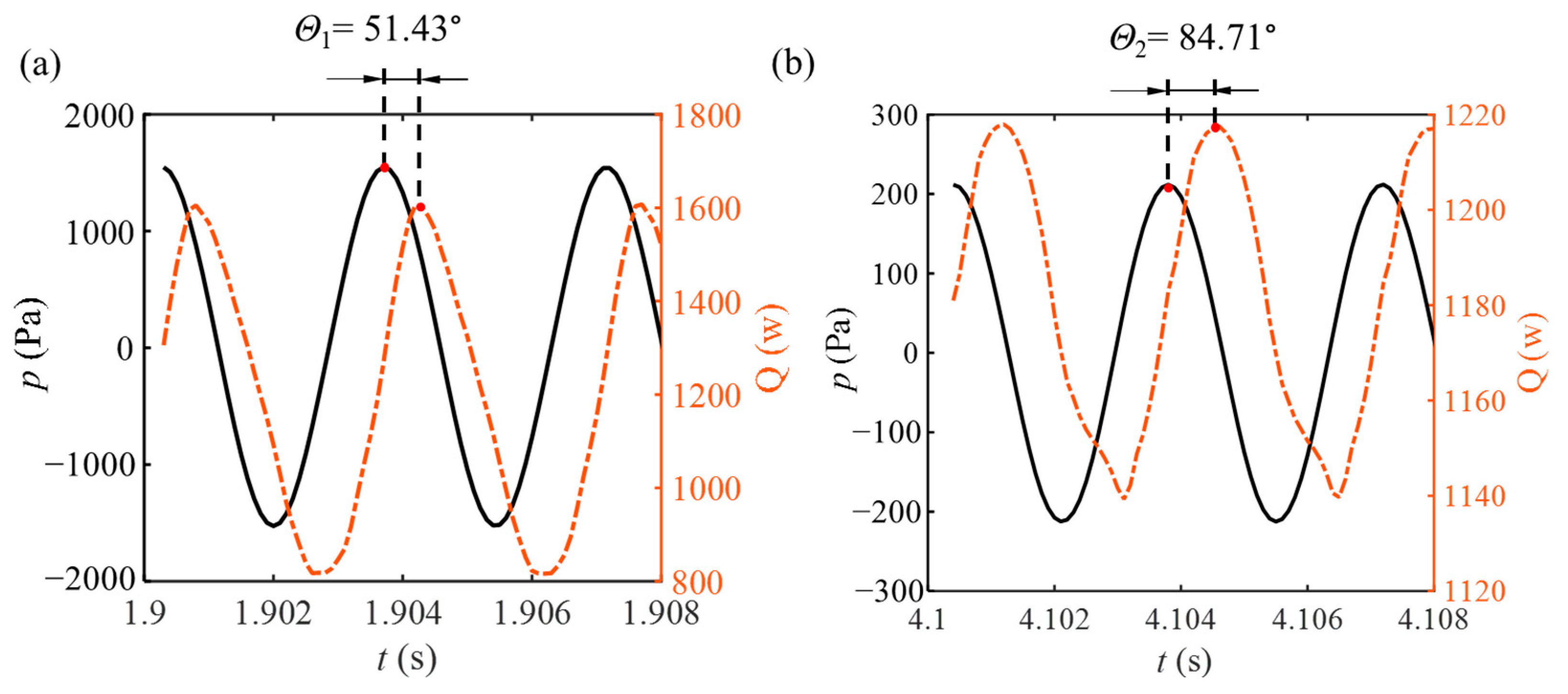
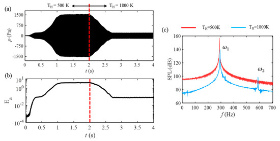
4. Further Investigations into the Heat Exchanger Temperature TH Effect
5. Conclusions
Author Contributions
Funding
Institutional Review Board Statement
Informed Consent Statement
Data Availability Statement
Conflicts of Interest
Nomenclature
| SN | Swirling number |
| Va | Inlet air flow rate |
| Ti | Inlet temperature |
| TH | Heat exchanger temperature |
| Density | |
| p | pressure |
| t | time |
| velocity vector | |
| Reynolds stress tensor | |
| E | total energy |
| keff | effective thermal conductivity |
| enthalpy of species i | |
| diffusion flux of species i | |
| Sh | Fluid enthalpy source |
| Yi | Mass fraction of species i |
| Net rate of species i | |
| Rg | Universal gas constant |
| Mw | mean molecular weight |
| Ea | Acoustic energy |
| Gas adiabatic index | |
| ’ | Pressure fluctuation |
| p0 | reference pressure |
| Oscillation period | |
| Gas adiabatic index | |
| Gas adiabatic index | |
| Gas adiabatic index | |
| Local Rayleigh index | |
| Heat release fluctuation | |
| Root mean square value of pressure | |
| Time average heat release rate | |
| Phase difference |
Abbreviation
| RANS | Reynolds-averaged Navier-Stokes |
| URANS | Unsteady Reynolds-averaged Navier-Stokes |
| RNG | Re-Normalization Group |
| EDC | Eddy-dissipation-concept |
| WRZ | Wake recirculation zone |
| CRZ | corner recirculation zone |
| CTRZ | central toroidal recirculation zone |
| SPL | sound pressure level |
Appendix A


References
- Yang, D.; Laera, D.; Morgans, A.S. A systematic study of nonlinear coupling of thermoacoustic modes in annular combustors. J. Sound Vib. 2019, 456, 137–161. [Google Scholar] [CrossRef]
- Jiang, D.; Yang, W.; Teng, J. Entropy generation analysis of fuel lean premixed CO/H2/air flames. Int. J. Hydrog. Energy 2015, 40, 5210–5220. [Google Scholar] [CrossRef]
- Candel, S. Combustion dynamics and control: Progress and challenges. Proc. Combust. Inst. 2002, 29, 1–28. [Google Scholar] [CrossRef]
- Wang, W.; Liu, J.; Zuo, Z.; Yang, W. Entropy generation analysis of unsteady premixed methane/air flames in a narrow channel. Appl. Therm. Eng. 2017, 126, 929–938. [Google Scholar] [CrossRef]
- Li, L.; Yang, L.; Sun, X. Effect of distributed heat source on low frequency thermoacoustic instabilities. J. Sound Vib. 2013, 332, 3098–3111. [Google Scholar] [CrossRef]
- Keller, J.J. Thermoacoustic oscillations in combustion chambers of gas turbines. Aiaa J. 1995, 33, 2280–2287. [Google Scholar] [CrossRef]
- Lieuwen, T. Modeling premixed combustion-acoustic wave interactions: A review. J. Propul. Power 2003, 19, 765–781. [Google Scholar] [CrossRef]
- Correa, S.M. Carbon monoxide emissions in lean premixed combustion. J. Propul. Power 1992, 8, 1144–1151. [Google Scholar] [CrossRef]
- Yi, T.X.; Santavicca, D.A. Combustion Instability and Flame Structure of Turbulent Swirl-Stabilized Liquid-Fueled Combustion. J. Propul. Power 2012, 28, 1000–1014. [Google Scholar] [CrossRef]
- Mariappan, S.; Sujith, R.I. Thermoacoustic instability in a solid rocket motor: Non-normality and nonlinear instabilities. J. Fluid. Mech. 2010, 653, 1–33. [Google Scholar] [CrossRef]
- Lucca-Negro, O.; O’Doherty, T. Vortex breakdown: A review. Prog. Energy Combust. 2001, 27, 431–481. [Google Scholar] [CrossRef]
- Galley, D.; Ducruix, S.; Lacas, F.; Veynante, D. Mixing and stabilization study of a partially premixed swirling flame using laser induced fluorescence. Combust. Flame 2011, 158, 155–171. [Google Scholar] [CrossRef]
- Candel, S.; Durox, D.; Schuller, T.; Bourgouin, J.-F.; Moeck, J.P. Dynamics of swirling flames. Annu. Rev. Fluid Mech. 2014, 46, 147–173. [Google Scholar] [CrossRef]
- Syred, N.; Beer, J. Combustion in swirling flows: A review. Combust. Flame 1974, 23, 143–201. [Google Scholar] [CrossRef]
- Kim, J.; Jang, M.; Lee, K.; Masri, A.R. Experimental study of the beating behavior of thermoacoustic self-excited instabilities in dual swirl combustors. Exp. Therm. Fluid Sci. 2019, 105, 1–10. [Google Scholar] [CrossRef]
- Han, X.; Laera, D.; Morgans, A.S.; Lin, Y.; Sung, C.-J. The effect of stratification ratio on the macrostructure of stratified swirl flames: Experimental and numerical Study. J. Eng. Gas. Turbines Power 2018, 140, 121004. [Google Scholar] [CrossRef]
- Karlis, E.; Liu, Y.S.; Hardalupas, Y.; Taylor, A.M.K.P. H-2 enrichment of CH4 blends in lean premixed gas turbine combustion: An experimental study on effects on flame shape and thermoacoustic oscillation dynamics. Fuel 2019, 254. [Google Scholar] [CrossRef]
- Bonciolini, G.; Ebi, D.; Doll, U.; Weilenmann, M.; Noiray, N. Effect of wall thermal inertia upon transient thermoacoustic dynamics of a swirl-stabilized flame. Proc. Combust. Inst. 2019, 37, 5351–5358. [Google Scholar] [CrossRef]
- Pausch, K.; Herff, S.; Schröder, W. Noise sources of an unconfined and a confined swirl burner. J. Sound Vib. 2020, 475, 115293. [Google Scholar] [CrossRef]
- Huang, Y.; Yang, V. Effect of swirl on combustion dynamics in a lean-premixed swirl-stabilized combustor. Proc. Combust. Inst. 2005, 30, 1775–1782. [Google Scholar] [CrossRef]
- Choi, J.; Rusak, Z.; Kapila, A. Numerical simulation of premixed chemical reactions with swirl. Combust. Theor. Model. 2007, 11, 863–887. [Google Scholar] [CrossRef]
- Choi, M.; Park, Y.; Li, X.; Sung, Y.; Park, S.; Moon, K.; Choi, G. Study on flame structures and emission characteristics according to various swirl combinations and fuel compositions in a CH4/H2/CO syngas swirl-stabilized combustor. Fuel 2019, 253, 887–903. [Google Scholar] [CrossRef]
- Noiray, N.; Schuermans, B. Theoretical and experimental investigations on damper performance for suppression of thermoacoustic oscillations. J. Sound Vib. 2012, 331, 2753–2763. [Google Scholar] [CrossRef]
- Zhang, G.; Wang, X.; Li, L.; Jing, X.; Sun, X. Control of thermoacoustic instability with a drum-like silencer. J. Sound Vib. 2017, 406, 253–276. [Google Scholar] [CrossRef]
- DeLaat, J.C.; Kopasakis, G.; Saus, J.R.; Chang, C.T.; Wey, C. Active combustion control for a low-emissions aircraft engine combustor prototype: Experimental results. J. Propul. Power 2013, 29, 991–1000. [Google Scholar] [CrossRef]
- Paschereit, C.O.; Gutmark, E.; Weisenstein, W. Control of thermoacoustic instabilities and emissions in an industrial-type gas-turbine combustor. Symp. (Int.) Combust. 1998, 27, 1817–1824. [Google Scholar] [CrossRef]
- Hong, Z.; Dai, X.; Zhou, N.; Sun, X.; Jing, X. Suppression of Helmholtz resonance using inside acoustic liner. J. Sound Vib. 2014, 333, 3585–3597. [Google Scholar] [CrossRef]
- Gelbert, G.; Moeck, J.P.; Paschereit, C.O.; King, R. Feedback control of unstable thermoacoustic modes in an annular Rijke tube. Control. Eng. Pract. 2012, 20, 770–782. [Google Scholar] [CrossRef]
- Lei, L.; Zhihui, G.; Chengyu, Z.; Xiaofeng, S. A Passive Method to Control Combustion Instabilities with Perforated Liner. Chin. J. Aeronaut. 2010, 23, 623–630. [Google Scholar] [CrossRef]
- Williams, L.J.; Meadows, J.; Agrawal, A.K. Passive control of thermoacoustic instabilities in swirl-stabilized combustion at elevated pressures. Int. J. Spray Combust. Dyn. 2016, 8, 173–182. [Google Scholar] [CrossRef]
- Li, S.; Li, Q.; Tang, L.; Yang, B.; Fu, J.; Clarke, C.A.; Jin, X.; Ji, C.Z.; Zhao, H. Theoretical and experimental demonstration of minimizing self-excited thermoacoustic oscillations by applying anti-sound technique. Appl. Energy 2016, 181, 399–407. [Google Scholar] [CrossRef]
- Wu, G.; Lu, Z.; Pan, W.; Guan, Y.; Li, S.; Ji, C.Z. Experimental demonstration of mitigating self-excited combustion oscillations using an electrical heater. Appl. Energy 2019, 239, 331–342. [Google Scholar] [CrossRef]
- Wu, G.; Xu, X.; Li, S.; Ji, C. Experimental studies of mitigating premixed flame-excited thermoacoustic oscillations in T-shaped Combustor using an electrical heater. Energy 2019, 174, 1276–1282. [Google Scholar] [CrossRef]
- Mahesh, S.; Gopakumar, R.; Rahul, B.; Dutta, A.; Mondal, S.; Chaudhuri, S. Instability control by actuating the swirler in a lean premixed combustor. J. Propul. Power 2018, 34, 708–719. [Google Scholar] [CrossRef]
- Sun, Y.; Rao, Z.; Zhao, D.; Wang, B.; Sun, D.; Sun, X. Characterizing nonlinear dynamic features of self-sustained thermoacoustic oscillations in a premixed swirling combustor. Appl. Energy 2020, 264, 114698. [Google Scholar] [CrossRef]
- Chen, S.; Zhao, D. Numerical study of guide vane effects on reacting flow characteristics in a trapped vortex combustor. Combust. Sci. Technol. 2018, 190, 2111–2133. [Google Scholar] [CrossRef]
- Westbrook, C.K.; Dryer, F.L. Simplified reaction mechanisms for the oxidation of hydrocarbon fuels in flames. Combust. Sci. Technol. 1981, 27, 31–43. [Google Scholar] [CrossRef]
- Zhang, M.; Wei, X.; Wang, J.; Huang, Z.; Tan, H. The blow-off and transient characteristics of co-firing ammonia/methane fuels in a swirl combustor. Proc. Combust. Inst. 2020. [Google Scholar] [CrossRef]
- Zhao, D.; Guan, Y.; Reinecke, A. Characterizing hydrogen-fuelled pulsating combustion on thermodynamic properties of a combustor. Commun. Phys. 2019, 2. [Google Scholar] [CrossRef]
- Yilmaz, İ.; Ratner, A.; Ilbas, M.; Huang, Y. Experimental investigation of thermoacoustic coupling using blended hydrogen–methane fuels in a low swirl burner. Int. J. Hydrog. Energy 2010, 35, 329–336. [Google Scholar] [CrossRef]
- Song, H.; Lin, Y.; Han, X.; Yang, D.; Zhang, C.; Sung, C.-J. The thermoacoustic instability in a stratified swirl burner and its passive control by using a slope confinement. Energy 2020, 195, 116956. [Google Scholar] [CrossRef]
- Huang, Y.; Ratner, A. Experimental investigation of thermoacoustic coupling for low-swirl lean premixed flames. J. Propul. Power 2009, 25, 365–373. [Google Scholar] [CrossRef]
- Bragg, S.L. Noise and Oscillations in Jet Engines. Nature 1964, 201, 123. [Google Scholar] [CrossRef]
- Rayleigh, L. The explanation of certain acoustical phenomena. Nature 1878, 18, 319–321. [Google Scholar] [CrossRef]


















| I. Boundary Conditions | ||
| 1. Inlet | 2. Outlet | 3. Solid Boundaries |
| Velocity inlet, corresponding air flow rate: Va = 130, 180, 250 L/min Inlet temperature: Ti = 300, 450, 600 K Equivalence ratio Φ = 0.9. | Pressure outlet Constant relative pressure, 0 Pa | Combustor wall: adiabatic Heat exchanger: TH = Tad, 300 K, 1800 K |
| II. Numerical Schemes | ||
| 1. Turbulence Model | 2. Combustion Model | 3. Pressure-Velocity Coupling |
| RNG k–ε | EDC model | COUPLE |
| 4. Discretization Schemes | 5. Time Step | 6. reaction Mechanism |
| Second order implicit for temporal discretization Second-order upwind for turbulence dissipation Third-order MUSCL for others | 1 × 10−4 s | 2-steps global mechanism |
Publisher’s Note: MDPI stays neutral with regard to jurisdictional claims in published maps and institutional affiliations. |
© 2021 by the authors. Licensee MDPI, Basel, Switzerland. This article is an open access article distributed under the terms and conditions of the Creative Commons Attribution (CC BY) license (http://creativecommons.org/licenses/by/4.0/).
Share and Cite
Sun, Y.; Zhao, D.; Zhu, X. Generation and Mitigation Mechanism Studies of Nonlinear Thermoacoustic Instability in a Modelled Swirling Combustor with a Heat Exchanger. Aerospace 2021, 8, 60. https://doi.org/10.3390/aerospace8030060
Sun Y, Zhao D, Zhu X. Generation and Mitigation Mechanism Studies of Nonlinear Thermoacoustic Instability in a Modelled Swirling Combustor with a Heat Exchanger. Aerospace. 2021; 8(3):60. https://doi.org/10.3390/aerospace8030060
Chicago/Turabian StyleSun, Yuze, Dan Zhao, and Xiaowei Zhu. 2021. "Generation and Mitigation Mechanism Studies of Nonlinear Thermoacoustic Instability in a Modelled Swirling Combustor with a Heat Exchanger" Aerospace 8, no. 3: 60. https://doi.org/10.3390/aerospace8030060
APA StyleSun, Y., Zhao, D., & Zhu, X. (2021). Generation and Mitigation Mechanism Studies of Nonlinear Thermoacoustic Instability in a Modelled Swirling Combustor with a Heat Exchanger. Aerospace, 8(3), 60. https://doi.org/10.3390/aerospace8030060

