Distributed Impulsive Multi-Spacecraft Approach Trajectory Optimization Based on Cooperative Game Negotiation
Abstract
1. Introduction
- A multi-objective optimization model considering multiple constraints is established, and a constraint-handling mechanism based on the constraint dominance principle (CDP) is introduced. By combining the NSGAII method, the NSGAII-CDP algorithm is designed to efficiently generate the Pareto front, thereby obtaining a set of approach paths that meet the constraint.
- The negotiation strategy among multi-spacecraft is modeled as a cooperative game, with defined players, strategy space, and local reward functions. Based on this, the existence and convergence of the Nash equilibrium under distributed conditions are theoretically analyzed and verified by constructing an exact potential function.
- A distributed negotiation strategy based on simulated annealing is proposed, effectively overcoming the problem of negotiation strategies tending to fall into local optima and improving global optimization performance.
2. Multi-Spacecraft Coordinated Approach
2.1. Problem Description
2.2. Relative Dynamics Model
3. Multi-Objective Optimization
3.1. Objective Functions
- The total flight time:
- The total fuel consumption:
- The terminal distance:where denotes the distance between pursuer and target . The parameter specifies the terminal moment of the mission.
3.2. Constraints
3.3. Mathematical Model
3.4. NSGAII-CDP
- Any feasible solution is preferred to any infeasible solution.
- Among two feasible solutions, the one with a better objective function value is preferred.
- Among two infeasible solutions, the one with a smaller constraint violation is preferred.
4. Distributed Negotiation
4.1. Communication Topology
4.2. Distributed Cooperative Game Model
4.3. Nash Equilibrium Existence and Convergence
4.3.1. Existence of Nash Equilibrium
4.3.2. Convergence of Nash Equilibrium
4.4. Simulated Annealing Distributed Negotiation
- When , the strategy is accepted fully.
- When , the strategy is adjusted according to the probability in (34).
- The value of p is influenced by the temperature T and the payoff difference . The higher the temperature T, the larger the p. Conversely, the worse the payoff of the new strategy, the smaller the p. Therefore, when the temperature is very high, there is still a high probability of accepting the new strategy, even if its payoff is significantly lower.
| Algorithm 1: Simulated Annealing Distributed Negotiation Process |
|
5. Simulation Verification
5.1. Problem Configuration
- Approach within of the target for detection;
- Achieve terminal relative velocity less than ;
- Synchronize the arrival times of all pursuers as closely as possible;
- Successfully evade interception by the defenders.
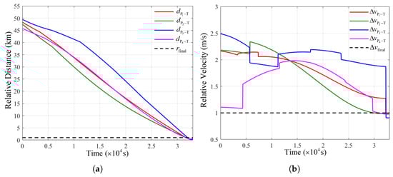
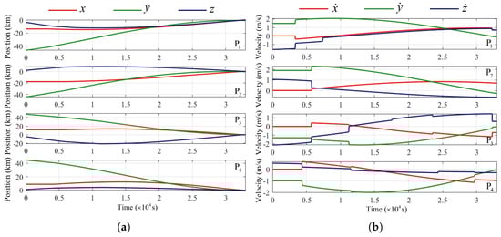
5.2. Simulation Results and Analysis
6. Conclusions
Author Contributions
Funding
Data Availability Statement
Conflicts of Interest
References
- Zhao, L.; Dang, Z.; Zhang, Y. Orbital game: Concepts, principles and methods. J. Command. Control 2021, 7, 215–224. [Google Scholar] [CrossRef]
- Fan, S.; Liao, W.; Zhang, X.; Chen, J. Close-range pursuit-evasion game control method of dual satellite based on deep reinforcement. J. Chin. Inert. Technol. 2024, 32, 1240–1249. [Google Scholar] [CrossRef]
- Liu, Y.; Li, R.; Hu, L.; Cai, Z. Optimal solution to orbital three-player defense problems using impulsive transfer. Soft Comput. 2018, 22, 2921–2934. [Google Scholar] [CrossRef]
- Li, Z.Y. Orbital Pursuit–Evasion–Defense Linear-Quadratic Differential Game. Aerospace 2024, 11, 443. [Google Scholar] [CrossRef]
- Chai, R.; Savvaris, A.; Tsourdos, A.; Chai, S.; Xia, Y. A review of optimization techniques in spacecraft flight trajectory design. Prog. Aerosp. Sci. 2019, 109, 100543. [Google Scholar] [CrossRef]
- Wang, J.; Xiao, Y.; Ye, D.; Wang, Z.; Sun, Z. Research on optimization method for flyby observation mission adapted to satellite on-board computation. Proc. Inst. Mech. Eng. Part J. Aerosp. Eng. 2024, 238, 629–644. [Google Scholar] [CrossRef]
- Zhao, Z.; Shang, H.; Dong, Y.; Wang, H. Multi-phase trajectory optimization of aerospace vehicle using sequential penalized convex relaxation. Aerosp. Sci. Technol. 2021, 119, 107175. [Google Scholar] [CrossRef]
- Boyarko, G.; Yakimenko, O.; Romano, M. Optimal Rendezvous Trajectories of a Controlled Spacecraft and a Tumbling Object. J. Guid. Control Dyn. 2011, 34, 1239–1252. [Google Scholar] [CrossRef]
- Zhou, Y.; Yan, Y.; Huang, X.; Kong, L. Mission planning optimization for multiple geosynchronous satellites refueling. Adv. Space Res. 2015, 56, 2612–2625. [Google Scholar] [CrossRef]
- Zhou, Y.; Yan, Y.; Huang, X.; Kong, L. Optimal scheduling of multiple geosynchronous satellites refueling based on a hybrid particle swarm optimizer. Aerosp. Sci. Technol. 2015, 47, 125–134. [Google Scholar] [CrossRef]
- Mac, T.T.; Copot, C.; Tran, D.T.; De Keyser, R. Heuristic approaches in robot path planning: A survey. Robot. Auton. Syst. 2016, 86, 13–28. [Google Scholar] [CrossRef]
- Liu, Y.; Liu, X.; Cai, G.; Chen, J. Trajectory planning and coordination control of a space robot for detumbling a flexible tumbling target in post-capture phase. Multibody Syst. Dyn. 2021, 52, 281–311. [Google Scholar] [CrossRef]
- Du, R.H.; Liao, W.H.; Zhang, X. Multi-objective optimization of angles-only navigation and closed-loop guidance control for spacecraft autonomous noncooperative rendezvous. Adv. Space Res. 2022, 70, 3325–3339. [Google Scholar] [CrossRef]
- Samsam, S.; Chhabra, R. Multi-impulse smooth trajectory design for long-range rendezvous with an orbiting target using multi-objective non-dominated sorting genetic algorithm. Aerosp. Sci. Technol. 2022, 120, 107285. [Google Scholar] [CrossRef]
- Xu, G.; Zeng, N.; Chen, D. A multi-segment multi-pulse maneuver control method for micro satellite. J. Phys. Conf. Ser. 2023, 2472, 012037. [Google Scholar] [CrossRef]
- Wu, J.; Xu, X.; Yuan, Q.; Han, H.; Zhou, D. A Multi-Stage Optimization Approach for Satellite Orbit Pursuit–Evasion Games Based on a Coevolutionary Mechanism. Remote Sens. 2025, 17, 1441. [Google Scholar] [CrossRef]
- Chihabi, Y.; Ulrich, S. Analytical spacecraft relative dynamics with gravitational, drag and third-body perturbations. Acta Astronaut. 2021, 185, 42–57. [Google Scholar] [CrossRef]
- Parmar, K.; Guzzetti, D. Interactive imitation learning for spacecraft path-planning in binary asteroid systems. Adv. Space Res. 2021, 68, 1928–1951. [Google Scholar] [CrossRef]
- Zhao, L.; Zhang, Y.; Dang, Z. PRD-MADDPG: An efficient learning-based algorithm for orbital pursuit-evasion game with impulsive maneuvers. Adv. Space Res. 2023, 72, 211–230. [Google Scholar] [CrossRef]
- Yue, C.; Lu, L.; Wu, Y.; Cao, Q.; Cao, X. Research Progress and Prospect of the Key Technologies for On-orbit Spacecraft Swarm Manipulation. J. Astronaut. 2023, 44, 817–828. [Google Scholar] [CrossRef]
- Sarno, S.; D’Errico, M.; Guo, J.; Gill, E. Path planning and guidance algorithms for SAR formation reconfiguration: Comparison between centralized and decentralized approaches. Acta Astronaut. 2020, 167, 404–417. [Google Scholar] [CrossRef]
- Wang, T.; Huang, J. Leader-following consensus of multiple spacecraft systems with disturbance rejection over switching networks by adaptive learning control. Int. J. Robust Nonlinear Control 2022, 32, 3001–3020. [Google Scholar] [CrossRef]
- Guan, Y.; Zhang, X.; Chen, D.; Fan, S. Artificial potential field-based method for multi-spacecraft loose formation control. J. Phys. Conf. Ser. 2024, 2746, 012053. [Google Scholar] [CrossRef]
- Li, S.; Ye, D.; Sun, Z.; Zhang, J.; Zhong, W. Collision-Free Flocking Control for Satellite Cluster With Constrained Spanning Tree Topology and Communication Delay. IEEE Trans. Aerosp. Electron. Syst. 2023, 59, 4134–4146. [Google Scholar] [CrossRef]
- Liu, L.; Dong, Z.; Su, H.; Yu, D. A Study of Distributed Earth Observation Satellites Mission Scheduling Method Based on Game-Negotiation Mechanism. Sensors 2021, 21, 6660. [Google Scholar] [CrossRef]
- Sun, C.; Wang, X.; Qiu, H.; Zhou, Q. Game theoretic self-organization in multi-satellite distributed task allocation. Aerosp. Sci. Technol. 2021, 112, 106650. [Google Scholar] [CrossRef]
- Deb, K.; Pratap, A.; Agarwal, S.; Meyarivan, T. A fast and elitist multiobjective genetic algorithm: NSGA-II. IEEE Trans. Evol. Comput. 2002, 6, 182–197. [Google Scholar] [CrossRef]
- Mahbub, M.S. A comparative study on constraint handling techniques of NSGAII. In Proceedings of the 2020 International Conference on Electrical, Communication, and Computer Engineering (ICECCE), Istanbul, Turkey, 12–13 June 2020; pp. 1–5. [Google Scholar] [CrossRef]
- Deb, K. An efficient constraint handling method for genetic algorithms. Comput. Methods Appl. Mech. Eng. 2000, 186, 311–338. [Google Scholar] [CrossRef]
- Fudenberg, D.; Tirole, J. Game Theory; MIT Press: Cambridge, MA, USA, 1991. [Google Scholar]
- Jiang, A.X.; Leyton-Brown, K. A Tutorial on the Proof of the Existence of Nash Equilibria. 2007. Available online: https://www.cs.ubc.ca/~jiang/papers/NashReport.pdf (accessed on 4 July 2025).
- Carbonell-Nicolau, O.; McLean, R.P. Refinements of Nash equilibrium in potential games. Theor. Econ. 2014, 9, 555–582. [Google Scholar] [CrossRef]











| Semi-Major Axis (km) | Eccentricity | Inclination (°) | Longitude of the Ascending Node (°) | Argument of Periapsis (°) | True Anomaly (°) | |
|---|---|---|---|---|---|---|
| 42,164.169000 | ||||||
| 42,150.758669 | ||||||
| 42,146.758669 | ||||||
| 42,176.058669 | ||||||
| 42,173.058669 | ||||||
| 42,164.216433 | ||||||
| 42,164.159522 | ||||||
| 42,164.216433 | ||||||
| 42,164.159504 |
| Defender | |
|---|---|
| Parameter | Value |
|---|---|
| Population size | 2000 |
| Maximum number of generations | 500 |
| Probability of crossover | |
| Distribution factor | 20 |
| Probability of mutation | |
| Distribution factor | 40 |
| Number of impulses n | 6 |
| Minimum time interval | 300 |
| Maximum time interval | 7200 |
| Maximum total mission time | 36,000 |
| Maximum velocity increment of a single impulse maneuver | 1 |
| Maximum total velocity increment | 5 |
| Safe distance | 5 |
| Terminal distance | 1 |
| Terminal relative velocity | 1 |
| Parameter | Value |
|---|---|
| Dimensionless parameters | 1/900, 1/36,000, 1/5 |
| Weighting factors | |
| Initial temperature | 1 |
| Annealing parameter | |
| Maximum iterations K | 100 |
| Strategy of | 33,274.39 | ||
| Strategy of | 33,289.03 | ||
| Strategy of | 33,346.13 | ||
| Strategy of | 33,310.12 |
| Strategy of | Strategy of | Strategy of | Strategy of | |
|---|---|---|---|---|
| Case1 | Case2 | ||||||
|---|---|---|---|---|---|---|---|
| I | II | III | I | II | III | ||
| mean | −1.6287 | −2.2890 | −5.5530 | −3.2003 | −3.9703 | −6.8707 | |
| std | 0.1807 | 0.4798 | 1.7125 | 0.1637 | 0.5491 | 1.5955 | |
| min | −2.3299 | −3.7734 | −10.6150 | −3.8143 | −5.5203 | −11.5970 | |
| max | −1.2661 | −1.2559 | −1.7837 | −2.8485 | −2.7321 | −2.9873 | |
| mean | 0.0501 | 0.1671 | 0.6204 | 0.0466 | 0.1806 | 0.6270 | |
| std | 0.0317 | 0.0955 | 0.2549 | 0.0305 | 0.1100 | 0.2549 | |
| min | 0.0014 | 0.0046 | 0.0503 | 0.0018 | 0.0032 | 0.0083 | |
| max | 0.1442 | 0.5576 | 0.6022 | 0.1838 | 0.5851 | 1.2241 | |
| mean | 3.3990 | 3.3697 | 2.1905 | 3.1119 | 3.1330 | 3.1533 | |
| std | 0.1300 | 0.1606 | 0.1773 | 0.1095 | 0.1780 | 0.1904 | |
| min | 3.0007 | 2.9982 | 2.7103 | 2.6880 | 2.6116 | 2.5693 | |
| max | 3.5772 | 3.6266 | 3.5530 | 3.3904 | 3.5574 | 3.5447 | |
| mean | 1.3111 | 1.3532 | 1.6204 | 1.6783 | 1.6554 | 1.6822 | |
| std | 0.1397 | 0.1782 | 0.2713 | 0.1700 | 0.2627 | 0.2877 | |
| min | 1.1404 | 1.1173 | 1.1780 | 1.3132 | 1.1874 | 1.1924 | |
| max | 1.8319 | 1.8895 | 2.3539 | 2.3397 | 2.6468 | 2.7114 | |
Disclaimer/Publisher’s Note: The statements, opinions and data contained in all publications are solely those of the individual author(s) and contributor(s) and not of MDPI and/or the editor(s). MDPI and/or the editor(s) disclaim responsibility for any injury to people or property resulting from any ideas, methods, instructions or products referred to in the content. |
© 2025 by the authors. Licensee MDPI, Basel, Switzerland. This article is an open access article distributed under the terms and conditions of the Creative Commons Attribution (CC BY) license (https://creativecommons.org/licenses/by/4.0/).
Share and Cite
Fan, S.; Zhang, X.; Liao, W. Distributed Impulsive Multi-Spacecraft Approach Trajectory Optimization Based on Cooperative Game Negotiation. Aerospace 2025, 12, 628. https://doi.org/10.3390/aerospace12070628
Fan S, Zhang X, Liao W. Distributed Impulsive Multi-Spacecraft Approach Trajectory Optimization Based on Cooperative Game Negotiation. Aerospace. 2025; 12(7):628. https://doi.org/10.3390/aerospace12070628
Chicago/Turabian StyleFan, Shuhui, Xiang Zhang, and Wenhe Liao. 2025. "Distributed Impulsive Multi-Spacecraft Approach Trajectory Optimization Based on Cooperative Game Negotiation" Aerospace 12, no. 7: 628. https://doi.org/10.3390/aerospace12070628
APA StyleFan, S., Zhang, X., & Liao, W. (2025). Distributed Impulsive Multi-Spacecraft Approach Trajectory Optimization Based on Cooperative Game Negotiation. Aerospace, 12(7), 628. https://doi.org/10.3390/aerospace12070628

