Three-Dimensional Numerical Investigation of the Asymmetric Discard Characteristics of Hypervelocity Projectile Sabot
Abstract
1. Introduction
2. Methods
2.1. Research Object
2.2. Governing Equations
- Step 1: The aerodynamic forces and moments at the current moment are obtained by solving the N–S equations;
- Step 2: Based on the forces and moments, the acceleration and angular acceleration of the sabot at the current moment are obtained by solving the 3DOF equations;
- Step 3: The displacement and pitch angle of the sabot at the next moment can be obtained through numerical integration;
- Step 4: Repeat the Step 1, 2, and 3 until the calculation stops.
2.3. Calculation Grid
2.4. Assumptions and Boundary Conditions
3. Verification
3.1. Method Verification
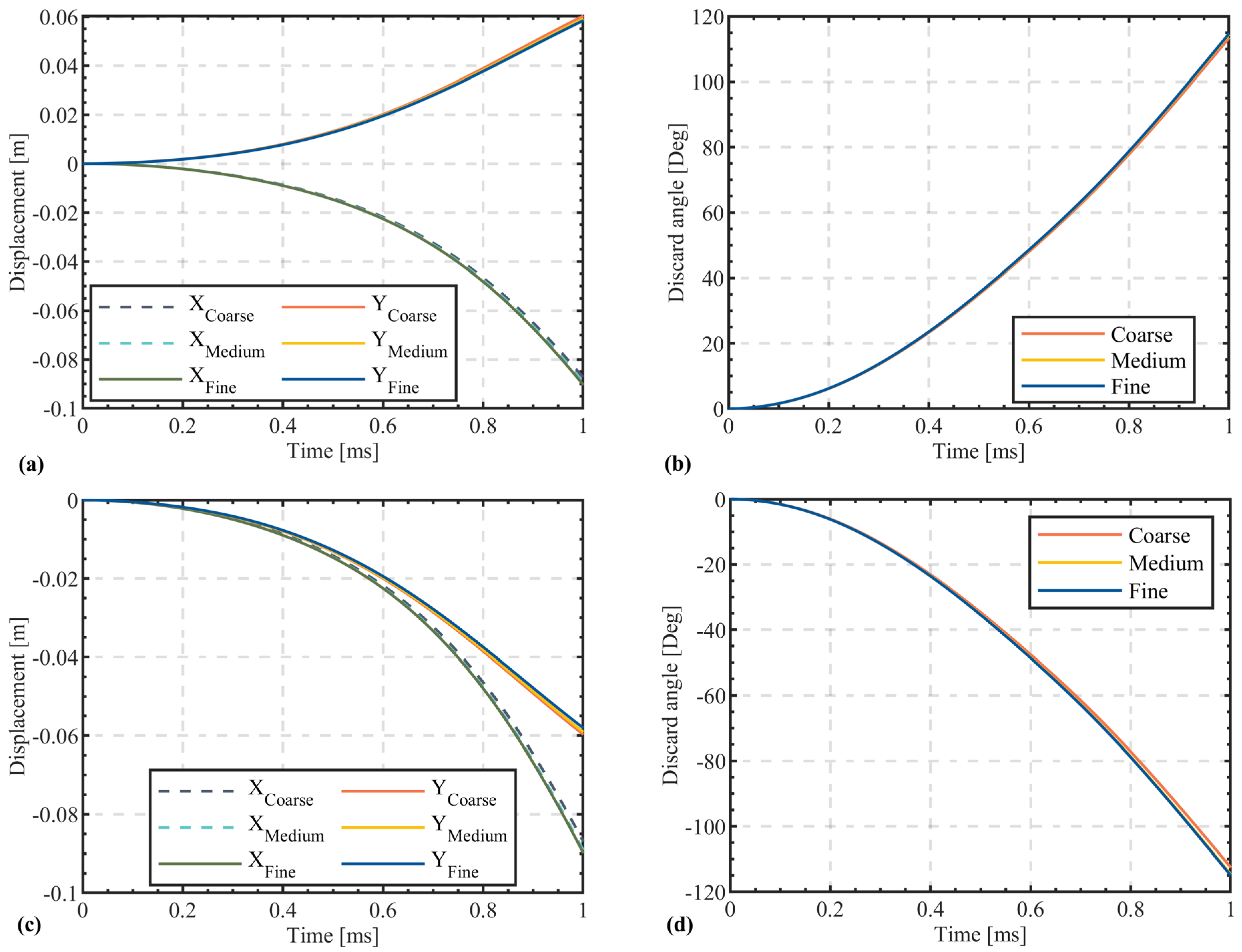
3.2. Grid Independence Verification
4. Results
4.1. Analysis of the Steady Case
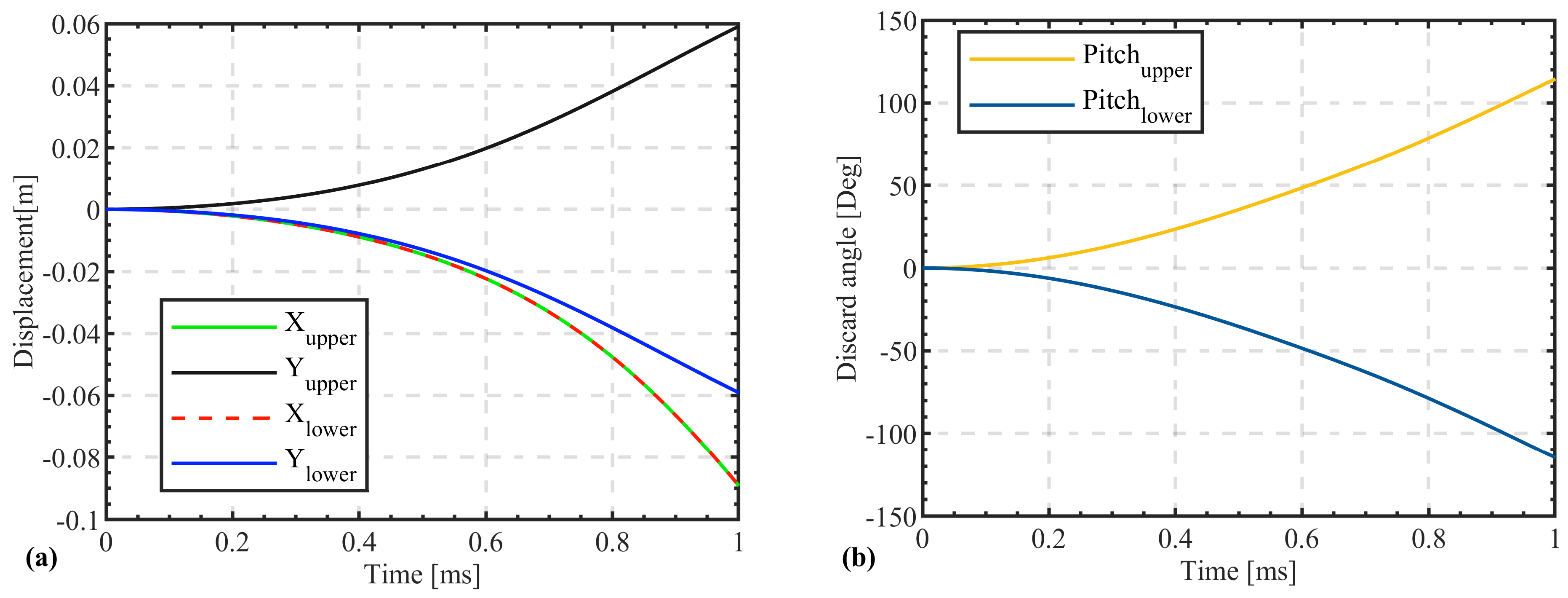
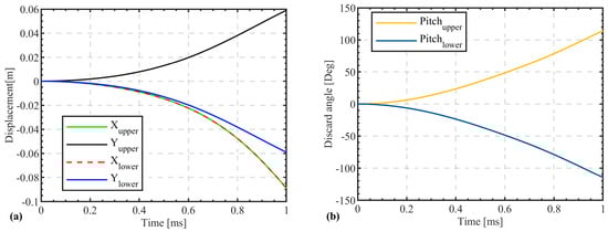
4.2. Analysis of the Symmetric Discard Flow Field of the Sabot
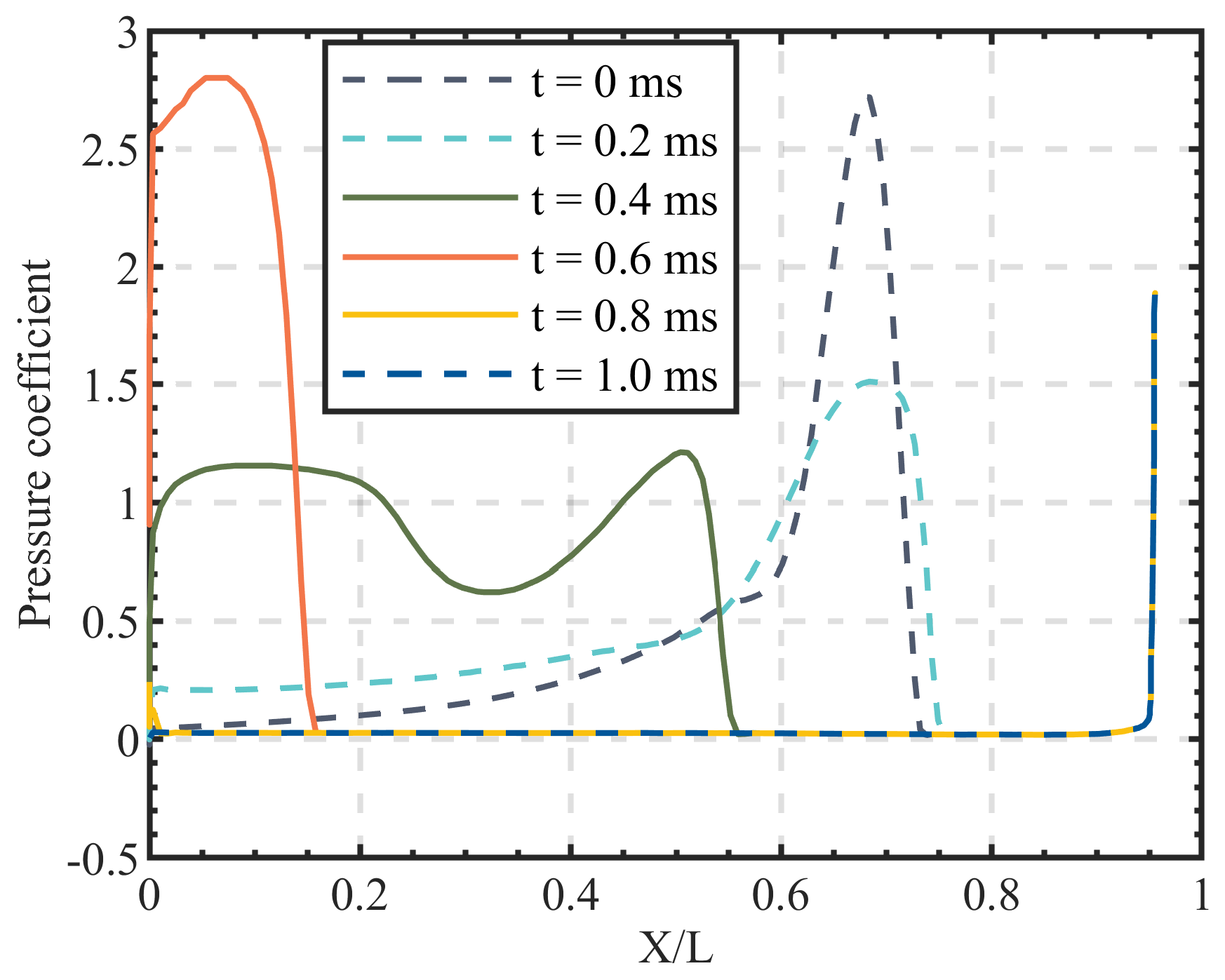
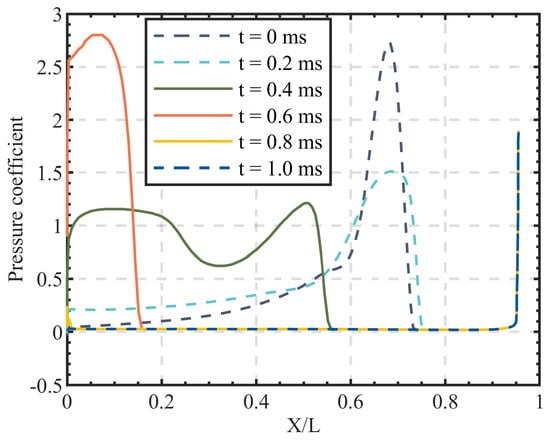
4.3. Analysis of the Asymmetric Discard Flow Field of the Sabot
5. Discussion and Conclusions
- At AOAs 0 Deg, the steady flow field of the flight body is no longer symmetric. The pressure on the lower surface of the flight body increases while the pressure on the upper decreases. Moreover, the lift coefficient exhibits a linear increase with the AOA, while the drag coefficient demonstrates a nonlinear increase.
- Affected by the sabot, significant changes occur in the flow field. A high-pressure area is generated in the sabot’s front cavity, and the flight body’s drag increases to 5.24 times that in the steady state. At AOAs 0 Deg, the flow field is no longer symmetric, and the shock wave surface on the side facing the incoming flow is pushed further back. The phenomenon that the sabot induces a significant increase in the drag of the flight body is also observed in HVPs with varying geometric configurations. The sabots of HVPs typically have a front-cavity structure, which can result in a choking phenomenon. Consequently, a high-pressure area is formed in the front cavity of the sabot, which directly leads to a significant increase in the drag coefficient of the flight body. This phenomenon serves as a valuable reference for sabot design and optimization, highlighting the necessity for designers to implement strategies aimed at minimizing both the mass and the moment of inertia of the sabot. Such measures are essential to facilitate prompt sabot discard, thereby preventing prolonged interference with the flight body. Failure to address these considerations may result in a substantial increase in drag, which could lead to a rapid decline in the kinetic energy of the flight body. Furthermore, the high-pressure gas in the front cavity of the sabot generates the aerodynamic force and moment necessary for the sabot discard. To ensure the reliability of this discard process, it is imperative for designers to focus on the front-cavity structure.
- During the sabot discard, in the early stage of the discard, the small gap between the sabot and the flight body leads to choking. As the gap widens, the choking disappears, and the sabot shock wave acts on the flight body and reflects between the flight body’s surface and the sabot. When the sabot moves away from the flight body, the shock wave no longer reflects, and the oblique shock wave of the sabot only acts on the tail of the flight body. During the sabot discard, the drag coefficient fluctuates significantly. The sabot shock wave generates a high-pressure area at the tail of the flight body. The high-pressure area causes the drag coefficient to drop from 0.3566 to −0.9938, turning the drag into thrust. As the sabot moves away, the drag coefficient recovers from −0.9938 to 0.06566. The phenomenon of drag fluctuation is also observed in the sabot discard of other HVPs. This occurrence is attributed to the close relationship between the location of the high-pressure region and the position of the flight body. During the sabot discard process, the sabot retreats in relation to the flight body, resulting in the high-pressure gas acting at a position that shifts toward the base of the flight body. Consequently, this movement contributes to a reduction in the drag experienced by the flight body. Once the sabot has sufficiently distanced itself from the flight body, the drag of the flight begins to improve.
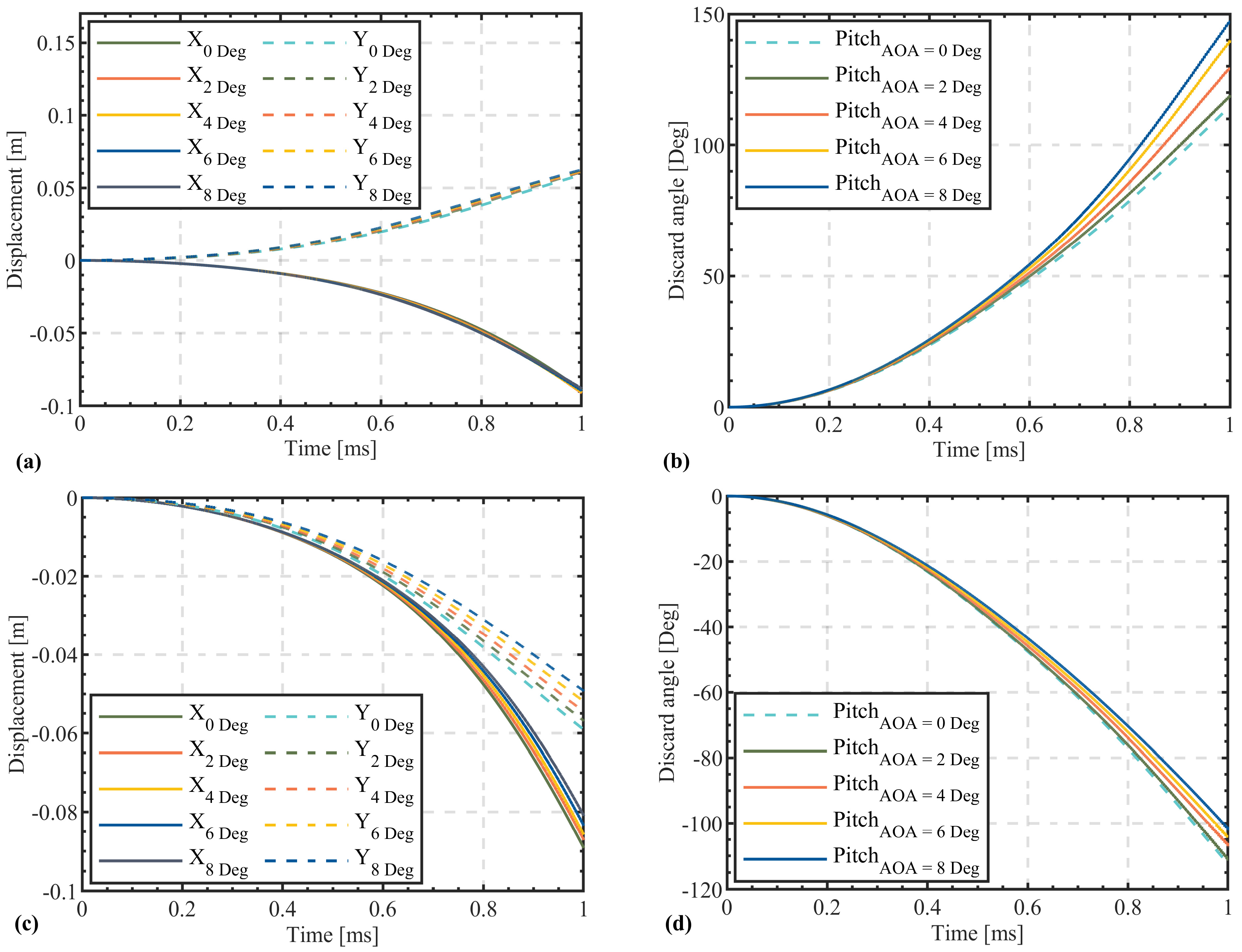
- At AOAs 0 Deg, the sabot discard is asymmetric. The upper sabot segment accelerates while the lower sabot segment decelerates. As the AOA increases, the asymmetry becomes more evident. At the AOA = 8 Deg, the difference in the AVODAs of the upper and lower sabot segments increases to 45 Deg. During the asymmetric discard, the aerodynamic interference between the sabot and the flight body becomes more complicated. When the AOA exceeds 4 Deg, there is a situation where the high-pressure area at the tail of the flight body expands towards the nose, which prolongs the duration of the disturbance by more than 40%. Therefore, to avoid the influence of the discard disturbance on the flight stability of the flight body, it is recommended that the AOA for HVP sabot discard be maintained within a range of −2 to 2 Deg. In practical applications, the range of AOAs imposes certain requirements on the launch barrel and control system. The launch barrel needs to maintain good straightness and avoid excessive wear. Regular maintenance and timely repair of the barrel should be considered to ensure that the barrel is in good condition. Regarding the control system, it is advisable to implement dynamic compensation mechanisms to mitigate external disturbances. By combining real-time environmental data—such as wind direction and platform vibrations—and historical test results, the control system can adjust the launch angle accordingly to counteract the effects of external disturbances, thereby ensuring that the AOA remains within the recommended range.
Author Contributions
Funding
Data Availability Statement
Acknowledgments
Conflicts of Interest
Abbreviations
| HVP | Hypervelocity Projectile |
| SSGG | Single-stage gas guns |
| SSPG | Single-stage power guns |
| 2SLGG | Two-stage light gas guns |
| 3SLGG | Three-stage light gas guns |
| VDF | Van de Graaff accelerators |
| LDF | Laser-driven flyers |
| LIPIT | Laser-induced particle impact tests |
| APFSDS | Fin-stabilized discarding sabot armor-piercing projectile |
| 6DOF | Six-degree-of-freedom |
| 3DOF | Three-degree-of-freedom |
| CFD | Computational fluid dynamics |
| FVM | Finite volume method |
| WPFS | Wing-pylon-finned-Store |
| AVODA | Absolute value of the discard angle |
References
- Rogers, J.A.; Bass, N.T.; Wiest, M.L.; Wantz, Z.; Wilkerson, J.W.; Lacy, T.E., Jr. The pursuit of hypervelocities: A review of two-stage light gas gun aeroballistic ranges. Int. J. Impact Eng. 2024, 185, 104861. [Google Scholar] [CrossRef]
- Veysset, D.; Lee, J.H.; Hassani, M.; Kooi, S.E.; Thomas, E.L.; Nelson, K.A. High-velocity micro-projectile impact testing. Appl. Phys. Rev. 2021, 8, 011319. [Google Scholar] [CrossRef]
- Ma, W.; Lu, J.; Liu, Y. Research progress and challenges of electromagnetic launch technology. Trans. China Electrotech. Soc. 2023, 38, 3943–3959. [Google Scholar] [CrossRef]
- O’Rourke, R. Navy Lasers, Railgun, and Gun-Launched Guided Projectile: Background and Issues for Congress; Congressional Research Service: Washington, DC, USA, 2019.
- Rogers, J.A.; Bass, N.; Mead, P.T.; Mote, A.; Lukasik, G.D.; Intardonato, M.; Harrison, K.; Leaverton, J.D.; Kota, K.R.; Wilkerson, J.W.; et al. The Texas A&M University hypervelocity impact laboratory: A modern aeroballistic range facility. Rev. Sci. Instrum. 2022, 93, 085106. [Google Scholar] [CrossRef] [PubMed]
- Barilaro, L.; Wylie, M.; Shafeeg, T. Design of the Sabot-Stopping System for a Single-Stage Light-Gas Gun for High-Velocity Impacts. Appl. Sci. 2023, 13, 7664. [Google Scholar] [CrossRef]
- Stilp, A.J. Sabot designs for launching penetrators and projectiles. In High-Pressure Shock Compression of Solids VIII: The Science and Technology of High-Velocity Impact; Chhabildas, L.C., Davision, L., Horie, Y., Eds.; Springer: Berlin, Germany, 2005; pp. 201–225. ISBN 3-540-22866-7. [Google Scholar]
- Ma, W.; Lu, J.; Li, X. Electromagnetic launch hypervelocity integrated projectile. J. Natl. Univ. Def. Technol. 2019, 41, 1–10. [Google Scholar] [CrossRef]
- Schmidt, E.; Shear, D. Aerodynamic interference during sabot discard. J. Spacecr. Rocket. 1978, 15, 162–167. [Google Scholar] [CrossRef]
- Song, W.; Ai, B. Multibody separation dynamics: Review. Acta Aeronaut. Astronaut. Sin. 2022, 43, 25950. [Google Scholar] [CrossRef]
- Charlton, E.; Davis, M. Computational optimization of the F-35 external fuel tank for store separation. In Proceedings of the 46th AIAA Aerospace Sciences Meeting and Exhibit, Reno, NV, USA, 7–10 January 2008; p. 376. [Google Scholar] [CrossRef]
- Wang, Y.; Wang, Y.; Jiang, Z. Numerical investigation of aerodynamic separation schemes for two-stage-to-orbit-like two-body system. Aerosp. Sci. Technol. 2022, 131, 107995. [Google Scholar] [CrossRef]
- Cui, P.; Jia, H.; Chen, J.; Zhou, G.; Wu, X.; Ma, M.; Li, H.; Tang, J. Numerical Investigation on Unsteady Shock Wave/Vortex/Turbulent Boundary Layer Interactions of a Hypersonic Vehicle during Its Shroud Separation. Aerospace 2022, 9, 619. [Google Scholar] [CrossRef]
- Song, W.; Ai, B. Research progress on multibody aerodynamics. Chin. J. Theor. Appl. Mech. 2022, 54, 1461–1484. [Google Scholar] [CrossRef]
- Schmidt, E.M. Wind-Tunnel Measurements of Sabot-Discard Aerodynamics. J. Spacecr. Rocket. 1981, 18, 235–240. [Google Scholar] [CrossRef]
- Li, H.; Cui, D.; He, Z.; Guo, J.; Guan, X.; Liu, D. Visualization of Flight Attitude of a Fin-stabilized Sabot Discard Projectile Near the Muzzle. Acta Armamentarii 1992, 13, 66–69. [Google Scholar]
- Zielinski, A.E.; Weinacht, P.; Bennett, J. Electromagnetic and aeromechanical analysis of sabot discard for railgun projectiles. J. Spacecr. Rocket. 2000, 37, 257–264. [Google Scholar] [CrossRef]
- Huang, Z.; Wessam, M.E.; Chen, Z. Numerical investigation of the three-dimensional dynamic process of sabot discard. J. Mech. Sci. Technol. 2014, 28, 2637–2649. [Google Scholar] [CrossRef]
- Li, X.; Lu, J.; Feng, J.; Du, P.; Wu, X. Simulation model for sabot discard using dynamic mesh technique. J. Natl. Univ. Def. Technol. 2018, 40, 9–13. [Google Scholar] [CrossRef]
- Reck, B.; Hundertmark, S.; Simicic, D.; Hruschka, R.; Sauerwein, B.; Leopold, F.; Schneider, M. Behavior of a railgun launch package at the muzzle and during sabot discard. IEEE Trans. Plasma Sci. 2019, 47, 2545–2549. [Google Scholar] [CrossRef]
- Mohanan, S.; Rajesh, G. Trajectory predictions of new lift separation sabots. Def. Technol. 2021, 17, 1361–1373. [Google Scholar] [CrossRef]
- Kasahara, H.; Matsuo, A. Three-dimensional numerical investigation of hypersonic projectile launched by railgun on transitional ballistics. J. Spacecr. Rocket. 2021, 58, 919–935. [Google Scholar] [CrossRef]
- Kharlamov, D.; Zeiner, A.; Martinez, B. Investigation of the Impact of the Sabot-Discard on the Trajectory of a Kinetic Energy Projectile. In Proceedings of the AIAA AVIATION 2023 Forum, San Diego, CA, USA, 12–16 June 2023; p. 3714. [Google Scholar] [CrossRef]
- You, G. Launch disturbances of armor-piercing fin-stabilized discarding sabot projectile. J. Ballist. 1991, 04, 45–54. [Google Scholar]
- Liu, F.; Song, Y.; Yu, H.; Lin, W.; Zhang, J.; Si, Z.; Ding, M.; Rui, X. Study on the influence of projectile on muzzle disturbance. Def. Technol. 2018, 14, 570–577. [Google Scholar] [CrossRef]
- Huang, Z.; Xia, C.; Cao, Y.; Chen, Z.; Zhang, H. Numerical investigations on the sabots discard process of an APFSDS at different angles of attack. Weily J. Eng. 2019, 2019, 373–378. [Google Scholar] [CrossRef]
- Bi, H.; Wang, Z.; Wang, H.; Zhou, Y. Aerodynamic phenomena and drag of a maglev train running dynamically in a vacuum tube. Phys. Fluids 2022, 34, 096111. [Google Scholar] [CrossRef]
- Shih, T.H.; Liou, W.W.; Shabbir, A.; Yang, Z.; Zhu, J. A New K-Epsilon Eddy Viscosity Model for High Reynolds Number Turbulent Flows: Model Development and Validation; NASA-TM-106721; NASA. Lewis Research Center: Cleveland, OH, USA, 1994. [Google Scholar]
- Erengil, M.E. An Aerodynamic Method for Symmetric Sabot Separation. In Proceedings of the 37th AIAA Aerospace Sciences Meeting and Exhibit, Reno, NV, USA, 11–14 January 1999. [Google Scholar] [CrossRef]
- Kasahara, H.; Matsuo, A. Three-dimensional Shock Wave Interactions in Sabot Separation Launched in Hypersonic Regime. Jpn. Soc. Aeronaut. Space Sci. 2022, 65, 147–159. [Google Scholar] [CrossRef]
- Chen, J.; Wu, X.; Zhang, J.; Li, B.; Jia, H.; Zhou, N. FlowStar: General unstructured-grid CFD software for National Numerical Wind tunnel (NNW) Project. Acta Aeronaut. Astronaut. Sin. 2021, 42, 625739. [Google Scholar] [CrossRef]
- Tian, S.; Fu, J.; Chen, J. A numerical method for multi-body separation with collisions. Aerosp. Sci. Technol. 2021, 109, 106426. [Google Scholar] [CrossRef]
- Li, S.; Ning, X.; Luo, X.; Hou, Z.; Bo, J. Aerodynamic interference characteristics of near-ground multibody separation by electromagnetic launch. Acta Aeronaut. Astronaut. Sin. 2024, 45, 129884. [Google Scholar] [CrossRef]
- Heim, E.R. CFD Wing/Pylon/Finned Store Mutual Interference Wind Tunnel Experiment; Arnold Engineering Development Center, Air Force Systems Command, United States Air Force: Tullahoma, TN, USA, 1991.
- Computational Aerodynamics Institute of China Aerodynamics Research and Development Center. Verification and Validation Calibration Model Database. 1.0. National Space Science Data Center. Available online: https://vsso.nssdc.ac.cn/nssdc_en/html/vssoinfo.html?1400 (accessed on 20 January 2025).
- Chen, B.; Luo, L.; Jiang, A.; Wu, X.; Zhang, P.; Jia, H. Numerical simulation of separation characteristics for internally buried weapon at high Mach number. J. Beijing Univ. Aeronaut. Astronaut. 2024, 50, 2113–2122. [Google Scholar] [CrossRef]
- Yan, X.; Niu, J.; Xu, Y.; Li, C. Numerical Research on Store Separation Based on Polyhedral Overset Mesh. Phys. Gases 2024, 9, 36–44. [Google Scholar] [CrossRef]
- Tang, Z.; Li, B.; Zhemg, M.; Deng, Y. Store separation simulation using overset unstructured grid. Acta Aerodyn. Sin. 2009, 27, 592–596. [Google Scholar]
- Sheharyar, M.; Uddin, E.; Ali, Z.; Zaheer, Q.; Mubashar, A. Simulation of a Standard Store Separated from Generic Wing. J. Appl. Fluid Mech. 2018, 11, 1579–1589. [Google Scholar] [CrossRef]
























| Object | AOA | |
|---|---|---|
| Case 1 | The steady flow field of the flight body | 0–8 Deg |
| Case 2 | The steady flow field of the HVP | 0–8 Deg |
| Case 3 | The unsteady flow field of the symmetric discard of the sabot | 0 Deg |
| Case 4 | The unsteady flow field of the asymmetric discard of the sabot | 2–8 Deg |
| Parameters | Value |
|---|---|
| Reference density, , [kg/m3] | 1.176674 |
| Reference velocity, , [m/s] | 2501 |
| Reference area, , [m2] | 0.0001571 |
| Reference length, , [m] | 0.1 |
| Mass of the sabot, , [kg] | 0.0034 |
| Moment of inertia of a sabot segment, , [kg·m2] | 2 × 10−5 |
| Mass center of the upper sabot segment [m] | 3.0 × 10−2, 1.0 × 10−2, 0.0 |
Disclaimer/Publisher’s Note: The statements, opinions and data contained in all publications are solely those of the individual author(s) and contributor(s) and not of MDPI and/or the editor(s). MDPI and/or the editor(s) disclaim responsibility for any injury to people or property resulting from any ideas, methods, instructions or products referred to in the content. |
© 2025 by the authors. Licensee MDPI, Basel, Switzerland. This article is an open access article distributed under the terms and conditions of the Creative Commons Attribution (CC BY) license (https://creativecommons.org/licenses/by/4.0/).
Share and Cite
Yang, X.; Lu, J.; Li, B.; Tan, S.; Xie, Z. Three-Dimensional Numerical Investigation of the Asymmetric Discard Characteristics of Hypervelocity Projectile Sabot. Aerospace 2025, 12, 187. https://doi.org/10.3390/aerospace12030187
Yang X, Lu J, Li B, Tan S, Xie Z. Three-Dimensional Numerical Investigation of the Asymmetric Discard Characteristics of Hypervelocity Projectile Sabot. Aerospace. 2025; 12(3):187. https://doi.org/10.3390/aerospace12030187
Chicago/Turabian StyleYang, Xuefeng, Junyong Lu, Bai Li, Sai Tan, and Zhiqiang Xie. 2025. "Three-Dimensional Numerical Investigation of the Asymmetric Discard Characteristics of Hypervelocity Projectile Sabot" Aerospace 12, no. 3: 187. https://doi.org/10.3390/aerospace12030187
APA StyleYang, X., Lu, J., Li, B., Tan, S., & Xie, Z. (2025). Three-Dimensional Numerical Investigation of the Asymmetric Discard Characteristics of Hypervelocity Projectile Sabot. Aerospace, 12(3), 187. https://doi.org/10.3390/aerospace12030187

