Abstract
As global warming continues, extremes in key climate parameters will become more frequent. These extremes are one of the main challenges for the sustainability of cities. The aim of this study is to provide a better understanding of the evolution of extremes in precipitation (pcp) and maximum (Tmax) and minimum (Tmin) temperatures in Grand-Nokoué to improve the resilience of the region. To this end, historical daily precipitation and maximum (Tmax) and minimum (Tmin) temperature data from the Cotonou synoptic station were used from 1991 to 2020. First, the extreme events identified using the 99th percentile threshold were used to analyze their annual and monthly frequency. Secondly, a Generalized Extreme Value (GEV) distribution was fitted to the annual maxima with a 95% confidence interval to determine the magnitude of the specific return periods. The parameters of this distribution were estimated using the method of L moments, considering non-stationarity. The results of the study showed significant upward trends in annual precipitation and minimum temperatures, with p-values of 0.04 and 0.001, respectively. Over the past decade, the number of extreme precipitation and Tmin events has exceeded the expected number. The model provides greater confidence for periods ≤ 50 years. Extreme values of three-day accumulations up to 68.21 mm for pcp, 79.38 °C for Tmin and 97.29 °C for Tmax are expected every two years. The results of this study can be used to monitor hydroclimatic hazards in the region.
1. Introduction
Although the geological record shows climatic variations throughout history [1], the current rate of global warming poses a serious threat to the survival of ecosystems, particularly those in urban environments [2]. These climatic phenomena, reflected in the intensification and recurrence of extreme weather events [3,4,5], represent one of the major challenges of sustainable development [6]. These extreme phenomena contribute to more than fifty percent (50%) of economic losses worldwide [7]. Several studies have shown that urban environments are most affected by these events [8,9,10]. According to [11], the impact of extreme weather events on cities will be alarming even if temperature increases are kept well below 1.5 °C or 2 °C, as called for in the Paris Agreement. The Sixth Assessment Report of the Intergovernmental Panel on Climate Change (IPCC) [12] provides scientific evidence that the current rate of global warming will increase, putting billions of people at risk by affecting livelihoods and essential infrastructure. Already home to 4.2 billion people, or more than half (56%) of the world’s population [13], urban areas will be home to some 9.8 billion people by 2050 [14].
In Africa, the urbanization rate is rising steadily (from 35% in 2000 to 43.5% in 2020), the fastest in the world [15]. This rapid urban growth will inevitably exacerbate climate challenges [9,16]. In sub-Saharan Africa, for example, 654 flood events were recorded between 1980 and 2010, affecting 38 million people and causing about 13,000 deaths [17]. In Benin, flood losses and damages were estimated at USD 91.10 million in 2019 [18,19]. Research by [11,20] has confirmed that floods have significant impacts on urban environments, such as loss of economic activity, destruction of infrastructure, falling trees, and an increase in vector-borne diseases. In addition, human activities in urban environments lead to the formation of urban heat islands [21], which can affect air and surface temperatures [22]. This formation of urban heat islands leads to an increase in the frequency of heat waves, which have significant impacts on the physical infrastructure of cities, particularly on stormwater management systems in urban areas [20,23,24,25] have concluded that heat waves affect both the well-being of urban dwellers and their livelihoods. As urbanization continues to accelerate, the increasing frequency and severity of climate risks in cities will become more apparent [26]. At a time when half of the world’s economic output is produced in African cities [27], we need to know the frequency and magnitude of extreme climate events to inform urban management policies.
Located in an intertropical zone, Benin is already suffering from the consequences of extreme climatic events. Studies by [28,29] have shown that the country’s climatic parameters are unstable in both time and space. Between the periods 1971–2000 and 1941–1970, the average temperature increased by 1 °C [30]. Several studies have shown that Benin is one of the countries most exposed to climate change [31,32], which manifests itself in increased variability and recurrence of extreme weather events such as floods, heat waves and droughts [33,34]. The National Adaptation Plan identifies extreme weather events as the main climate risks affecting the development of the country’s main economic sectors [35]. However, the National Report on Climate and Development indicates that weather conditions will experience greater variability and more extreme climatic events [36]. As the climate continues to change, the risks associated with extreme events will become increasingly important [37]. The management of hydroclimatic risks is therefore becoming one of the major emerging challenges [11,38] to be considered to reduce climate impacts [39]. As the country is experiencing increasing urbanization [27], the integration of climate risks into local urbanization policies and plans is becoming a necessity to strengthen the resilience of its cities [11]. In addition, the country has a law on climate change that, among other things, requires effective responses to climate change [40]. Studies on the dynamics of climate extremes in the country are generally carried out at the national level, while those involved in subsistence agriculture, water management and socio-economic sectors need very precise information on precipitation and temperature extremes. Analysis of the frequency of extreme events at the local scale is therefore useful to provide scientific knowledge for local planning [41]. Supported by statistical models, it provides an opportunity to solve the problem of estimating the frequency of these extreme events and to better manage the risks associated with them at the local level [42].
This study aims to gain a better understanding of trends in precipitation extremes (pcp) and maximum (Tmax) and minimum (Tmin) temperatures to improve the resilience of the Grand-Nokoué region. To this end, trends in the interannual variability of these climatic parameters are analyzed in Section 3. The frequency of extreme events based on the 99th percentile is presented in Section 4. Section 5 presents the magnitude of extreme events expected at specific return periods in Grand-Nokoué using a statistical model based on the non-stationary Generalized Extreme Value Distribution (GEV).
2. Materials and Methods
2.1. Study Area
Located between 6°18′ and 6°30′ N latitude and 2°02′ and 2°40′ E longitude, Grand-Nokoué is bordered to the north by inland communes, to the south by the Atlantic Ocean, to the east by Nigeria and to the west by the commune of Grand-Popo (Figure 1). Grand-Nokoué has a synoptic station (6°21′ N and 2°23′ E) that records and provides the various climatic parameters of the region.
Figure 1.
Geographic location of Grand-Nokoué.
The population of Grand-Nokoué grew from 604,106 in 1979 to 1,388,190 in 2002 and 1,984,206 in 2013. By 2025, the region will be home to 3,141,482 inhabitants, or 25% of Benin’s population [43]. This population growth justifies the presence of goods and services likely to be affected by extreme climatic events, hence the need to understand the hydroclimatic dynamics of the area. The surface of buildings is constantly increasing. From 496.93 km2 in 2014, it has increased to 454.65 km2 in 2018 to reach 561.79 km2 in 2020.
2.2. Data Collection
The data used in this study mainly concern precipitation and maximum and minimum temperatures. These daily data, covering the 1991–2020 period, come from the Cotonou synoptic station (6°21′ N and 2°23′ E) and are provided by the National Meteorological Agency of Benin (Météo-Bénin). This set of data represents the latest World Meteorological Organization (WMO) standard and is used to highlight current trends in climatic parameters.
2.3. Data Processing and Analysis
In this study, data processing and various statistical tests were carried out using R software version 4.4.0 and its associated packages. Before proceeding with the actual analysis, the data were subjected to a quality control using Rclimdex, a climate algorithm used with the R environment [44]. This tool is recommended by the ETCCDMI expert group for its ability to identify errors that may be present in daily data during collection and to detect indicators of climate change [45]. No outliers or missing data were observed in the dataset of this study. The statistical tests and analysis methods are described below:
2.3.1. Mann–Kendall Test
The Mann–Kendall test was used to analyze the temporal trends in precipitation, Tmin and Tmax. This is a nonparametric statistical test that makes no assumptions about the underlying distribution of the data. It is commonly used to analyze trends in climatological and hydrological time series data [46,47]. It is used to test for the existence of a linear trend in a time series. The null hypothesis (H₀) tested at the 5% threshold is the absence of a trend. If the p-value is less than the chosen significance threshold (5%), the H₀ hypothesis is rejected and we conclude that there is a significant trend. This test was performed using the trend package of the R software [44,48]. The Mann–Kendall statistical formula can be described by the following Equations (1) and (2):
where n is the sample length and xi and xj are i = 1, 2, …, n − 1 and j = i + 1, …, n.
With
2.3.2. Estimating Sen’s Slope
After identifying trends using the Mann–Kendall test, Sen’s slope estimation test was used to estimate the magnitude of the change in trend. This test, often applied to long series, can be used to assess the increase and decrease in the magnitude of the slope corresponding to the Mann–Kendall values [48,49]. Slope pairs can be calculated for all data showing a linear trend by a simple, systematic, nonparametric procedure whose equation is Equation (3):
where Ti is the slope and xj and xk are the data values at times j and k, respectively. The average of the n values of Ti is Sen’s slope estimator (Qi) and is calculated using Equation (4).
2.3.3. Extreme Event Identification and Analysis
An extreme climatic event is generally defined as the occurrence of a value of a data series of a climatic parameter above or below a threshold very close to the upper or lower peaks of the series of observed values of this parameter [50,51]. In this study, the threshold corresponds to the 99th percentile of the cumulative precipitation or temperature value over three consecutive days. This technique is used in several studies in the subregion to determine the threshold for extreme hydroclimatic events [50,52]. We calculated the cumulative total for three consecutive days from the daily values to calculate this threshold for each of the climatic parameters (precipitation, maximum temperature and minimum temperature). The use of three-day accumulations allows better preparation for extreme weather events [50,51]. These accumulations, stored in a vector, are sorted in ascending order. The rank index is then calculated by multiplying 99% by the total number of values in that vector to extract the corresponding value from the ordered vector. This value is then considered the threshold value. All values in the cumulative series that are greater than or equal to this threshold are considered extreme events. On the one hand, the number of extreme events has been standardized to facilitate the analysis of their inter-annual frequency. Secondly, the monthly filter of recorded extreme events was used to determine the frequency of extreme events in each month over the last thirty years. The significance of the differences observed between months was assessed using the Chi2 test for each of the climatic parameters highlighted.
2.3.4. Modeling of Extreme Values
Extreme value modelling is very useful for predicting rare extreme events [53,54]. The theory of annual extremes was used to determine the extreme events associated with specific return periods of 2, 5, 10, 50 and 100 years. This theory has been used in meteorology and hydrology for several years [55]. It is a powerful and relatively robust analytical technique for studying the tail of a distribution [53,56]. This theory uses several statistical laws to fit the extreme values. In this study, the Generalized Extreme Value Distribution (GEV) model was used.
Generalized Extreme Value (GEV) Model
The Generalized Extreme Value distribution (GEV) model is used in this study because of its ability to adapt to different types of extreme phenomena such as floods, heat waves, and hurricanes [53,54]. The GEV distribution combines three specific types of extreme value distributions, namely, the Gumbel, Fréchet, and Weibull distributions, thus accounting for different types of tail behaviors. It has been shown to be useful for modeling extreme weather events [57], for risk assessment and for informing disaster preparedness strategies [54,58]. In this study, it was applied to the annual maximum cumulative precipitation and maximum and minimum temperatures for three consecutive days at the Cotonou station. The generalized distribution law of extreme values (GEV) is determined by the following Equation (5):
where μ is the position parameter, σ > 0 is the scale parameter and ξ is the shape parameter.
Estimation of GEV Parameters Using the L-Moments Method
The parameters of the GEV distribution were estimated using the L-moments method [57,58,59]. This method is robust to anomalies in the data series. It is also more stable for small samples, as is the case in our study (30 years). In addition, the L-moments method provides more stable and reliable estimates than the maximum likelihood method for parameters associated with the GEV distribution and event return levels, especially for small samples [57,59]. For its application, we used linear combinations of the data to determine the L-moments (the mean and variance of the data series). Initially, the L-moments were used to estimate the parameters of the stationary GEV model. However, since the stationarity assumption for meteorological or hydrological time series is often challenged by climate change and variability, we then modeled the location parameter (μ) as a function of year using linear regression. This approach leads to the assumption of a non-stationary model, which is strongly recommended for this type of analysis [55,58,59,60].
In fact, these studies have shown that model parameters are not necessarily constant, but may depend on time or other explanatory variables. The location parameter (μ) determines the central position of the distribution. In a non-stationary analysis, this parameter is assumed to vary over time. Therefore, in this study, the location parameter (μ) was modeled as a function of time (t) to highlight temporal trends in hydroclimatic variables, while the scale (σ) and shape (ξ) parameters were modeled [61]. The linear regression adopted to model μ is given by the following Equation (6):
where μ₀ (intercept) corresponds to the initial value of μ at the beginning of the period and μ₁ (trend coefficient) represents the rate of change in μ per year.
After characterizing the parameters of the two models, the nonstationary was fitted to the annual maximums of the three-day accumulations of the pcp variables, Tmax and Tmin, with a 95% confidence interval, to determine the magnitude of the specific return periods. Calculations were performed using the R software packages exTreme 2.0 [62], lmomRFA [63] and lmom [44,64].
3. Results
3.1. Interannual Variability Trend Analysis
The interannual trend of precipitation and minimum and maximum temperatures from 1991 to 2020 is shown in Figure 2. Analysis of this figure shows variations in all climatic parameters of interest.
Figure 2.
Interannual trend in pcp (a), Tmax (b) and Tmin (c) from 1991 to 2020 at the Cotonou station.
From the statistical results of the trend- and slope-level tests reported in Table 1, we observe positive tau values of 0.25 and 0.14 for annual precipitation and minimum temperatures, respectively, with p-values below the 5% threshold (0.04 and 0.001). These values imply that the increasing trends observed in precipitation and Tmin are significant. On the other hand, the annual Tmax did not show a significant trend (p = 0.30). The median values of Sen’s estimation test on annual precipitation show that 50% of the slopes are greater than or equal to 11.22, i.e., an annual increase of 11.22 mm in precipitation. As for temperatures, there is an annual increase of 0.02 °C overnight between 1991 and 2020.
Table 1.
Result of Mann–Kendall’s test and Sen’s slope analysis for annualized climatic parameters.
3.2. Analysis of the Frequency of Extreme Events
Starting from the defined threshold (99th percentile), 110 extreme events were recorded during the thirty years of the study (1991–2020), both for the three-day cumulative precipitation series and for the Tmax series. For Tmin, the total number is 108. Figure 3 shows the evolution of the mean normalized annual number of extreme precipitation, Tmax and Tmin events over the 1991–2020 period. Figure 3a shows that almost half of the years (14/30) studied recorded more extreme events than expected. The years 2019 and 2020 alone recorded more than 27% of the total extremes or more than a quarter of the extreme events. Conversely, the Tmin analysis recorded more extreme events than expected over the last decade.
Figure 3.
Annual change in standardized number of extreme precipitation events (a); Tmax (b); and Tmin (c) at Cotonou station from 1991 to 2020.
Figure 4 below illustrates the monthly proportions of extreme events. It shows that precipitation extremes are spread over seven consecutive months, starting in April. The highest peaks are recorded in June (27.27%), July (27.27%) and September (20%). The difference in the monthly number of extreme precipitation events is statistically highly significant (p-value < 0.001). As for the Tmax extremes, they are mainly distributed in the months of February and March, representing, respectively, 78.18% and 20.91% of the total recorded in the last thirty years. The Chi-square test applied at the 5% threshold shows a p-value < 0.001, indicating highly significant differences in the occurrence of Tmax extremes. Furthermore, extreme Tmin events are recorded for four consecutive months, starting in February. The numbers recorded in March and April are higher, accounting for 33.33% and 53.7%, respectively, of all Tmin extremes over the thirty-year study period. Since the p-value of the difference test is <0.001, we can conclude that the monthly evolution of these events is in no way related to chance.
Figure 4.
Seasonal frequency of extreme hydroclimatic events at Cotonou station from 1991 to 2020.
3.3. Determination of the Extreme Values for Different Return Periods
3.3.1. GEV Hydroclimatic Parameter Analysis: Stationary and Non-Stationary Models Based on L-Moments Method
Table 2 summarizes the parameters (μ, σ, ξ) of the stationary and non-stationary models fitted for pcp, Tmax and Tmin. According to the methodology used, the shape (ξ) and scale (σ) parameters estimated by the stationary method are kept constant in the non-stationary model.
Table 2.
GEV distribution parameters for stationary and non-stationary models based on the L-method.
In the stationary model, the mean maximum precipitation is fixed at 61.45 mm. Conversely, the non-stationary model shows an increasing trend of 0.64 mm per year, with an initial value estimated at 64.26 mm in 1991, the reference year. The standard deviation (σ), set at 18.19 mm, reflects significant variability around the mean. Furthermore, the shape parameter (ξ), equal to −0.08, suggests that exceptionally intense precipitation events remain rare. However, their occurrence could be slightly more frequent than would be expected from a perfectly symmetric distribution.
In the stationary model, Tmax remain constant around a mean value of 96.22 °C. In contrast, in the non-stationary model, mean maximum temperatures follow an increasing trend of 0.15 °C per year, with an initial mean temperature of 99.69 °C in 1991. The standard deviation (σ), constant at 3.07 °C, indicates low variability around the mean, while the shape parameter (ξ), set at 0.24, indicates an increased probability of extreme events such as heat waves.
As for the Tmin, they stabilize around a fixed mean of 79.08 °C in the stationary model. Conversely, the transient model shows a moderate increase of 0.04 °C per year, with an initial mean of 78.10 °C in 1991. The standard deviation (σ), evaluated at 0.80 °C, highlights the low variability around the mean, while the shape parameter (ξ), slightly negative (−0.05), reflects an asymmetry, indicating that exceptionally low temperatures are rare. This suggests a slight tendency towards fewer extreme events, such as sudden drops in temperature.
3.3.2. Quality of Fit Analysis of the Generalized Extreme Value Distribution (GEV)
The quality of the generalized extreme value (GEV) distribution model is estimated for each climate parameter by comparing the theoretical quantiles (predicted by the model) with the empirical quantiles (derived from observed data) using quantile–quantile plots. This test is one of the simplest and most effective techniques for assessing model quality [57]. Figure 5 shows the QQ plots for the distributions of the three highlighted climate parameters (pcp (Figure 5a); Tmax (Figure 5b); Tmin (Figure 5c)) at the Cotonou station. Most of the points are aligned with the reference line, indicating that the GEV model provides a satisfactory fit to the observed data. However, there are some deviations at the extremes, mainly in the precipitation data (Figure 5a), which could indicate a slight deviation in the fit of the tails of the distribution (very extreme events). These deviations at the extremes highlight the possible limitations of modeling the rarest events (100 years), which may require the exploration of additional covariates.
Figure 5.
Q-Q plot of pcp (a), Tmax (b) and Tmin (c) distributions based on 1991–2020 data from Cotonou station.
3.3.3. Magnitude of Extremes Associated with Return Periods
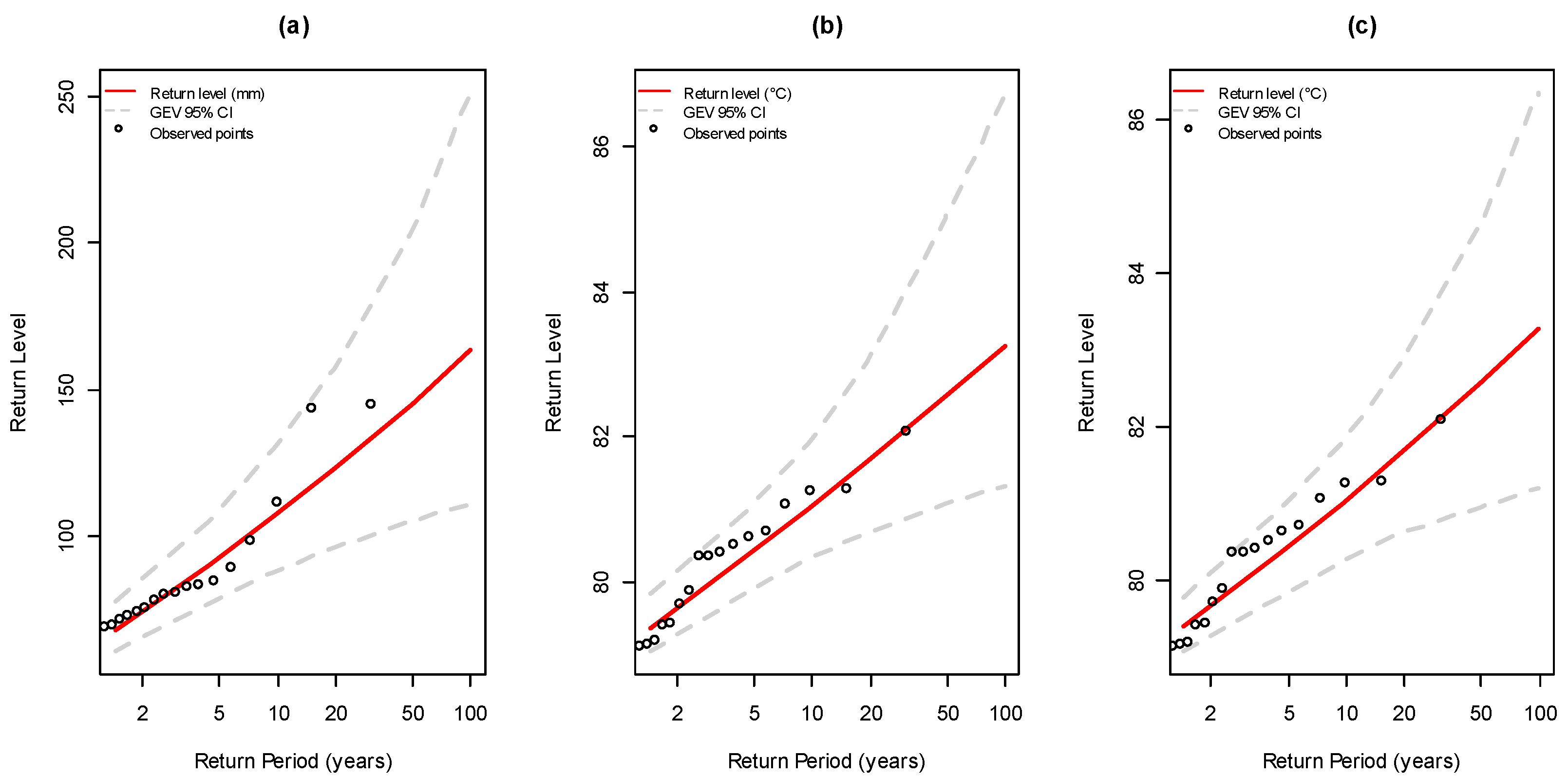
The three plots in Figure 6, based on the GEV (Generalized Extreme Value) distribution model, show the estimated return levels for precipitation extremes (Figure 6a), Tmax (Figure 6b) and Tmin (Figure 6c) for different return periods (2, 5, 10, 20, 50 and 100 years), with 95% confidence intervals. For each of them, the return values show a progressive increase with the return period, which is expected for the extremes of pcp and Tmin and Tmax. Precipitation extremes (Figure 6a) show significant increases with longer return periods, possibly indicating an increased risk of flooding in the future. Tmax (Figure 6b) and Tmin (Figure 6c) show an intensification of extreme heat waves. In addition, the 95% confidence interval (dotted lines) widens for long return periods (≥50 years), reflecting increasing uncertainty for rare events. The wider confidence intervals for long return periods reflect the uncertainty associated with the rarity of these events.
Figure 6.
Return level estimates (red solid lines) for the three parameters: pcp (a), Tmax (b) and Tmin (c) and 95% confidence intervals (dotted lines) for adjusted GEV distributions (GEV) and points observed (black circles) at the Cotonou station for return periods of 2, 5, 10, 20, 50 and 100 years.
Table 3 below shows the extreme values associated with each return period. Analysis of the table shows that the expected precipitation amounts for return periods of 2, 5, 10, 20, 50 and 100 years are 68.21 mm, 90.49 mm, 106.43 mm, 122.69 mm and 145.22 mm, respectively. Tmin amplitudes range from 79.38 °C to 83.26 °C, and Tmax amplitudes range from 97.29 °C to 104.80 °C (see Table 2 for details).
Table 3.
Estimation of extreme values associated with return periods.
4. Discussion
All the main climatic parameters (precipitation and maximum and minimum temperature) identified in the Grand-Nokoué region showed inter-annual variability. Mann–Kendall statistical tests revealed significant upward trends for pcp (tau = 0.25 and p-value = 0.04) and Tmin (tau = 0.41 and p = 0.001). These results corroborate those of [28], who found that Benin’s total number of rainy days and temperature trends show strong intra-annual variability. Similarly, ref. [65] showed that the climate in the southern part of Benin is influenced by the fluctuations in precipitation patterns observed in West Africa in the late 1960s and early 1970s. The significant upward trend in Tmin observed during this study period is thought to be related to the fact that the rate of increase in daily Tmin is often faster than that of Tmax in urban areas [66,67]. The increase in precipitation trends is thought to be the return of wet periods after the long drought of the 1970s mentioned by previous authors [11,38].
Analysis of the annual frequency of extremes at the defined threshold (99th percentile) has shown that there are more extreme precipitation events than expected. There is also an upward trend in recent decades (Figure 3a). These results are supported by those of the nonstationary model, which indicate that mean pcp extremes are increasing by 0.64 mm per year (Table 2). This could be attributed to global warming, which can lead to an intensification in precipitation. The work of [37] has confirmed that climate variability and change are leading to more intense weather extremes. The results of several research studies, including those of [33,34,66], point in the same direction, showing that the recurrence of extreme weather events such as floods, heat waves, droughts and storms is associated with the disruption of the climate regime and climate change. This sharp increase could explain the major floods recorded in recent years. These floods caused losses and damages estimated to be close to 91.10 million US dollars in Benin in 2019 [18,19]. Work by [5] has shown that the impact of floods on the global economy is greater due to the number of extreme precipitation events in urban areas. The high proportion of extreme precipitation events observed in June, July and September is thought to be due to the uneven distribution of precipitation over the year. The high variability (σ = 18.19 mm) observed (Table 3) indicates that there may be years with precipitation well above or well below average. Such a trend could have important implications for water management, agriculture and infrastructure planning. Research by [11,20] has shown that flooding is the main climatic hazard with a highly significant impact on urban environments. However, extreme precipitation events of 68.21 mm are expected to occur frequently (once every two years), and the rarest events have very high intensities of up to 145.22 mm (accumulated over three consecutive days). Extreme precipitation events (Figure 6a) show a significant increase for long return periods, which may indicate an increased risk of flooding in the future. These findings corroborate those of [12], who have scientifically demonstrated that the current rate of global warming is likely to increase the frequency of extreme events and put billions of people at risk by affecting livelihoods and essential infrastructure. These findings must therefore be taken into account when planning infrastructure and agricultural policies.
Extremes of Tmin and Tmax are frequently expected, with cumulative values for three consecutive days reaching 79.38 °C and 97.30 °C, respectively (Table 3). The non-stationary trends in Tmax and Tmin extremes (Table 2) indicate a gradual annual warming, consistent with the effects of climate change. Although the mean of Tmin extremes follows an increasing trend (Table 2), it can vary significantly from year to year (σ = 0.80 °C). Periods of extreme cold are rare (ξ = −0.05). This confirms the high proportion of upper Tmin extremes recorded in recent years (Figure 3c). Periods of persistent nighttime heat may become more frequent as a result of climate change. Indeed, ref. [67] suggests that these extremes will become more frequent with climate change. A study conducted in the cities of Accra and Tamale in Ghana showed that urban heat islands cause a more rapid increase in Tmin and consequently a more pronounced intensification of Tmin extremes [68]. According to the results of studies by [69,70], variations in urban impervious land cover strongly influence the frequency and severity of heat episodes. A trend towards warmer nights could have health impacts, including sleep disturbance and effects on cardiovascular and respiratory health, as well as impacts on plant growth and certain biological cycles. Strategies for adaptation to heat waves should also take into account the management of higher minimum temperatures. If this trend continues, maximum temperature extremes will be higher in the coming years, which could exacerbate heat extremes. Egerer. This can have significant consequences for public health, agriculture and adaptation to extreme climate events such as heat waves. Studies [51,68] have shown that a series of consecutive hot days has a significant impact on human health, agricultural yields, water resources, energy consumption and the environment. The results of the study [71] showed that urban populations would face longer and more frequent periods of extreme heat. This is because the construction of buildings and infrastructure reduces the green spaces and water/wetlands that are supposed to regulate atmospheric temperature [10]. The reduction in the latter would lead to a warmer atmosphere, capable of retaining more moisture and altering the hydrological cycle, thus increasing the intensity of extreme precipitation events and the risk of flooding. The increase in uncertainty for return periods greater than 50 years would be related to the random nature of rare extreme events. Further studies could explore the influence of dependent variables, such as urbanization, on these extremes.
Knowing the occurrence of these climate risks and their return periods could help policymakers and planners make decisions. In this way, they can make decisions for a given period of time, which could limit the damage caused by climate extremes in urban development areas.
5. Conclusions
The risks associated with climate extremes are becoming increasingly important as the climate continues to change. To better understand the evolution of these events, this study highlighted annual trends in precipitation and minimum and maximum temperatures, and then analyzed the frequency of occurrence of extremes in these parameters. In addition, the Generalized Extreme Value (GEV) distribution was fitted to annual maxima with a 95% confidence interval to determine the magnitude of specific return periods. The parameters of this distribution were estimated using the method of L moments, taking into account non-stationarity. This study shows that annual precipitation and minimum temperatures show significant upward trends. Extreme precipitation events are becoming more frequent. To better understand the evolution of extreme weather events, this study highlighted annual trends in precipitation and minimum and maximum temperatures, and then analyzed the frequency of occurrence of extremes in these parameters. In addition, the Generalized Extreme Value (GEV) distribution was fitted to annual maxima with a 95% confidence interval to determine the magnitude of specific return periods. The parameters of this distribution were estimated using the method of L moments, taking into account non-stationarity. The results of this study show that precipitation and annual minimum temperatures show significant upward trends. Extreme precipitation events are the most recurrent. These precipitation extremes are mainly observed during the months of June, July and September. In the Grand-Nokoué region, an extreme precipitation of 68.21 mm (accumulated over three consecutive days) can be expected once every two years on average.
The nonstationary model shows an increasing trend of 0.64 mm per year for cumulative precipitation extremes (Pcp) and an increasing trend of 0.15 °C per year for maximum temperature extremes (Tmax). It also suggests an upward trend in nighttime heat waves. We can expect more frequent extremes of Tmin and Tmax, with values of 79.38 °C and 97.29 °C, respectively, on three consecutive days. To ensure sustainable development, it would be preferable to take these events into account in urban planning.
Author Contributions
Conceptualization, V.V.A.A.; Data curation, V.V.A.A.; Formal analysis, V.V.A.A. and K.K.; Funding acquisition, V.V.A.A.; Investigation, V.V.A.A.; Methodology, V.V.A.A. and K.K.; Resources, V.V.A.A. and K.S.K.; Software, V.V.A.A.; Supervision, K.S.K. and E.W.V.; Validation, K.K.; Visualization, V.V.A.A. and K.K.; Writing—original draft, V.V.A.A.; Writing—review and editing, V.V.A.A. All authors have read and agreed to the published version of the manuscript.
Funding
This research was funded by the Regional Center of Excellence on Sustainable Cities in Africa (CERViDA-DOUNEDON), the Association of African Universities (AUA), and the World Bank. This research is funded under grant number IDA 5360 TG.
Institutional Review Board Statement
Not applicable.
Informed Consent Statement
Not applicable.
Data Availability Statement
Data will be made available upon request.
Acknowledgments
The authors would like to thank the Regional Centre of Excellence on Sustainable Cities in Africa (CERViDA-DOUNEDON), the Association of African Universities, and the World Bank Group for the financial support that made this study possible.
Conflicts of Interest
The authors declare that they have no conflicts of interest.
References
- Nehlig, P. Que nous disent les archives géologiques du CO2 et du climat? Géosciences 2006, 7, 6–11. [Google Scholar]
- Malhi, Y.; Franklin, J.; Seddon, N.; Solan, M.; Turner, M.G.; Field, C.B.; Knowlton, N. Climate change and ecosystems: Threats, opportunities and solutions. Phil. Trans. R. Soc. B. 2020, 375, 20190104. [Google Scholar] [CrossRef] [PubMed]
- Lin, L.; Gao, T.; Luo, M.; Ge, E.; Yang, Y.; Liu, Z.; Zhao, Y.; Ning, G. Contribution of urbanization to the changes in extreme climate events in urban agglomerations across China. Sci. Total Environ. 2020, 744, 140264. [Google Scholar] [CrossRef] [PubMed]
- Patz, J.A.; Campbell-Lendrum, D.; Holloway, T.; Foley, J.A. Impact of regional climate change on human health. Nature 2005, 438, 310–317. [Google Scholar] [CrossRef]
- Pizzorni, M.; Innocenti, A.; Tollin, N. Droughts and floods in a changing climate and implications for multi-hazard urban planning: A review. City Environ. Interact. 2024, 24, 100169. [Google Scholar] [CrossRef]
- Omisore, A.G. Attaining Sustainable Development Goals in sub-Saharan Africa; The need to address environmental challenges. Environ. Dev. 2018, 25, 138–145. [Google Scholar] [CrossRef]
- Wallemacq, P.; UNISDR; CRED. Economic Losses, Poverty and Disasters 1998–2017. 2018. [CrossRef]
- Guerreiro, S.B.; Dawson, R.J.; Kilsby, C.; Lewis, E.; Alistair, F. Future heat-waves, droughts and floods in 571 European cities. Environ. Res. Lett. 2018, 13, 034009. [Google Scholar] [CrossRef]
- Huang, S.; Gan, Y.; Zhang, X.; Chen, N.; Wang, C.; Gu, X.; Ma, J.; Niyogi, D. Urbanization Amplified Asymmetrical Changes of Precipitation and Exacerbated Drought: Analysis Over Five Urban Agglomerations in the Yangtze River Basin, China. Earths Future 2023, 11, e2022EF003117. [Google Scholar] [CrossRef]
- Coronel, A.S.; Feldman, S.R.; Jozami, E.; Facundo, K.; Piacentini, R.D.; Dubbeling, M.; Escobedo, F.J. Effects of urban green areas on air temperature in a medium-sized Argentinian city. AIMS Environ. Sci. 2015, 2, 803–826. [Google Scholar] [CrossRef]
- C40Cities. Intégrer L’adaptation au Changement Climatique: Un Guide Pour Les Urbanistes et Les Professionnels de L’adaptation; Global Platform for Sustainable Cities: Washington, DC, USA, 2021; p. 66. [Google Scholar]
- Intergovernmental Panel On Climate Change (Ipcc), Climate Change 2022—Impacts, Adaptation and Vulnerability: Working Group II Contribution to the Sixth Assessment Report of the Intergovernmental Panel on Climate Change, 1st ed.; Cambridge University Press: Cambridge, UK, 2023. [CrossRef]
- Development W.B.W.U. 2023. Available online: https://www.worldbank.org/en/topic/urbandevelopment/overview (accessed on 27 October 2024).
- ONU. Commission de Statistique (CSNU). 2020. Rapport sur la Cinquante Et Unième Session (3–6 Mars 2020). Supplément n° 4 E/2020/24-E/CN.3/2020/37. New York: Conseil Economique et Social, Documents Officiels. Available online: https://www.un.org/fr/desa/world-urbanization-prospects#:~:text=Selon%20un%20rapport%20de%20l%27ONU%20sur%20l%27urbanisation%20dans,d%27accorder%20une%20plus%20grande%20attention%20aux%20petites%20vil (accessed on 22 October 2024).
- Nations Unies. Commission Economique Pour l’Afrique. Urbanisation et Développement en Afrique: Le Rôle de la Commission Economique Pour l’Afrique. Available online: https://repository.uneca.org/handle/10855/47645 (accessed on 27 October 2024).
- Ritchie, H.; Samborska, V.; Roser, M. Urbanization. Published online at OurWorldinData.org. 2024. Available online: https://ourworldindata.org/urbanization (accessed on 25 October 2024).
- Tiepolo, M. Flood Risk Reduction and Climate Change in Large Cities South of the Sahara. In Climate Change Vulnerability in Southern African Cities; Macchi, S., Tiepolo, M., Eds.; Springer Climate; Springer International Publishing: Cham, Switzerland, 2014; pp. 19–36. [Google Scholar] [CrossRef]
- Agence Nationale de Protection (ANPC). Inondations de 2019 au Bénin Rapport D’évaluation des Besoins Post Catastrophe. Available online: https://docslib.org/doc/3458980/inondations-de-2019-au-benin-rapport-d-evaluation-des-besoins-post (accessed on 27 October 2024).
- Ministère du Cadre de Vie et du Développement Durable (MCVDD). Communication Relative à L’adaptation du Bénin au titre de la Convention-Cadre des Nations Unies sur les Changements Climatiques (CCNUCC). UNFCC. 2022. Available online: https://unfccc.int/sites/default/files/ACR/2022-12/COMMUNICATION%20SUR%20ADAPTATION_BENIN.pdf (accessed on 25 October 2024).
- Aghmiuni, S.; Kalantari, Z.; Egidi, G.; Gaburova, L.; Salvati, L. Urbanisation-driven land degradation and socioeconomic challenges in peri-urban areas: Insights from Southern Europe. Ambio 2022, 51, 1446–1458. [Google Scholar] [CrossRef]
- Peng, J.; Xie, P.; Liu, Y.; Ma, J. Urban thermal environment dynamics and associated landscape pattern factors: A case study in the Beijing metropolitan region. Remote Sens. Environ. 2016, 173, 145–155. [Google Scholar] [CrossRef]
- Oke, T.R. The energetic basis of the urban heat island. Quart. J. Royal Meteoro. Soc. 1982, 108, 1–24. [Google Scholar] [CrossRef]
- Chapman, S.; Watson, J.E.M.; Salazar, A.; Thatcher, M.; McAlpine, A. The impact of urbanization and climate change on urban temperatures: A systematic review. Landsc. Ecol. 2017, 32, 1921–1935. [Google Scholar] [CrossRef]
- Adegebo, B.O. Urban thermal perception and self-reported health effects in Ibadan, south west Nigeria. Int. J. Biometeorol. 2022, 66, 331–343. [Google Scholar] [CrossRef] [PubMed]
- Pasquini, L.; Van Aardenne, L.; Godsmark, C.N.; Lee, J.; Jack, C. Emerging climate change-related public health challenges in Africa: A case study of the heat-health vulnerability of informal settlement residents in Dar es Salaam, Tanzania. Sci. Total Environ. 2020, 747, 141355. [Google Scholar] [CrossRef] [PubMed]
- Dharmarathne, G.; Waduge, A.O.; Bogahawaththa, M.; Rathnayake, U.; Meddage, D.P.P. Adapting cities to the surge: A comprehensive review of climate-induced urban flooding. Results Eng. 2024, 22, 102123. [Google Scholar] [CrossRef]
- CEA. Section de L’Urbanisation et du Développement. 2024. Available online: https://www.uneca.org/fr/section-de-lurbanisation-et-du-d%C3%A9veloppement#:~:text=L%E2%80%99Afrique%20est%20l%E2%80%99%C3%A9picentre%20de%20l%E2%80%99urbanisation%20mondiale%20avec%20l%E2%80%99Asie.,et%20devrait%20atteindre%20environ%2050%20%25%20d%E2%80%99ici%202035 (accessed on 27 October 2024).
- Oyede, M.I.; Hounzime, S.; Agbokou, I.; Alhassane, A.; Yabi, I. Caracteristiques Spatio—Temporalles de la Variabilite Climatique au Benin (Afrique de L’ouest). ESJ 2022, 18, 240. [Google Scholar] [CrossRef]
- Ahokpossi, Y. Analysis of the precipitation variability and change in the Republic of Benin (West Africa). Hydrol. Sci. J. 2018, 63, 2097–2123. [Google Scholar] [CrossRef]
- Ogouwalé, E. Changement Climatique Dans le Bénin Méridionale et Central: Indicateurs, Scenarios et Perspectives de la Sécurité Alimentaire. Ph.D. Thesis, Université d’Abomey-Calavi, Cotonou, Benin, 2006. [Google Scholar]
- World Bank Group. Bénin—Rapport National Sur le Climat et le Développement. 2023. Available online: https://openknowledge.worldbank.org/handle/10986/40688 (accessed on 8 December 2023).
- Akponikpe, I.; Tovihoudji, P.G.; Lokonon, B.O.K.; Kpadonou, G.E.; Amegnaglo, C.; Segnon, A.C.; Yegbemey, R.N.; Hounsou, M.B.; Wabi, M.A.; Totin, E.; et al. Nestor Aho Etude de Vulnérabilité Sectorielle face aux changements climatiques au Bénin—Secteur Agriculture. Benin 2019, 101, Climate Analytics gGmbH, Berlin. [Google Scholar] [CrossRef]
- Asseng, S.; Ewert, F.; Rosenzweig, C.; Jones, J.W.; Hatfield, J.L.; Ruane, A.C.; Boote, K.J.; Thorburn, P.J.; Rötter, R.P.; Cammarano, D.; et al. Uncertainty in simulating wheat yields under climate change. Nat. Clim. Change 2013, 3, 827–832. [Google Scholar] [CrossRef]
- Meehl, G.A.; Intense, C.T.M.; Frequent, M. Longer Lasting Heat Waves in the 21st Century. Science 2004, 305, 994–997. [Google Scholar] [CrossRef] [PubMed]
- Ministère du Cadre de Vie et du Développement Durable (MCVDD). Plan National D’adaptation Aux Changements Climatiques du Bénin. May 2022. Available online: https://unfccc.int/sites/default/files/resource/PNA_BENIN_2022_0.pdf (accessed on 30 September 2024).
- Group, W.B. Benin Country Climate and Development Report; World Bank: Washington, DC, USA, 2023. [Google Scholar] [CrossRef]
- Easterling, D.R.; Kunkel, K.E.; Wehner, M.F.; Sun, L. Detection and attribution of climate extremes in the observed record. Weather. Clim. Extrem. 2016, 11, 17–27. [Google Scholar] [CrossRef]
- Junqueira, J.R.; Serrao-Neumann, S.; White, I. Managing urban climate change risks: Prospects for using green infrastructure to increase urban resilience to floods. In The Impacts of Climate Change; Elsevier: Amsterdam, The Netherlands, 2021; pp. 379–396. [Google Scholar] [CrossRef]
- Osei, M.A.; Amekudzi, L.K.; Omari-Sasu, A.Y.; Yamba, E.I.; Quansah, E.; Aryee, J.N.; Preko, K. Estimation of the return periods of maxima precipitation and floods at the Pra River Catchment, Ghana, West Africa using the Gumbel extreme value theory. Heliyon 2021, 7, e06980. [Google Scholar] [CrossRef] [PubMed]
- Présidence de la République. Loi n 2018-18 du 06 août 2018 sur les Changements Climatiques en République du Benin. 2018. Available online: https://faolex.fao.org/docs/pdf/Ben184788.pdf (accessed on 28 October 2024).
- Klassou, K.S.; Komi, K. Analysis of extreme precipitation in Oti River Basin (West Africa). J. Water Clim. Change 2021, 12, 1997–2009. [Google Scholar] [CrossRef]
- Hosking, J.R.M.; Wallis, J.R. Regional Frequency Analysis: An Approach Based on L-Moments; Cambridge University Press: Cambridge, UK, 1997. [Google Scholar] [CrossRef]
- INSAE. Résultats provisoires du RGPH 4. MDAEP—Ministère du Développement, de l’Analyse Economique et de la Prospective, Cotonou, Bénin, 2013. Available online: https://instad.bj/images/docs/insae-statistiques/enquetes-recensements/RGPH/1.RGPH_4/Synth%C3%A8se-des-principaux-r%C3%A9sultats-du-RGPH-4/Plaquette-Zou-Final.pdf (accessed on 28 October 2024).
- Team, R.C. R: A Language and Environment for Statistical Computing. R Foundation for Statistical Computing, Vienna, Austria. 2023. Available online: https://www.R-project.org/ (accessed on 23 January 2024).
- Zhang, X.; Alexander, L.; Hegerl, G.C.; Jones, P.; Tank, A.K.; Peterson, T.C.; Trewin, B.; Zwiers, F.W. Indices for monitoring changes in extremes based on daily temperature and precipitation data. WIREs Clim. Change 2011, 2, 851–870. [Google Scholar] [CrossRef]
- Güçlü, Y.S. Improved visualization for trend analysis by comparing with classical Mann-Kendall test and ITA. J. Hydrol. 2020, 584, 124674. [Google Scholar] [CrossRef]
- Panda, A.; Sahu, N. Trend analysis of seasonal precipitation and temperature pattern in Kalahandi, Bolangir and Koraput districts of Odisha, India. Atmos. Sci. Lett. 2019, 20, e932. [Google Scholar] [CrossRef]
- Pohlert, T. Trend: Non-Parametric Trend Tests and Change-Point Detection. 2023. Available online: https://CRAN.R-project.org/package=trend (accessed on 23 August 2024).
- Guo, A.; Zhang, Y.; Zhong, F.; Jiang, D. Spatiotemporal Patterns of Ecosystem Service Value Changes and Their Coordination with Economic Development: A Case Study of the Yellow River Basin, China. IJERPH 2020, 17, 8474. [Google Scholar] [CrossRef] [PubMed]
- Salack, S.; Saley, I.A.; Lawson, N.Z.; Zabré, I.; Daku, E.K. Scales for rating heavy precipitation events in the West African Sahel. Weather. Clim. Extrem. 2018, 21, 36–42. [Google Scholar] [CrossRef]
- Seneviratne, S.I.; Nicholls, N.; Easterling, D.; Seneviratne, S.I.; Nicholls, N.; Easterling, D.; Goodess, C.M.; Kanae, S.; Kossin, J.; Luo, Y.; et al. Changes in Climate Extremes and their Impacts on the Natural Physical Environment. In Managing the Risks of Extreme Events and Disasters to Advance Climate Change Adaptation, 1st ed.; Field, C.B., Barros, V., Stocker, T.F., Eds.; Cambridge University Press: Cambridge, UK, 2012; pp. 109–230. [Google Scholar] [CrossRef]
- Mohamed Ahmed OULD SIDI CHEIKH; Pierre OZER; André OZER. Risques d’inondation dans la ville de Nouakchott (Mauritanie). Geo-Eco-Trop 2007, 31, 19–42. Available online: https://www.geoecotrop.be/uploads/publications/pub_311_02.pdf (accessed on 28 November 2024).
- Gençay, R.; Selçuk, F. Extreme value theory and Value-at-Risk: Relative performance in emerging markets. Int. J. Forecast. 2004, 20, 287–303. [Google Scholar] [CrossRef]
- Learn Statistics Easy. Apprenez Facilement les Statistiques. 2024. Available online: https://fr.statisticseasily.com/glossaire/Qu%27est-ce-que-la-pond%C3%A9ration-des-donn%C3%A9es-expliqu%C3%A9e-en-d%C3%A9tail/ (accessed on 23 December 2024).
- Gao, M.; Mo, D.; Wu, X. Nonstationary modeling of extreme precipitation in China. Atmos. Res. 2016, 182, 1–9. [Google Scholar] [CrossRef]
- Beirlant, J.; Goegebeur, Y.; Teugels, J.; Segers, J. Statistics of Extremes: Theory and Applications, 1st ed.; Wiley Series in Probability and Statistics; Wiley: Hoboken, NJ, USA, 2004. [Google Scholar] [CrossRef]
- Alam, M.; Emura, K.; Farnham, C.; Yuan, J. Best-Fit Probability Distributions and Return Periods for Maximum Monthly Precipitation in Bangladesh. Climate 2018, 6, 9. [Google Scholar] [CrossRef]
- Ragno, E.; AghaKouchak, A.; Cheng, L.; Sadegh, M. A generalized framework for process-informed nonstationary extreme value analysis. Adv. Water Resour. 2019, 130, 270–282. [Google Scholar] [CrossRef]
- Vidrio-Sahagún, C.T.; Ruschkowski, J.; He, J.; Pietroniro, A. A practice-oriented framework for stationary and nonstationary flood frequency analysis. Environ. Model. Softw. 2024, 173, 105940. [Google Scholar] [CrossRef]
- Mehmood, A.; Jia, S.; Mahmood, R.; Yan, J.; Ahsan, M. Non-Stationary Bayesian Modeling of Annual Maximum Floods in a Changing Environment and Implications for Flood Management in the Kabul River Basin, Pakistan. Water 2019, 11, 1246. [Google Scholar] [CrossRef]
- Universidad Autónoma de San Luis Potosí, México; Campos-Aranda, D.F. Ajuste con momentos L de las distribuciones no estacionarias GVE1 y GVE2 a series de PMD. Tecnol. Y Cienc. Del Agua 2019, 10, 75–105. [Google Scholar] [CrossRef]
- Gilleland, E.; Katz, R.W. extRemes 2.0: An Extreme Value Analysis Package in R. J. Stat. Soft. 2016, 72. [Google Scholar] [CrossRef]
- Hosking, J.R.M. lmomRFA: Regional Frequency Analysis using L-Moments. 2009; 72, 3. [Google Scholar] [CrossRef]
- Hosking, J.R.M. lmom: L-Moments. p. 3.2, Jul. 05, 2008. Available online: https://CRAN.R-project.org/package=lmom (accessed on 27 October 2024).
- Kingbo, A.; Teka, O.; Aoudji, A.K.N.; Ahohuendo, B.; Ganglo, J.C. Climate Change in Southeast Benin and Its Influences on the Spatio-Temporal Dynamic of Forests, Benin, West Africa. Forests 2022, 13, 698. [Google Scholar] [CrossRef]
- Alexander, L.V.; Zhang, X.; Peterson, T.C.; Caesar, J.; Gleason, B.; Klein Tank, A.M.G.; Haylock, M.; Collins, D.; Trewin, B.; Rahimzadeh, F.; et al. Global observed changes in daily climate extremes of temperature and precipitation. J. Geophys. Res. 2006, 111, 2005JD006290. [Google Scholar] [CrossRef]
- Donat, M.G.; Alexander, L.V. The shifting probability distribution of global daytime and night-time temperatures. Geophys. Res. Lett. 2012, 39, 2012GL052459. [Google Scholar] [CrossRef]
- Egerer, M.; Lin, B.; Kendal, D. Temperature Variability Differs in Urban Agroecosystems across Two Metropolitan Regions. Climate 2019, 7, 50. [Google Scholar] [CrossRef]
- Wemegah, C.S.; Yamba, E.I.; Aryee, J.N.A.; Sam, F.; Amekudzi, L.K. Assessment of urban heat island warming in the greater accra region. Sci. Afr. 2020, 8, e00426. [Google Scholar] [CrossRef]
- Pausata, F.S.; Gaetani, M.; Messori, G.; Berg, A.; de Souza, D.M.; Sage, R.F.; DeMenocal, P.B. The Greening of the Sahara: Past Changes and Future Implications. One Earth 2020, 2, 235–250. [Google Scholar] [CrossRef]
- Tabari, H. Climate change impact on flood and extreme precipitation increases with water availability. Sci. Rep. 2020, 10, 13768. [Google Scholar] [CrossRef] [PubMed]
Disclaimer/Publisher’s Note: The statements, opinions and data contained in all publications are solely those of the individual author(s) and contributor(s) and not of MDPI and/or the editor(s). MDPI and/or the editor(s) disclaim responsibility for any injury to people or property resulting from any ideas, methods, instructions or products referred to in the content. |
© 2025 by the authors. Licensee MDPI, Basel, Switzerland. This article is an open access article distributed under the terms and conditions of the Creative Commons Attribution (CC BY) license (https://creativecommons.org/licenses/by/4.0/).





