Toward a Regional-Scale Seasonal Climate Prediction System over Central Italy Based on Dynamical Downscaling
Abstract
1. Introduction
2. Modeling Chain and Evaluation Metrics
3. Results and Discussion
3.1. Temperature Assessment
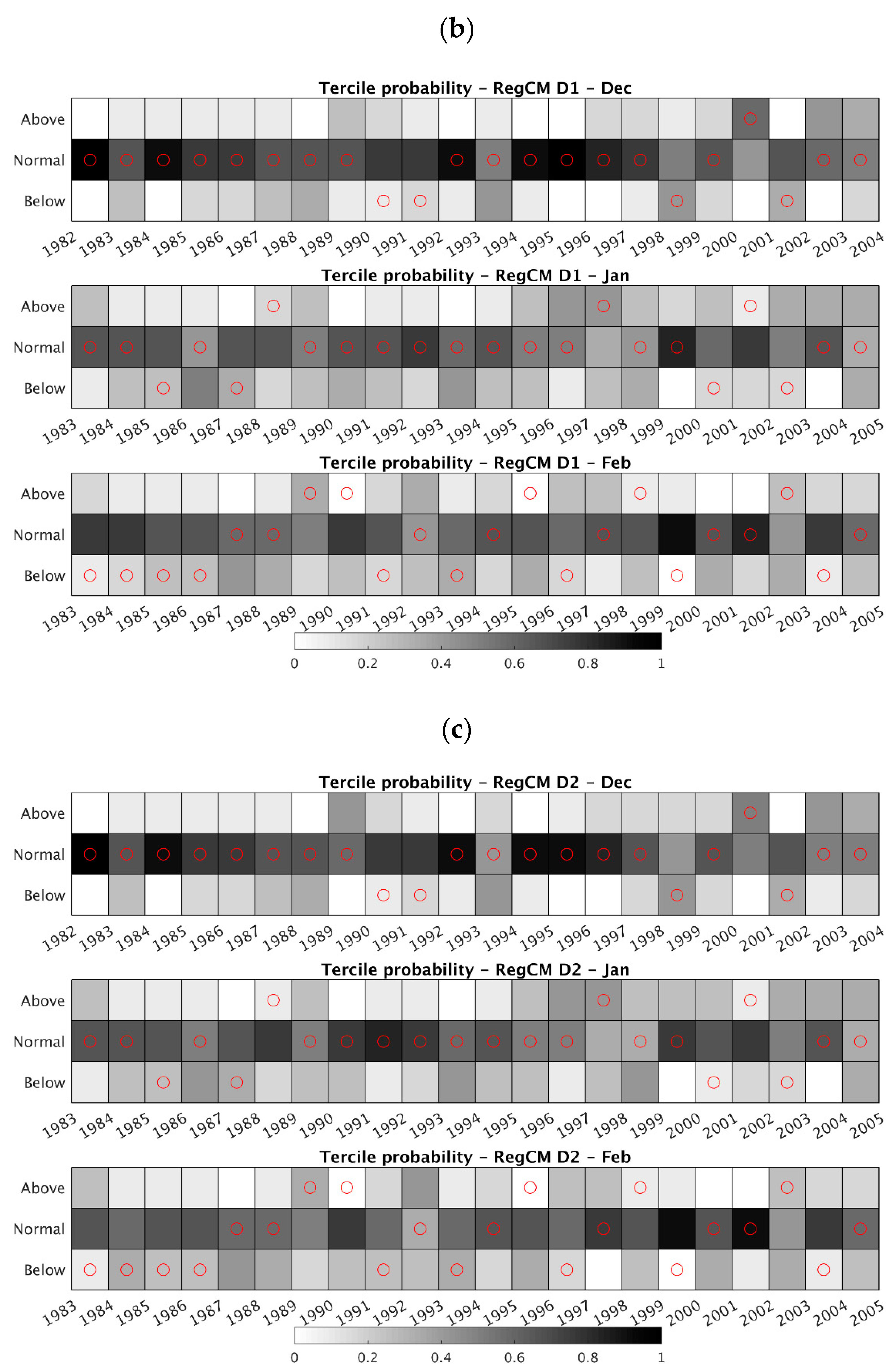
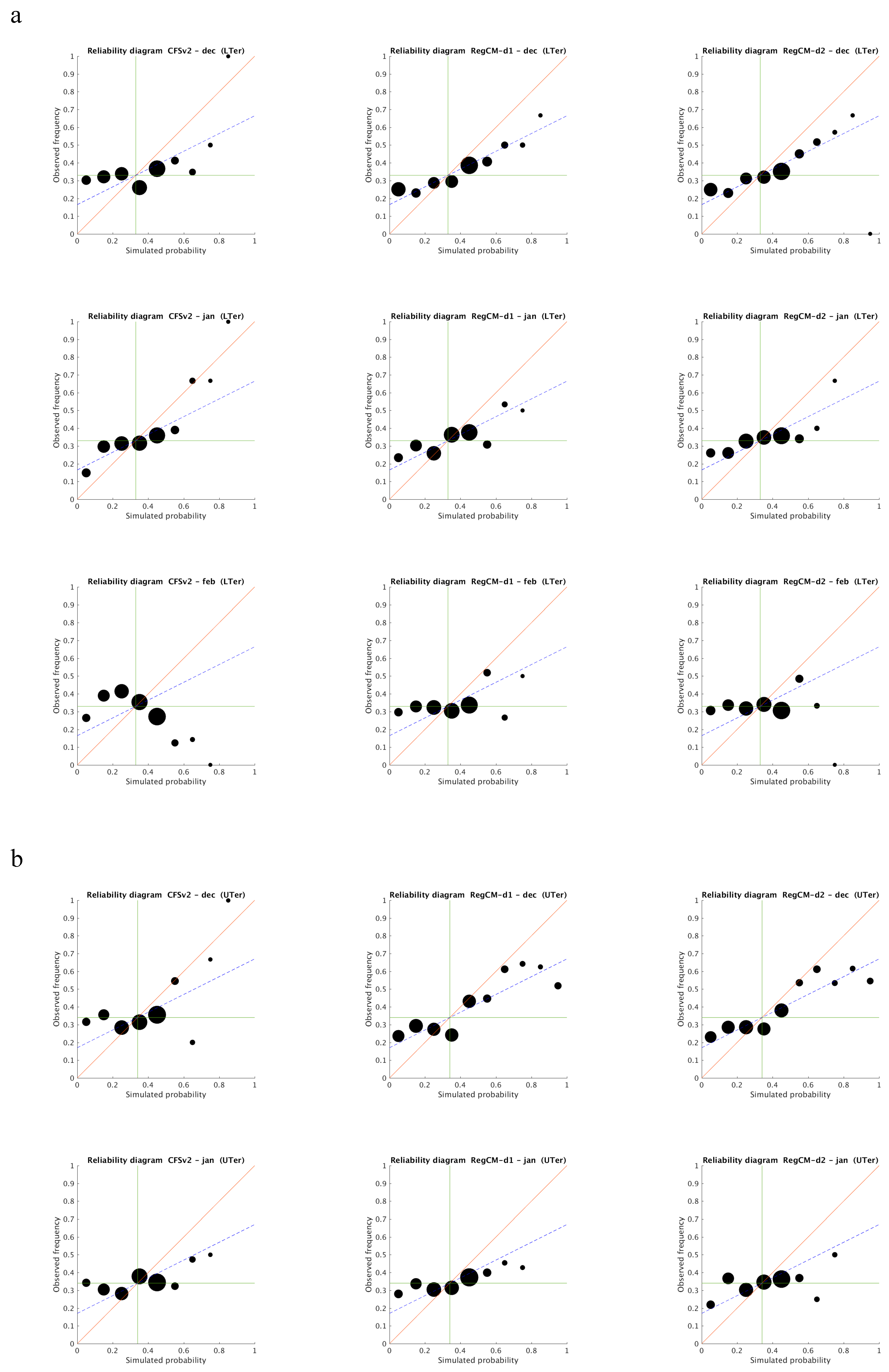
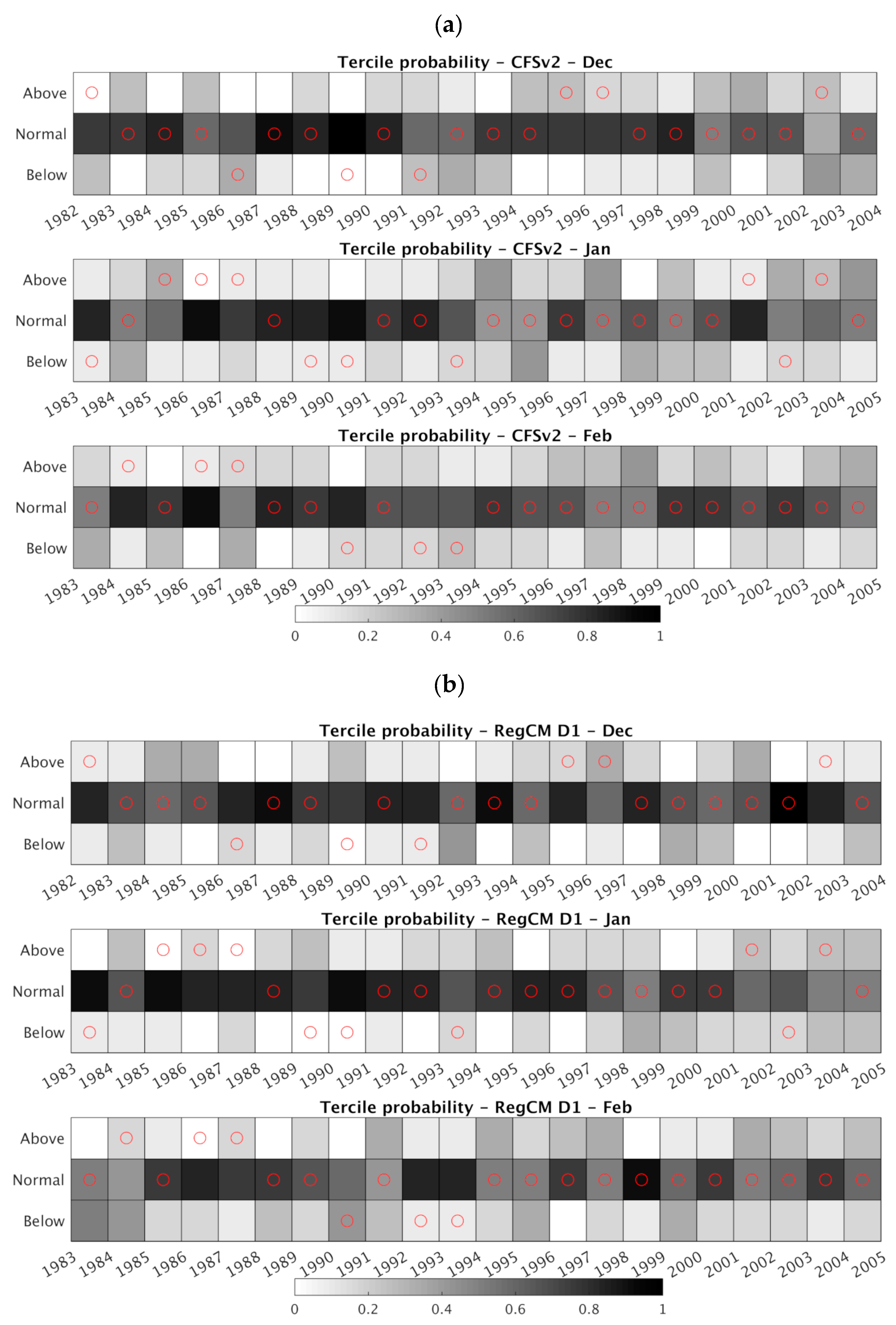
3.2. Precipitation Assessment
4. Summary and Conclusions
Author Contributions
Acknowledgments
Conflicts of Interest
References
- Kumar, A. On the assessment of the value of the seasonal forecast information. Meteorol. Appl. 2010, 17, 385–392. [Google Scholar] [CrossRef]
- Goddard, L.; Mason, S.J.; Zebiak, S.E.; Ropelewski, C.F.; Basher, R.; Cane, M.A. Current approaches to seasonal-to-interannual climate predictions. Int. J. Climatol. 2001, 21, 1111–1152. [Google Scholar] [CrossRef]
- Alexander, M.A.; Bladé, I.; Newman, M.; Lanzante, J.R.; Lau, N.C.; Scott, J.D. The atmospheric bridge: The influence of ENSO teleconnections on air-sea interaction over the global oceans. J. Clim. 2002, 15, 2205–2231. [Google Scholar] [CrossRef]
- Grassi, B.; Redaelli, G.; Visconti, G. Evidence for tropical sst influence on antarctic polar atmospheric dynamics. Geophys. Res. Lett. 2009, 36, 1–5. [Google Scholar] [CrossRef]
- Manzanas, R.; Frías, M.D.; Cofiño, A.S.; Gutiérrez, J.M. Validation of 40 year multimodel seasonal precipitation forecasts: The role of enso on the global skill. J. Geophys. Res. 2014, 119, 1708–1719. [Google Scholar] [CrossRef]
- Stockdale, T.N.; Anderson, D.L.T.; Balmaseda, M.A.; Doblas-Reyes, F.; Ferranti, L.; Mogensen, K.; Palmer, T.N.; Molteni, F.; Vitart, F. ECMWF seasonal forecast system 3 and its prediction of sea surface temperature. Clim. Dyn. 2011, 37, 455–471. [Google Scholar] [CrossRef]
- Mariotti, A.; Zeng, N.; Lau, K.M. Euro-Mediterranean rainfall and ENSO-a seasonally varying relationship. Geophys. Res. Lett. 2002, 29, 2–5. [Google Scholar] [CrossRef]
- Grassi, B.; Redaelli, G.; Visconti, G. Arctic sea ice reduction and extreme climate events over the mediterranean region. J. Clim. 2013, 26, 10101–10110. [Google Scholar] [CrossRef]
- Mishra, N.; Prodhomme, C.; Guemas, V. Multi-model skill assessment of seasonal temperature and precipitation forecasts over Europe. Clim. Dyn. 2019, 52, 4207–4225. [Google Scholar] [CrossRef]
- Ineson, S.; Scaife, A.A. The role of the stratosphere in the European climate response to El Nĩo. Nat. Geosci. 2009, 2, 32–36. [Google Scholar] [CrossRef]
- Marshall, A.G.; Scaife, A.A. Impact of the QBO on surface winter climate. J. Geophys. Res. Atmos. 2009, 114, 2–7. [Google Scholar] [CrossRef]
- Saha, S.; Nadiga, S.; Thiaw, C.; Wang, J.; Wang, W.; Zhang, Q.; Van den Dool, H.M.; Pan, H.L.; Moorthi, S.; Behringer, D.; et al. The NCEP Climate Forecast System. J. Clim. 2006, 19, 3483–3517. [Google Scholar] [CrossRef]
- Molteni, F.; Stockdale, T.; Balmaseda, M.; Balsamo, G.; Buizza, R.; Ferranti, L.; Magnusson, L.; Mogensen, K.; Palmer, T.; Vitart, F. The New ECMWF Seasonal Forecast System (System 4). ECMWF Tech. Memo. 2011, 656, 49. [Google Scholar]
- Maclachlan, C.; Arribas, A.; Peterson, K.A.; Maidens, A.; Fereday, D.; Scaife, A.A.; Gordon, M.; Vellinga, M.; Williams, A.; Comer, R.E.; et al. Global Seasonal forecast system version 5 (GloSea5): A high-resolution seasonal forecast system. Q. J. R. Meteorol. Soc. 2015, 141, 1072–1084. [Google Scholar] [CrossRef]
- Voldoire, A.; Sanchez-Gomez, E.; Salas y Mélia, D.; Decharme, B.; Cassou, C.; Sénési, S.; Valcke, S.; Beau, I.; Alias, A.; Chevallier, M.; et al. The CNRM-CM5.1 global climate model: Description and basic evaluation. Clim. Dyn. 2013, 40, 2091–2121. [Google Scholar] [CrossRef]
- Cherchi, A.; Fogli, P.G.; Lovato, T.; Peano, D.; Iovino, D.; Gualdi, S.; Masina, S.; Scoccimarro, E.; Materia, S.; Bellucci, A.; et al. Global Mean Climate and Main Patterns of Variability in the CMCC-CM2 Coupled Model. J. Adv. Model. Earth Syst. 2019, 11, 185–209. [Google Scholar] [CrossRef]
- Sangelantoni, L.; Russo, A.; Gennaretti, F. Impact of bias correction and downscaling through quantile mapping on simulated climate change signal: A case study over Central Italy. Theor. Appl. Climatol. 2019, 135, 725–740. [Google Scholar] [CrossRef]
- Diro, G.T.; Tompkins, A.M.; Bi, X. Dynamical downscaling of ECMWF Ensemble seasonal forecasts over East Africa with RegCM3. J. Geophys. Res. Atmos. 2012, 117, 1–20. [Google Scholar] [CrossRef]
- Ogwang, B.A.; Chen, H.; Li, X.; Gao, C. The Influence of Topography on East African October to December Climate: Sensitivity Experiments with RegCM4. Adv. Meteorol. 2014, 2014, 1–14. [Google Scholar] [CrossRef]
- Phan Van, T.; Van Nguyen, H.; Trinh Tuan, L.; Nguyen Quang, T.; Ngo-Duc, T.; Laux, P.; Nguyen Xuan, T. Seasonal Prediction of Surface Air Temperature across Vietnam Using the Regional Climate Model Version 4.2 (RegCM4.2). Adv. Meteorol. 2014, 2014, 1–13. [Google Scholar] [CrossRef]
- Siegmund, J.; Bliefernicht, J.; Laux, P.; Kunstmann, H. Toward a seasonal precipitation prediction system for West Africa: Performance of CFSv2 and high-resolution dynamical downscaling. J. Geophys. Res. 2015, 120, 7316–7339. [Google Scholar] [CrossRef]
- Díez, E.; Orfila, B.; Frías, M.D.; Fernández, J.; Cofiño, A.S.; Gutiérrez, J.M. Downscaling ECMWF seasonal precipitation forecasts in Europe using the RCA model. Tellus Ser. A Dyn. Meteorol. Oceanogr. 2011, 63, 757–762. [Google Scholar]
- Patarčić, M.; Branković, Č. Skill of 2-m Temperature Seasonal Forecasts over Europe in ECMWF and RegCM Models. Mon. Weather Rev. 2011, 140, 1326–1346. [Google Scholar] [CrossRef]
- Bedia, J.; Golding, N.; Casanueva, A.; Iturbide, M.; Buontempo, C.; Gutiérrez, J.M. Seasonal predictions of Fire Weather Index: Paving the way for their operational applicability in Mediterranean Europe. Clim. Serv. 2018, 9, 101–110. [Google Scholar] [CrossRef]
- Messeri, G.; Benedetti, R.; Crisci, A.; Gozzini, B.; Rossi, M.; Vallorani, R.; Maracchi, G. A new framework for probabilistic seasonal forecasts based on circulation type classifications and driven by an ensemble global model. Adv. Sci. Res. 2018, 15, 183–190. [Google Scholar] [CrossRef]
- Giorgi, F.; Lionello, P. Climate change projections for the Mediterranean region. Glob. Planet. Chang. 2008, 63, 90–104. [Google Scholar] [CrossRef]
- Giorgi, F.; Mearns, L.O. Introduction to special section: Regional Climate Modeling Revisited. J. Geophys. Res. 1999, 104, 6335. [Google Scholar] [CrossRef]
- Giorgi, F.; Coppola, E.; Solmon, F.; Mariotti, L.; Sylla, M.B.; Bi, X.; Elguindi, N.; Diro, G.T.; Nair, V.; Giuliani, G.; et al. RegCM4: Model description and preliminary tests over multiple CORDEX domains. Clim. Res. 2012, 52, 7–29. [Google Scholar] [CrossRef]
- Pal, J.S.; Small, E.E.; Eltahir, E.A.B. Simulation of regional-scale water and energy budgets: Representation of subgrid cloud and precipitation processes within RegCM. J. Geophys. Res. Atmos. 2000, 105, 29579–29594. [Google Scholar] [CrossRef]
- Grell, G. Prognostic evaluation of assumption used by cumulus parameterizations. Mon. Weather Rev. 1991, 121, 764–787. [Google Scholar] [CrossRef]
- Arakawa, A.; Schubert, W.H. Interaction of a cumulus cloud ensemble with the large-scale environment, part I. J. Atmos. Sci. 1974, 31, 674–701. [Google Scholar] [CrossRef]
- Zeng, X.B. Intercomparison of six bulk aerodynamic algorithms for the computation of sea surface fluxes. Ninth Conf. Interact. Sea Atmos. 1998, 226–229. [Google Scholar]
- Dickinson, R.; Errico, R.; Giorgi, F.; Bates, G. A regional climate model for the western United States. Clim. Chang. 1989, 15, 383–422. [Google Scholar] [CrossRef]
- Emanuel, K. A Scheme for Representing Cumulus Convection in Large-Scale Models. J. Atmos. Sci. 1991, 2313–2335. [Google Scholar] [CrossRef]
- Saha, S.; Moorthi, S.; Wu, X.; Wang, J.; Nadiga, S.; Tripp, P.; Behringer, D.; Hou, Y.; Chuang, H.; Iredell, M.; et al. The NCEP Climate Forecast System Version 2. J. Clim. 2014, 3, 2185–2208. [Google Scholar] [CrossRef]
- Saha, S.; Moorthi, S.; Wu, X.; Wang, J.; Nadiga, S.; Tripp, P.; Behringer, D.; Hou, Y.; Chuang, H.; Iredell, M.; et al. The NCEP Climate Forecast system reanalysis. Am. Meteorol. Soc. 2010, 16, 1015–1058. [Google Scholar] [CrossRef]
- Jolliffe, I.T.; Stephenson, D.B. Forecast Verification A Pratictioner’s Guide in Atmospheric Science; John Wiley & Sons Ltd: Chichester, UK, 2003; ISBN 0470864419. [Google Scholar]
- Weisheimer, A.; Palmer, T.N. On the Reliability Seasonal Climate Forecasts. Bull. Am. Meteorol. Soc. 2013, 62, 1654. [Google Scholar] [CrossRef]
- Manzanas, R.; Gutiérrez, J.M.; Fernández, J.; van Meijgaard, E.; Calmanti, S.; Magariño, M.E.; Cofiño, A.S.; Herrera, S. Dynamical and statistical downscaling of seasonal temperature forecasts in Europe: Added value for user applications. Clim. Serv. 2018, 9, 44–56. [Google Scholar] [CrossRef]
- Nikulin, G.; Asharaf, S.; Magariño, M.E.; Calmanti, S.; Cardoso, R.M.; Bhend, J.; Fernández, J.; Frías, M.D.; Fröhlich, K.; Früh, B.; et al. Dynamical and statistical downscaling of a global seasonal hindcast in eastern Africa. Clim. Serv. 2018, 9, 72–85. [Google Scholar] [CrossRef]
- Skamarock, W.C.; Klemp, J.B. A time-split nonhydrostatic atmospheric model for weather research and forecasting applications. J. Comput. Phys. 2008, 227, 3465–3485. [Google Scholar] [CrossRef]
- Kosovelj, K.; Kucharski, F.; Molteni, F.; Žagar, N. Modal Decomposition of the Global Response to Tropical Heating Perturbations Resembling MJO. J. Atmos. Sci. 2019, 76, 1457–1469. [Google Scholar] [CrossRef]
















| Mean-MAE | 5p-MAE | 50p-MAE | 95p-MAE | Inter-Annual Anomaly-MAE | |
|---|---|---|---|---|---|
| CFSv2 | 1.7 | 2.2 | 1.7 | 1.5 | 1.8 ± 0.20 |
| RegCM-d1 | 1.4 | 1.7 | 1.4 | 1.4 | 1.5 ± 0.19 |
| RegCM-d2 | 0.8 | 1.0 | 0.8 | 0.8 | 1.5 ± 0.20 |
| Mean-MAE | 50p-MAE | 95p-MAE | Inter-Annual Anomaly-MAE | |
|---|---|---|---|---|
| CFSv2 | 0.7 | 0.2 | 3.2 | 1.5 ± 0.16 |
| RegCM-d1 | 0.6 | 0.2 | 3.4 | 1.5 ± 0.13 |
| RegCM-d2 | 0.8 | 0.2 | 4.6 | 1.5 ± 0.12 |
© 2019 by the authors. Licensee MDPI, Basel, Switzerland. This article is an open access article distributed under the terms and conditions of the Creative Commons Attribution (CC BY) license (http://creativecommons.org/licenses/by/4.0/).
Share and Cite
Sangelantoni, L.; Ferretti, R.; Redaelli, G. Toward a Regional-Scale Seasonal Climate Prediction System over Central Italy Based on Dynamical Downscaling. Climate 2019, 7, 120. https://doi.org/10.3390/cli7100120
Sangelantoni L, Ferretti R, Redaelli G. Toward a Regional-Scale Seasonal Climate Prediction System over Central Italy Based on Dynamical Downscaling. Climate. 2019; 7(10):120. https://doi.org/10.3390/cli7100120
Chicago/Turabian StyleSangelantoni, Lorenzo, Rossella Ferretti, and Gianluca Redaelli. 2019. "Toward a Regional-Scale Seasonal Climate Prediction System over Central Italy Based on Dynamical Downscaling" Climate 7, no. 10: 120. https://doi.org/10.3390/cli7100120
APA StyleSangelantoni, L., Ferretti, R., & Redaelli, G. (2019). Toward a Regional-Scale Seasonal Climate Prediction System over Central Italy Based on Dynamical Downscaling. Climate, 7(10), 120. https://doi.org/10.3390/cli7100120

