Combined Effect of High-Resolution Land Cover and Grid Resolution on Surface NO2 Concentrations
Abstract
:1. Introduction
2. Materials and Methods
2.1. WRF-Chem Setup
2.2. Land Cover
3. Impact of the LC and Grid Spacing on NO2 Concentrations
3.1. Comparative Analysis
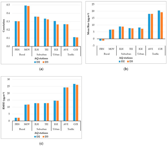
3.2. Model Evaluation
- Normalised bias and centred RMSE (CRMSE) are less or equal to 1;
- Hourly modelled and observed data are positively correlated;
- Model uncertainty (Umod RV) of 35.4% is below the MQO´s uncertainty for ambient air quality assessment (50% for hourly NO2 data).
4. Conclusions
- Urban LC categories interpolated for the D3 enhanced pollution hotspots, with higher values (of up to 2 µg·m−3) in relation to D2, are probably due to the way the emissions were spatially distributed by the simulation grids;
- Small differences were found between D2 and D3 estimates, as a result of the low resolution of EI and its use in all simulation domains;
- Accordingly, the increase in horizontal resolution did not considerably help to improve model performance, with slightly smaller mean bias and RMSE for higher resolution, and slightly higher correlation values for lower resolution;
- The worst model performance obtained for traffic air quality stations (lower correlations and higher biases and RMSE) demonstrates the larger difficulty of this type of model and the configurations used to accurately reproduce air pollution levels at these sites;
- For policy support, the model quality objectives examining the hourly D2 results were fulfilled (MQO less than 1);
- Balancing the computational costs involved with the overall model performance, downscaling from 5 to 1 km grid resolution was not justified.
Author Contributions
Funding
Institutional Review Board Statement
Informed Consent Statement
Data Availability Statement
Conflicts of Interest
Appendix A. Statistical Metrics
References
- WHO. Ambient (Outdoor) Air Pollution. Available online: https://www.who.int/news-room/fact-sheets/detail/ambient-(outdoor)-air-quality-and-health (accessed on 29 December 2021).
- WHO. WHO Global Air Quality Guidelines: Particulate Matter (PM2.5 and PM10), Ozone, Nitrogen Dioxide, Sulfur Dioxide and Carbon Monoxide; WHO: Geneva, Switzerland, 2021. [Google Scholar]
- EEA. Air Quality in Europe—2019 Report; European Environment Agency: Copenhagen, Denmark, 2019; ISBN 978-92-9480-088-6. [Google Scholar]
- Sundvor, I.; Castell Balaguer, N.; Viana, M.; Querol, X.; Reche, C.; Amato, F.; Mellios, G.; Guerreiro, C. Road Traffic’s Contribution to Air Quality in European Cities; ETC/ACM: Bilthoven, The Netherlands, 2012. [Google Scholar]
- Russo, A.; Trigo, R.M.; Martins, H.; Mendes, M.T. NO2, PM10 and O3 urban concentrations and its association with circulation weather types in Portugal. Atmos. Environ. 2014, 89, 768–785. [Google Scholar] [CrossRef]
- Silveira, C.; Ferreira, J.; Miranda, A.I. The challenges of air quality modelling when crossing multiple spatial scales. Air Qual. Atmos. Health 2019, 12, 1003–1017. [Google Scholar] [CrossRef]
- Thunis, P.; Miranda, A.; Baldasano, J.M.; Blond, N.; Douros, J.; Graff, A.; Janssen, S.; Juda-Rezler, K.; Karvosenoja, N.; Maffeis, G.; et al. Overview of current regional and local scale air quality modelling practices: Assessment and planning tools in the EU. Environ. Sci. Policy 2016, 65, 13–21. [Google Scholar] [CrossRef]
- Miranda, A.; Silveira, C.; Ferreira, J.; Monteiro, A.; Lopes, D.; Relvas, H.; Borrego, C.; Roebeling, P. Current air quality plans in Europe designed to support air quality management policies. Atmos. Pollut. Res. 2015, 6, 434–443. [Google Scholar] [CrossRef] [Green Version]
- Borrego, C.; Monteiro, A.; Sá, E.; Carvalho, A.; Coelho, D.; Dias, D.; Miranda, A.I. Reducing NO2 Pollution over Urban Areas: Air Quality Modelling as a Fundamental Management Tool. Water Air Soil Pollut. 2012, 223, 5307–5320. [Google Scholar] [CrossRef]
- Grell, G.A.; Peckham, S.E.; Schmitz, R.; McKeen, S.A.; Frost, G.; Skamarock, W.C.; Eder, B. Fully coupled “online” chemistry within the WRF model. Atmos. Environ. 2005, 39, 6957–6975. [Google Scholar] [CrossRef]
- Crippa, P.; Sullivan, R.C.; Thota, A.; Pryor, S.C. The impact of resolution on meteorological, chemical and aerosol properties in regional simulations with WRF-Chem. Atmos. Chem. Phys. 2017, 17, 1511–1528. [Google Scholar] [CrossRef] [Green Version]
- Silveira, C.; Martins, A.; Gouveia, S.; Scotto, M.; Miranda, A.I.; Monteiro, A. The Role of the Atmospheric Aerosol in Weather Forecasts for the Iberian Peninsula: Investigating the Direct Effects Using the WRF-Chem Model. Atmosphere 2021, 12, 288. [Google Scholar] [CrossRef]
- Schaap, M.; Cuvelier, C.; Hendriks, C.; Bessagnet, B.; Baldasano, J.M.; Colette, A.; Thunis, P.; Karam, D.; Fagerli, H.; Graff, A.; et al. Performance of European chemistry transport models as function of horizontal resolution. Atmos. Environ. 2015, 112, 90–105. [Google Scholar] [CrossRef] [Green Version]
- Borge, R.; Lumbreras, J.; Pérez, J.; de la Paz, D.; Vedrenne, M.; de Andrés, J.M.; Rodríguez, M.E. Emission inventories and modeling requirements for the development of air quality plans. Application to Madrid (Spain). Sci. Total Environ. 2014, 466–467, 809–819. [Google Scholar] [CrossRef] [Green Version]
- Ferreira, J.; Guevara, M.; Baldasano, J.M.; Tchepel, O.; Schaap, M.; Miranda, A.I.; Borrego, C. A comparative analysis of two highly spatially resolved European atmospheric emission inventories. Atmos. Environ. 2013, 75, 43–57. [Google Scholar] [CrossRef]
- Tie, X.; Brasseur, G.; Ying, Z. Impact of model resolution on chemical ozone formation in Mexico City: Application of the WRF-Chem model. Atmos. Chem. Phys. 2010, 10, 8983–8995. [Google Scholar] [CrossRef] [Green Version]
- Kuik, F.; Lauer, A.; Churkina, G.; Denier van der Gon, H.A.C.; Fenner, D.; Mar, K.A.; Butler, T.M. Air quality modelling in the Berlin–Brandenburg region using WRF-Chem v3.7.1: Sensitivity to resolution of model grid and input data. Geosci. Model Dev. 2016, 9, 4339–4363. [Google Scholar] [CrossRef] [Green Version]
- JRC—Joint Research Centre. TNO_MACC-III Inventory—Europa.eu. Available online: https://aqm.jrc.ec.europa.eu/fairmode/document/event/presentation/20150624-Aveiro/WG3/WG3 Kuenen.pdf (accessed on 29 December 2021).
- Kuenen, J.J.P.; Visschedijk, A.J.H.; Jozwicka, M.; van Der Gon, H.A.C.D. TNO-MACC-II emission inventory; A multi-year (2003-2009) consistent high-resolution European emission inventory for air quality modelling. Atmos. Chem. Phys. 2014, 14, 10963–10976. [Google Scholar] [CrossRef] [Green Version]
- Gego, E.; Hogrefe, C.; Kallos, G.; Voudouri, A.; Irwin, J.S.; Rao, S.T. Examination of model predictions at different horizontal grid resolutions. Environ. Fluid Mech. 2005, 5, 63–85. [Google Scholar] [CrossRef]
- Falasca, S.; Curci, G. High-resolution air quality modeling: Sensitivity tests to horizontal resolution and urban canopy with WRF-CHIMERE. Atmos. Environ. 2018, 187, 241–254. [Google Scholar] [CrossRef]
- Zhong, M.; Saikawa, E.; Liu, Y.; Naik, V.; Horowitz, L.W.; Takigawa, M.; Zhao, Y.; Lin, N.-H.; Stone, E.A. Air quality modeling with WRF-Chem v3.5 in East Asia: Sensitivity to emissions and evaluation of simulated air quality. Geosci. Model Dev. 2016, 9, 1201–1218. [Google Scholar] [CrossRef] [Green Version]
- Heald, C.L.; Spracklen, D.V. Land Use Change Impacts on Air Quality and Climate. Chem. Rev. 2015, 115, 4476–4496. [Google Scholar] [CrossRef] [Green Version]
- Lu, D.; Mao, W.; Yang, D.; Zhao, J.; Xu, J. Effects of land use and landscape pattern on PM2.5 in Yangtze River Delta, China. Atmos. Pollut. Res. 2018, 9, 705–713. [Google Scholar] [CrossRef]
- Sun, L.; Wei, J.; Duan, D.H.; Guo, Y.M.; Yang, D.X.; Jia, C.; Mi, X.T. Impact of Land-Use and Land-Cover Change on urban air quality in representative cities of China. J. Atmos. Sol.-Terr. Phys. 2016, 142, 43–54. [Google Scholar] [CrossRef]
- Wu, S.; Mickley, L.J.; Kaplan, J.O.; Jacob, D.J. Impacts of changes in land use and land cover on atmospheric chemistry and air quality over the 21st century. Atmos. Chem. Phys. 2012, 12, 1597–1609. [Google Scholar] [CrossRef] [Green Version]
- Xu, G.; Jiao, L.; Zhao, S.; Yuan, M.; Li, X.; Han, Y.; Zhang, B.; Dong, T.; Xu, G.; Jiao, L.; et al. Examining the Impacts of Land Use on Air Quality from a Spatio-Temporal Perspective in Wuhan, China. Atmosphere 2016, 7, 62. [Google Scholar] [CrossRef] [Green Version]
- Silveira, C.; Ascenso, A.; Ferreira, J.; Miranda, A.I.; Tuccella, P.; Curci, G. Influence of a High-Resolution Land Cover Classification on Air Quality Modelling. Int. J. Environ. Ecol. Eng. 2018, 12, 563–571. [Google Scholar] [CrossRef]
- Zou, B.; Xu, S.; Sternberg, T.; Fang, X.; Zou, B.; Xu, S.; Sternberg, T.; Fang, X. Effect of Land Use and Cover Change on Air Quality in Urban Sprawl. Sustainability 2016, 8, 677. [Google Scholar] [CrossRef] [Green Version]
- Tao, Z.; Santanello, J.A.; Chin, M.; Zhou, S.; Tan, Q.; Kemp, E.M.; Peters-Lidard, C.D. Effect of land cover on atmospheric processes and air quality over the continental United States-a NASA Unified WRF (NU-WRF) model study. Atmos. Chem. Phys. 2013, 13, 6207–6226. [Google Scholar] [CrossRef] [Green Version]
- Sun, W.; Liu, Z.; Zhang, Y.; Xu, W.; Lv, X.; Liu, Y.; Lyu, H.; Li, X.; Xiao, J.; Ma, F. Study on Land-use Changes and Their Impacts on Air Pollution in Chengdu. Atmosphere 2019, 11, 42. [Google Scholar] [CrossRef] [Green Version]
- Fast, J.D.; Gustafson, W.I.; Easter, R.C.; Zaveri, R.A.; Barnard, J.C.; Chapman, E.G.; Grell, G.A.; Peckham, S.E. Evolution of ozone, particulates, and aerosol direct radiative forcing in the vicinity of Houston using a fully coupled meteorology-chemistry-aerosol model. J. Geophys. Res. 2006, 111, D21305. [Google Scholar] [CrossRef]
- Jiménez-Esteve, B.; Udina, M.; Soler, M.R.; Pepin, N.; Miró, J.R. Land use and topography influence in a complex terrain area: A high resolution mesoscale modelling study over the Eastern Pyrenees using the WRF model. Atmos. Res. 2018, 202, 49–62. [Google Scholar] [CrossRef] [Green Version]
- Pineda, N.; Jorba, O.; Jorge, J.; Baldasano, J.M. Using NOAA AVHRR and SPOT VGT data to estimate surface parameters: Application to a mesoscale meteorological model. Int. J. Remote Sens. 2004, 25, 129–143. [Google Scholar] [CrossRef]
- Thunis, P.; Georgieva, E.; Pederzoli, A. A tool to evaluate air quality model performances in regulatory applications. Environ. Model. Softw. 2012, 38, 220–230. [Google Scholar] [CrossRef]
- Janssen, S.; Thunis, P. FAIRMODE Guidance Document on Modelling Quality Objectives and Benchmarking; European Union: Luxembourg, 2020. [Google Scholar]
- Karl, M.; Walker, S.E.; Solberg, S.; Ramacher, M.O.P. The Eulerian urban dispersion model EPISODE—Part 2: Extensions to the source dispersion and photochemistry for EPISODE-CityChem v1.2 and its application to the city of Hamburg. Geosci. Model Dev. 2019, 12, 3357–3399. [Google Scholar] [CrossRef] [Green Version]
- ENEA. AMS-MINNI National Air Quality Simulation on Italy for the Calendar Year 2015. Annual Air Quality Simulation of MINNI Atmospheric Modelling System: Results for the Calendar Year 2015 and Comparison with Observed Data; ENEA: Rome, Italy, 2020. [Google Scholar]
- Karlický, J.; Huszár, P.; Halenka, T. Validation of gas phase chemistry in the WRF-Chem model over Europe. Adv. Sci. Res. 2017, 14, 181–186. [Google Scholar] [CrossRef] [Green Version]
- Žabkar, R.; Honzak, L.; Skok, G.; Forkel, R.; Rakovec, J.; Ceglar, A.; Žagar, N. Evaluation of the high resolution WRF-Chem (v3.4.1) air quality forecast and its comparison with statistical ozone predictions. Geosci. Model Dev. 2015, 8, 2119–2137. [Google Scholar] [CrossRef] [Green Version]
- Tuccella, P.; Curci, G.; Visconti, G.; Bessagnet, B.; Menut, L.; Park, R.J. Modeling of gas and aerosol with WRF/Chem over Europe: Evaluation and sensitivity study. J. Geophys. Res. Atmos. 2012, 117, D03303. [Google Scholar] [CrossRef] [Green Version]
- Balzarini, A.; Pirovano, G.; Honzak, L.; Žabkar, R.; Curci, G.; Forkel, R.; Hirtl, M.; San José, R.; Tuccella, P.; Grell, G.A. WRF-Chem model sensitivity to chemical mechanisms choice in reconstructing aerosol optical properties. Atmos. Environ. 2015, 115, 604–619. [Google Scholar] [CrossRef]
- Mak, H.W.L.; Laughner, J.L.; Fung, J.C.H.; Zhu, Q.; Cohen, R.C. Improved Satellite Retrieval of Tropospheric NO2 Column Density via Updating of Air Mass Factor (AMF): Case Study of Southern China. Remote Sens. 2018, 10, 1789. [Google Scholar] [CrossRef] [Green Version]
- Xu, J.; Lindqvist, H.; Liu, Q.; Wang, K.; Wang, L. Estimating the spatial and temporal variability of the ground-level NO2 concentration in China during 2005–2019 based on satellite remote sensing. Atmos. Pollut. Res. 2021, 12, 57–67. [Google Scholar] [CrossRef]








| Category | Subcategory | Source | Resolutions |
|---|---|---|---|
| Static data | Topography, soil properties, albedo | USGS | 2 arc-minute |
| Emissions | Anthropogenic | EMEP (for 2015) | 0.1° × 0.1° |
| Biogenic | MEGAN v2.04 | ||
| Initial and boundary conditions | Meteorological | ECMWF | 0.5° × 0.5°, every 6 h |
| Chemical | MOZART-4/GEOS-5 | 1.9° × 2.5°, every 6 h |
Publisher’s Note: MDPI stays neutral with regard to jurisdictional claims in published maps and institutional affiliations. |
© 2022 by the authors. Licensee MDPI, Basel, Switzerland. This article is an open access article distributed under the terms and conditions of the Creative Commons Attribution (CC BY) license (https://creativecommons.org/licenses/by/4.0/).
Share and Cite
Silveira, C.; Ferreira, J.; Tuccella, P.; Curci, G.; Miranda, A.I. Combined Effect of High-Resolution Land Cover and Grid Resolution on Surface NO2 Concentrations. Climate 2022, 10, 19. https://doi.org/10.3390/cli10020019
Silveira C, Ferreira J, Tuccella P, Curci G, Miranda AI. Combined Effect of High-Resolution Land Cover and Grid Resolution on Surface NO2 Concentrations. Climate. 2022; 10(2):19. https://doi.org/10.3390/cli10020019
Chicago/Turabian StyleSilveira, Carlos, Joana Ferreira, Paolo Tuccella, Gabriele Curci, and Ana I. Miranda. 2022. "Combined Effect of High-Resolution Land Cover and Grid Resolution on Surface NO2 Concentrations" Climate 10, no. 2: 19. https://doi.org/10.3390/cli10020019
APA StyleSilveira, C., Ferreira, J., Tuccella, P., Curci, G., & Miranda, A. I. (2022). Combined Effect of High-Resolution Land Cover and Grid Resolution on Surface NO2 Concentrations. Climate, 10(2), 19. https://doi.org/10.3390/cli10020019
