The Effect of Water-Soluble Polysaccharide from Jackfruit (Artocarpus heterophyllus Lam.) on Human Colon Carcinoma Cells Cultured In Vitro
Abstract
1. Introduction
2. Results
2.1. Isolation and Structural Analysis of the Water-Soluble Polysaccharide
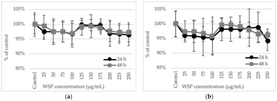
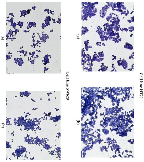
2.2. Water-Soluble Polysaccharide Activity in Cell Cultures in Vitro
2.3. WSP Reducing Activity
3. Discussion
4. Materials and Methods
4.1. Isolation of the Water-Soluble Polysaccharide from A. heterophyllus Fruits
4.2. Carbohydrate Analysis
4.3. Cell Culture
4.4. Neutral Red (NR) Uptake Assay
4.5. MTT Assay
4.6. Nitric Oxide (NOx) Measurement
4.7. DPPH• Free Radical Scavenging Test
4.8. Ferric-Reducing Antioxidant Power Assay (FRAP)
4.9. ELISA Assay
4.10. May-Grünwald-Giemsa (MGG) Staining
4.11. Statistical Analysis
5. Conclusions
Author Contributions
Funding
Conflicts of Interest
References
- Prakash, O.; Kumar, R.; Mishra, A.; Gupta, R. Artocarpus heterophyllus (Jackfruit): An overview. Phcog. Rev. 2009, 3, 353–358. [Google Scholar]
- Bose, T.K. Jackfruit. Fruits of India: Tropical and Subtropical; Mitra, B.K., Ed.; Naya Prokash: Calcutta, India, 1985; pp. 488–497. [Google Scholar]
- Jagtap, U.B.; Bapat, V.A. Artocarpus: A review of its traditional uses, phytochemistry and pharmacology. J. Ethnopharmacol. 2010, 129, 142–166. [Google Scholar] [CrossRef] [PubMed]
- Lin, C.N.; Lu, C.M.; Huang, P.L. Flavonoids from Artocarpus heterophyllus. Phytochemistry 1995, 39, 1447–1451. [Google Scholar] [CrossRef]
- Baliga, M.S.; Shivashankara, A.R.; Haniadka, R.; Dsouza, J.; Bhat, H.P. Phytochemistry, nutritional and pharmacological properties of Artocarpus heterophyllus Lam (jackfruit): A review. Food Res. Int. 2011, 44, 1800–1811. [Google Scholar] [CrossRef]
- Khan, M.R.; Omoloso, A.D.; Kihara, M. Antibacterial activity of Artocarpus heterophyllus. Fitoterapia 2003, 74, 501–505. [Google Scholar] [CrossRef]
- Loizzo, M.R.; Tundis, R.; Chandrika, U.G.; Abeysekera, A.M.; Menichini, F.; Frega, N.G. Antioxidant and antibacterial activities on foodborne pathogens of Artocarpus heterophyllus Lam. (Moraceae) leaves extracts. J. Food Sci. 2010, 75, 291–295. [Google Scholar] [CrossRef]
- Sato, M.; Fujiwara, S.; Tsuchiya, H.; Fujii, T.; Iinuma, M.; Tosa, H.; Ohkawa, Y. Flavones with antibacterial activity against cariogenic bacteria. J. Ethnopharmacol. 1996, 54, 171–176. [Google Scholar] [CrossRef]
- Karthy, E.S.; Ranjitha, P.; Mohankumar, A. Antimicrobial potential of plant seed extracts against multidrug resistant methicillin resistant Staphylococcus aureus (MDR-MRSA). Int. J. Biol. 2009, 1, 34–40. [Google Scholar] [CrossRef][Green Version]
- Hafid, A.F.; Aoki-Utsubo, C.; Permanasari, A.A.; Adianti, M.; Tumewu, L.; Widyawaruyanti, A.; Wahyuningsih, S.P.A.; Wahyuni, T.S.; Lusida, M.I.; Soetijipto; et al. Antiviral activity of the dichloromethane extracts from Artocarpus heterophyllus leaves against hepatitis C virus. Asian Pac. J. Trop. Biomed. 2017, 7, 633–639. [Google Scholar] [CrossRef]
- Wetprasit, N.; Threesangsri, W.; Klamklai, N.; Chulavatnatol, M. Jackfruit lectin: Properties of mitogenicity and the inhibition of herpesvirus infection. Jpn. J. Infect. Dis. 2000, 53, 156–161. [Google Scholar]
- Ko, F.N.; Cheng, Z.J.; Lin, C.N.; Teng, C.M. Scavenger and antioxidant properties of prenylflavones isolated from Artocarpus heterophyllus. Free Radical. Biol. Med. 1998, 25, 160–168. [Google Scholar] [CrossRef]
- Fernando, M.R.; Wickramasinghe, S.N.; Thabrew, M.I.; Ariyananda, P.L.; Karunanayake, E.H. Effect of Artocarpus heterophyllus and Asteracanthus longifolia on glucose tolerance in normal human subjects and in maturity-onset diabetic patients. J. Ethnopharmacol. 1991, 31, 277–282. [Google Scholar] [CrossRef]
- Patil, K.S.; Jadhav, A.G.; Joshi, V.S. Wound healing activity of leaves of Artocarpus heterophyllus. Indian J. Pharm. Sci. 2005, 67, 629–632. [Google Scholar]
- Liu, J.; Willför, S.; Xu, C. A review of bioactive plant polysaccharides: Biological activities, functionalization, and biomedical applications. Bioact. Carbohydr. Diet. Fibre. 2015, 5, 31–61. [Google Scholar] [CrossRef]
- Wang, Y.; Wang, P.G. Polysaccharide-based systems in drug and gene delivery. Adv. Drug Deliv. Rev. 2013, 65, 1121–1122. [Google Scholar] [CrossRef]
- Xie, F.H.; Jin, M.L.; Morris, G.A.; Zha, X.Q.; Chen, H.Q.; Yi, H.; Li, J.E.; Wang, Z.J.; Gao, J.; Nie, S.P.; et al. Advances on bioactive polysaccharides from medicinal plants. Crit. Rev. Food Sci. Nutr. 2016, 56, 60–84. [Google Scholar] [CrossRef]
- Shen, C.Y.; Yang, L.; Jiang, J.G.; Zheng, C.Y.; Zhu, W. Immune enhancement effects and extraction optimization of polysaccharides from Citrus aurantium L. var. amara. Engl. Food Funct. 2017, 8, 796–807. [Google Scholar] [CrossRef]
- De Brito, T.V.; Prudêncio, R.S.; Sales, A.B.; Vieira, F.C., Jr.; Candeira, S.J.N.; Franco, A.X.; AragÃo, K.S.; Ribeiro, R.A.; de Souza, M.H.L.P.; Chaves, L.S.; et al. Anti-inflammatory effect of a sulphated polysaccharide fraction extracted from the red algae Hypnea musciformis via the suppression of neutrophil migration by the nitric oxide signalling pathway. J. Pharm. Pharm. 2013, 65, 724–733. [Google Scholar] [CrossRef]
- Cheng, A.; Wan, F.; Jin, Z.; Wang, J.; Xu, X. Nitrite oxide and inducible nitric oxide synthase were regulated by polysaccharides isolated from Glycyrrhiza uralensis Fisch. J. Ethnopharmacol. 2008, 118, 59–64. [Google Scholar] [CrossRef]
- Chang, Z.Q.; Oh, B.C.; Rhee, M.H.; Kim, J.C.; Lee, S.P.; Park, S.C. Polysaccharides isolated from Phellinus baumii stimulate murine splenocyte proliferation and inhibit the lipopolysaccharide-induced nitric oxide production in RAW264.7 murine macrophages. World J. Microbiol. Biotechnol. 2007, 23, 723–727. [Google Scholar] [CrossRef]
- Zhu, K.; Zhang, Y.; Nie, S.; Xu, F.; He, S.; Gong, D.; Wu, G.; Tan, L. Physicochemical properties and in vitro antioxidant activities of polysaccharide from Artocarpus heterophyllus Lam. pulp. Carbohydr. Polym. 2017, 155, 354–361. [Google Scholar] [CrossRef] [PubMed]
- Wang, Y.; Wang, Y.; Liu, D.; Wang, W.; Zhao, H.; Wang, M.; Yin, H. Cordyceps sinensis polysaccharide inhibits PDGF-BB-induced inflammation and ROS production in human mesangial cells. Carbohydr. Polym. 2015, 125, 135–145. [Google Scholar] [CrossRef] [PubMed]
- Zha, X.Q.; Luo, J.P.; Jiang, S.T. Induction of immunomodulating cytokines by polysaccharides from Dendrobium huoshanense. Pharm. Biol. 2007, 45, 71–76. [Google Scholar] [CrossRef]
- Delattre, C.; Fenoradosoa, T.A.; Michaud, P. Galactans: An overview of their most important sourcing and applications as natural polysaccharides. Braz. Arch. Biol. Technol. 2011, 54, 1075–1092. [Google Scholar] [CrossRef]
- Svagan, A.J.; Kusic, A.; De Gobba, C.; Larsen, F.H.; Sassene, P.; Zhou, Q.; van de Weert, M.; Mullertz, A.; Jørgensem, B.; Ulvskov, P. Rhamnogalacturonan-I based microcapsules for targeted drug release. PLoS ONE 2016, 11, e0168050. [Google Scholar] [CrossRef] [PubMed]
- Ellis, M.; Egelund, J.; Schultz, C.J.; Bacic, A. Arabinogalactan-proteins: Key regulators at the cell surface? Plant Physiol. 2010, 153, 403–419. [Google Scholar] [CrossRef] [PubMed]
- Pomin, V.H.; Mourão, P.A. Structure, biology, evolution, and medical importance of sulfated fucans and galactans. Glycobiology 2008, 18, 1016–1027. [Google Scholar] [CrossRef]
- Liu, C.; Li, X.; Li, Y.; Feng, Y.; Zhou, S.; Wang, F. Structural characterisation and antimutagenic activity of a novel polysaccharide isolated from Sepiella maindroni ink. Food Chem. 2008, 110, 807–813. [Google Scholar] [CrossRef]
- Li, Q.; Li, J.; Li, H.; Xu, R.; Yuan, Y.; Cao, J. Physicochemical properties and functional bioactivities of different bonding state polysaccharides extracted from tomato fruit. Carbohydr. Polym. 2019, 219, 181–190. [Google Scholar] [CrossRef]
- Kačuráková, M.; Capek, P.; Sasinková, V.; Wellner, N.; Ebringerová, A. FT-IR study of plant cell wall model compounds: Pectic polysaccharides and hemicelluloses. Carbohydr. Polym. 2000, 43, 195–203. [Google Scholar] [CrossRef]
- Wang, C.; Gao, X.; Chen, Z.; Chen, Y.; Chen, H. Preparation, characterization and application of polysaccharide-based metallic nanoparticles: A review. Polymers 2017, 9, 689. [Google Scholar] [CrossRef] [PubMed]
- Fan, S.; Zhang, J.; Nie, W.; Zhou, W.; Jin, L.; Chen, X.; Lu, J. Antitumor effects of polysaccharide from Sargassum fusiforme against human hepatocellular carcinoma HepG2 cells. Food Chem. Toxicol. 2017, 102, 53–62. [Google Scholar] [CrossRef] [PubMed]
- Hu, Y.; Zhang, J.; Zou, L.; Fu, C.; Li, P.; Zhao, G. Chemical characterization, antioxidant, immune-regulating and anticancer activities of a novel bioactive polysaccharide from Chenopodium quinoa seeds. Int. J. Biol. Macromol. 2017, 99, 622–629. [Google Scholar] [CrossRef] [PubMed]
- Ji, N.F.; Yao, L.S.; Li, Y.; He, W.; Yi, K.S.; Huang, M. Polysaccharide of Cordyceps sinensis enhances cisplatin cytotoxicity in non-small cell lung cancer H157 cell line. Integr. Cancer 2011, 10, 359–367. [Google Scholar] [CrossRef] [PubMed]
- Wang, J.; Bao, A.; Wang, Q.; Guo, H.; Zhang, Y.; Liang, J.; Kong, W.; Yao, J.; Zhang, J. Sulfation can enhance antitumor activities of Artemisia sphaerocephala polysaccharide in vitro and in vivo. Int. J. Biol. Macromol. 2018, 107, 502–511. [Google Scholar] [CrossRef] [PubMed]
- Biringanine, G.; Vray, B.; Vercruysse, V.; Vanhaelen-Fastré, R.; Vanhaelen, M.; Duez, P. Polysaccharides extracted from the leaves of Plantago palmate Hook. f. induce nitric oxide and tumor necrosis factor-α production by interferon-γ-activated macrophages. Nitric Oxide 2005, 12, 1–8. [Google Scholar] [CrossRef] [PubMed]
- Jiang, Z.; Okimura, T.; Yamaguchi, K.; Oda, T. The potent activity of sulfated polysaccharide, ascophyllan, isolated from Ascophyllum nodosum to induce nitric oxide and cytokine production from mouse macrophage RAW264.7 cells: Comparison between ascophyllan and fucoidan. Nitric Oxide 2011, 25, 407–415. [Google Scholar] [CrossRef]
- Diao, H.; Li, X.; Chen, J.; Luo, Y.; Chen, X.; Dong, L.; Wang, C.; Zhang, C.; Zhang, J. Bletilla striata polysaccharide stimulates inducible nitric oxide synthase and proinflammatory cytokine expression in macrophages. J. Biosci. Bioeng. 2008, 105, 85–89. [Google Scholar] [CrossRef]
- Das, A.; Rao, C.V.N. Constitution of the glucan from Mango (Mangifera indica Linn), I. Methylation study. Tappi 1964, 47, 339–343. [Google Scholar]
- Gerwig, G.J.; Kamerling, J.P.; Vliegenthart, J.F. Determination of the D and L configuration of neutral monosaccharides by high-resolution capillary g.l.c. Carbohydr. Res. 1978, 62, 349–357. [Google Scholar] [CrossRef]
- Sawardeker, J.S.; Sloneker, J.H.; Jeanes, A.R. Quantitative determination of monosaccharides as their alditol acetates by gas liquid chromatography. Anal. Chem. 1965, 37, 1602–1604. [Google Scholar] [CrossRef]
- Hakomori, S. Rapid permethylation of glycolipids and polysaccharides catalysed by methylsulfinyl carbanion in dimethyl sulfoxide. J. Biochem. 1964, 55, 205–208. [Google Scholar] [PubMed]
- York, W.S.; Darvill, A.G.; McNeil, M.; Stevenson, T.T.; Albersheim, P. Isolation and characterization of plant cell walls and cell wall components. In Methods in Enzymology; Weissbach, A., Weissbach, H., Eds.; Academic Press: London, UK, 1986; Volume 118, pp. 3–40. [Google Scholar] [CrossRef]
- Manrique, G.D.; Lajolo, F.M. FT-IR spectroscopy as a tool for measuring degree of methyl esterification in pectins isolated from ripening papaya fruit. Postharvest Biol. Technol. 2002, 25, 99–107. [Google Scholar] [CrossRef]






| Cell Culture and Time of Incubation (h) LPS + | WSP (µg/mL) | |||
|---|---|---|---|---|
| 50 | 100 | 150 | 200 | |
| HT29 (24 h) | Antagonism 2.57 | Additivity 1.0 | Additivity 0.71 | Synergism 0.39 |
| SW620 (24 h) | Antagonism 13.25 | Synergism 0.68 | Antagonism 3.75 | Antagonism 2.38 |
| HT29 (48 h) | Additivity 0.84 | Additivity 0.91 | Additivity 0.87 | Additivity 0.72 |
| SW620 (48 h) | Additivity 0.8 | Antagonism 1.8 | Antagonism 2.0 | Synergism 0.33 |
| WSP (µg/mL) | % of Reduction Compared to the Control | Reduction Value Corresponding to Trolox Concentrations (µg/mL) |
|---|---|---|
| 25 | 18.3 * ± 0.2 | 10.6 |
| 50 | 21.4 * ± 0.2 | 12.4 |
| 75 | 24.0 * ± 0.3 | 14.0 |
| 100 | 24.4 * ± 0.2 | 14.2 |
| 125 | 25.7 * ± 0.3 | 15.0 |
| 150 | 26.2 * ± 0.4 | 15.3 |
| 175 | 26.4 * ± 0.4 | 15.4 |
| 200 | 26.8 * ± 0.2 | 15.6 |
| 225 | 26.9 * ± 0.2 | 15.7 |
| 250 | 27.7 * ± 0.4 | 16.2 |
| WSP (µg/mL) | % of Reduction Compared to the Control | Reduction Value Corresponding to Ascorbic Acid Concentrations (µg/mL) |
|---|---|---|
| 25 | 44.8 * ± 0.1 | 9.9 |
| 50 | 44.8 * ± 0.1 | 9.9 |
| 75 | 46.8 * ± 0.1 | 11.0 |
| 100 | 48.5 * ± 0.1 | 12.1 |
| 125 | 48.7 * ± 0.1 | 12.3 |
| 150 | 57.6 * ± 0.1 | 18.6 |
| 175 | 59.5 * ± 0.1 | 20.3 |
| 200 | 68.4 * ± 0.1 | 31.1 |
| 225 | 73.6 * ± 0.1 | 41.0 |
| 250 | 76.5 * ± 0.1 | 48.4 |
© 2020 by the authors. Licensee MDPI, Basel, Switzerland. This article is an open access article distributed under the terms and conditions of the Creative Commons Attribution (CC BY) license (http://creativecommons.org/licenses/by/4.0/).
Share and Cite
Wiater, A.; Paduch, R.; Trojnar, S.; Choma, A.; Pleszczyńska, M.; Adamczyk, P.; Pięt, M.; Próchniak, K.; Szczodrak, J.; Strawa, J.; et al. The Effect of Water-Soluble Polysaccharide from Jackfruit (Artocarpus heterophyllus Lam.) on Human Colon Carcinoma Cells Cultured In Vitro. Plants 2020, 9, 103. https://doi.org/10.3390/plants9010103
Wiater A, Paduch R, Trojnar S, Choma A, Pleszczyńska M, Adamczyk P, Pięt M, Próchniak K, Szczodrak J, Strawa J, et al. The Effect of Water-Soluble Polysaccharide from Jackfruit (Artocarpus heterophyllus Lam.) on Human Colon Carcinoma Cells Cultured In Vitro. Plants. 2020; 9(1):103. https://doi.org/10.3390/plants9010103
Chicago/Turabian StyleWiater, Adrian, Roman Paduch, Sylwia Trojnar, Adam Choma, Małgorzata Pleszczyńska, Paulina Adamczyk, Mateusz Pięt, Katarzyna Próchniak, Janusz Szczodrak, Jakub Strawa, and et al. 2020. "The Effect of Water-Soluble Polysaccharide from Jackfruit (Artocarpus heterophyllus Lam.) on Human Colon Carcinoma Cells Cultured In Vitro" Plants 9, no. 1: 103. https://doi.org/10.3390/plants9010103
APA StyleWiater, A., Paduch, R., Trojnar, S., Choma, A., Pleszczyńska, M., Adamczyk, P., Pięt, M., Próchniak, K., Szczodrak, J., Strawa, J., & Tomczyk, M. (2020). The Effect of Water-Soluble Polysaccharide from Jackfruit (Artocarpus heterophyllus Lam.) on Human Colon Carcinoma Cells Cultured In Vitro. Plants, 9(1), 103. https://doi.org/10.3390/plants9010103

