Abstract
To address the issue of jitter and oscillation of guidance command during multi-vehicle cooperative engagement with maneuvering platforms, this paper proposes a novel terminal guidance law with prescribed performance constraints for multiple cooperative vehicles, which explicitly considers both transient and steady-state performance. Firstly, based on the vehicle-target relative kinematics, with time and space as the main constraint indicators, a multi-vehicle cooperative guidance model is established in the inertial coordinate system. Secondly, combined with the sliding mode control theory, cooperative guidance laws are designed for both the line-of-sight (LOS) direction and the LOS normal direction, respectively, and the Lyapunov stability proof is given. Furthermore, to counteract the impact of target maneuvers on guidance performance, a non-homogeneous disturbance observer is designed to estimate target maneuver information that is difficult to obtain directly, which ensures that performance constraints are still satisfied under strong target maneuvering conditions. Simulation results demonstrate that the proposed guidance law enables multiple coordinated vehicles to successfully engage the target under different maneuvering modes, while satisfying the terminal time-space constraints. Compared with conventional sliding mode control methods exhibiting inherent chattering, the proposed approach employs a novel PPC-SMC hybrid structure to quantitatively constrain the transient convergence of cooperative errors. This structure enhances the multi-vehicle cooperative guidance performance by effectively eliminating chattering and oscillations in the guidance commands, thereby significantly improving the system’s transient behavior.
    1. Introduction
High-speed maneuvering aircraft possess characteristics such as near-space flight, supersonic maneuver ability, long-range strike capability, and unpredictable flight trajectories, posing significant challenges to aerospace systems []. A single vehicle has limited operational effectiveness and coverage range, making it difficult to effectively counter high-speed maneuvering platforms []. To address this issue, cooperative guidance methods for multiple vehicles have been widely studied in recent years. As an efficient offensive-defensive strategy, cooperative guidance can effectively enhance mission effectiveness and success probability while reducing individual performance requirements. This approach demonstrates significant advantages in modern combat systems and has consequently emerged as a key research focus in the guidance field [].
Existing cooperative guidance methods are mainly classified into three categories: time cooperative, angular cooperative, and spatio-temporal cooperative []. In terms of the impact time control guidance (ITCG), Jeon [] first proposed the salvo method based on ITCG, which combines the pure proportional navigation (PPN) guidance with impact time error feedback to achieve stationary target engagement at a predetermined time. Although the guidance law has a simple form, the estimation of time-to-go remains insufficiently accurate and may consequently degrade guidance precision. Jiang [] proposed a more accurate time-to-go estimation algorithm by considering the nonlinear characteristics of vehicle lead angles, which improved guidance precision under impact time constraints. However, this method relies on a centralized cooperative architecture, making the cooperative approach susceptible to failure when the central node is compromised or destroyed. Jin [] introduced consistency variables on the basis of the biased proportional guidance law, and designed the cooperative guidance law through the preset time consistency control theory, which ensures that the vehicle reaches the target in a finite period of time, but it relies on ideal assumptions such as a constant vehicle velocity, and does not adequately validate the robustness under complex interference. Jiang [] developed both two-dimensional finite-time and three-dimensional time-constrained cooperative guidance laws for multiple unmanned aerial vehicles (UAVs) engaging stationary targets under time-varying velocity conditions. However, the simplified velocity model assumptions introduce limitations that may deviate from real-flight environments.
In the impact angle control guidance (IACG), Wang [] constructed a nonlinear model based on the LOS rate and error in a planar engagement scenario, combined with the Riccati technique, and designed a guidance law to satisfy the drop angle constraints, which is able to engage the target with a specific terminal LOS angle, but the method is based on the assumption that the LOS angle is less than 90°, and does not consider the scenario of the target complex maneuvering mode. Li [] fused the second-order sliding-mode control and non-singular terminal sliding-mode theory, and designed the LOS normal and lateral guidance commands based on the optimal control theory, but there is a problem with the impact angle command is too large, and simplified the dynamics model, which deviates from the actual manoeuvre scenarios. Liu [] transformed the impact angle constraint into a LOS angle constraint at engagement time and formulated the guidance problem as a Nash game problem. The guidance commands were generated based on a non-singular fast terminal sliding mode surface combined with a super-twisting algorithm. However, the approach did not account for velocity variations during actual flight, which may lead to degraded guidance precision in practical applications. Tan [] used the optimal control theory to design the leader’s differential game guidance law, and adopted the model predictive control and robust sliding mode control to design the follower’s cooperative guidance law, which can achieve interception of the target at the desired terminal angle, but relies on a centralized information architecture, and the cooperative engage is easy to be ineffective if the leader is interfered or destroyed.
To further improve the effect of cooperative guidance, combining time cooperative and angle cooperative, the impact time and angle guidance (ITAG) was designed to realize all-around saturation strikes on the target, which greatly improves the mission effectiveness and engagement capability of the interceptor. Dong [] proposed a fixed-time cooperative guidance law to ensure that multiple vehicles with the desired terminal LOS angle and simultaneously engage the manoeuvre target, but it relies on the ideal condition of controllable vehicle thrust, and does not fully consider the robustness under the verification of complex interference. Chen [] employed fixed-time convergence theory to design distributed sliding surfaces and robust cooperative guidance laws, achieving (LOS) angle convergence within a fixed time. However, the approach exhibits relatively large guidance commands during the initial phase and does not fully account for complex disturbance factors such as sensor noise and communication delays in practical environments. Zhang [] integrated multi-agent cooperative control theory with a super-twisting algorithm to design the LOS direction guidance law. Based on finite-time sliding mode control theory, they developed the LOS normal direction guidance command and derived a finite-time cooperative guidance method for leader-follower scenarios, achieving terminal spatiotemporal coordination. Li [] designed a nonlinear cooperative guidance law in the LOS direction to ensure that the distance of multiple bombs converges consistently, and used fixed-time sliding mode control with state index coefficients in the normal and lateral directions of the LOS to ensure that the angle of the LOS converges rapidly in a fixed time, but it is easy to appear the phenomenon of oscillation of guidance commands, which affects the accuracy of guidance. Zhang [] proposed an event triggered guidance command based on event-triggered control for the problem of coordinated engaging of maneuvering platforms by multiple vehicles in a three-dimensional space, which effectively reduces energy consumption, handles communication failures and enhances the effectiveness of time lag scenarios. The upper bound of the system state convergence time for the above method can be set directly by parameters independent of the initial conditions, but the event triggering thresholds and sliding-mode surface parameters need to be manually debugged, and there is a lack of system optimization methods.
Current guidance methods have achieved certain results in steady-state performance, but they lack strict constraints on the transient performance of multi-vehicle cooperative guidance processes. When facing large initial state deviations, sudden target manoeuvres, or strong disturbances, states such as time coordination error, LOS angular rate, and guidance commands are prone to slow convergence, excessive overshoot, and severe oscillations. These issues directly affect the accuracy and effectiveness of multi-vehicle cooperative engagement.
Numerous studies have shown that prescribed performance control (PPC) is an advanced control method for nonlinear systems. Its core concept is to strictly constrain the tracking error of the controlled system within predefined performance boundaries by designing time-varying performance functions, thereby quantitatively regulating both the transient response and steady-state accuracy of the system. While ensuring the steady-state performance of closed-loop guidance systems, it enables quantitative design of their transient performance. Due to its strong constraint capability on system response trajectories and advantages in disturbance rejection robustness, it has been widely used in such as scenarios of high-precision trajectory tracking of robots [,,,], servo systems of electric motors [,,,], and attitude control of aircraft [,,]. In recent years, there has been some research on applying the PPC to single-vehicle guidance [,,].
The aforementioned guidance laws have achieved commendable performance in terms of steady-state accuracy and finite/fixed-time convergence. However, a common challenge that persists, particularly in SMC-based approaches, is the inherent chattering and oscillation of guidance commands []. These undesirable phenomena arise from the discontinuous switching inherent in conventional SMC and the lack of strict constraints on the transient convergence process of cooperative errors. In practical applications, high-frequency command chattering can lead to excessive actuator wear, increased energy consumption, and may even excite unmodeled dynamics, jeopardizing flight stability []. Therefore, there is a pressing need for a cooperative guidance law that not only guarantees precision and robustness but also ensures smooth transient performance by explicitly suppressing command chattering.
Inspired by the aforementioned analysis, this paper addresses the core requirement for transient performance control in the field of multi-vehicle cooperative guidance. By integrating prescribed performance control theory with cooperative guidance laws, we propose a novel multi-vehicle cooperative guidance law with prescribed performance constraints for intercepting maneuvering platforms. Unlike cooperative guidance laws primarily focused on stability performance, the main contributions of this study are as follows:
- 1.
 - Unlike conventional methods that heavily rely on estimating the vehicle’s remaining flight time, the cooperative guidance law proposed herein employs remaining distance as the cooperative variable. Through this approach, the guidance law avoids the failure to achieve simultaneous arrival caused by inaccurate flight time estimation due to nonlinear dynamics and external disturbances, thereby enhancing the precision and robustness of the guidance process.
 - 2.
 - A novel PPC-sliding-mode dual-loop fusion guidance strategy is proposed to address the inherent chattering issue of conventional SMC: This strategy deeply integrates the advantages of preset performance constraints on transient response with the strong robustness of sliding-mode control, suppressing the traditional sliding-mode jitter while significantly enhancing the robustness of the system’s dynamic response, and improving the synergistic guidance performance of “precise transient control and strong robustness guarantee”, Whilst ensuring stability, the method achieves a smooth convergence process free from overshoot and oscillation. Compared to the finite-time approaches outlined in references [,], this method demonstrates a significant advantage in transient performance.
 - 3.
 - To address target maneuver disturbances, a non-homogeneous disturbance observer matching the disturbance characteristics is designed. Compared to conventional observers, this observer effectively mitigates estimation lag and error accumulation caused by model mismatch in traditional observers through the introduction of a nonlinear gain term. Through real-time identification and dynamic compensation, the proposed guidance law ensures compliance with performance constraints even under strong target maneuvering conditions, thereby enhancing adaptability in complex scenarios.
 
It is noteworthy that real-world high-speed maneuvering platforms and vehicles exhibit complex physical characteristics. The primary focus of this study, however, is to address the fundamental challenge of prescribing transient performance (e.g., convergence rate, overshoot) and eliminating guidance command chattering in a multi-agent cooperative setting—a problem that is logically prior to and independent of high-fidelity vehicle dynamics modeling. Therefore, employing a simplified 2D point-mass model is a necessary and standard approach that allows us to isolate and solve this core problem effectively. The proposed non-homogeneous disturbance observer is introduced precisely to estimate and compensate for the aggregated uncertainties, including those arising from target maneuver dynamics (which encapsulate aspects like non-symmetric characteristics) and model simplifications, thereby ensuring the robustness of the guidance law against such unmodeled effects.
The rest of this paper is organized as follows. In Section 2, we establish the multi-vehicle cooperative guidance model and present fundamental preliminaries, including graph theory and prescribed performance control theory. In Section 3, we develop the LOS direction and normal-direction guidance laws based on prescribed performance constraints and sliding mode control theory, along with Lyapunov stability proofs. Section 4 conducts numerical simulations and analytical discussions. Section 5 summarizes the paper.
2. Problem Description and Preliminaries
2.1. Description of the Problem
This paper considers a cooperative engagement scenario where  interceptors engage a high-speed maneuvering target from different azimuths. The vehicle-target relative kinematics are modeled in a two-dimensional plane. This 2D simplification is widely adopted in initial guidance law design [,] because it captures the fundamental engagement geometry (relative distance and LOS angle) while maintaining analytical tractability. It serves as a critical first step towards future extension to three-dimensional scenarios. The engagement geometry is shown in Figure 1.
      
    
    Figure 1.
      Vehicle-Target Relative Kinematics.
  
In the figure,  represents the ground inertial coordinate system; Notation  denotes the -th vehicle in the engagement system, and  represents the high-speed maneuvering target; Notations  and  are the velocities of the vehicle and the target, respectively; Notations  and  are the trajectory inclination angle of the vehicle and the path angle of the target, respectively, with positive values defined when the velocity lies above the horizontal reference line; Notation  is the LOS angle between the vehicle and the target, defined as positive when rotating counterclockwise from the horizontal reference line to the line of sight; Notations  and  are the normal accelerations of the vehicle and the target, respectively; Notations  and  represent the relative distance and relative velocity between the vehicle and the target; Notations  and  represent the lead angles of the vehicle and target, respectively, with positive direction defined as counterclockwise rotation from the velocity vector to the LOS direction. Based on the vehicle-target relative kinematics, the kinematic equations for multiple interceptors and the target can be derived as
      
        
      
      
      
      
    
      
        
      
      
      
      
    
      
        
      
      
      
      
    
      
        
      
      
      
      
    
      
        
      
      
      
      
    
      
        
      
      
      
      
    
Differentiating Equations (1) and (2) and substituting them into Equations (3)–(6) yields the relative velocity and LOS angular rate dynamics as
      
        
      
      
      
      
    
      
        
      
      
      
      
    
In the equations,  and  represent the acceleration components of the -th vehicle  in the LOS direction and the normal direction, respectively. Notations  and  denote the acceleration components of target  relative to vehicle  in the LOS direction and normal direction, respectively. Their specific expressions are as follows
      
        
      
      
      
      
    
      
        
      
      
      
      
    
      
        
      
      
      
      
    
      
        
      
      
      
      
    
In Equations (7) and (8), the terms  and  represent the disturbances induced by the target’s maneuver. While the complex flight characteristics (e.g., aerodynamic forces, thrust variations) of both the target and vehicles are not explicitly modeled, their net effect on the relative motion is encapsulated in these disturbance terms. Therefore, the accurate estimation and compensation of these disturbances are crucial for guidance precision. The guidance law design in Section 3 will explicitly address this challenge through a dedicated observer, ensuring robustness against such unmodeled dynamics.
This paper selects the state variables , ,  and  where  is the desired terminal LOS angle for the i-th interceptor. Consequently, the two-dimensional cooperative guidance model for multiple vehicles can be established as
      
        
      
      
      
      
    
In the equation,  is the guidance command for the -th vehicle along the LOS direction, which ensures that all interceptors simultaneously engage the target. Notation  is the guidance command for the -th vehicle along the normal direction of the LOS, which controls the vehicle to nullify the LOS angular rate and achieve the desired terminal LOS angle, enabling a coordinated arrival on the target and improving the engagement effectiveness.
2.2. Assumptions and Limitations
This work is based on the following primary assumptions:
- Engagement geometry: Engagement occurs within a two-dimensional plane, with both vehicle and target modelled as point masses.
 - Communication Topology: The communication network between vehicles is fixed, connected, and ideal (no delay or packet loss).
 - Measurement Availability: The seeker can accurately measure relative range, relative velocity, LOS angle, and its rate of change.
 - Acceleration Constraints: The acceleration of both vehicle and target remains within physical limitations.
 - Target Dynamics: The target’s maneuver acceleration is treated as an aggregated disturbance, without explicitly modeling its internal dynamics (e.g., non-symmetric aerodynamics). This is justified as the primary aim is to design a guidance law that is robust to the net effect of target maneuvers, rather than being tailored to a specific vehicle model. The disturbance observer is key to this approach.
 
These assumptions, while common in foundational guidance law research [,,], represent limitations. The 2D simplification facilitates theoretical analysis but may not capture full 3D engagement dynamics. The ideal communication assumption may not hold in contested environments. Future work will address these limitations through 3D extension and robust communication protocols.
2.3. Preliminary Knowledge
2.3.1. Graph Theory
The communication topology among interceptors is defined as , where  represents the nodes in the communication topology, with  denoting individual interceptors; Notations  denotes the edges between nodes, indicating communication links between interceptors. If an edge exists between nodes  and , it signifies that  and  can exchange information;  is the communication weight matrix between interceptors. If , then ; otherwise, . The Laplacian matrix (LM) of graph  is defined as , where  is given by
      
        
      
      
      
      
    
If for all ,  holds. Then the communication topology is called undirected, satisfying . If any two nodes in the communication topology can exchange information, the topology is said to be connected, yielding .
2.3.2. Prescribed Performance Control Theory
Definition 1: 
A continuous function 
               is designated as a performance function, with its prescribed performance function expression given by
      
        
      
      
      
      
    
In the equation,  and  represent the initial boundary value and steady-state boundary value of the prescribed performance function, respectively, and  denotes the convergence rate. The performance function satisfies the following properties,
      
        
      
      
      
      
    
If the initial tracking error of the system is known, the following inequality constraint is imposed according to prescribed performance control.
      
        
      
      
      
      
    
In the equation,  and  . The parameter  in the inequality constraints Equation (17) represents the overshoot bound for the tracking error  . When  , the performance bounds are symmetric about zero, allowing equal overshoot in both directions. A smaller  imposes stricter constraints on the overshoot in the direction of the initial error. In this paper,  is selected for all  to maintain symmetric performance bounds and simplify the design. Considering the significant challenges in directly designing with inequality constraints, an error transformation function  is introduced to convert the inequality constraints into more tractable equality constraints
      
        
      
      
      
      
    where  is the transformed error. The error transformation function  satisfies the following properties
- (1)
 - is continuous, invertible, and strictly increasing
 - (2)
 - (3)
 
By virtue of the transformation function’s properties, the inequality constraint Equation (17) can be satisfied as long as  remains bounded. The error transformation function is defined as
      
        
      
      
      
      
    
From Equation (19), we derive
      
        
      
      
      
      
    
For all , if  remains a bounded function, the system tracking error e is guaranteed to stay within the prescribed performance boundaries, meeting the specified performance requirements. Consequently, the final error  will be constrained within the following range
      
        
      
      
      
      
    
3. Design of Guidance Law
This section details the design of the proposed cooperative guidance law with prescribed performance constraints. The Sliding Mode Control (SMC) framework is chosen for its well-known robustness to model uncertainties and disturbances []. To specifically address the issue of command chattering and oscillation highlighted in the introduction, the Prescribed Performance Control (PPC) methodology is integrated. This fusion creates a dual-loop strategy: the PPC layer guarantees predefined transient performance (e.g., convergence rate, overshoot) of key coordination errors, while the SMC layer ensures robust tracking of the transformed error dynamics. This combination aims to suppress the traditional chattering of SMC while quantitatively constraining the system’s transient response, which is a significant advantage over conventional finite-time or optimal guidance laws [,] that may exhibit undesirable oscillations.
3.1. LOS Direction Guidance Law Design
The consistency-based relative distance error is defined according to the inter-vehicle communication topology. A sliding surface is constructed based on the relative distance error and its derivative. To enforce performance constraints on the sliding surface, an error transformation is applied. Meanwhile, to ensure the boundedness of the transformed error, a Lyapunov function is formulated based on the transformed error, and its derivative is designed to derive the guidance command. Additionally, to address unknown disturbances caused by target maneuvers, a non-homogeneous disturbance observer is designed for estimation and dynamically compensates for the disturbances in the guidance command.
Based on the multi-vehicle cooperative guidance model, the guidance model in the LOS direction is selected as
      
        
      
      
      
      
    
In the LOS direction, the relative distance ri between the i-th interceptor and the target is selected as the coordination variable. The relative distance error between the i-th and j-th interceptors is defined as
      
        
      
      
      
      
    
        where  and ,  denotes the relative angular distance between the jth interceptor and the target. To achieve convergence of all  to zero, based on interceptor communication, the consensus relative distance error is defined as
      
        
      
      
      
      
    
        where  is the number of neighbors for the -th interceptor, and  is the communication weight coefficient. Taking the first and second derivatives of (24) and substituting them into (22) yields
      
        
      
      
      
      
    
      
        
      
      
      
      
    
        where ,  is the LOS direction guidance command for the -th interceptor, and  is the target acceleration component relative to the -th interceptor in the LOS direction. Based on the consensus relative distance error and its derivative, the sliding surface is designed as
      
        
      
      
      
      
    
Differentiating and substituting into (25) and (26) yields
      
        
      
      
      
      
    
        where  and satisfy Hurwitz stability. Defining the tracking error as , where . To constrain the tracking error within the prescribed performance bounds, the tracking error is transformed using a prescribed performance function (PPF) combined with an error transformation function, resulting in the transformed error as follows
      
        
      
      
      
      
    
Taking the derivative of the above yields
      
        
      
      
      
      
    
Analysis of Equation (29) shows that if  is bounded, the tracking error  satisfies the performance boundary constraint. Otherwise, the error will exceed the performance envelope, failing to achieve dynamic constraints on the tracking error . Based on this, to ensure  is non-singular and indirectly constrain error  within the performance function  envelope, the following Lyapunov function is constructed as
      
        
      
      
      
      
    
Taking the derivative yields
      
        
      
      
      
      
    
According to the Lyapunov stability theorem, the derivative of the Lyapunov function is designed as
      
        
      
      
      
      
    
        where . Combining Equations (32) and (33) yields
      
        
      
      
      
      
    
By integrating Equations (28), (30), and (34), the LOS direction guidance law is derived as
      
        
      
      
      
      
    
For the disturbance  in the LOS direction caused by target maneuvers in system Equation (22), a non-homogeneous disturbance observer is designed in the following form to estimate the target acceleration component and compensate it into the guidance command, enhancing the guidance system’s precision and anti-interference capability.
      
        
      
      
      
      
    
        where ,  are positive constants, and  is the estimated value of . The NHDO offers finite-time convergence and robustness to time-varying disturbances due to its nonlinear gain term. It is tailored to target maneuvers by estimating the aggregated disturbance without requiring explicit model knowledge.
Theorem 1. 
In the two-dimensional plane, for the LOS direction system Equation (22), the guidance law in Equation (35) can achieve convergence of the sliding surface to zero, enabling simultaneous target engagement.
Proof of Theorem 1. 
Construct the following Lyapunov function, 
      
        
      
      
      
      
     where  is positive definite, and  if and only if . Taking the derivative of (37) yields
		  
      
        
      
      
      
      
    
Substituting into (28) yields
		  
      
        
      
      
      
      
    
By integrating the composite guidance command (35), we obtain
		  
      
        
      
      
      
      
    
Define the estimation error: . From the disturbance observer Equation (36), we know that  converges to zero in finite time. Therefore, after finite time T,  ( is small positive constant), where  can be made arbitrarily small by proper observer parameter selection. So, Equation (40) can be simplified to
		  
      
        
      
      
      
      
    
From Equation (34), we have . This is a first-order linear differential equation, whose solution is . Since , it is evident that  is globally exponentially stable and thus bounded for all . Since  is bounded and the error transformation function  is smooth, strictly monotonic, the original tracking error  is guaranteed to satisfy the inequality Equation (17) constraint for all t ≥ 0, as per the properties of the prescribed performance control. Therefore, it satisfies . When ,  holds, thus ; when ,  holds, thus . In summary,  is guaranteed. Considering the performance function , we have . Since  is monotonically decreasing, , hence . Therefore, when  and 
      
        
      
      
      
      
    
Therefore, the system is able to converge and stabilize on the sliding surface. When the system reaches the sliding surface the following equation holds true:
		  
      
        
      
      
      
      
    
From Equation (43), we obtain ,where . The relative distance error in consistency  and the relative velocity error in consistency  shall converge exponentially to zero. This enables synchronized engagement. This completes the proof of Theorem 1. □
3.2. Normal LOS Guidance Law Design
The guidance law is designed based on the zeroing LOS angular rate principle to satisfy terminal LOS angle constraints. First, the desired LOS angles are specified for each vehicle, and the LOS angle errors are calculated. A sliding surface is then constructed using these angle errors and their derivatives. Based on the sliding surface, the angle tracking error is designed and transformed through an error transformation function to obtain the transformed error. A Lyapunov function and its derivative are formulated to derive the normal-direction guidance command. For disturbances caused by target maneuvers in the system, the aforementioned non-homogeneous disturbance observer is employed for estimation and compensation.
Based on the guidance model established in (13), the cooperative guidance model in the normal LOS direction is selected as
      
        
      
      
      
      
    
The error variables  and its derivative  are chosen to construct the normal LOS sliding surface, and
      
        
      
      
      
      
    
Taking the derivative of the above and substituting (44) yields
      
        
      
      
      
      
    
Here,  and satisfy Hurwitz stability. According to sliding mode control theory, when the sliding surface , the error  and its derivative  will converge to zero. For the sliding surface , the error variable , where  is similarly defined. Using the error transformation function, we obtain
      
        
      
      
      
      
    
Taking the derivative of the above gives
      
        
      
      
      
      
    
To ensure the boundedness of the transformed error , a Lyapunov function is constructed as
      
        
      
      
      
      
    
Taking the derivative yields
      
        
      
      
      
      
    
According to Lyapunov stability theory, its derivative is designed as
      
        
      
      
      
      
    
Combining Equations (50) and (51) gives
      
        
      
      
      
      
    
By integrating Equations (46), (48) and (52), the normal LOS guidance command is obtained as
      
        
      
      
      
      
    
For the disturbance  in the normal LOS direction caused by target maneuvers in system Equation (44), the same non-homogeneous disturbance observer is employed for estimation, with its specific form given as follows
      
        
      
      
      
      
    
Theorem 2. 
Under the guidance command Equation (53), system Equation (44) enables all interceptors to satisfy terminal LOS angle constraints while driving the terminal LOS angular rate to zero.
Proof of Theorem 2. 
Construct the Lyapunov function
          
      
        
      
      
      
      
    
Taking the derivative yields
		  
      
        
      
      
      
      
    
By combining Equation (46) and substituting the guidance command Equation (53), we obtain
		  
      
        
      
      
      
      
    
Similarly, define the estimation error: , from the disturbance observer Equation (54), we know that  converges to zero in finite time. Therefore, after finite time T,  ( is small positive constant). So Equation (57) can be simplified to
		  
      
        
      
      
      
      
    
Similar to the proof process of the aforementioned theorem, from the boundedness of , we obtain . When  and , we obtain
		  
      
        
      
      
      
      
    
The slip surface Equation (45) may converge stably towards zero, at which point the following equation holds:
          
      
        
      
      
      
      
    
It follows that , where . Therefore, the viewing angle error and viewing angle change rate will gradually stabilise and approach zero exponentially, thereby achieving terminal viewing angle constraints. The proof of Theorem 2 is hereby complete. □
4. Simulation Verification
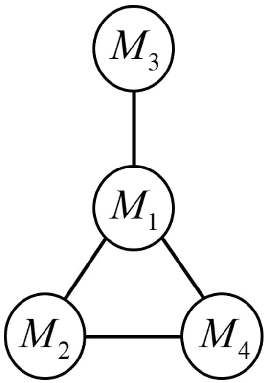
The effectiveness of the preset performance control cooperative guidance (PPCCG) guidance law designed in this paper was verified through simulations, particularly focusing on addressing the chattering and oscillation issues in guidance commands during cooperative engagement with high-speed maneuvering platforms. Simulations were conducted in which the target performs both S-maneuvers and circular maneuvers, with the results compared against the cooperative guidance law proposed in []. The S-maneuver represents a high-frequency, abrupt evasion tactic, while the circular maneuver tests the system’s response to a sustained, high-g turn [,]. These scenarios are challenging and standard for evaluating guidance performance against maneuvering platforms. The simulation scenario involved four cooperative Vehicles engaging a high-speed maneuvering target, with acceleration limits set at 10g along the LOS direction and 40g in the normal direction (where g = 9.81 m/s2). The simulation step size was configured as 1ms, and the simulation terminated when all vehicle-target relative distances simultaneously became less than 1m. The communication topology among the interceptors is shown in Figure 2.
      
    
    Figure 2.
      Multi-vehicle communication topology.
  
Their communication weight coefficient matrix and Laplacian matrix are defined as
	  
      
        
      
      
      
      
    
The target’s initial position is (20, 20) km with a velocity of 1500 m/s and a path angle of −150°. The initial simulation conditions for the interceptors are shown in Table 1, while the guidance command and observer parameters are presented in Table 2.
       
    
    Table 1.
    Initial conditions for each aircraft.
  
       
    
    Table 2.
    Guidance commands and observer parameters.
  
Parameter Selection Guide: The parameters in Table 2 were determined through extensive simulation studies to achieve an optimal balance between convergence speed, control stability, and robustness. The sliding mode gains  were adjusted to ensure rapid convergence without inducing excessive control actions and  affect the sliding surface dynamics, where larger values accelerate error convergence but require higher control effort. Performance function parameters define the transient envelope, where  is determined by the magnitude of the initial error,  specifies the desired terminal accuracy, and  governs the convergence speed of the performance function. The parameters of the non-homogeneous disturbance observer (such as  and ) were initially selected based on finite-time stability theory, with their final values determined through numerical optimisation. Increasing  and  enhances the observer’s convergence speed, though excessively large values may induce oscillations in the presence of measurement noise. The parameter set selected in this paper enables the observer to converge rapidly to values close to the true target acceleration within approximately 2 s (as shown in Figure 3), whilst maintaining estimation stability throughout the entire trajectory.
      
    
    Figure 3.
      Target acceleration observation value.
  
Parameter Sensitivity Discussion: Although no large-scale parameter perturbation Monte Carlo simulations were conducted, we observed during parameter selection that the proposed guidance law exhibits good robustness within the neighborhoods of the parameters listed in Table 2. System performance metrics (such as miss distance and engagement time) are insensitive to small variations in these parameters. For instance, when  and sliding surface parameters  and  varied within ±30%, the guidance law still successfully completed the cooperative guidance tasks. Miss distance fluctuations remained within ±0.2 m, line-of-sight angle errors varied within ±0.35 degrees, and command curves remained smooth. This indicates that the method’s performance does not depend on an extremely stringent set of parameters. Future research will focus on in-depth parameter sensitivity analysis and optimization.
Scenario 1. 
  
    
        
       
    
  
  
  
    
      
      
    
  
  
The target performs S-maneuver with  , and the simulation results are shown in Table 3 and Figure 3 and Figure 4.
       
    
    Table 3.
    Simulation results of scene 1.
  

      
    
    Figure 4.
      Simulation Results of Scenario 1.
  
Table 3 demonstrates that all four interceptors achieved miss distances within 0.12 m, LOS angle errors below 0.17°, and identical engagement times of 9.672 s, indicating excellent guidance performance. A rigorous quantitative performance evaluation of the designed non-homogeneous disturbance observer was conducted. Simulation results shown in Figure 3 demonstrate that the observer’s efficacy in estimating the time-varying target maneuver . The observer in the LOS normal (angle) channel exhibited superior rapidity with a convergence time of 0.5 s; the convergence time for the LOS direction (range) channel was 2.0 s. After convergence, the steady-state maximum absolute error was below 0.5 m/s2 with a steady-state RMSE below 0.3 m/s2 for the range channel. For the normal channel, the steady-state maximum absolute error was below 0.15 m/s2 with a steady-state RMSE below 0.1 m/s2. Compared to the target’s maximum maneuver acceleration of 98.1 m/s2, the steady-state estimation achieved relative accuracies of 99.49% and 99.85% for the range and normal channels, respectively. Figure 4a,b confirm that the PPCCG law successfully achieved time- and angle-cooperative engagement, enabling simultaneous target engagement with terminal LOS angle constraints. Figure 4c,d reveal that both the LOS axial and normal sliding surfaces converged asymptotically near steady-state values and eventually approached zero under prescribed performance bounds, realizing zero-error synchronized engagement of the maneuvering target. Figure 4e,f illustrate that the LOS angles converged to their desired values with terminal LOS angular rates approaching zero, satisfying spatial angle constraints. The saturation observed in the normal acceleration command (Figure 4f) is due to initial large errors and will be addressed in future work through parameter optimization and performance function refinement. The guidance command curves in Figure 4g,h show transient saturation during the initial phase due to varying interceptor positions and relatively large estimation errors in the observer. As the observer’s estimates converged to the target’s true acceleration, the saturation diminished. The persistent saturation observed in the normal acceleration command (Figure 4h) is attributed to the significant initial LOS angle error, which necessitates the use of maximum available control effort for rapid convergence to meet the terminal angle constraint. This initial demand can lead to transient command variations.
Scenario 2. 
Target executes circular maneuver with .
To fully validate the superiority of the proposed PPCCG, this section conducts a comparative analysis with the finite-time cooperative guidance law proposed in the existing representative method []. To ensure fairness in the comparison, all simulation conditions—including target manoeuvre patterns, vehicle initial states, and communication topologies—were maintained in complete consistency. The simulation results are presented in Table 4 and Table 5, and Figure 5.
       
    
    Table 4.
    PPCCG simulation results.
  
       
    
    Table 5.
    Simulation results of Literature [].
  

      
    
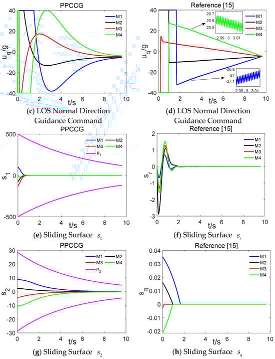
    Figure 5.
      Simulation Results of Scenario 2 [].
  
Table 4 and Table 5 present the terminal performance metrics for both methods. It is evident that both the PPCCG law and FTCG law achieve cooperative engagement, with off-target quantities below 0.03 metres and terminal angular errors below 0.18°. Their time-of-arrival consistency indicates comparable terminal steady-state accuracy. However, significant differences exist in their dynamic performance, particularly concerning guidance command quality. Figure 5a–h present a side-by-side comparison of the simulation results for both methods. As illustrated in Figure 5b,d, the guidance commands generated by the FTCG law (right panel) exhibit severe high-frequency chattering throughout the entire trajectory, representing an inherent drawback common to conventional sliding-mode control. Such chattering necessitates frequent actuator system operations, leading to accelerated equipment wear, increased energy consumption, and the potential excitation of unmodelled dynamics in practical engineering applications, thereby compromising vehicle stability. In contrast, the PPCCG law proposed herein (left panel) generates exceptionally smooth and continuous commands, entirely eliminating such chattering. This stems from the precise constraints imposed by the preset performance control on the system’s state convergence process, fundamentally smoothing the control signal. Comparing the sliding surface convergence curves in Figure 5e–h, it is evident that the sliding surface of the FTCG law exhibits overshoot and exhibits abrupt changes during convergence, lacking smoothness. In contrast, the sliding surface of the PPCCG law (left figure) converges asymptotically to zero without overshoot or oscillations under the constraints of the preset performance function, demonstrating superior transient performance.
In summary, comparative analysis demonstrates that the core advantage of the proposed PPCCG law lies in its exceptional transient performance: it not only eliminates the inherent command chattering associated with traditional sliding mode control, ensuring smoothness of the guidance command, but also achieves convergence of the cooperative error without overshoot or oscillation through preset performance control. Furthermore, the accompanying non-homogeneous disturbance observer has been quantitatively validated to possess high accuracy and rapid convergence capabilities, providing crucial support for system robustness. Consequently, this research offers an effective solution for addressing command jitter and transient performance control issues in cooperative guidance, significantly enhancing the overall performance and engineering applicability of guidance systems.
5. Conclusions
This paper has addressed the prevalent issues of chattering and oscillation in cooperative guidance commands by proposing a novel multi-vehicle sliding mode cooperative guidance law with prescribed performance constraints for engaging high-speed maneuvering platforms. The method combines prescribed performance control theory with conventional sliding mode control, effectively integrating the transient constraint advantages of prescribed performance control with the strong robustness of sliding mode control. This approach successfully suppresses traditional sliding mode chattering while enhancing the robustness of the system’s dynamic response, with additional quantifiable constraint indicators specifically designed for cooperative guidance dynamic performance. Furthermore, the introduction of a non-homogeneous disturbance observer to estimate unknown target maneuver information further ensures guidance accuracy. Numerical simulations validate the effectiveness of the proposed method, demonstrating its ability to eliminate guidance command chattering and oscillation during multi-vehicle cooperative engagement, significantly improving transient performance and better meeting practical engineering requirements for stability and real-time operation.
The research presented herein is based on a two-dimensional plane, providing a clear framework for theoretical analysis and method design. However, actual cooperative engagement tasks are inherently three-dimensional spatial problems. Extending the proposed guidance law to three-dimensional space is a direct and crucial direction for future research. In 3D scenarios, it is necessary to establish a comprehensive vehicle-target relative motion model incorporating both pitch and yaw channels. The PPC-SMC fusion framework designed herein exhibits strong scalability: the consistent coordination concept for the line-of-sight (LOS) direction can be extended to relative distance coordination in 3D space, while LOS-normal angular control necessitates decomposition into pitch and yaw channel-specific line-of-sight angular rate control. Key challenges will lie in addressing channel coupling effects, designing communication topologies for three-dimensional space, and optimising performance function parameters to accommodate more complex dynamic characteristics. Our proposed non-homogeneous disturbance observer is equally applicable for estimating target manoeuvres in three-dimensional space, laying the foundation for addressing more intricate engagement scenarios.
Despite the promising results, this study has certain limitations that point to important directions for future research. The simulation analyses were conducted under ideal conditions, assuming perfect state measurements and accurate model knowledge. The robustness of the proposed guidance law, particularly the non-homogeneous disturbance observer, to practical challenges such as sensor noise, model parameter uncertainties, and communication delays, has not been quantitatively assessed. A comprehensive investigation into the system’s performance under these non-ideal conditions is essential to further validate its practical applicability.
Future work will primarily focus on the following aspects:
- Extending the proposed guidance law to three-dimensional space;
 - Researching distributed collaborative guidance laws under non-ideal conditions such as communication delay and packet loss;
 - Incorporating sensor noise models and conducting a rigorous robustness analysis to evaluate performance degradation under measurement uncertainty;
 - Real-time validation on an embedded hardware-in-the-loop (HIL) simulation platform.
 - Future work will include parameter optimization to mitigate command saturation.
 
Author Contributions
Conceptualization, F.Y. and J.Y.; methodology, F.Y. and X.X.; software, F.Y. and R.L.; validation, F.Y. and L.S.; formal analysis, F.Y.; investigation, F.Y.; resources, F.Y.; data curation, F.Y.; writing—original draft preparation, F.Y.; writing—review and editing, F.Y.; visualization, F.Y.; supervision, F.Y.; project administration, L.S.; funding acquisition, L.S. All authors have read and agreed to the published version of the manuscript.
Funding
This research was funded by the National Natural Science Foundation of China grant number 62173339, and the APC was funded by L.S.
Data Availability Statement
The data presented in this study are available on request from the corresponding author. The data are not publicly available due to privacy.
Conflicts of Interest
The authors declare no conflicts of interest.
References
- Ding, Y.; Yue, X.; Chen, G.; Si, J. Review of control and guidance technology on hypersonic vehicle. Chin. J. Aeronaut. 2022, 35, 1–18. [Google Scholar] [CrossRef]
 - Liu, S.; Yan, B.; Huang, W.; Zhang, X.; Yan, J. Current status and prospects of terminal guidance laws for intercepting hypersonic vehicles in near space: A review. J. Zhejiang Univ. Sci. A 2023, 24, 387–403. [Google Scholar] [CrossRef]
 - Da, Z.; Kexin, L.; Guofei, L. Recent advances of cooperative guidance under multiple constraints. Nanjing Xinxi Gongcheng Daxue Xuebao 2020, 12, 530–539. [Google Scholar]
 - Huang, H.; Zhao, X.; Zhang, X. Intelligent guidance and control methods for missile swarm. Comput. Intell. Neurosci. 2022, 2022, 8235148. [Google Scholar] [CrossRef]
 - Jeon, I.-S.; Lee, J.-I.; Tahk, M.-J. Impact-time-control guidance law for anti-ship missiles. IEEE Trans. Control Syst. Technol. 2006, 14, 260–266. [Google Scholar] [CrossRef]
 - Jiang, Z.; Ge, J.; Xu, Q.; Yang, T. Impact time control cooperative guidance law design based on modified proportional navigation. Aerospace 2021, 8, 231. [Google Scholar] [CrossRef]
 - Jin, P.; Li, Y.; Qi, G.; Sheng, A. Cooperative Guidance Law for Unified Angle and Angle Range Attack Based on Prescribed-Time Consensus. Int. J. Aeronaut. Space Sci. 2025, 1–14. [Google Scholar] [CrossRef]
 - Jiang, Z.; Ge, J.; Xu, Q.; Yang, T. Terminal Impact Time Control Cooperative Guidance Law for UAVs under Time-Varying Velocity. Drones 2021, 5, 100. [Google Scholar] [CrossRef]
 - Wang, C.; Dong, W.; Wang, J.; Shan, J. Nonlinear suboptimal guidance law with impact angle constraint: An SDRE-based approach. IEEE Trans. Aerosp. Electron. Syst. 2020, 56, 4831–4840. [Google Scholar] [CrossRef]
 - Li, Q.; Yan, T.; Gao, M.; Fan, Y.; Yan, J. Optimal cooperative guidance strategies for aircraft defense with impact angle constraints. Aerospace 2022, 9, 710. [Google Scholar] [CrossRef]
 - Liu, S.; Yan, B.; Liu, R.; Dai, P.; Yan, J.; Xin, G. Cooperative guidance law for intercepting a hypersonic target with impact angle constraint. Aeronaut. J. 2022, 126, 1026–1044. [Google Scholar] [CrossRef]
 - Tan, M.; Shen, H. Three-dimensional cooperative game guidance law for a leader Cfollower system with impact angles constraint. IEEE Trans. Aerosp. Electron. Syst. 2023, 60, 405–420. [Google Scholar] [CrossRef]
 - Dong, W.; Wang, C.; Wang, J.; Zuo, Z.; Shan, J. Fixed-time terminal angle-constrained cooperative guidance law against maneuvering target. IEEE Trans. Aerosp. Electron. Syst. 2021, 58, 1352–1366. [Google Scholar] [CrossRef]
 - Chen, Z.; Chen, W.; Liu, X.; Cheng, J. Three-dimensional fixed-time robust cooperative guidance law for simultaneous attack with impact angle constraint. Aerosp. Sci. Technol. 2021, 110, 106523. [Google Scholar] [CrossRef]
 - Zhang, S.; Guo, Y.; Liu, Z.; Wang, S.; Hu, X. Finite-time cooperative guidance strategy for impact angle and time control. IEEE Trans. Aerosp. Electron. Syst. 2020, 57, 806–819. [Google Scholar] [CrossRef]
 - Li, Y.; Zhu, M.; An, B.; Zhi, Y.; Liu, L.; Fan, H.; Wang, B. Three-dimensional cooperative guidance laws with impact velocity and impact angles constraints. Aerosp. Sci. Technol. 2025, 159, 109997. [Google Scholar] [CrossRef]
 - Zhang, D.; Yu, H.; Dai, K.; Yi, W.; Zhang, H.; Guan, J.; Yuan, S. Three-Dimensional Event-Triggered Predefined-Time Cooperative Guidance Law. Aerospace 2024, 11, 999. [Google Scholar] [CrossRef]
 - Chen, X.; Zhao, H.; Wang, F.; Zhen, S.; Fang, J. Cooperative working performance of a dual-arm robot system optimised by a neural network adaptive preset control. Int. J. Sens. Netw. 2024, 45, 54–65. [Google Scholar] [CrossRef]
 - Ghanooni, P.; Habibi, H.; Yazdani, A.; Wang, H.; MahmoudZadeh, S.; Ferrara, A. Prescribed performance control of a robotic manipulator with unknown control gain and assigned settling time. ISA Trans. 2024, 145, 330–354. [Google Scholar] [CrossRef] [PubMed]
 - Sui, J.; Niu, B.; Ou, Y.; Zhao, X.; Wang, D. Event-triggered adaptive finite-time control for a robotic manipulator system with global prescribed performance and asymptotic tracking. IEEE Trans. Cybern. 2025, 55, 1045–1055. [Google Scholar] [CrossRef]
 - Yang, S.; Pang, H.; Liu, L.; Zheng, L.; Wang, L.; Liu, M. A RISE-based asymptotic prescribed performance trajectory tracking control of two-wheeled self-balancing mobile robot. Nonlinear Dyn. 2024, 112, 15327–15348. [Google Scholar] [CrossRef]
 - Dong, Z.; Bai, D.; Duan, Y.; Pan, S.; Wang, S.; Li, G. Robust Adaptive Prescribed Performance Control of Motor Servo System with Input Dead-zone. Eng. Lett. 2024, 32, 1840. [Google Scholar]
 - Liang, Q.; Yang, Q.; Meng, W.; Li, Y. Adaptive finite time control for turbo generator of power systems with prescribed performance. Asian J. Control 2022, 24, 1597–1608. [Google Scholar] [CrossRef]
 - Tian, X.; Zhang, Z.; Zhou, H.; Chen, X.B. Neural network adaptive control for turbo generator of power systems with prescribed performance and unknown asymmetric actuator dead zone. Asian J. Control 2024, 26, 2167–2179. [Google Scholar] [CrossRef]
 - Zhao, J.; Huang, Y.; Zang, W. Optimal prescribed performance tracking control of nonlinear motor driven systems via adaptive dynamic programming. Asian J. Control 2023, 25, 4499–4511. [Google Scholar] [CrossRef]
 - Li, H.; Liu, Y.; Li, K.; Liang, Y.g. Analytical prescribed performance guidance with field-of-view and impact-angle constraints. J. Guid. Control Dyn. 2024, 47, 728–741. [Google Scholar] [CrossRef]
 - Shao, K.; Pan, Y. Design of Preset Performance Reverse Step Attitude Controller for Four-rotor UAV. Front. Comput. Intell. Syst. 2023, 4, 51–55. [Google Scholar] [CrossRef]
 - Shao, X.; Hu, Q.; Shi, Y. Adaptive pose control for spacecraft proximity operations with prescribed performance under spatial motion constraints. IEEE Trans. Control Syst. Technol. 2020, 29, 1405–1419. [Google Scholar] [CrossRef]
 - Li, X.; Ye, J.; Zhou, C.; Tang, X. Prescribed performance guidance law with multiple constraints. Int. J. Aerosp. Eng. 2022, 2022, 5191568. [Google Scholar] [CrossRef]
 - Lyu, S.; Zhu, Z.H.; Tang, S.; Yan, X. Prescribed performance slide mode guidance law with terminal LOS angle constraint against Maneuvering platforms. Nonlinear Dyn. 2017, 88, 2101–2110. [Google Scholar] [CrossRef]
 - Mengchen, M.; Kai, Z.; Shenmin, S. Adaptive Sliding Mode Guidance Law with Prescribed Performance for Intercepting Maneuvering Target. Int. J. Innov. Comput. Inf. Control 2020, 16, 631–648. [Google Scholar]
 - Tang, Y.; Li, J.; Ye, J.; Bu, X.; Luo, C. Dynamic Event-Triggered Multi-Aircraft Collision Avoidance: A Reference Correction Method Based on APF-CBF. Aerospace 2025, 12, 803. [Google Scholar] [CrossRef]
 - Li, J.; Tang, Y.; Shao, L.; Bu, X.; Ye, J. Finite-Time RBFNN-Based Observer for Cooperative Multi-Missile Tracking Control Under Dynamic Event-Triggered Mechanism. Aerospace 2025, 12, 693. [Google Scholar] [CrossRef]
 
Disclaimer/Publisher’s Note: The statements, opinions and data contained in all publications are solely those of the individual author(s) and contributor(s) and not of MDPI and/or the editor(s). MDPI and/or the editor(s) disclaim responsibility for any injury to people or property resulting from any ideas, methods, instructions or products referred to in the content.  | 
© 2025 by the authors. Licensee MDPI, Basel, Switzerland. This article is an open access article distributed under the terms and conditions of the Creative Commons Attribution (CC BY) license (https://creativecommons.org/licenses/by/4.0/).