Numerical Investigation of Pyrolytic Coking and Its Effects on Heat Transfer of RP-3
Abstract
1. Introduction
2. Numerical Methods
2.1. Solution of Governing Equations
2.2. Chemical Kinetics Model
2.3. Thermophysical Property Calculations
2.4. Physical Model and Mesh
3. Results and Discussion
3.1. Method Validation
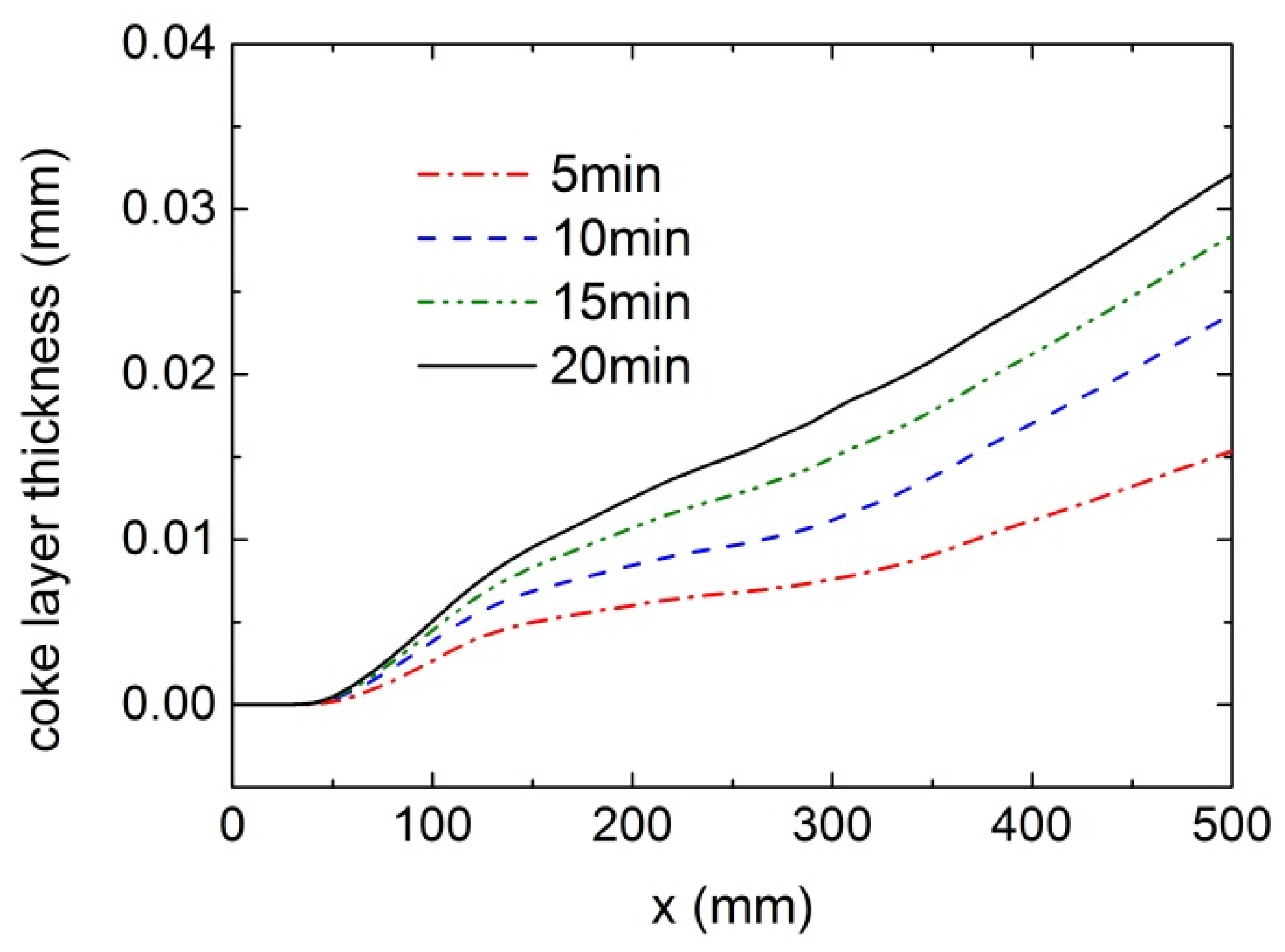
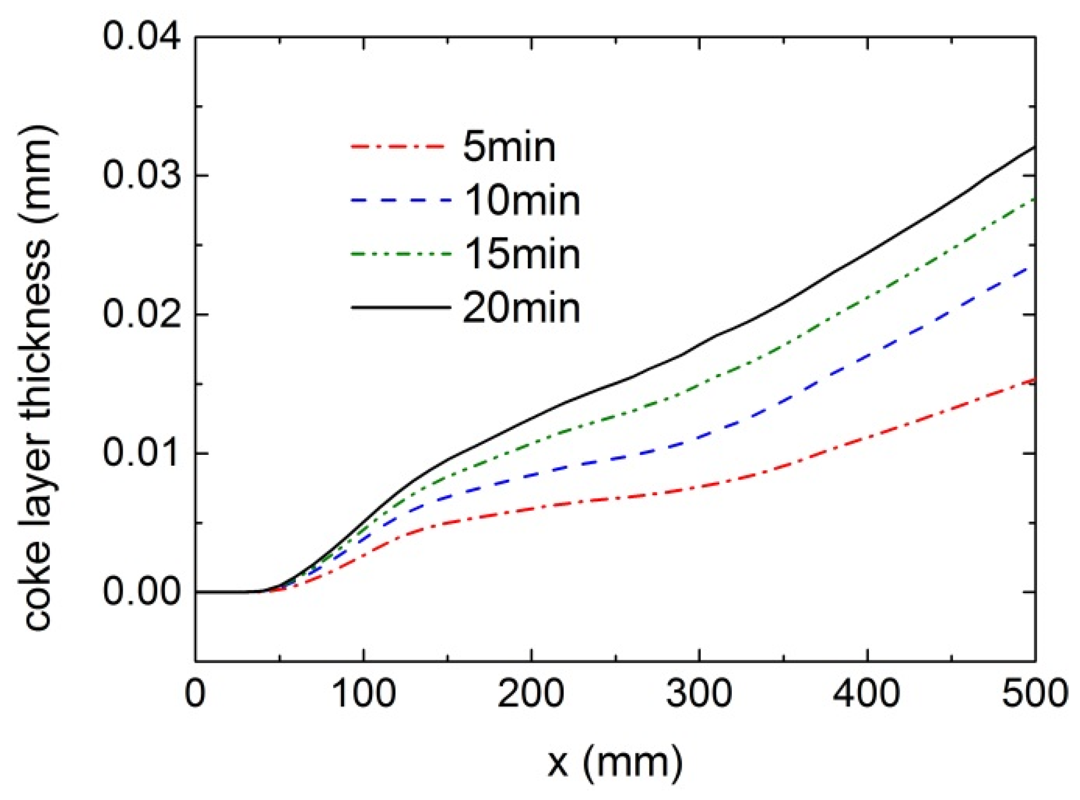
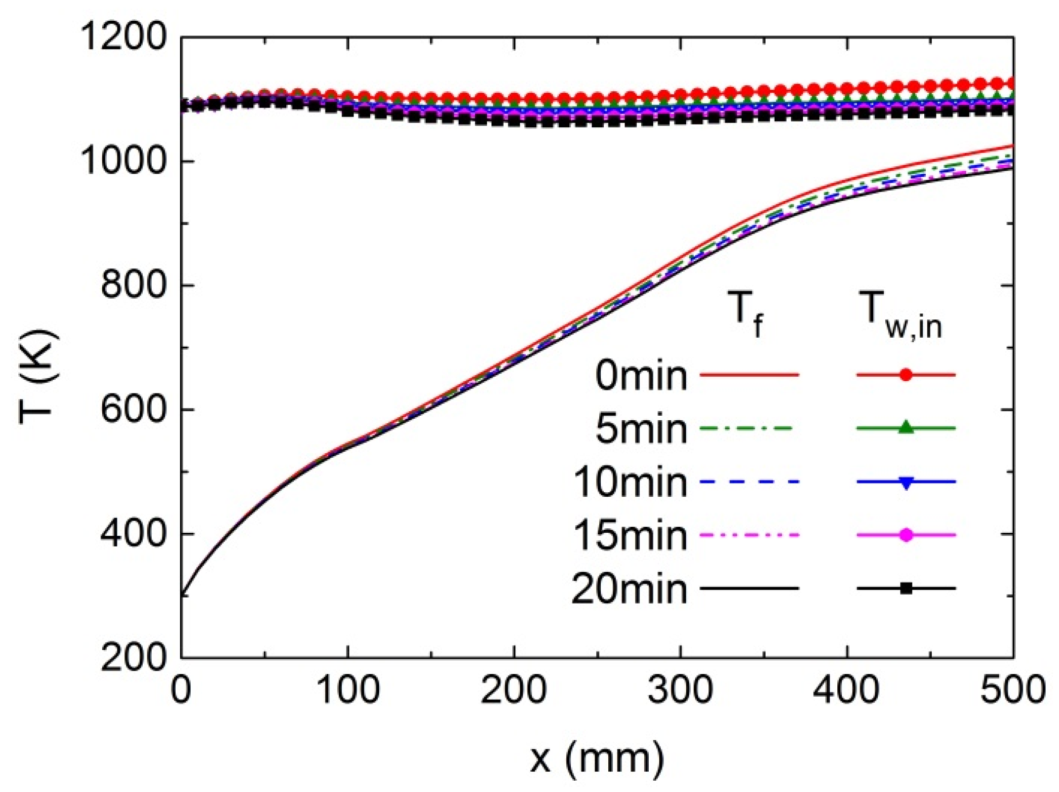
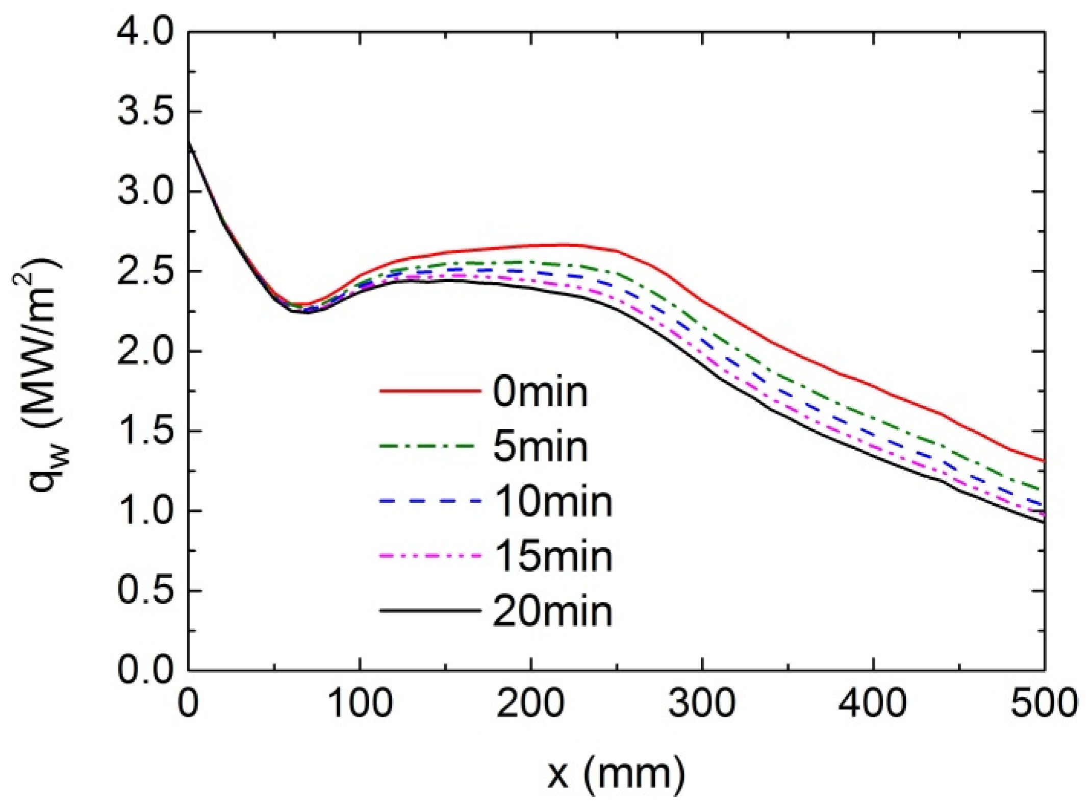
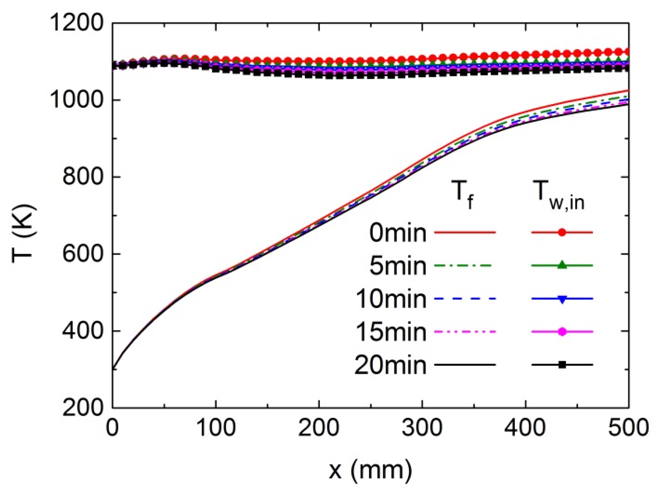
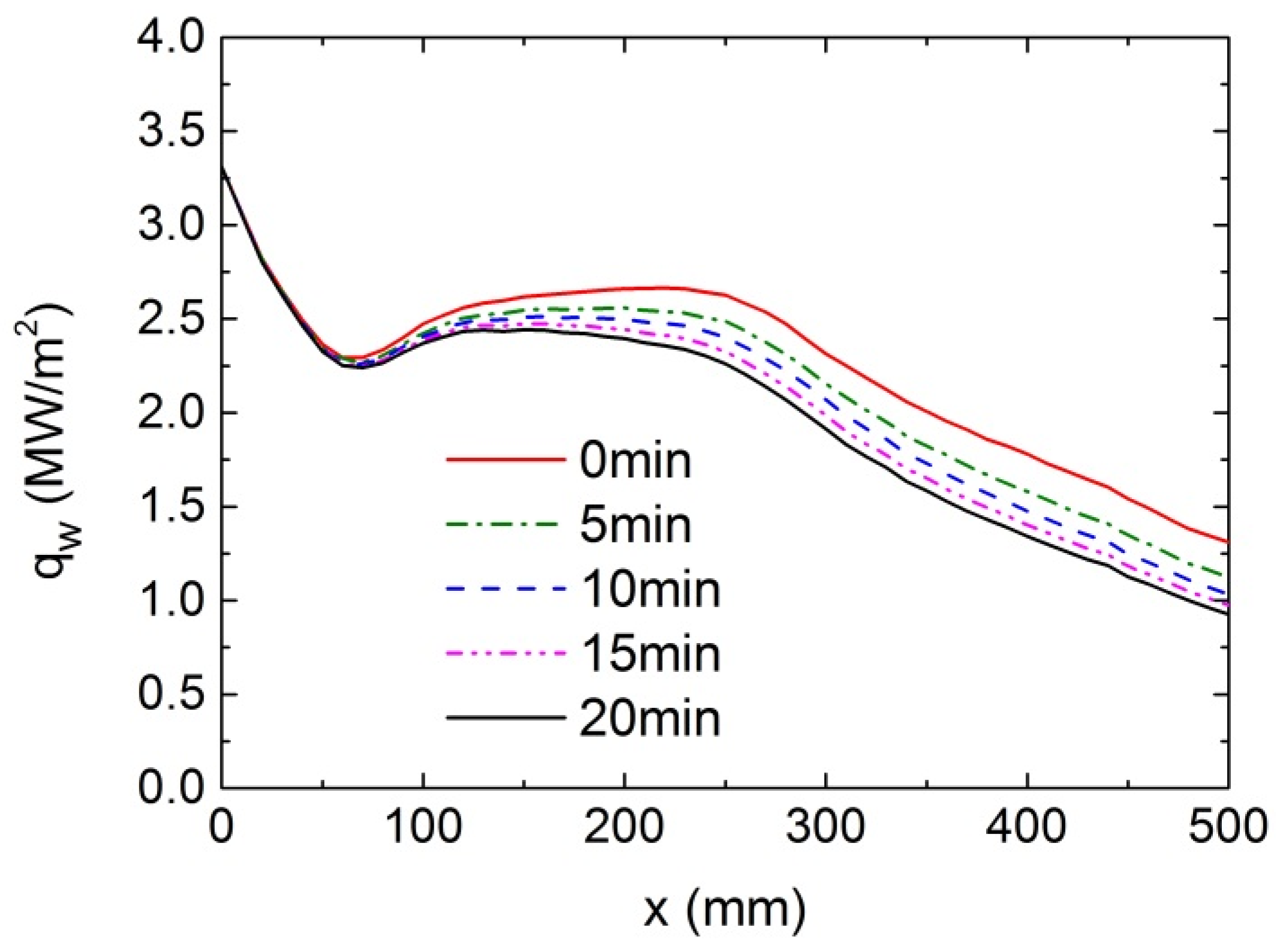
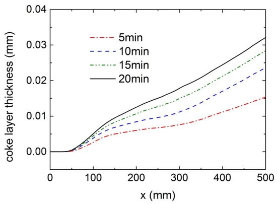
3.2. Pyrolytic Coking and Its Effects on Flow and Heat Transfer at a Constant Wall Heat Flux
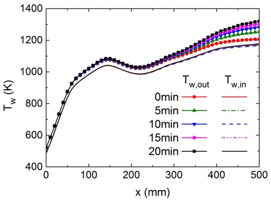
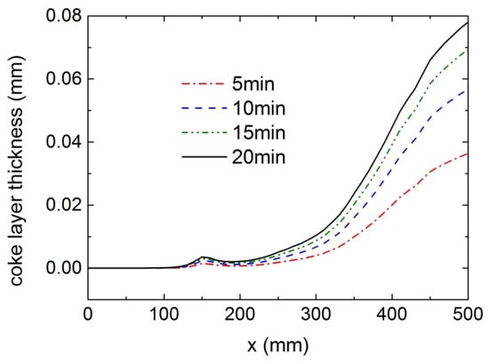
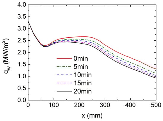
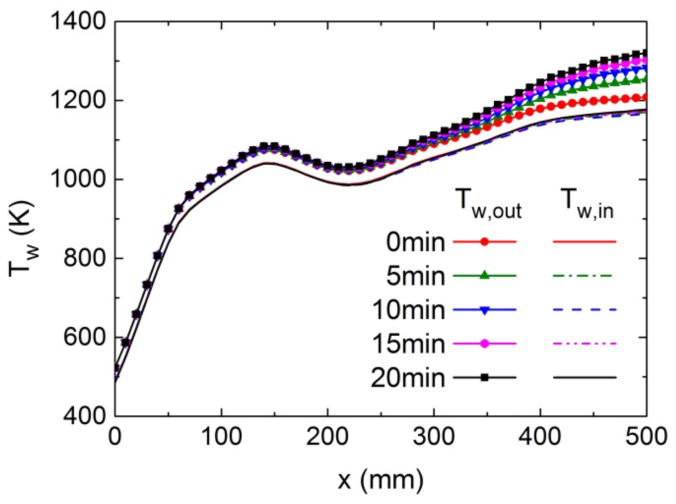
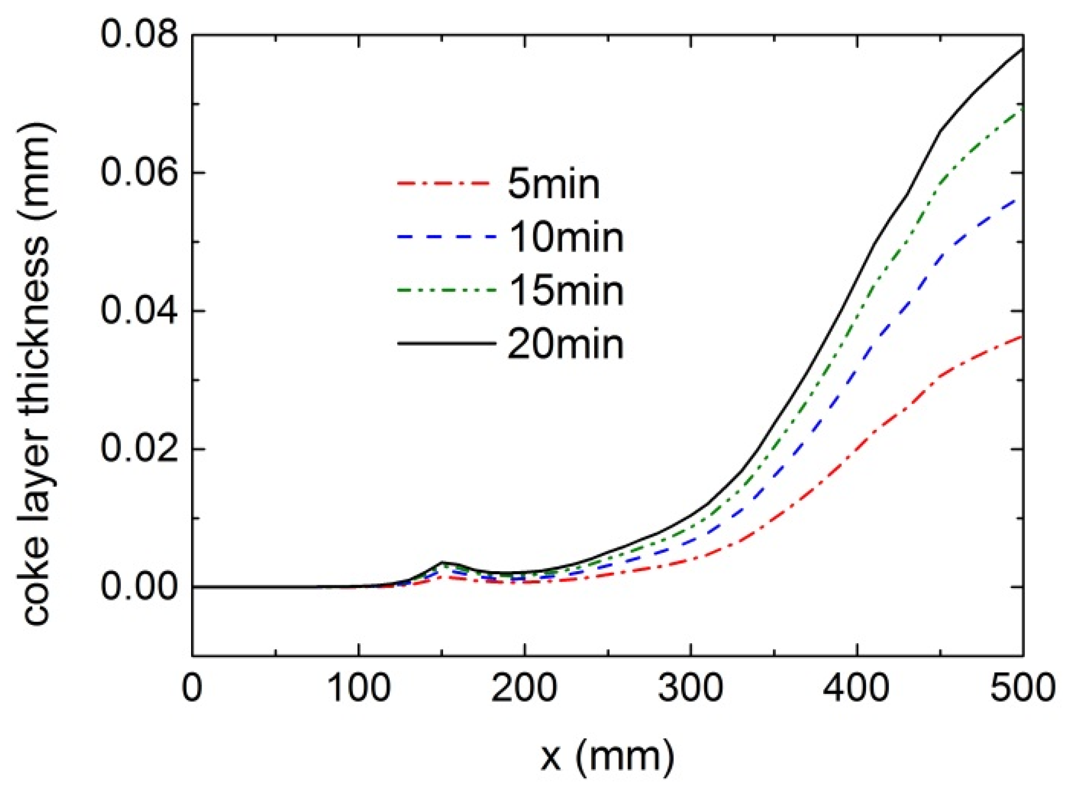
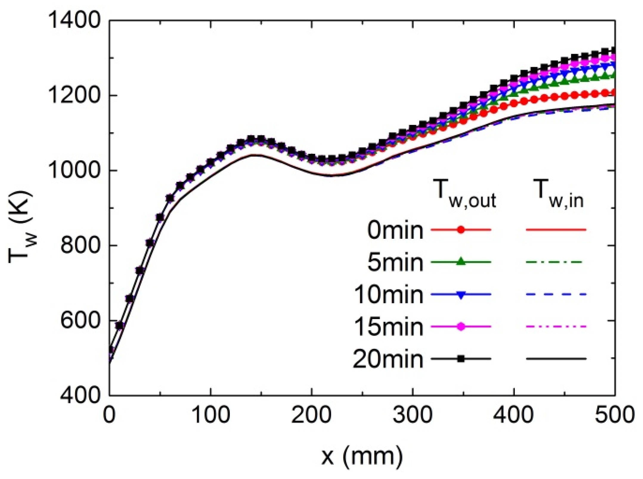
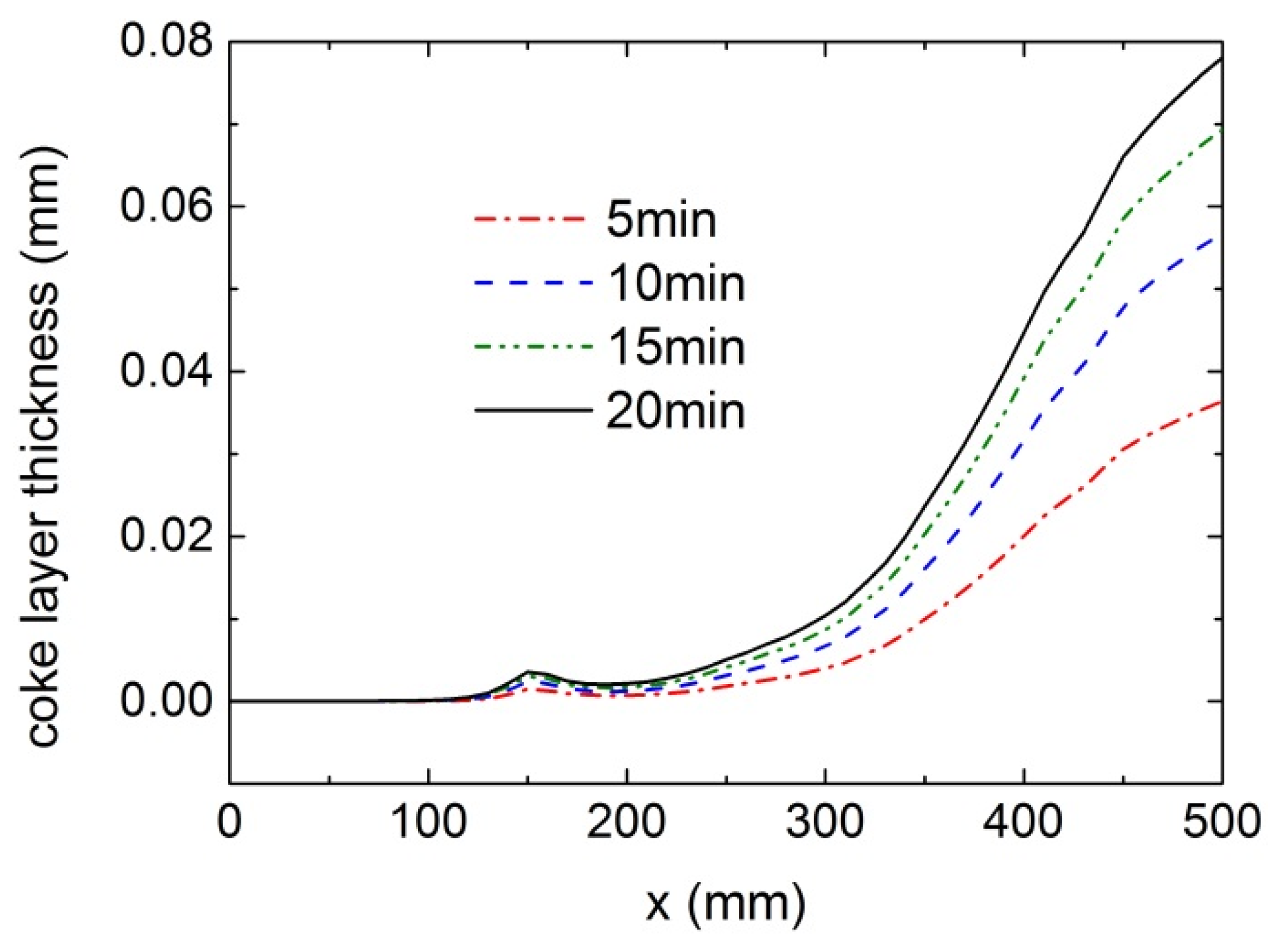
3.3. Pyrolytic Coking and Its Effects on Flow and Heat Transfer at a Constant Surface Temperature
4. Conclusions
- (1)
- Under a constant outer wall heat flux of 1.8 MW/m2, the catalytic coke deposition substantially exceeds the lateral coke deposition, with the amount of catalytic coking near the outlet reaching 11,000 μg/cm2 and that of lateral coking reaching approximately 1120 μg/cm2 at t = 20 min. The catalytic coking increment decreases rapidly over time, contrasting with the nearly constant lateral coking increment. Surface coking significantly increases the outer wall temperature and thermal resistance, leading to a narrowed flow passage and an accelerated flow velocity while also reducing the residence time and RP-3 conversion rate, consequently impairing the endothermic pyrolytic reaction efficiency.
- (2)
- Under a constant outer wall temperature of 1150 K, the pyrolysis of RP-3 is initiated immediately upon its entering the heated section. The catalytic coking rate rises slowly from x = 120 mm to x = 300 mm due to the dominant influence of the decreasing fluid density on the molar concentration of the coking precursors. Coking reduces both the heat flux and the heat absorption capacity in the cooling channel. Despite a 12% reduction in the flow area due to coking, the fluid velocity remains relatively unchanged due to the increased fluid density, while the RP-3 conversion rate decreases, primarily due to lower fluid temperature reducing the pyrolytic reaction rate.
- (3)
- The findings reveal that coking not only degrades the heat transfer efficiency of scramjet cooling channels but also critically reduces the chemical heat sink capacity of the fuel. The wall temperature and heat flux distribution should be properly controlled to mitigate coking. These factors need to be considered in cooling system design to maintain engine performance and avoid overheating.
- (4)
- It should be noted that this study did not account for certain factors such as the surface roughness, porosity effect, or other complex interactions within the coke layer. These simplifications may lead to a partial underestimation of the local impact of coking on heat transfer and flow dynamics. Consequently, more work is still needed to achieve more accurate heat transfer performance simulations.
Author Contributions
Funding
Institutional Review Board Statement
Informed Consent Statement
Data Availability Statement
Conflicts of Interest
Abbreviations
| CFD | Computational Fluid Dynamics |
| ALE | Arbitrary Lagrangian–Eulerian |
References
- Taddeo, L.; Gascoin, N.; Chetehouna, K.; Ingenito, A.; Stella, F.; Bouchez, M.; Le Naour, B. Experimental study of pyrolysis-combustion coupling in a regeneratively cooled combustor: Heat transfer and coke formation. Fuel 2019, 239, 1091–1101. [Google Scholar] [CrossRef]
- Ward, T.A.; Ervin, J.S.; Striebich, R.C.; Zabarnick, S. Simulation of Flowing Mildly-cracked normal alkanes incorporating proportional product distribution. J. Propuls. Power 2004, 20, 394–402. [Google Scholar] [CrossRef]
- Spadaccini, L.J.; Sobel, D.R.; Huang, H. Deposit Formation and Mitigation in Aircraft Fuels. J. Eng. Gas Turbines Power 2001, 123, 741–746. [Google Scholar] [CrossRef]
- Deng, H.W.; Zhang, C.B.; Xu, G.Q.; Tao, Z.; Zhang, B.; Liu, G.Z. Density measurements of endothermic hydrocarbon fuel at sub- and supercritical conditions. J. Chem. Eng. Data 2011, 56, 2980–2986. [Google Scholar] [CrossRef]
- Deng, H.W.; Zhang, C.B.; Xu, G.Q.; Zhang, B.; Tao, Z.; Zhu, K. Viscosity Measurements of Endothermic Hydrocarbon Fuel from (298 to 788) K under Supercritical Pressure Conditions. J. Chem. Eng. Data 2012, 57, 358–365. [Google Scholar] [CrossRef]
- Fu, Y.C.; Huang, H.R.; Wen, J.; Xu, G.Q.; Zhao, W. Experimental investigation on convective heat transfer of supercritical RP-3 in vertical miniature tubes with various diameters. Int. J. Heat Mass Transf. 2017, 112, 814–824. [Google Scholar] [CrossRef]
- Sun, X.; Xu, K.K.; Meng, H.; Zheng, Y. Buoyancy effects on supercritical-pressure conjugate heat transfer of aviation kerosene in horizontal tubes. J. Supercrit. Fluids 2018, 139, 105–113. [Google Scholar] [CrossRef]
- Pu, H.; Li, S.F.; Dong, M.; Jiao, S.; Wang, Y.N.; Shang, Y. Convective heat transfer and flow resistance characteristics of supercritical pressure hydrocarbon fuel in a horizontal rectangular mini-channel. Exp. Therm. Fluid Sci. 2019, 108, 39–53. [Google Scholar] [CrossRef]
- Wu, K.; Feng, Y.; Li, D.S.; Xu, S.; Qin, J.; Huang, H.Y. Experimental investigations on transient flow and heat transfer characteristics of RP-3 at supercritical pressure. Appl. Therm. Eng. 2022, 213, 118678. [Google Scholar] [CrossRef]
- Zhang, Q.; Wang, K.; Yu, Z.; Ma, H.; Huang, B. Convection Heat-Transfer Characteristics of Supercritical Pressure RP-3 in Horizontal Microchannels. Energies 2024, 17, 3247. [Google Scholar] [CrossRef]
- Fu, Y.C.; Liu, Y.L.; Wang, J.; Wang, Y.; Xu, G.Q.; Wen, J. Local resistance characteristics of elbows for supercritical pressure RP-3 flowing in serpentine micro-tubes. Propuls. Power Res. 2024, 13, 245–256. [Google Scholar] [CrossRef]
- Jiang, R.P.; Liu, G.Z.; Zhang, X.W. Thermal cracking of hydrocarbon aviation fuels in regenerative cooling micro channels. Energy Fuels 2013, 27, 2563–2577. [Google Scholar] [CrossRef]
- Zhao, G.Z.; Song, W.Y.; Zhang, R.L. Effect of pressure on thermal cracking of China RP-3 aviation kerosene under supercritical conditions. Int. J. Heat Mass Transf. 2015, 84, 625–632. [Google Scholar] [CrossRef]
- Xu, K.K.; Meng, H. Modeling and simulation of supercritical-pressure turbulent heat transfer of aviation kerosene with detailed pyrolytic chemical reactions. Energy Fuels 2015, 29, 4137–4149. [Google Scholar] [CrossRef]
- Tian, K.; Yang, P.; Tang, Z.C.; Wang, J.; Zeng, M.; Wang, Q.W. Effect of pyrolytic reaction of supercritical aviation kerosene RP-3 on heat and mass transfer in the near-wall region. Appl. Therm. Eng. 2021, 197, 117401. [Google Scholar] [CrossRef]
- Wang, R.T.; Ye, T.Q.; Bao, Z.W.; Zhu, Q. Numerical analysis of pyrolysis and coking of aviation kerosene in a rectangular U-bend tube under one-side heating. Int. J. Heat Mass Transf. 2023, 214, 124379. [Google Scholar] [CrossRef]
- DeWitt, M.J.; Edwards, T.; Shafer, L.; Brooks, D.; Striebich, R.; Bagley, S.P. Effect of aviation fuel type on pyrolytic reactivity and deposition propensity under supercritical conditions. Ind. Eng. Chem. Res. 2011, 50, 10434–10451. [Google Scholar] [CrossRef]
- Zhu, Y.H.; Yan, S.; Zhao, R.; Jiang, P.X. Experimental Investigation of Flow Coking and Coke Deposition of Supercritical Hydrocarbon Fuels in Porous Media. Energy Fuels 2018, 32, 2941–2948. [Google Scholar] [CrossRef]
- Cheng, Y.X.; Wang, Y.S.; Jiang, P.X.; Zhu, Y.H. Oxidative and pyrolytic coking characteristics of supercritical-pressure n-decane and its influence mechanism on heat transfer. Fuel 2024, 362, 130874. [Google Scholar] [CrossRef]
- Liu, G.Z.; Wang, X.Q.; Zhang, X.W. Pyrolytic depositions of hydrocarbon aviation fuels in regenerative cooling channels. J. Anal. Appl. Pyrolysis 2013, 104, 384–395. [Google Scholar] [CrossRef]
- Bao, Z.W.; Ye, T.Q.; Wang, R.T.; Zhu, Q. Experiment and modelling of supercritical pyrolysis and coking of RP-3 aviation kerosene in a U-bend tube. Chem. Eng. J. 2023, 454, 140234. [Google Scholar] [CrossRef]
- Wang, R.T.; Zhao, J.J.; Bao, Z.W. Thermal cracking and coke deposition characteristics of aviation kerosene RP-3 in an S-bend tube. Fuel 2022, 313, 122673. [Google Scholar] [CrossRef]
- Zhang, H.J.; Li, W.; Nian, Y.; Liu, M.H.; Zhang, J.L.; Han, Y. Insights into the pyrolytic coking process of RP-3 fuel from ReaxFF molecular dynamics. Chem. Eng. Sci. 2024, 291, 119935. [Google Scholar] [CrossRef]
- Xu, K.K.; Meng, H. Numerical study of fluid flows and heat transfer of aviation kerosene with consideration of fuel pyrolysis and surface coking at supercritical pressures. Int. J. Heat Mass Transf. 2016, 95, 806–814. [Google Scholar] [CrossRef]
- Xu, K.K.; Sun, X.; Meng, H. Conjugate heat transfer, endothermic fuel pyrolysis and surface coking of aviation kerosene in ribbed tube at supercritical pressure. Int. J. Therm. Sci. 2018, 132, 209–218. [Google Scholar] [CrossRef]
- Gong, K.Y.; Cao, Y.; Wang, Z.T.; Feng, Y.; Qin, J. Influence of flight acceleration on heat transfer and carbon deposits of aviation kerosene under supercritical conditions. Int. J. Heat Fluid Flow 2024, 109, 109539. [Google Scholar] [CrossRef]
- Feng, Y.; Cao, Y.; Liu, S.; Qin, J.; Hemeda, A.; Mac, Y. The influence of coking on heat transfer in turbulent reacting flow of supercritical hydrocarbon fuels. Int. J. Heat Mass Transf. 2019, 144, 118623. [Google Scholar] [CrossRef]
- Zhu, J.Q.; Tao, Z.; Deng, H.W.; Wang, K.; Yu, X. Numerical investigation of heat transfer characteristics and flow resistance of kerosene RP-3 under supercritical pressure. Int. J. Heat Mass Transf. 2015, 91, 330–341. [Google Scholar] [CrossRef]
- Tao, Z.; Cheng, Z.Y.; Zhu, J.Q.; Hu, X.Z.; Wang, L.Y. Correction of low-Reynolds number turbulence model to hydrocarbon fuel at supercritical pressure. Aerosp. Sci. Technol. 2018, 77, 156–167. [Google Scholar] [CrossRef]
- Tao, Z.; Li, L.W.; Zhu, J.Q.; Hu, X.Z.; Wang, L.Y.; Qiu, L. Numerical investigation on flow and heat transfer characteristics of supercritical RP-3 in inclined pipe. Chin. J. Aeronaut. 2019, 32, 1885–1894. [Google Scholar] [CrossRef]
- Tao, K.H.; Zhu, J.Q.; Cheng, Z.Y.; Li, D.K. Artificial neural network analysis of the Nusselt number and friction factor of hydrocarbon fuel under supercritical pressure. Propuls. Power Res. 2022, 11, 325–336. [Google Scholar] [CrossRef]
- Zhu, J.Q.; Jiao, Y.X.; Dong, H.; Cheng, Z.Y.; Tong, Z.X. Research on the flow and heat transfer characteristics of RP-3 and structural optimization in parallel bending cooling channels. Appl. Therm. Eng. 2024, 241, 122432. [Google Scholar] [CrossRef]
- Lin, D.S.; Li, H.W.; Cheng, Z.Y.; Zhu, J.Q. The heat transfer mechanism coupling pyrolysis and flow of hydrocarbon fuel in heated tube under supercritical pressure. Appl. Therm. Eng. 2024, 247, 123017. [Google Scholar] [CrossRef]
- Tao, Z.; Hu, X.Z.; Zhu, J.Q.; Cheng, Z.Y. Numerical Study of Flow and Heat Transfer of n-Decane with Pyrolysis and Pyrolytic Coking under Supercritical Pressures. Energy Fuels 2017, 31, 8698–8707. [Google Scholar] [CrossRef]
- Blom, F.J. Considerations on the spring analogy. Int. J. Numer. Methods Fluids 2000, 32, 647–668. [Google Scholar] [CrossRef]
- Cheng, Z.Y.; Zhu, J.Q.; Jin, Z. Study on surrogate model of endothermic hydrocarbon fuel RP-3. J. Aerosp. Power 2016, 31, 391–398. [Google Scholar]
- Younglove, B.A.; Ely, J.F. Thermophysical properties of fluids. II. Methane, ethane, propane, isobutane, and normal butane. J. Phys. Chem. Ref. Data 1987, 16, 577–798. [Google Scholar] [CrossRef]
- Huber, M.L. Transport Properties of Fluids, The Correlation, Prediction and Estimation; Cambridge Univ. Press: Cambridge, UK, 1996. [Google Scholar]
- Gascoin, N.; Gillarda, P.; Bernarda, S.; Bouchezb, M. Characterization of coking activity during supercritical hydrocarbon pyrolysis. Fuel Process. Technol. 2008, 89, 1416–1428. [Google Scholar] [CrossRef]
- Manafzadeh, H.; Sadrameli, S.M.; Towfighi, J. Coke deposition by physical condensation of poly-cyclic hydrocarbons in the transfer line exchanger (TLX) of olefin plant. Appl. Therm. Eng. 2003, 23, 1347–1358. [Google Scholar] [CrossRef]
- Kaviany, M. Principles of Heat Transfer in Porous Media; Springer: New York, NY, USA, 1996. [Google Scholar]
- Zhang, C.B.; Xu, G.Q.; Gao, L.; Tao, Z.; Deng, H.W.; Zhu, K. Experimental Investigation on Heat Transfer of a Specific Fuel (RP-3) Flows through Downward Tubes at Supercritical Pressure. J. Supercrit. Fluids 2012, 72, 90–99. [Google Scholar] [CrossRef]
- Zhu, K.; Xu, G.Q.; Tao, Z.; Deng, H.W.; Ran, Z.H.; Zhang, C.B. Flow Frictional Resistance Characteristics of Kerosene RP-3 in Horizontal Circular Tube at Supercritical Pressure. Exp. Therm. Fluid Sci. 2013, 44, 245–252. [Google Scholar] [CrossRef]


















| Time | Numerical Result (mg) | Experimental Result (mg) | Relative Error |
|---|---|---|---|
| 4 min | 3.07 | 3.56 | −13.8% |
| 8 min | 5.24 | 5.86 | −10.6% |
| 12 min | 7.19 | 7.86 | −8.5% |
| 20 min | 8.97 | 9.89 | −9.3% |
Disclaimer/Publisher’s Note: The statements, opinions and data contained in all publications are solely those of the individual author(s) and contributor(s) and not of MDPI and/or the editor(s). MDPI and/or the editor(s) disclaim responsibility for any injury to people or property resulting from any ideas, methods, instructions or products referred to in the content. |
© 2025 by the authors. Licensee MDPI, Basel, Switzerland. This article is an open access article distributed under the terms and conditions of the Creative Commons Attribution (CC BY) license (https://creativecommons.org/licenses/by/4.0/).
Share and Cite
Hu, X.; Zhang, P.; Zhu, J.; Cheng, Z.; Sun, S. Numerical Investigation of Pyrolytic Coking and Its Effects on Heat Transfer of RP-3. Aerospace 2025, 12, 919. https://doi.org/10.3390/aerospace12100919
Hu X, Zhang P, Zhu J, Cheng Z, Sun S. Numerical Investigation of Pyrolytic Coking and Its Effects on Heat Transfer of RP-3. Aerospace. 2025; 12(10):919. https://doi.org/10.3390/aerospace12100919
Chicago/Turabian StyleHu, Xizhuo, Peng Zhang, Jianqin Zhu, Zeyuan Cheng, and Shuang Sun. 2025. "Numerical Investigation of Pyrolytic Coking and Its Effects on Heat Transfer of RP-3" Aerospace 12, no. 10: 919. https://doi.org/10.3390/aerospace12100919
APA StyleHu, X., Zhang, P., Zhu, J., Cheng, Z., & Sun, S. (2025). Numerical Investigation of Pyrolytic Coking and Its Effects on Heat Transfer of RP-3. Aerospace, 12(10), 919. https://doi.org/10.3390/aerospace12100919

