You are currently viewing a new version of our website. To view the old version click .
Aerospace
  • Article
  • Open Access

30 December 2024

Evaluation of Turbojet Engine with Water Injection for Aircraft Use as Controlled Object

and
Faculty of Electrical Engineering, University of Craiova, 200585 Craiova, Romania
*
Author to whom correspondence should be addressed.
This article belongs to the Special Issue Advances in Thermal Fluid, Dynamics and Control

Abstract

This study addresses an under-represented topic in turbojets’ design—the characterizing of this type of engine as an entity subject to automatic control. This study’s subject is a medium-size turbojet, improved with a water injection system for thrust augmentation, and evaluated as a controlled object. The method of coolant injection in the compressor and/or in the combustion chamber of the aviation engine has been intensively studied and applied for the temporary increase in thrust. After a period of abandonment, the method seems to be returning in a version that also produces a reduction in pollutant emissions. Starting from determining turbojet performances on the test rig and establishing the equations that define the turbojet as a system, the mathematical model for both versions (basic and with a water injection) was issued. In order to correlate the basic engine operation with the water injection, a version of control architecture was designed, containing two controllers (for engine’s speed and for the injected water flow rate). An embedded control system was described by its mathematical model; based on its equations, its block diagram with transfer functions was issued. The system’s quality was evaluated by performing studies that concern the turbojet’s main parameters (speed and combustor temperature) and time behavior (system response at step input), which led to some results and conclusions regarding how the water injection changed the properties of the engine as a controlled object: the engine has become slower with bigger static errors for the studied parameters (affecting the stabilization at their values imposed by the new operating regime). The proposed method, based on the characterization of the engine as a controlled object (with and without coolant injection), can be very useful as a method of predicting the behavior of any turbojet when the addition of coolant injection system is desired; obviously, the appropriate modeling of both the turbojet and the injection system is necessary.

1. Introduction

The aircraft gas turbine engine, since his invention in the third decade of the 20th century, has traveled a long and difficult road [1]. The principle of propulsion by reaction, first applied by Henri Coanda in 1910 to the construction of an original airplane model, aroused special interest at that time; the French engineer Maxime Guillaume submitted in 1921 a patent for a gas turbine engine, which was never manufactured because of the lack of experience regarding axial compressors. Turbojet’s success was really achieved only after the improvements brought by Sir Frank Whittle, at its early version in 1937; similar jet engines were proposed by Austrian engineer Anselm Franz and, few years later, by the German scientist and engineer Hans von Ohain, the “father” of the German first-to-fly turbojet. Some aeronautical history publications declare them as co-inventors of the turbojet engine.
Finally, after decades of studies, tests, achievements, successes, and also failures, the turbojet and the turboprop have won the battle against classic engines, not only due to their high efficiency, but also due to their reliability and ability to adapt to different operational requests of the airplane under increased safety conditions ([1,2,3]). The turbojet itself and also its much-improved derivative versions have become the main propulsion systems both for civil aviation (where airliners use high bypass turbofans) and for combat aviation (where high-performance turbojets and low-bypass turbofans are used, and sometimes enhanced with afterburning for supersonic flights).
Aircraft gas turbine engines must provide a wide range of predictable and repeatable thrust performance over the entire operating envelope of the aircraft, which can cover altitudes from the sea level (or lower) to the sub-orbital level, together with variations in flight speed, from take-off speed to high supersonic speed. These large speeds and altitude changes entail large variations in temperatures, pressures and flow rates, both along the engine, and the external flight conditions.
Keeping the same trend, the current efforts regarding the performance of turbojets are focused not only on increasing total thrust (and/or specific thrust) and decreasing fuel consumption but also on reducing the negative effects of their operation on the environment, such as polluting emissions and noise. Modern turbojets meet the high-thrust and low-fuel consumption requirements to a great extent, but they still have debts in terms of protecting the environment.
In fact, the most efficient turbojet’s thrust augmentation method is the afterburning, but, because of its significantly increased fuel consumption, it is also the most expensive ([1,3]); at the same time, additions to and specific changes in the engine architecture mean new additional costs, so the method can only be applied in perfectly justified cases.
Alternative thrust augmentation methods, based on exhaust gasses’ speed increasing as a consequence of turbine’s enthalpy drop decreasing, were also implemented; in fact, intensive thrust augmentation methods, as the coolant injection into engine’s compressor or/and combustor, were used, with significant results.
The subject of this study is a medium-size turbojet with a distilled water injection, characterized as a controlled object. This involves determining the mathematical model of both the basic engine and the one with the injection (provided with an injection controller) and evaluating its behavior in terms of settling times and static errors. The novelty element consists of the fact that a predictive study method (based on the time behavior evaluation) is established, which can be applied to other similar turbojets that want to apply the water injection method from the point of view of estimating its behavior (such as settling time and static errors). Obviously, the appropriate modeling of the new engine and of its controllers is necessary. The authors determined how the coolant injection modifies engine’s properties as a system subjected to automatic control; then, an embedded control system for the new engine’s architecture was designed and implemented, and, finally, its quality (its time behavior) was determined; the results were compared with those experimentally determined during the study.
After the introductory section (Section 1), the Section 2 of the paper presents the effects of coolant injection into the compressor and into the combustion chamber of a turbojet from thermo- and gas-dynamic points of view.
The Section 3 details the research methodology and contains the mathematical modeling of the studied turbojet in both versions (basic and with a water injection), as well as of the controllers (for the engine’s speed and for the water injection flow rate).
The Section 4 is reserved for the results and their discussions, being based on the study of the quality of the turbojet as a controlled object (its response to the step input) compared with those experimentally determined. Finally, conclusions are drawn.

2. Coolant Injection into the Jet Engine

2.1. Coolant Injection as Thrust Augmentation Method

Increasing the thrust of the turbojet implies either increasing the exhaust gas flow, or increasing the speed of these gasses, or both simultaneously ([1,2,3]). Increasing the exhaust gas flow, in fact, means increasing the cross-sectional size of the engine, which is an extensive, prohibited method. Increasing the exhaust gasses’ speed is a more accessible method; it means its kinetic energy increases or else the exhaust nozzle’s enthalpy drop increases. As long as the energy of the combustion chamber’s exhaust gasses remains the same, in order to increase the nozzle energy fraction, it is necessary to decrease the energy fraction associated with the turbine (which means the turbine’s enthalpy drop decreases) ([1,3]).
Decreasing the enthalpy drop of the turbine for the exhaust nozzle’s benefit means, in fact, decreasing the mechanical work required of the compressor, without changing its other parameters, which means an intensive method that is more appropriate, involving minimum constructive and operational changes. There are two currently preferred methods, as theoretically described in [1,3]:
(1)
The reduction in the air mass flow rate through the compressor, but keeping the same burned gasses’ mass flow rate through the turbine and exhaust nozzle. This is performed by injecting a coolant flow directly into engine’s combustion chamber, as presented in [3,4].
(2)
The reduction in compressor’s specific mechanical work, keeping the same value of its pressure ratio. This is performed by injecting a volatile coolant flow upstream of the compressor, in order to cool the air flow through the engine’s compressor, as presented in [3,5,6].
The injected fluid, generically called coolant (due to the cooling effect of the fluid flow through the engine) may have various chemical compositions; it can be simply distilled (demineralized) water, ammonia, alcohol for technical use, methanol, or a kind of mixture of them (water–alcohol, water–ammonia, etc.). Whatever the composition, the fluid must be as volatile as possible and able to mix intimately in the air/burned gasses’ flow of the engine.
Mixing the coolant with the air flow or with the flow of combustion gasses involves several changes, both physical, chemical, and thermodynamic, which will have effects (not necessarily all beneficial) on the behavior of the engine ([3,7,8]).
The coolant injection into the engine, as a method of temporarily increasing thrust, has been developed since the sixth decade of the last century; studies on the effects of water injection into the turboengine, or of other coolants (such as water–ammonia or water–methanol mixtures), have been performed in propulsion laboratories (such as those presented in [4,5,6]) and have highlighted the influence on engines’ performances.
Each of the above-mentioned methods has advantages and disadvantages. These have been highlighted in various studies and publications, such as in [9,10], where the misting of conditioned water before the engine compressor was described, as well as the effects on its performance.
The improvements brought in the behavior and performance of aircraft jet engines, in terms of thrust ( F ) and fuel consumption ( c s p ), were experimentally determined or estimated, as shown in Figure 1. These improvements have made the above-mentioned methods suitable to be extended to naval engines, derived from aviation engines; so, water-augmented turboengines for naval use were described and evaluated in [11,12].
Figure 1. Jet engine with coolant injection performance increase versus coolant injection fraction ( ξ l ) for turbojet engine ( T 3 = 1200 K, π c 0 = 8 ): (a) coolant injection in front of engine’s compressor and (b) coolant injection into engine’s combustion chamber [3].
The graphs in Figure 1 show, however, optimistic evaluations of the ratios between the performance with the injection ( F i and c s p i ) and the performance of the basic engine, considering the injection fraction (the ratio between the injected coolant flow rate Q l and the air flow rate Q a : ξ l = Q l Q a ) as having very wide ranges of variation (until 5%, and even 7% of the air mass flow rate). In fact, in the current applications, the limits of these intervals are much narrower and, consequently, the performance increase values are obviously lower.
Nevertheless, the continuous progress of knowledge and the quality of materials and technologies used for the design and manufacture of jet engines have gradually sent the coolant injection methods to increase thrust into oblivion, or to have limited uses (for old, refurbished engines or for small engines, where other methods cannot be applied).
However, despite the reduction in the use of these methods, other benefits that they bring have been identified, which led to the revision and restoration of these methods. Thus, reductions in pollutant emissions in exhaust gasses from water-enhanced turboengines for industrial use were identified, as shown in early studies ([13,14]); more recent studies [15] have identified more benefits, not only for exhaust nozzle’s NOx concentration reduction during take-off but also for longer engine life and reduced operator costs.
Moreover, attempts have been made to improve the performance of jet engines for supersonic flight speeds using the combined injection of water and oxygen [16]. At the same time, possibilities of implementing coolant injection methods in civil aircraft engines (such as Boeing-747) ([17,18]), as well as prospects for improving the type of coolant and fuels that can be used in the future ([19,20]), were studied.
Innovative methods of using water/steam injection, with moisture recovery through condensation, as methods of thrust augmentation and pollutant emission reduction were presented in [18,21]; a completely new idea, the WET (water-enhanced turbofan), involving major constructive modification of the airplane’s wing and engines’ nacelles, was emphasized in [21,22], together with the prediction of the environmental impact.
The implementation of injection methods, either in the compressor or in the combustion chamber of the engine (for temporary thrust augmentation, such as required for takeoff and climb), brings important changes regarding both the operation and, especially, the engine control possibilities.

2.2. Coolant Injection into the Compressor

The cooling fluid injection into the compressor consists, in fact, of its spraying (or misting) in front of the compressor (or at its first stage), in order to assure an appropriate intimate mixing with the air flow; consequently, during the passage of the mixture through the compressor, the volatilization of the coolant ensures the extraction from the air of a significant amount of heat.
As long as the air flow is compressed through a thermodynamic evolution considered adiabatically irreversible (having its adiabatic exponent χ = 1.4 ), the air undergoes an important increase in temperature (enthalpy). Coolant vaporizing extracts a significant fraction of the compression heat and the compressed air becomes cooler, while the air compression evolution is converted into a polytropic-one (of exponent a i , obviously smaller than 1.4); consequently, the air mass flow rate increases, while its volume flow rate is kept constant, and the necessary compression mechanical work becomes proportionally smaller, while the turbine’s mechanical work remains the same. In Figure 2, the compression evolution conversion is depicted.
Figure 2. Changes in compression evolution due to fluid injection upstream of compressor [3].
Remark 1. 
According to Figure 2, due to the necessary mechanical work reduction, the final total pressure of the compressor increases, so the pressure ratio increases too, which means the pressure ratio due to the coolant injection becomes π c i > π c . At the same time, the work line of the compressor position (on its characteristic chart) is modified, becoming much closer to the surge line.
The extracted heat, G i , is calculated as follows:
G i = Q l r f ,
where Q l is the injection (coolant) flow rate, and r f is the coolant’s latent heat of vaporization.
For the extracted specific heat (highlighted in Figure 2), one obtains the following equation:
g i = G i Q a = Q l Q a r f = ξ l r f ,
The new polytropic compression evolution may use the same mechanical work as the former adiabatic evolution, so the obtained equation is as follows:
i 1 a i a i 1 π c i a i 1 a i 1 = i 1 π c χ 1 χ 1 η c g i = i 1 π c χ 1 χ 1 η c ξ l r f ,
where i 1 * is air’s specific enthalpy in front of the compressor, while η c is the compressor’s efficiency. This equation allows determining the relationship between the injection fraction (implicitly, the coolant flow rate) and the polytropic exponent of the new compression evolution; the variation curves are shown in Figure 3 for different pressure ratio values. The bigger the coolant fluid flow rate and its fraction, the lower the polytropic exponent is; its value tends to be 1, which means that the limit evolution is the isothermic one (where the polytropic exponent becomes equal to 1), which is extremely difficult to be achieved, practically impossible.
Figure 3. Compression evolution’s polytropic exponent versus coolant injection fraction.
The new value of the pressure ratio, considering the new evolution, becomes the following:
π c i = 1 + a i 1 a i χ χ 1 π c χ 1 χ 1 η C a i a i 1 .
The injection fraction (as stated in [4,7,9]) has limited values, at (3 ÷ 4) % for centrifugal compressors and at (4 ÷ 7) % for axial compressors. The temperature drop is acceptable, but the NOx reduction level reaches only 50%. A lower temperature of the air flow delivered to the combustion chamber means more necessary injected fuel, in order to achieve the desired temperature for the burned gasses’ flow ( T 3 * ); consequently, the fuel consumption increases, as shown by the curve for c s p in Figure 1a.
Remark 2. 
If the coolant is not a neutral fluid, but a combustible one (such as methanol), the fuel consumption increases less, or it might be decreasing. The combustible coolant mixed with air burns itself inside the combustion chamber, completing to a lesser or greater extent the heat deficit needed to be covered by burning an additional amount of fuel. The exact balance of the fuel consumption can be assessed only if the composition and thermal properties of the coolant are accurately known.

2.3. Engine’s Working Fluid Mass Flow Rate

The engine’s working fluid changes along the engine, both qualitatively (air is breathed in and burned gasses’ mixtures are exhausted) and quantitatively (because of both fuel and coolant injection, as well as the possible air bleedings for specific purposes).
For the basic engine, without a coolant injection, the burned gasses’ mass flow rate Q g (exhausted by engine’s nozzle) is given by the following:
Q g = Q a + Q c Q p r ,
where Q p r is the bleed air mass flow rate, and Q c is the fuel mass flow rate. As long as the bleed air fraction ξ p r = Q p r Q a has very close values to the injected fuel fraction ξ c = Q c Q a , one may consider with sufficient accuracy that
Q g Q a .
As long as most of jet engines in use today have critical flow in their turbines (as stated in [1,3,8]), their flow parameters should remain constant, even if the coolant is injected into the compressor. So, the condition Q g T 3 p 3 = i d e m for the turbine flow (similitude parameter’s constant value) leads to
Q g T 3 p 3 = Q a T 3 σ C A p 2 = Q a i T 3 σ C A p 2 i ,
where p 3 is the burned gas pressure inside the combustor and in front of the turbine (proportional to p 2 the air pressure after the compressor, p 3 = σ C A p 2 ), σ C A is the combustor’s total pressure ratio, and p 2 i is the air pressure after the compressor when the coolant injection is active. The last two terms of the above-presented expression give the following:
Q a i = Q a p 2 i p 2 = Q a p 2 i p 1 p 2 p 1 = π c i π c Q a .
Consequently, the mass flow rate through the exhaust nozzle when the coolant injection is active becomes the following:
Q g i = Q a i + Q l = π c i π c Q a + Q l .

2.4. Coolant Injection into the Combustion Chamber

The other thrust augmentation method is simpler than the previous one, but a little more dangerous. The coolant injection is accomplished by a specific system positioned in the initial zone of the burner can, with sprinkle(s) mounted near its fuel injector (sometimes mounted in a common pipe). It assures a burner can’s wall supplementary cooling, and it also facilitates the mixing of the vaporized coolant into the burned gasses.
The additional danger refers to the possibility of failure of the injection system (excessive injection) with the unfortunate consequence of extinguishing the flame and, therefore, stopping the engine.
Combustor injection could achieve up to 90% NOx reduction and offer few implementation challenges as it has been used in aero-derivative industrial engines for over 30 years [7]; some industrial applications use heat extraction to improve the efficiency of gas turbine-based power plants, as described in [23].
If the compressor’s air mass flow rate exceeds the necessary air flow for the combustion chamber and it cannot be processed inside, the excess air is either discharged (into the atmosphere or bypassed into the burned gasses’ flow), or taken over by an additional combustion chamber attached to the engine, having its own exhaust nozzle. The last option assumes an important engine modification, in order to assure the fuel flow rate for the new combustor and, obviously, the presence of a supplementary fuel controller, as studied and presented in [24].
The emergence of the need for air evacuation is caused by high injection fractions, over (8 ÷ 10)%. The amount of the discharged air was calculated in [24].
The greater the injected fluid flow rate Q l , the less the compressor air flow rate Q a must be, and it leads to important pressure increases, both for p 2 and p 3 , as well as to a displacement of compressor’s working line much closer to the stall limit. The burned gasses’ flow rate must keep its value, so
Q g i = Q a i + Q l Q p r + Q c   Q g ,
where Q a i is the new air flow rate value, with an obviously smaller value than the initial value Q a . The difference between them is the air flow rate which must be discharged or bypassed.
For the basic engine,
Q g = μ A 3 c r / p 3 T 3 χ g R g 2 χ g + 1 χ g + 1 χ g 1 ,
while for the engine with fluid injection,
Q g i = μ A 3 c r / p 3 T 3 χ g i R g i 2 χ g i + 1 χ g i + 1 χ g i 1 ,
where μ is the flow rate coefficient; A 3 c r / is the turbine’s stator critical area; χ g , χ g i are the adiabatic exponents of the burned gasses, and R g , R g i are the gas constants of the burned gasses (for both situations: without or with coolant injection).
Considering the formal annotation for flow rate fractions (with respect to Q a , the air flow rate) as ξ x = Q x Q a , from Equations (10)–(12), one obtains the following:
1 ξ a p 1 + ξ l + ξ c 1 ξ c i = R g R g p 2 χ g p + 1 χ g p + 1 χ g p 1 2 χ g + 1 χ g + 1 χ g 1
where ξ c , ξ c i is the fuel flow rate fractions for the basic engine and for the engine with cooling fluid injection (determined as ξ c = 1 λ C A min   L ), respectively; min   L is the stoichiometric minimum air value for 1 kg of fuel; λ C A is the air excess coefficient in the engine’s combustion chamber; ξ a i is the extracted air flow fraction; and ξ l is the injected fluid fraction.
Assuming that burned gasses’ properties are nearly the same in both situations, the right member in Equation (11) becomes equal to 1, so
ξ c i = ξ c ξ l + ξ a i 1 + ξ l .
The combustion chamber’s heat balance equation gives, for both situations (without and with coolant injection), the following formulas:
Q a i 2 + Q c ζ C A P c i + i c = Q g i 3 = Q a 1 + ξ c i 3 ,
Q a i i 2 + Q c i ζ C A P c i + i c + Q l i l = Q g p i 3 i ,
or, after favorably dividing by the air flow rate, Q a , they become the following:
i 2 + ξ c ζ C A P c i + i c = ( 1 + ξ c ) i 3 ,
i 2 + ξ c i ζ C A P c i + i c + ξ l i l = 1 ξ a p + ξ l + ξ c i 3 i ,
where i c , i l are fuel’s and injected liquid’s specific enthalpies; i 2 , i 3 , i 3 i are the air/burned gasses’ specific enthalpies; P c i is the fuel’s chemical energy; and ζ C A is the combustor’s burning perfection coefficient (assumed as constant, depending on combustor’s architecture).
As far as the burned gasses’ enthalpies remain the same ( i 3 i = i 3 ) and both fluid enthalpies, i c , i l , are significantly smaller then P c i and can be neglected, one obtains for the fluid injection fraction the following equation:
ξ l = 1 i 3 1 + 1 λ C A min   L i 3 i i 2 ζ C A P c i λ C A min   L .
For the extracted air fraction’s calculation, one must use Equations (14) and (19).
Remark 3. 
If the coolant fraction is small enough, the extraction fraction becomes even smaller, so the air extraction is no longer necessary; the combustor and the turbine can process the supplementary air flow rate.

3. Research Methodology

To characterize the engine as a controlled object, it must be mathematically modeled, starting from its motion equations. The first step in achieving this goal is the identification of the engine as a “system”, as an object subject to control and its modeling in mathematical form, approachable with its specific tools and means ([8,25]). Both experimental determinations and data obtained from other theoretical sources were used to calculate the coefficients of the mathematical model.
The same modeling procedure must be applied to the engine speed controller and, obviously, to the turbojet with water injection in the compressor, as well as to the injection controller. Finally, the quality of the embedded system (turbojet + speed controller + injection controller) is studied by its step response, from its settling time’s and static errors’ point of view. The results is compared to those experimentally obtained, in order to validate the evaluation method.

3.1. The Jet Engine for Quantitative Determinations

The studied engine is a single-spool single jet engine; its constructive parameters are as follows: (a) the compressor’s pressure ratio (at the sea level), π c 0 = 4.36 ; (b) combustion chamber’s exhaust temperature, T 3 = 1180 K; (c) air flow rate (at the sea level and the maximum rotational speed), Q a = 48 kg/s; (d) fuel flow rate (at the sea level and the maximum rotational speed), Q c = 0.65 kg/s; (e) rotational speed range (idle to maximum), 2500 rpm–11,620 rpm; (f) nominal speed, 11,150 rpm; and (g) cruise speed, 9500 ÷ 10,100 rpm.
Jet engine’s performance (thrust F and specific fuel consumption c s p , determined on the test rig) are graphically presented in Figure 4. In fact, the atmospheric parameters (pressure between 0.988 bar and 1.006 bar and temperature between 14 °C and 20 °C) during the tests were very near to the standard conditions, so the experimental determinations can be considered as the standard ones (with small and acceptable errors).
Figure 4. Jet engine’s performance (thrust F and specific fuel consumption csp).
This kind of jet engine is a suitable candidate for thrust augmentation and pollutant emission reduction by coolant injection. One has used distilled (demineralized) water for different injection fractions, but no bigger than 2.8%. In fact, as stated in [4,7,9], the maximum fraction for injection does not exceed 4%, despite some initial studies and predictions ([3,5,6]), which estimate high thrust ratios increases (about F i / F = 1.4 ) for high coolant injection fractions (until 7%).
Both coolant injection methods were studied as follows:
-
Into engine’s compressor and in front of its rotor;
-
Into the combustion chambers and close to burner can’s wall.
However, the coolant injection as the thrust augmentation method must be applied only when the engine has reached, at least, its nominal operational regime; in fact, the “wet take-off” strategy (take-off with coolant injection) specifies that engine’s regime must be the one for taking-off, which means the maximum speed, when the engine has reached its own maximum thrust, and the augmentation bring the greatest effect ([3,17]).
The coolant injection may be achieved as presented in [26,27], by an injection pump driven either by an electric motor or by the engine’s shaft (through engine’s gear). In Figure 5, the operational block diagram of a turbojet engine (for aircraft use) with coolant injection is formally depicted. The coolant injection pump is connected with its driving mean by an electromagnetic clutch, which is commanded by the operator (engineer or pilot), when a wet take-off must occur.
Figure 5. Turbojet engine with coolant injection operational block diagram.
The procedure for coolant injection studies was carried out as follows: the engine was started and brought to idle, it was kept for 3 min to equalize the temperature inside the combustion chamber, turbine, and exhaust nozzle, and then brought to the studied regime (cruise, nominal, or maximum), when the injection switch is engaged and the coolant injection occurs.
The situation in Figure 5 is the simplest one, when there is no coolant flow control and the coolant injection offers the same Q l , whatever the engine’s operational regime (rotational speed, n). However, the amount of the coolant (distilled water) flow rate is given by the diameter of the injection nozzle, which is mounted on pump’s exhaust pipe; for each new determination, it is necessary to replace the injection nozzle with the one corresponding to the new desired coolant injection flow rate. Consequently, for the studied engine, the coolant injection effects on engine’s compressor were firstly evaluated only when the maximum speed regime (n = 11,620 rpm) was reached; engine’s new performance with coolant injection is presented in Figure 6, where the ratios between turbojet’s performance with injection ( F i , c s p i ) and the performance for its basic architecture (the basic engine— F , c s p ) are presented ( F i / F and c s p i / c s p ), with respect to the injection fraction ξ l . One may observe that thrust increase is located between 3.8% and 11.5%, which is a significant augmentation, while the fuel specific consumption has moderate increases, between 2% and 7%.
Figure 6. Jet engine’s performance augmentation versus injection fraction.
Compared to the increases shown by the curves in Figure 1, the results obtained are close, but somewhat smaller; at the same time, in [6], it is stated that, an injection rate of 2.98% water–alcohol mixture produces a thrust ratio of 1.106 at 80 °F (16 °C), which is very close to the result obtained by us for the maximum injection fraction of 2.8%.
The described method has two major disadvantages, which are as follows: (a) the difficulty of coolant flow rate establishment and control, with the mechanical replacement of the injection nozzle being necessary and (b) the lack of correlation between the air flow rate (supplied by the compressor) and the coolant flow rate.
In order to improve engine’s behavior during coolant injection, a coolant metering valve was adapted, so a new coolant injection system was designed and used for the coolant flow rate control; its operational block diagram is presented in Figure 7. A coolant pump is driven by a d.c. electric motor, and the electromagnetic clutch serves for starting the injection, while the metering valve assures the correlation between the coolant flow rate and the air flow rate, in order to keep the desired coolant fraction nearly constant. The CIC (coolant injection controller) used inside the control architecture is the one described and studied in [25]. It uses pressure signals from engine’s compressor ( p 1 in front; p 2 behind the compressor) that are used in the pressure ratio ( π c ) and the air flow rate ( Q a ) estimation, in order to correlate the water injection flow rate and assure its desired fraction. The metering valve’s opening is given by an actuator, whose command is, in fact, the value of the compressor’s pressure ratio.
Figure 7. The operational block diagram of the turbojet engine with coolant injection and flow rate controller.
This improvement has made possible a more precise control of the coolant flow rate and has made more accurate the quantitative determinations. Moreover, the study of different operational regimes was possible, so the rotational speed range was extended to lower speed values, but kept in the neighborhood of the maximal value.
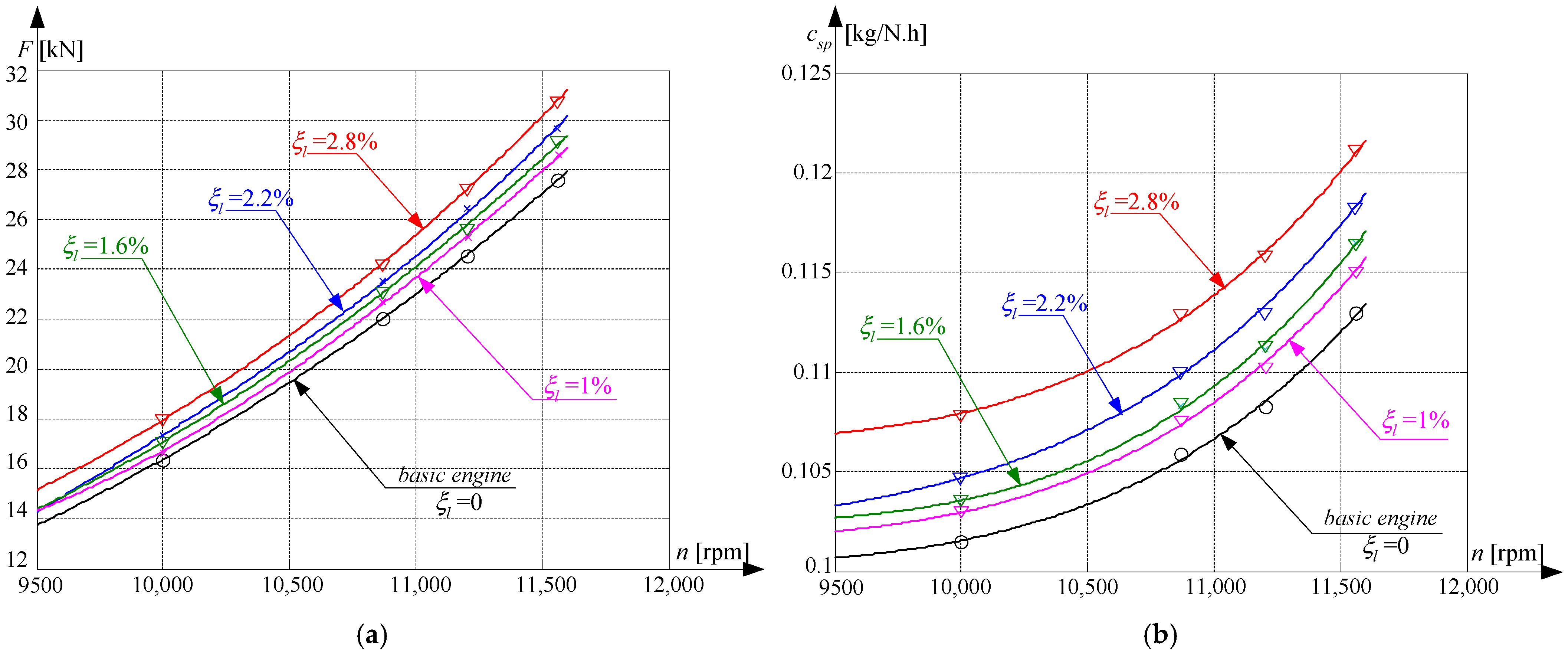
Turbojet engine’s performance with water injection in front of its compressor, for different injection fractions, is depicted in Figure 8; the lowest engine’s speed was considered the cruise speed (10,100 rpm), while the highest one was chosen, obviously, as the maximum admitted speed (11,620 rpm).
Figure 8. Turbojet ‘s performance without and with water injection in front of its compressor for different injection fractions ( ξ l = 1%; ξ l = 1.6%; ξ l = 2.2%; ξ l = 2.8%); (a) turbojet’s thrust and (b) turbojet’s fuel specific consumption.
The curves in Figure 8 have nearly the same shape, whatever the injection fraction; the higher the injection fraction, the higher the engine’s thrust, but also its specific fuel consumption. The thrust augmentation at the maximum engine speed (11,620 rpm) and for the maximum injection fraction (2.8%) reaches 12.7%; at the cruise speed, the thrust augmentation has nearly the same percentage at the maximum injection fraction but has significantly lower percentages for smaller fractions. The specific fuel consumption is increasing too, whatever the fraction, but the highest increasing (about 8%) is for the maximum fraction. All these results and the shapes of the augmentation curves are leading to the same conclusion that the thrust augmentation for short periods through water injection into the compressor is more efficient when the basic engine’s regime and thrust have reached their maximum values (or nearby).
When the coolant injection is achieved into the combustion chamber, near burner can’s walls, the changes made to the engine’s architecture are much more complicated and more difficult to achieve.
Using same facilities and same water injection system, engine’s performance has been also improved. However, the simplest injection system (presented in Figure 5) may not be used due to the lack of an effective injected water flow rate control, which, consequently, increases the danger of extinguishing the flame inside the burner can and may cause engine’s stop.
Turbojet engine’s performance with water injection into its combustion chamber, for different injection fractions, is depicted in Figure 9.
Figure 9. Turbojet ‘s performance without and with water injection into its combustion chamber for different injection fractions ( ξ l = 1%; ξ l = 1.6%; ξ l = 2.2%; ξ l = 2.8%); (a) turbojet’s thrust and (b) turbojet’s fuel specific consumption.
One may observe a certain similarity between Figure 8 and Figure 9. The thrust augmentation at the maximum engine speed (11,620 rpm) and for the maximum injection fraction (2.8%) reaches 11.2%, a little smaller than 12.7%—the obtained percentage when the injection was made into the compressor; at the cruise speed, the thrust augmentation has nearly the same percentage at the maximum injection fraction but has significantly lower percentages for smaller fractions. For a small injection fraction, e.g., for ξ l = 1 % , practically, there is no thrust augmentation at the cruise speed, so the conclusion still remains as follows: for a real gain in thrust, one has to use high injection fractions at high operational regimes (speeds).
From the specific fuel consumption point of view, one can affirm that it increases too, whatever the fraction, but the highest increase (about 7.2%) is for the maximum fraction; this increasing percentage is a little smaller than for the other method of injection, which might be an advantage.
For the water injection into the combustion chamber, one has to make some important changes in the engine’s architecture, and the thrust gain is lower than that for the water injection in front of the compressor, while the fuel consumption increase has similar values; for this kind of engine, one may affirm that the injection into the compressor is more suitable.

3.2. Basic Turbojet Mathematical Model

Turbojet engine’s operation is described by a system of non-linear motion equations ([1,2,3]) as follows:
-
Turbo-compressor’s motion equation:
π J 30 d n d t = M T M C .
-
Compressor’s characteristic:
i 2 i 1 = T 2 T 1 = 1 + π c χ 1 χ 1 η C .
-
Turbine’s characteristic:
i 4 i 3 = T 4 T 3 = 1 δ T χ g 1 χ g 1 η T δ T χ g 1 χ g .
-
Combustion chamber’s energy (heat) equation:
Q a c p a T 2 + Q c i c + ζ C A P c i = Q g c p g T 3 .
-
Continuity equation (the mass flow rate along the engine equation):
Q g = Q a Q p r + Q c .
This is the non-linear mathematical model, which is difficult to be used for engine’s characterization as a controlled object. In fact, in the above-presented equations, any parameter, denoted generically with X , is a multivariable one X = X u k , k = 1 , N ¯ , such as Q a = Q a n , p 2   Q g = Q g A 5 , p 4 , T 4 , M C = M C Q a , n , π c , M T = M T Q g , n , T 3 , δ T , … etc., where J is the turbo-compressor’s rotor inertia moment; M C , M T are the compressor’s and turbine’s torques; T 1 , T 2 are the total temperature in front/behind the compressor; T 3 is the combustion chamber’s total temperature (temperature in front of the turbine); T 4 is the total temperature behind the turbine; π c is the compressor’s pressure ratio; δ T is the turbine pressure ratio; χ , χ g are the adiabatic exponents (for air and burned gasses); η C , η T are the compressor’s and turbine’s efficiency; c p g , c p a are the specific isobar heat of burned gasses and air (assumed as equal); ζ C A is the burning process’ perfection coefficient; P c i is the fuel’s chemical energy; Q p r is the bleed air mass flow rate (extracted from the compressor for aircraft’s and/or engine’s necessities); and A 5 the nozzle’s effective exhaust area.
To bring this equation system to a suitable form, it must be linearized, then brought to an adimensional form and, finally, transformed using the Laplace transformation (with null initial conditions). Such an algorithm was described and applied in [8,28] based on the finite differences method for linearization (around a steady-state regime).
For any considered argument X , one may use the description as follows:
X = X 0 + Δ X 1 ! + Δ X 2 2 ! + + Δ X n n ! ,
where X 0 is the value of X for a steady-state regime (arbitrarily chosen, but assumed as completely known), and Δ X is the static error (or the linear deviation). Furthermore, only the linear term was retained and all the terms containing Δ X r , r 2 were neglected.
For example, considering that M T = M T Q g , n , T 3 , δ T and M C = M C Q a , n , π c , then by applying the linearization method, one obtains the following:
Δ M T = M T T 3 0 Δ T 3 + M T n 0 Δ n + M T δ T 0 Δ δ T + M T m ˙ g 0 Δ Q g ,
Δ M C = M C n 0 Δ n + M C π c 0 Δ π c + M T m ˙ a 0 Δ Q a ,
When π c = p 2 p 1 , δ T = p 3 p 4 , and p 3 = σ C A p 2 , where σ C A and p 1 are constants for a constant flight regime ( p 3 0 = σ C A p 2 0 ), their linear deviations become the following:
Δ π c = π c p 2 0 Δ p 2 = Δ p 2 p 1 0 ,
Δ δ T = δ T p 3 0 Δ p 3 + δ T p 4 0 Δ p 4 = Δ p 3 p 4 0 δ T 0 p 4 0 Δ p 4 .
Consequently, using the expressions (26) and (27) for the torques and taking into consideration the expressions (28) and (29), and then by eliminating the terms containing the steady-state regime, Equation (20) becomes the following:
π J n 0 30 M C 0 d d t Δ n n 0 + n 0 M C 0 M C n 0 M T n 0 + M C Q a 0 m ˙ a n 0 Δ n n 0 = T 3 0 M T 0 M T T 3 0 + M T Q g 0 m ˙ g T 3 0
Δ T 3 T 3 0 + p 2 0 M T 0 σ C A M T Q g 0 m ˙ g p 3 0 + σ C A p 4 0 M T δ T 0 1 p 1 0 M C Q a 0 m ˙ a π c 0 1 p 1 0 M C π c 0 Δ p 2 p 2 0
δ T 0 M T 0 M T δ T 0 Δ p 4 p 4 0 .
Considering the notation X ¯ = Δ X / X 0 , after the Laplace transformation is applied, the above-determined equation transforms into a new form, which is as follows:
T 1 s + ρ 1 n ¯ k 1 T 3 T ¯ 3 k 1 p 2 p ¯ 2 + k 1 p 4 p ¯ 4 = 0 ,
where considering s is the derivative operator and X ¯ s is the Laplace transformation image of the dimensionless formal parameter X ¯ = Δ X / X 0 , the used coefficients have the following expressions:
T 1 = π J n 0 30 M C 0 ,
ρ 1 = n 0 M C 0 M C n 0 M T n 0 + M C Q a 0 m ˙ a n 0 ,
k 1 p 4 = δ T 0 M T 0 M T δ T 0 ,
k 1 T 3 = T 3 0 M T 0 M T T 3 0 + M T Q g 0 m ˙ g T 3 0 ,
k 1 p 2 = p 2 0 M T 0 σ C A M T Q g 0 Q g p 3 0 + σ C A p 4 0 M T δ T 0 1 p 1 0 M C Q a 0 Q a π c 0 1 p 1 0 M C π c 0
The other equations of the non-linear mathematical model can be linearized and brought to similar forms, as presented in [25]:
k 2 n n ¯ k 2 T 3 T ¯ 3 k 2 p 2 p ¯ 2 = 0 ,
T ¯ 3 + T ¯ 4 k 3 p 2 p ¯ 2 k 3 p 4 p ¯ 4 = 0 .
k 4 T 3 T ¯ 3 + k 4 T 4 T ¯ 4 k 4 p 2 p ¯ 2 k 4 p 4 p ¯ 4 = 0 .
k 5 n n ¯ + k 5 T 3 T ¯ 3 + k 5 p 2 p ¯ 2 = k 5 c Q ¯ c ,
where the used notations are
k 2 n = n 0 Q a 0 Q a n 0 ,
k 2 T 3 = T 3 0 Q g 0 Q g T 3 0 ,
k 4 T 3 = T 3 0 Q g 0 Q g T 3 0 ,
k 3 p 2 = χ a η C π C 0 χ a 1 η C + η C ,
k 3 p 4 = χ g η T δ T 0 χ g 1 η T + η T ,
k 2 p 2 = p 2 0 Q a 0 Q a p 2 0 ς C A Q g T 3 0 ,
k 4 p 2 = σ C A p 3 0 Q g 0 Q g p 3 0 ,
k 4 T 4 = T 4 0 Q g 0 Q g T 4 0 ,
k 4 p 4 = p 4 0 Q g 0 Q g p 4 0 ,
k 5 n = c p T 3 0 T 2 0 n 0 Q A R 0 Q A R n 0 ,
k 5 T 3 = T 3 0 Q A R 0 Q A R T 3 0 ,
k 5 p 2 = c p Q a 0 p 2 0 T 3 0 T 2 0 Q a p 2 0 χ a π C 0 Q a 0 T 2 0 π C 0 χ a 1 η C + η C ,
k 5 Q c = c p T 3 0 T 2 0 n 0 Q c 0 ξ C A P c .
Equations (31) and (33) to (36), with the notations (32) and (37), build up the mathematical model of the turbojet engine (single jet, with fixed exhaust nozzle geometry—TJE), which may be written as a matrix equation [A] × (u) = (b):
T 1 s + ρ 1 k 1 T 3 0 k 1 p 2 k 1 p 4 k 2 n k 2 T 3 0 k 2 p 2 0 0 1 1 k 3 p 2 k 3 p 4 0 k 4 T 3 k 4 T 4 k 4 p 2 k 4 p 4 k 5 n k 5 T 3 0 k 5 p 2 0 × n ¯ T ¯ 3 T ¯ 4 p ¯ 2 p ¯ 4 = 0 0 0 0 k 5 c Q ¯ c ;
one may observe that TJE has a single input—the fuel flow rate Q ¯ c —and multiple outputs (such as n ¯ , T ¯ 3 etc.), but the main output is its rotational speed n ¯ .
The above-determined matrix equation can be solved using the Cramer method. As long as the most important output is n ¯ , one obtains the following:
n ¯ = det ( A n ) det ( A ) ,   or   det ( A ) n ¯ = det ( A n ) ,
where det ( A ) is the A matrix determinant, while det ( A n ) is the determinant of the matrix obtained by replacing the first A matrix column with the input vector (b). Consequently, the obtained equation is as follows:
T m s + 1 n ¯ = k c Q ¯ c ,
where
T m = π J 30 K R ,   k c = K R Q c 0 n 0 M T Q c 0 , K R = M C n 0 M T n 0 1 .
A similar expression might be obtained for the secondary output—the temperature T ¯ 3 :
T m s + 1 T ¯ 3 = τ c T s + l c T Q ¯ c .
From the mathematical form’s point of view, TJE has a time constant T m (seconds) and two gains: k c , l c T , with respect to the fuel flow rate. As studied in [25], the equations of the mathematical model can also be expressed in the following form:
τ m s + ρ s n ¯ = Q c ¯ ,
τ m s + ρ s T ¯ 3 = τ T 3 s + l T 3 Q ¯ c ,
where τ m is the reduced time constant τ m = T m / k c , expressed in seconds, while ρ s is the adimensional stability constant of the engine ρ s = 1 / k c (also known as stability term); the other coefficients are τ T 3 = τ c T / k c , l T 3 = l c T / k c .
From the TJE behavior’s point of view, important issues may occur. It may happen that, for a certain rotational speed n 0 or for an entire speed range, one obtains M C n 0 < M T n 0 , so the term K R and the stability term ρ s both become negative; as long as the reduced time constant is always positive, if the stability constant is negative, the engine becomes an unstable controlled object.
In [28], a quantitative study concerning the turbojet engine as a controlled object was performed; Figure 10 shows the behavior of the reduced time constant and of the stability term along the engine’s rotational speed range (at the sea level).
Figure 10. Turbojet engine model’s coefficients versus engine’s spool rotational speed (operational regime): (a) engine’s reduced time constant and (b) engine’s stability term (stability constant) [28].
In the range of high speeds, τ m values are nearly constant at low values; in the medium speed zone, τ m values are rapidly increasing while the speed is decreasing, but in the low speed zone, τ m variation is a third-order parabolic and presents two local extreme values.
In terms of the engine’s stability constant, ρ s , its variation curve versus the engine’s rotational speed, n, is continuously increasing but with different slopes for different speed zones. One may observe that, for low engine rotational speeds, ρ s exhibits negative values. For spool speed values below n lim = 1350 rpm, ρ s becomes negative and rapidly decreases, so TJE becomes an unstable controlled object; therefore, one has to choose values for the engine’s speed for the idle regime that are higher than the limit speed, n lim , with a sufficient safety margin. In fact, the studied turbojet has its idle rotational speed n r e l = 2500 rpm.

3.3. Turbojet’s Mathematical Model with Water Injection into Its Compressor

Obviously, any change in the engine’s architecture and/or operating conditions entails modification of its mathematical model. Consequently, coolant injection will have a more or less significant influence and will change the properties of the turbojet engine as a controlled object, as well as its mathematical model in terms of both its form and its coefficients.
Firstly, the presence of the coolant flow modifies the mass flow rate equation. Secondly, depending on the nature of the cooler, the energy balance equation of the engine can also undergo changes. As far as the injected coolant is distilled water (not a combustible fluid), the combustion chamber’s equation undergoes minimal changes.
In terms of the mass flow rate balance equation, it can be written as follows:
Q g i p 3 , T 3 = Q a i p 2 , n + Q l ,
or after linearization using the finite differences method and after some suitable amplification and term grouping, it can be written as follows:
p 2 0 Q a i 0 Q g i p 2 0 σ C A Q a i p 2 0 Δ p 2 p 2 0 + T 3 0 Q a i 0 Q g i T 3 0 Δ T 3 T 3 0 n 0 Q a i 0 Q a i n 0 Δ n n 0 = ξ l Δ Q l Q l 0 ,
which becomes, after applying the Laplace transformation, as follows:
k 2 n / n ¯ k 2 T 3 / T 3 ¯ + k 2 p 2 / p 2 ¯ = ξ l Q l ¯ .
Obviously, this equation must replace the second line in the engine’s mathematical model (38), which means both A-matrix coefficients’ and input vector’s modifications.
In terms of combustion chamber’s equation, it can be modified due to the supplementary presence of the coolant fluid’s energy, as follows:
Q g i c p g T 3 = Q a i c p a T 2 + Q c ζ C A P c + Q l ζ C A P l ,
where P l is the chemical energy of the injected fluid (if combustible, but if neutral, such as water, P l = 0 ) and T 2 is the air temperature behind the compressor, expressed with respect to p 2 :
T 2 ¯ = p 2 0 T 2 0 T 2 π c 0 π c p 2 0 p 2 ¯ .
Consequently, for the distilled water injection, Equation (48) becomes the following:
c p T 3 0 T 2 0 n 0 Q c 0 ζ C A P c Q a n 0 n ¯ + c p Q a 0 Q l 0 T 3 0 Q c 0 ζ C A P c T 3 ¯ + c p T 3 0 T 2 0 p 2 0 Q c 0 ζ C A P c Q a p 2 0 c p Q a 0 Q l 0 Q c 0 ζ C A P c ×
× p 2 0 T 2 π c 0 π c p 2 0 p 2 ¯ = Q c ¯ m ˙ l 0 m ˙ c 0 ζ C A P c Q l ¯ .
A remark may be made regarding the coefficient m ˙ l 0 m ˙ c 0 ζ C A P c of the coolant flow rate parameter: due to its denominator structure, its absolute value is 103 to 104 times less than of any other coefficient, which can be considered as practically null, and the term containing it can be neglected. Consequently, the fifth equation of engine’s mathematical model is as follows:
k 5 n n ¯ + k 5 T 3 / T 3 ¯ + k 5 p 2 / p 2 ¯ = Q c ¯ ,
while the mathematical model of the turbojet with water injection into its compressor becomes the following:
T 1 s + ρ 1 k 1 T 3 0 k 1 p 2 k 1 p 4 k 2 n / k 2 T 3 / 0 k 2 p 2 / 0 0 1 1 k 3 p 2 k 3 p 4 0 k 4 T 3 k 4 T 4 k 4 p 2 k 4 p 4 k 5 n / k 5 T 3 / 0 k 5 p 2 / 0 × n ¯ T ¯ 3 T ¯ 4 p ¯ 2 p ¯ 4 = 0 ξ l m ˙ l ¯ 0 0 k 5 c / m ˙ ¯ c .
Using the Cramer method for the above-determined equation, one obtains the following:
T m 1 s + 1 n ¯ = k c 1 Q ¯ c k l Q ¯ l ,
T m 1 s + 1 T ¯ 3 = τ c T 1 s + l c T 1 Q ¯ c τ c T 2 s + l c T 2 Q ¯ l ,
or after dividing by the fuel flow rate’s gain coefficient, one obtains the following:
τ m 1 s + ρ s 1 n ¯ = Q ¯ c k l c Q ¯ l ,
τ m 1 s + ρ s 1 T ¯ 3 = τ T c s + l T c Q ¯ c τ T l s + l T l Q ¯ l .
The new obtained reduced time constant and stability constant have, obviously, different values when compared to those of the basic engine. Their variations for the entire range of engine’s speed at the sea level are presented in Figure 11.
Figure 11. Turbojet engine without ( ξ l = 0 )/with water injection ( ξ l = 2.8 % ) into its compressor model’s coefficients versus engine’s spool rotational speed: (a) engine’s reduced time constant and (b) engine’s stability term (stability constant).
As shown in Figure 11a, the engine’s reduced time constant has higher values when the water injection is active, which makes the engine slower. The biggest differences are at low engine speeds, but at high speeds, in the area of interest for the coolant injection, the differences are between 25% and 40%.
At the same time, the engine’s stability constant decreases, as shown in Figure 11b; the stability limit is reached for a new limit speed ( n lim = 4380 rpm), which isi significantly higher than that for the basic engine ( n lim = 1350 rpm). However, the water injection method must be activated only for high-engine speed values (higher than 9500 rpm), so the low-speed domain is forbidden, and there is no danger of instability. A danger of reaching instability would be in the case of acceleration/deceleration between the idling and the maximum speed values; thus, it is necessary, in the design of the injected coolant flow controller, to ensure the decoupling of the injection below a certain (safety) value of engine’s speed (around 9000 rpm) or below a certain value of the air flow.
Remark 4. 
The coolant injection increases the reduced time constant’s value and decreases the stability constant’s value, whatever the speed; therefore, the water injection into the compressor worsens turbojet’s properties as a controlled object.

3.4. Controllers’ Mathematical Models

As a controlled object, the basic turbojet engine has a single input—the fuel flow rate—and multiple outputs (spool’s speed, combustion chamber’s temperature, total pressure behind the compressor, etc.). However, the fuel flow rate is assured by a fuel pump driven by engine’s shaft, and it is metered by a control system, which has as duty engine’s main output control (ECSC: engine’s speed control system, as formally presented in Figure 7); such a system was described in [8] and modeled and studied in [27,28].
When the water injection is present, together with the mandatory ECSC for the basic engine, a coolant injection flow rate controller (CIS—coolant injection system) must operate, as formally shown in Figure 7.
These two controllers must operate together when the water injection is active, but the CIS must not interfere with the ECSC when the water injection is inactive and only the basic turbojet is active.
Consequently, in order to evaluate the embedded system’s behavior (turbojet + ECSC + CIS), its mathematical models must be determined.

3.4.1. ECSC Mathematical Model

The ECSC consists of the following: (a) the fuel pump (usually with cogwheels)—driven by engine’s shaft; (b) the speed transducer; and (c) the actuator with rigid feedback. Together with these parts, the engine’s power lever (throttle) must be present (Equation (d)) in order to impose the desired level of speed. ECSC’s equations are provided as presented in [24]:
( a ) Q c ¯ = k p n n ¯ + k p y y ¯ ,
( b ) x ¯ = k u u ¯ k e s n ¯ ,
( c ) τ s s y ¯ = x ¯ z ¯ ,
z ¯ = ρ f y ¯ ,
( d ) u ¯ = k u α α ¯ .

3.4.2. CIS Mathematical Model

As long as the coolant (water) injection pump is driven by a d.c. electric motor with a constant speed, the level of the coolant flow rate must be established by a metering valve, which is open with respect to the air flow rate, in order to assure the desired injection fraction. Such an injection controller is described and studied in [26]; its mathematical model (with the notations used in [26]) consists of the following: (a) pressure ratio transducer equations; (b) actuator with rigid feedback equations; and (c) metering valve’s equation.
The CIS has a possibility to set the value/fraction of the coolant flow rate using an adjusting bolt, which establishes the reference pressure value p R , which is proportional to the desired coolant flow rate.
( a ) x ¯ a = k p x p ¯ 1 * p ¯ R ,
k 2 R p ¯ 2 * k x R τ a x s + 1 x ¯ a = τ R s + 1 p ¯ R ,
( b ) τ s l s y ¯ a = x ¯ a z ¯ a ,
z ¯ a = ρ l y ¯ a ,
( c ) Q l ¯ = k l y y ¯ a .

3.4.3. Embedded Control System Block Diagram

Based on the above-presented controllers’ equations (Equations (57) to (66)), together with the turbojet engine’s Equations (55) and (56), one has built-up the embedded control system’s block diagram with transfer functions, as depicted in Figure 12. In fact, this diagram is equivalent to the one in Figure 7, where only the operational blocks are formally represented; in Figure 12, these blocks are replaced with their equations from the mathematical model.
Figure 12. Embedded control system’s block diagram with transfer functions.
One may observe that the CIC operates with the total pressure behind the compressor p 2 as an input. In fact, this is a secondary output of the engine, which implies the emergence of a new inner feedback inside the block diagram; its equation has the following form:
τ m 1 s + ρ s 1 p ¯ 2 = l p 2 c s + l p 2 m ˙ c ¯ l p 2 l s + l l 2 m ˙ l ¯ ,
which must be added to Equation (57) to (66).
Remark 5. 
The block diagram with transfer functions in Figure 12 includes a link that represents the flight regime influence with the term k H V p ¯ 1 . In fact, as long as the studies were performed at the sea level, where the coolant injection is more effective than in flight, the term was neglected, so Equation (53) did not mention it.

4. Results and Discussion

The evaluation of the turbojet with water injection as a controlled object aims to study the quality of the system (consisting of the basic engine and related controllers), which intends to determine the embedded system’s time response for each studied case (for each value of the injection fraction) ([24,26,27]). The study was performed considering engine’s operation for four water injection fractions (1%, 1.6%, 2.2%, and 2.8%) and for the basic engine as a reference and was based on the system’s block diagram with transfer functions, and the numerical simulations were carried out as described in [27,29].
The block diagram in Figure 12 shows that the embedded system has a single input, which is α , the power lever angle (PLA); in fact, the throttle’s (power lever’s) positioning is the only way to command the turbojet. Turbojet engine (as a controlled object) quality study is based on its step response evaluation, considering the step input of the PLA for the above-mentioned cases of injection. The block diagram cannot highlight the preset or adjusting operations, which occur before the tests and does not intervene during the dynamic regimes.
The system’s main output is the rotational speed, n, but a secondary output (combustion chamber’s temperature, T 3 ) was also used to characterize the turbojet as a controlled object. At the same time, another secondary parameter of the engine was used—the pressure after the compressor p ¯ 2 —which is the input of the CIS and introduces another (positive) feedback inside the control system.
The system’s step response, consisting of the time behavior of the output adimensional parameters ( n ¯ and T ¯ 3 ), is depicted in Figure 13a for the engine’s speed and in Figure 13b for the combustion chamber’s temperature.
Figure 13. Comparative step responses of turbojet’s output adimensional parameters for the basic engine and for different injection fractions ( ξ l = 1%; ξ l = 1.6%; ξ l = 2.2%; ξ l = 2.8%): (a) adimensional speed parameter and (b) adimensional combustion chamber’s temperature parameter.
One can affirm that both adimensional parameters have asymptotic stabilization, but with static errors, whatever the studied situation; moreover, the temperature parameter presents an initial small overshoot (around 8%) before the stabilization.
Turbojet’s speed parameter stabilizes aperiodically but with a static error; the smallest static error is for the basic engine (3.7%), while the biggest error (8.2%) occurs when the water injection is made with the maximum fraction. In fact, the bigger the injection fraction, the bigger the static error that occurs. In terms of the settling time, the same trend may be remarked as for static errors: the settling time is increasing progressively from the basic engine (4 s) to the biggest injection fraction (7.8 s). Thus, the water injection into the compressor not only makes the engine slower, but makes it difficult to reach the new operating regime due to the static error.
In terms of combustion chamber’s temperature parameter, one may remark the same trends. Thus, after an initial small overshoot, any curve in Figure 13b stabilizes asymptotically with a static error bigger than that for the speed parameter at the same fraction (between 4.8% for the basic engine and 9.5% for the maximum injection fraction). Settling times are very similar, maybe little longer (between 4 s for the basic engine and 8 s for the maximum injection fraction).
PLA’s step input can be considered similar to the sudden movement of the throttle (power lever) from the idle position to the maximum speed position (between its extreme positions); in fact, such a rapid displacement of the throttle is a “ramp input” with a very high slope angle.
The results obtained from the study of the embedded control system’s quality regarding the settling times and the static errors are validated by the experimental determinations and are obtained during the test of the engine operation in the sudden acceleration regime (throttle’s sudden displacement from the idle to maximum speed). The graphs in Figure 14 reveal this fact.
Figure 14. Comparison between the results of the simulations (continuous line) and the experimental data (dashed line); (a) settling times and (b) static errors (for speed and temperature adimensional parameters).
In fact, the graphs obtained based on numerical simulations (continuous lines) are compared with those obtained experimentally (dashed lines). The settling times and static error values are obtained from the performed numerical simulations (embedded system’s step response) and are those that are also highlighted by the curves for different injection fractions in Figure 13; based on these values (those marked with “o” in Figure 14), the graphs in this figure were drawn (with continuous lines) for comparison with the graphs obtained from the experimental data. The experimental data (those marked with “v” in Figure 14) were obtained by testing the engine’s behavior during fast acceleration, by suddenly moving the power lever from idle to maximum, which can be assimilated to a “step input”. Consequently, a comparison can be made between what the engine can achieve during the sudden change in its operating regime with what its mathematical model offers as a response to the step input.
Figure 14a shows the comparison between the variation in the estimated settling times depending on the used water injection regime (the injection fraction, from 0 that corresponds to the basic engine to the maximum fraction of 2.8%) and the one experimentally determined. It can be observed that both the curve of the experimental determinations (dashed lines) and that of the estimated settling times from the theoretical study (continuous lines) have the same shape and the same growth trend. The differences in values are very small; the theoretically estimated values are approximately 3.5% to 5% lower than the experimental ones, which is acceptable.
The static errors of the two studied parameters (speed and temperature) follow the same trend as the settling times. Thus, as shown by Figure 14b, the static errors of the speed are smaller than those of the temperature (as confirmed by Figure 13a,b). Regarding the speed, the experimentally determined static error values (blue dashed lines) are lower than the estimated ones (blue continuous lines), with the variation curves being of a similar shape. In terms of the temperature’s parameter, the estimated static errors (solid red lines) are, in this case, smaller than the experimental ones (broken red lines), but the differences are somewhat larger than in the case of the other two studied parameters. However, the shape of the curves is almost the same in both situations.
Following the comparative study of the results obtained through the estimation based on mathematical modeling and those determined by experiment, it can be stated that the proposed method can be used as a method of predicting the stability and the quality (the time behavior) of any other turbojet for which it is desired to be equipped with a water (coolant) injection system, to increase thrust and/or reduce polluting emissions, as long as both the engine and related controllers are properly modeled.

5. Conclusions

Among the current concerns in the field of turbojet engines for aircraft use, in addition to increasing the thrust and reducing the fuel consumption, important places are reserved for the operational safety and the lowest possible impact on the environment. A method of thrust augmentation (highly appreciated in the second half of the last century, but gradually falling out of use) is coolant injection into engine’s compressor or into its combustion chamber. In the last decade, however, the method was reconsidered for the simple reason that, through its application, reductions in pollutant emissions in the exhaust gasses were obtained.
This study aimed to evaluate a turbojet for aircraft use, “forced” by water injection, as an element subject to automatic control, from the point of view of system theory, and how the water injection influences its properties as a controlled object (stability, settling time, static errors, etc.).
The necessary studies were carried out to identify the effects of water injection in improving the engine performances and to quantify them through variation graphs. The linearized dimensionless mathematical model of the basic turbojet (without injection) was developed; the most important parameters and coefficients that intervene with the equations of the mathematical model have been identified. Starting from this, the changes induced by coolant injection on both the operation and performance, as well as on the coefficients and parameters of the mathematical model, were identified. The comparative graphs regarding the stability terms (constants) of the basic turbojet and of the one with water injection have determined the delimitation of the speed intervals in which the water injection endangers the stability of the system.
Engine control architectures were designed and implemented under the conditions of using water injection in the compressor; specific controllers, for engine’s speed and for coolant injection flow rate, were designed. Their description was achieved both by mathematical models and by block diagrams with transfer functions.
Based on them, a study of the quality of the embedded system (turbojet + speed controller + coolant flow rate controller) was carried out, concerning its step response, for different fractions of water injection; the graphs obtained for the engine’s speed adimensional parameter led to the conclusion that the water injection kept the turbojet as an asymptotic stable system, but turned it into a slower one; the higher the water injection fraction, slower the engine, and settling times increase with this fraction.
Similar conclusions may be highlighted in terms of combustion chamber’s temperature parameter; in addition, all the curves for temperature behavior show an initial overshoot (of a low value) before the asymptotic stabilization.
The same conclusion, regarding the increase with the value of the injection fraction, is also valid for the static errors of both studied parameters and those that affect the stabilization at their values imposed by the new operating regime; the validation of these conclusions was performed by comparing with the experimental data, in fact, by comparing data regarding engine’s parameters behavior when the power lever is suddenly moved from idle to maximum, with the estimated data based on the mathematical model and on the quality study.
This evaluation method can also be used for any other architecture of turbo engines with coolant injection within the condition of appropriate mathematical modeling.

Author Contributions

Conceptualization, A.-N.T.; Methodology, A.-N.T.; Software, M.L.; Formal analysis, M.L.; Investigation, A.-N.T. and M.L. All authors have read and agreed to the published version of the manuscript.

Funding

This research received no external funding.

Data Availability Statement

The data presented in this study are available on request from the corresponding author. The data are not publicly available due to privacy.

Conflicts of Interest

The authors declare no conflicts of interest.

References

  1. Mattingly, J.D. Elements of Gas Turbine Propulsion; McGraw-Hill: New York, NY, USA, 1996. [Google Scholar]
  2. Hill, P.G.; Peterson, C. Mechanics and Thermodinamics of Propulsion; Addison-Wesley Publications: New York, NY, USA, 1993. [Google Scholar]
  3. Pimsner, V. Air-Breathing Jet Engines. Processes and Characteristics; Didactic and Pedagogic Publishing: Bucharest, Romania, 1983. [Google Scholar]
  4. David, S.G.; Dowman, H.W.; Jones, W.L. Analytical and Experimental Investigation of Thrust Augmentation of Axial- and Centrifugal-Compressor Turbojet Engines by Injection of Water and Alcohol in Combustion Chambers. In Research Memorandum No. NACA-RM-E9K29; Lewis Flight Propulsion Laboratory: Cleveland, OH, USA, 1950. [Google Scholar]
  5. Shilito, T.B.; Harp, J.L. Effect of Inlet Temperature and Humidity on Thrust Augmentation of Turbojet Engine by Compressor-Inlet Injection. In Research Memorandum No. NACA-RM-E50D19; Lewis Flight Propulsion Laboratory: Cleveland, OH, USA, 1950. [Google Scholar]
  6. Useller, J.W.; Auble, C.M.; Harvey, R.W. Thrust Augmentation of a Turbojet Engine at Simulated Flight Conditions by Introduction of a Water-Alcohol Mixture into the Compressor. In Research Memorandum No. NACA-RM-E52F20; Lewis Flight Propulsion Laboratory: Cleveland, OH, USA, 1952. [Google Scholar]
  7. Daggett, D.L.; Ortanderl, S.; Eames, D.; Snyder, C.; Berton, J. Water Injection: Disruptive Technology to Reduce Airplane Emissions and Maintenance Costs. SAE Trans. 2004, 113, 1547–1556. [Google Scholar] [CrossRef]
  8. Stoicescu, M.; Rotaru, C. Turbo-Jet Engines. Characteristics and Control Methods; Military Technical Academy Inprint: Bucharest, Romania, 1999. [Google Scholar]
  9. Horlock, J.H. Compressor Performance with Water Injection. In ASME Turbo Expo 2001: Power for Land, Sea, and Air; American Society of Mechanical Engineers: New Orleans, LA, USA, 2014. [Google Scholar] [CrossRef]
  10. Murthy, S. Transient performance of fan engine with water ingestion. In Proceedings of the 27th Joint Propulsion Conference, Sacramento, CA, USA, 24–26 June 1991. [Google Scholar] [CrossRef][Green Version]
  11. Muench, R.K.; Ford, A.E. A Water-Augmented Air Jet for the Propulsion of High-Speed Marine Vehicles. J. Hydronautics 2012, 1, 130–135. [Google Scholar] [CrossRef]
  12. Davison, W.R.; Sadowski, T.J. Water-augmented Turbofan Engine. J. Hydronautics 2012, 2, 14–20. [Google Scholar] [CrossRef]
  13. Hung, W.S.Y. Accurate Method of Predicting the Effect of Humidity or Injected Water on NOx Emissions from Industrial Gas Turbines; ASME Paper 74-WA/GT-6; ASME: New York, NY, USA, 1974. [Google Scholar]
  14. Bahr, D.W.; Lyon, T.F. NOx Abatement via Water Injection in Aircraft-Derivative Turbine Engines. In Proceedings of the ASME 1984 International Gas Turbine Conference and Exhibit, Amsterdam, The Netherlands, 4–7 June 1984; American Society of Mechanical Engineers: New York, NY, USA, 1984; Volume 3, ISBN 978-0-7918-7948-1. [Google Scholar]
  15. Henneberry, H.M.; Snyder, C.A. Analysis of gas turbine engines using water and oxygen injection to achieve high Mach numbers and high thrust. In Research Memorandum No. NASA-TM-106270; Lewis Flight Propulsion Laboratory: Cleveland, OH, USA, 1993. [Google Scholar]
  16. Daggett, D.L. Water Injection Feasibility for Boeing 747 Aircraft; Nasa Technical Reports; BiblioGov: Mishawaka, IN, USA, 2013; ISBN 978-1289238414. [Google Scholar]
  17. Honcariv, R. Return of Water Injection in Aviation. In Proceedings of the AIAA Aviation 2021 Forum, Virtual, 2–6 August 2021. [Google Scholar]
  18. Daggett, D.L. Hybrid SOFC-powered Mid-range Commercial Aircraft Concept. In Proceedings of the AIAA AVIATION 2023 Forum, San Diego, CA, USA, and Online, 12–16 June 2023. [Google Scholar] [CrossRef]
  19. Dahal, K.; Brynolf, S.; Xisto, C.; Hansson, J.; Grahn, M.; Grönstedt, T.; Lehtveer, M. Techno-economic review of alternative fuels and propulsion systems for the aviation sector. Renew. Sustain. Energy Rev. 2021, 151, 111564. [Google Scholar] [CrossRef]
  20. Schmitz, O.; Klingels, H.; Kufner, P. Aero Engine Concepts Beyond 2030: Part 1—The Steam Injecting and Recovering Aero Engine. ASME J. Eng. Gas Turbines Power 2021, 143, 021001. [Google Scholar] [CrossRef]
  21. Kaiser, S.; Schmitz, O.; Ziegler, P.; Klingels, H. The Water-Enhanced Turbofan as Enabler for Climate-Neutral Aviation. Appl. Sci. 2022, 12, 12431. [Google Scholar] [CrossRef]
  22. Pouzolz, R.; Schmitz, O.; Klingels, H. Evaluation of the Climate Impact Reduction Potential of the Water-Enhanced Turbofan (WET) Concept. Aerospace 2021, 8, 59. [Google Scholar] [CrossRef]
  23. Strusnik, D.; Avsec, J. Exergoeconomic Machine-Learning Method of Integrating a Thermochemical Cycle in a Multigeneration Combined Cycle Gas Turbine for Hydrogen Production. Int. J. Hydrog. Energy 2022, 47, 17121–17149. [Google Scholar] [CrossRef]
  24. Tudosie, A.-N. Mathematical Model For A Jet Engine with Cooling Fluid Injection. In Proceedings of the 16th International Conference of Scientific Paper (AFASES 2014), Brasov, Romania, 22–24 May 2014. [Google Scholar]
  25. Jaw, L.C.; Matingly, J. Aircraft Engine Controls. Design, System Analisys and Health Monitoring; American Institute of Aeronautics and Astronautics: Reston, VA, USA, 2009. [Google Scholar]
  26. Tudosie, A.-N. Coolant Injection System for Aircraft Engine Compressor. In Proceedings of the 20th International Carpathian Control Conference (ICCC), Krakow-Wieliczka, Poland, 26–29 May 2019. [Google Scholar] [CrossRef]
  27. Tudosie, A.-N. Embedded Control System for an Aircraft High Bypass Turbofan with Coolant Injection into the Compressor. In Proceedings of the 23rd International Carpathian Control Conference, Sinaia, Romania, 29 May–1 June 2022. [Google Scholar] [CrossRef]
  28. Tudosie, A.-N. Study of an Aircraft Turbo-Jet Engine as Controlled Object. In Proceedings of the 25th International Carpathian Control Conference (ICCC), Krynica Zdrój, Poland, 22–24 May 2024. [Google Scholar] [CrossRef]
  29. Fortuna, L.; Frasca, M.; Buscarino, A. Optimal and Robust Control: Advanced Topics with MATLAB®; CRC Press: Boca Raton, FL, USA, 2021. [Google Scholar]
Disclaimer/Publisher’s Note: The statements, opinions and data contained in all publications are solely those of the individual author(s) and contributor(s) and not of MDPI and/or the editor(s). MDPI and/or the editor(s) disclaim responsibility for any injury to people or property resulting from any ideas, methods, instructions or products referred to in the content.

Article Metrics

Citations

Article Access Statistics

Multiple requests from the same IP address are counted as one view.