Abstract
Lantana camara L. (Verbenaceae) originates from tropical Central and South America and has become invasive in about 50 countries. It causes problems when invading rangelands due to its toxicity to livestock and its tendency to form dense, monotonous thickets. Its invasiveness can partly be explained by the high tannin content largely protecting the species from being browsed, its tolerance to a wide range of environmental conditions, as well as its general preference for anthropogenically disturbed habitats. The dispersal of L. camara is facilitated by birds and other animals consuming its drupes (endozoochory), and so both wild and domestic ungulates could contribute to its spread. In our study, we investigated the distribution of L. camara in the Mutara rangelands of north-eastern Rwanda, an area that faced dramatic landscape changes in recent decades. We assessed 23 ecological factors and factors related to land-use and conservation-political history. Major effects on the local abundance of L. camara were found in that the relative canopy cover of L. camara was negatively correlated with the occurrence of other shrubs (suggesting competition for space and nutrients), while encounter rates of houses, ‘living fences’ (Euphorbia tirucalli L.) and cattle tracks were positively correlated with L. camara cover. Hence, the spread of non-native L. camara in the Mutara rangelands appears to be linked to landscape alterations arising from the transformation of rangelands supporting traditional pastoralist communities to other agricultural land-use forms.
1. Introduction
One of the major threats to global biodiversity is the spread of invasive species [1,2,3]. This applies usually to exotic (non-native) species that—once introduced and established in a new area—increase rapidly in local abundance and have negative impacts on the native flora or fauna [4]. However, not only exotic but also native species can become invasive when certain local environmental parameters change, e.g., due to human activities (altered land use [5,6,7]; logging [8]; environmental pollution [9]; artificially altered thermal regimes [10,11]), or as a consequence of economic trade [12,13]. In several cases, invasive species have a negative ecological impact on threatened or endangered native species [14,15], for instance, because invasive taxa cause competition for native taxa as seen between native and invasive Impatiens species in the Czech Republic [16]. Also, hybridization between native and introduced species can occur; e.g., invasive Spartina alterniflora Loisel. hybridizes with indigenous Spartina foliosa Trin. in the tidal marshes of San Francisco Bay, California [17], and invasive plants can alter the fire regime (e.g., cheatgrass, Bromus tectorum L. in western North America [18]), nutrient cycling (for review see [19]), or the hydrology of a given ecosystem (e.g., Tamarix sp. in the Lower Colorado drainage basin of Arizona [20]). Biological invasions can impact human livelihoods through environmental and economic costs arising from the uncontrolled spread of invasive species (e.g., in the United States of America an estimated 137 billion USD annually [15,21]).
Not all introduced (non-native) species become invasive though, and attempts to explain why a given species becomes invasive have focused on various ecological factors, including the release from natural enemies like herbivores or pathogens [22,23,24,25]. Also, high levels of phenotypic plasticity [26], and the potential for rapid evolutionary change [27] may contribute to a species’ invasiveness, as introduced species are unlikely to be ‘pre-adapted’ to several abiotic and biotic ecological parameters in their new range, such as the local climate, pollinator communities, herbivores, and so forth.
Our present study focuses on three invasive plants reported to negatively affect components of the agro-ecosystem located in the Mutara rangelands in north-eastern Rwanda [28,29]. We considered ecological factors that could be associated with the spread of non-native tickberry (Lantana camara L.; Verbenaceae; Figure 1A) originating from tropical Central and South America and the perennial grass species Cymbopogon nardus (L.) Rendle originating in tropical Asia (Poaceae; Figure 1C), as well as one native invasive species (i.e., indigenous species that became intrusive due to landscape or climate changes), namely Dichrostachys cinerea Wight et Arn. (Fabaceae; Figure 1B,E). Lantana camara has spread around the world, has become invasive in over 50 countries, and is currently becoming one of the most harmful invasive weeds in recorded history [30,31]. The invasiveness of L. camara can partly be explained by the high tannin content largely protecting the species from being browsed [32,33], its tolerance to a wide range of environmental conditions [34,35], as well as increased logging and other landscape modifications in conjunction with its general preference for anthropogenically disturbed habitats [36,37]. One of the most striking land-cover changes in rangelands during the last 150 years has been the proliferation of trees and shrubs at the expense of perennial grasses [38,39]. Shifts in the local abundance and overall density of woody plants represent fundamental habitat changes for herbivores—both wildlife (e.g., loss of mega-herbivores) and domestic livestock (e.g., introduction of cattle into previously ungrazed areas)—and hence lead to severe alterations in the ecosystems’ trophic structure. In the Mutara rangelands of north-eastern Rwanda, the native shrub Dichrostachys cinerea is increasing in abundance and density within its historic geographic range [40]. In semi-arid savannah habitats, such as the Akagera ecosysytem (to which the Mutara rangelands belong), drought, heavy grazing and fire suppression are suspected to lead to the encroachment of D. cinerea [41].
Figure 1.
(A) Invasive Lantana camara, an exotic (non-native) shrub species from tropical South-central America in the Mutara rangelands; (B) an isolated stand of invasive Dichrostachys cinerea in Akagera NP; and (C) tufts of invasive Cymbopogon nardus, an unpalatable, aromatic Poaceae (© www.NatureLoveYou.sg); (D) living fence comprising of Euphorbia tirucalli and L. camara; (E) Dichrostachys cinerea invasion of a flood plain in Akagera NP; (F) domestic goat browsing on L. camara pods in the Mutara rangelands.
Two grass species are dominant in the Mutara rangelands: Themeda triandra Forssk. and Hyparrhenia filipendula (Hochst.) Stapf (both Poaceae). In places, these two are replaced by invasive C. nardus, which is strongly aromatic, and both domestic and wild ungulates avoid it [42]. Cymbopogon nardus is an invasive grass species in the rangelands of eastern and southern Africa, affecting the growth of desirable, palatable grass species and impeding movement of livestock. In India, the occurrence of Cymbopogon sp. is typically linked to frequent burning [43], but in Africa (including the Mutara) it appears to grow better in the prolonged absence of fire [40,44,45,46]. However, its occurrence in the Mutara seems to be linked to overgrazing or to soil disturbance caused by previous agricultural activities [40].
The Mutara rangelands harbor a large traditional pastoralist community. Today’s rangelands originate from the degazetted parts of Akagera National Park, the Mutara Game Reserve and three communities from adjoining sectors that were never protected. Since 1997, a resettlement program has resulted in a major influx of returning refugees and their livestock [47,48,49]. Today, pastoral and agro-pastoral farming systems dominate in the Mutara, accounting for one-third of Rwanda’s human population and for 85% of the country’s cattle. To manifest land-ownership, the remaining rangeland (app. 13% of land area; results from this study) is increasingly divided by living fences comprising of Euphorbia tirucalli and lately of unintentionally sowed L. camara (Figure 1D). In recent years, cattle is increasingly replaced by domestic goats in an attempt to diversify local livelihoods [50]. Beside several avian species consuming the berry-like drupes, rodents and primates are the only mammals that regularly consume L. camara and may thus contribute to the dispersal of this invasive shrub [51,52,53]. However, there are also reports of seeds being dispersed by sheep and goats (Figure 1F) [54].
In our study we asked what factors drive the spread, especially of non-native L. camara, but also native invasive D. cinerea and non-native C. nardus in the Mutara rangelands, which may provide vital information regarding the question of how to impede their further spread. We first asked whether wildlife (i.e., birds, primates or ungulates) could be a major factor facilitating their dispersal [51,52,53]. In this case, the distribution of invasive plants should correspond with high wildlife densities or bird species richness. We also tested whether domestic livestock contributes to the distribution of invasive plants ([54], but see [32,33]), in which case percentage cover of invasive plants should positively correlate with local livestock densities. Third, we predicted human landscape alterations (i.e., construction of fences, roads, houses and gardens) to be partly responsible for the spread of invasive plants [36]. In that case, invasive plant cover should increase with increasing abundance of anthropogenic structures. In our study, we therefore assessed various ecological factors across 44 study quadrants as well as factors related to land-use and conservation-political history in the Mutara rangelands (independent variables). We condensed them into seven principal components (PCs) and tested for their impact on the distribution and local abundance of the three invasive plant species (dependent variables).
2. Results
In the case of Lantana camara and Cymbopogon nardus, we found significant effects of environmental variables, condensed into six PCs (Table 1), while percentage cover of Dichrostachys cinerea was not affected by any PC (Table 2). ANCOVAs (General Linear Models, GLM) revealed that percentage cover of L. camara and C. nardus were significantly affected by PC2, which received axis loadings (>|0.50|) from tree cutting, charcoal burning, shrub canopy cover and grass frequency (Table 1). Percentage cover of L. camara was also influenced by PC3 and the interaction term ‘PC3 × PC6’ (Table 2). PC3 received high axis loadings from human and house densities, living fences and watering troughs. The interaction term ‘PC3 × PC6’ received additional axis loadings from cattle tracks and erosion (Table 1). Visualizing the interaction effect yielded somewhat different slopes of the two regressions when splitting the data by the median of PC3; in both cases, the same pattern became apparent, i.e., percentage L. camara cover decreased with increasing PC6 (Supplementary Materials, Figure S1).
Table 1.
Results of principal component analysis of the 23 explanatory variables. Variables were measured in 44 quadrants along three transect belts across the Mutara rangelands. PC loadings > 0.5 are shown in bold font type.
Table 2.
Results of GLMs using the seven eco-climatic, conservation history-related and ecological principal components (PCs) as covariates. Interaction terms were excluded if p > 0.1.
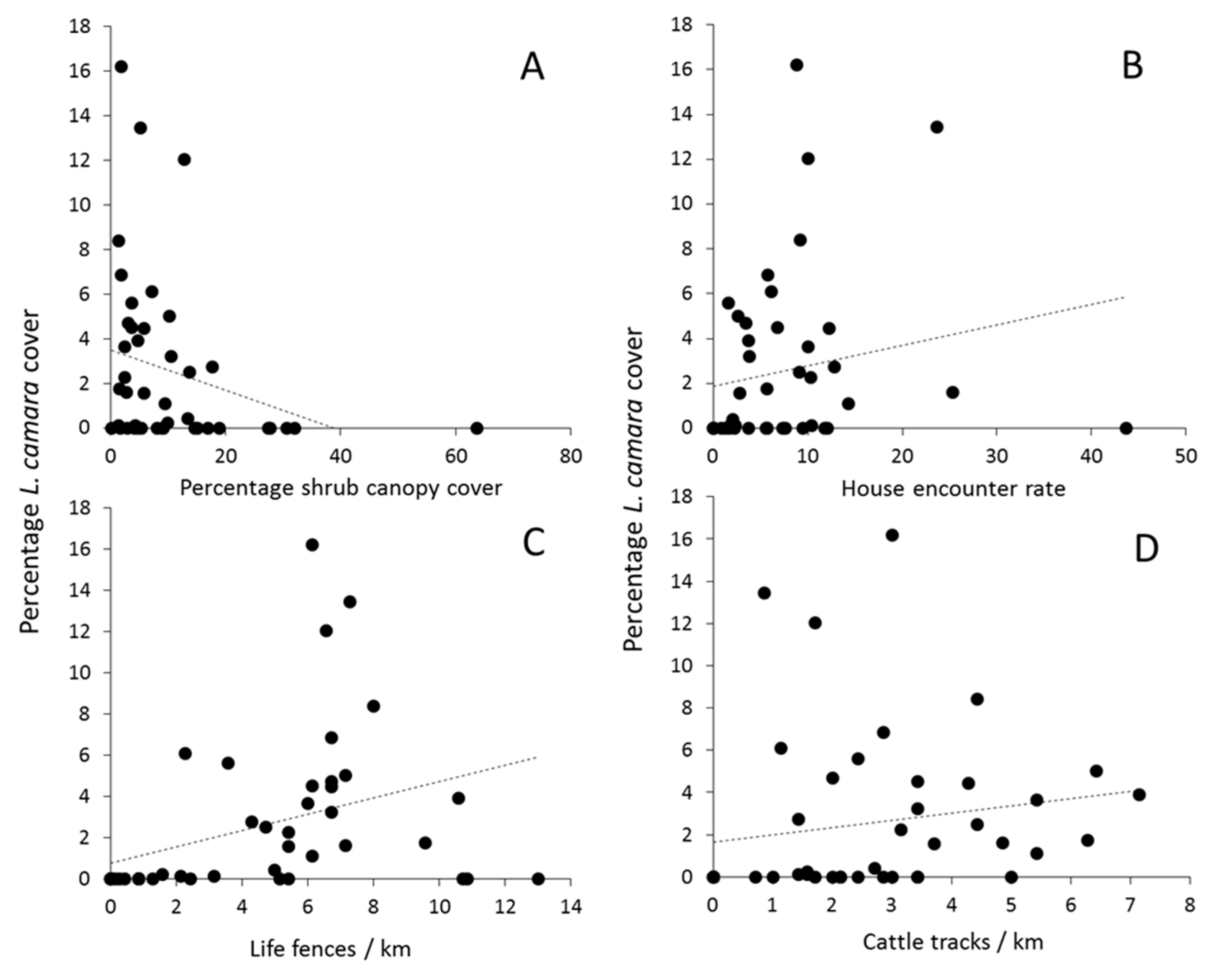
We used post-hoc analyses based on Spearman’s ρ to test the robustness of the effects detected in our GLMs. We found significant effects for the correlations between relative L. camara canopy cover and percentage shrub canopy cover, house encounter rates, numbers of living fences and numbers of cattle tracks (Table 3). The relative canopy cover of L. camara was negatively correlated with the occurrence of other shrubs (Figure 2A), while house encounter rate, and numbers of living fences and cattle tracks were positively correlated with L. camara cover (Figure 2B–D). The correlation between relative L. camara canopy cover and incidences of soil erosion was marginally non-significant (r = 0.276, p = 0.069; Table 3). In the case of C. nardus, however, none of the post-hoc correlation analyses were significant (Table 3).
Table 3.
Post-hoc Spearman rank correlations between percentage cover of Lantana camara (as well as Cymbopogon nardus) and factors with high axis loadings (see Table 1) contained in PC2, PC3 and PC6.
Figure 2.
Post-hoc Spearman rank correlations for significant effects between percentage Lantana camara cover and (A) percentage shrub canopy cover; (B) house encounter rate; (C) living fences and (D) cattle tracks. Linear fits were included to show the tendency (positive or negative) of relationships.
3. Discussion
Because of its invasiveness, potential for rapid spread once arrived in a new area, and economic and environmental impacts arising from its invasiveness, L. camara is regarded as one of the worst invasive weeds in tropical grasslands [31,55]. Due to its ability to form dense, impenetrable thickets that take over native savannah bush- and grasslands it competes for resources, reduces the productivity of pastures and thus the condition of livestock. Our study revealed that the occurrence of L. camara is indeed negatively correlated with the occurrence of other shrubs in the Mutara rangelands, and that the abundance of houses, living fences and cattle tracks is positively correlated with L. camara cover. The negative correlation between L. camara cover and that of other shrubs, such as Maerua angolensis DC., M. triphylla A. Rich., Capparis tomentosa Lam. (Capparaceae), Pavetta gardeniifolia Hochst. ex A. Rich. (Rubiaceae), Grewia similis L., G. mollis Juss. (Malvaceae), or Carissa edulis (Forssk.) Vahl. (Apocynaceae), confirms competition for space and resources between L. camara and those species in the Mutara rangelands. Lantana camara is known to produce toxic chemicals that prevent competing plant species from flourishing [55]. Also, the extraordinarily high seed production of L. camara (app. 12,000 seeds from each plant per year [37,55] might explain the negative correlation between L. camara and other (native) woody shrubs and bushes in the Mutara rangelands. A possible reason for the spread of L. camara in the Mutara rangelands may be the species’ ability to alter the soil nitrogen content [56], thereby decreasing the competitiveness of other shrubs, especially members of the (nitrogen-fixing) family Fabaceae. This will need to be investigated in future studies that adequately capture additional ecological parameters like soil nitrogen contents.
As predicted [36], L. camara was more abundant where the number of houses, cattle trails and living fences was high, i.e., in areas that are increasingly dissected by living fences (to prevent cattle from entering farms or other ranches). Living fences are usually encountered close to settlements and villages, where landownership is dense and formerly continuous rangelands are nowadays highly fragmented. It seems, therefore, that intensified land-use following the return of war refugees after 1995 and a shift from traditional pastoralism to small-scale subsistence agriculture promotes the spread of L. camara in the Mutara rangelands. By contrast, the two native invasive plant species considered in this study, i.e., D. cinerea and C. nardus were not affected (i.e., not more prevalent in association with anthropogenic disturbance) to the same extent by anthropogenic habitat alteration as L. camara. Still, in our analyses of variance using principal components as predictor variables (but not in post-hoc correlation analyses), an effect of PC2 on the local abundance of C. nardus was found, suggesting that it shows some trend towards a similar pattern as observed for L. camara: a negative correlation between relative C. nardus cover and native shrub species abundance and a positive correlation between C. nardus cover and the abundance of houses, living fences and cattle tracks. As predicted by [40], the occurrence of C. nardus in the Mutara rangelands seems to be linked to overgrazing (cattle tracks) or to soil disturbance caused by previous (and current) agricultural activities (living fences, house abundance). However, future studies using more sample quadrants and/or a different scale at which ecological parameters are assessed (i.e., smaller sampling quadrants) may be needed to identify factors predicting the spread of C. nardus, as our study design may not have been appropriate to adequately capture the (weak) effects of different ecological factors considered herein. Absence of a statistically significant effect in our present study, of course, does not prove that the respective set of ecological factors has no effect; rather our study may suffer from insufficient sample sizes in combination with moderate to weak effect strengths. Moreover, this study was initiated from a wildlife-oriented perspective, and we secondarily shifted our focus towards the spread of invasive plants in the area, but future studies may be needed to consider additional factors of relevance from a botanical perspective like the nitrogen-fixing ability of D. cinerea or the accumulation of nitrogen in the soil, as reported for L. camara [56].
A number of reasons have been put forward to explain why L. camara has been particularly successful as an invasive species [37]. The high tannin content protecting the species from being browsed [32,33], its ability to disperse using birds as vectors [51] (as well as endozoochory by other animals consuming its drupes [54]), and its general tolerance to a wide range of ecological factors in anthropogenically disturbed habitats appear to be prime reasons for the species’ high invasion potential [34,35,36,57,58,59]. Moreover, it was reported that the digging activity of ungulates, such as pigs, enhances the dispersal of L. camara in Australia by causing the death of trees and subsequent increased light penetration, which favored the spread of Lantana [57]. In the Mutara rangelands, land-use changes and habitat modifications are mainly caused by increasing subsistence agriculture and high cattle densities (up to 1200 cattle km−1, this study). In our analysis, these forms of anthropogenic disturbance were reflected by significant effects of encounter frequencies of houses, living fences and cattle tracks. However, it remains unclear why cattle densities as such did not have a direct significant effect on L. camara cover, but only numbers of cattle tracks. Possibly, the species is more resistant to soil disturbance resulting from permanent cattle movement than many native shrub species.
Pastoralism is an important economic and cultural way of life for 100–200 million people worldwide [60,61]. Extensive pastoral systems cover about 25% of the earth’s terrestrial surface, while in sub-Saharan Africa, about 16% of the human population relies entirely on pastoralism [62,63]. Pastoralism is characterized by low human population densities, high mobility and high dependency on local ecological knowledge [64,65]. Human activities in pastoralist communities contribute to the production and stability of the ecosystem, e.g., livestock grazing influences soil fertility [66], distribution and diversity of plants, maintains natural vegetation [67], captures carbon [68], reduces erosion, maintains soils, maintains the water holding capacity of the soil and provides habitat for wildlife [58,69,70]. Due to close links between pastoral communities, the ecosystems in which they live, and the animals they breed, pastoralism plays a significant role in the conservation and sustainable use of biodiversity [70,71,72]. Only in recent decades (i.e., since 1997) the Mutara rangelands faced dramatic land-use changes [47], mainly by dissecting the natural habitat with living fences to separate cattle from agricultural gardens and to secure landownership. Maintaining a traditional pastoralist system would not only benefit wildlife and biodiversity [72], but, as our study suggests, could also help reduce the spread of invasive L. camara. To prevent further habitat degradation in this part of the Akagera savannah ecosystem it would be advisable to prevent L. camara from thriving in living fences and to discourage pastoralist communities to tolerate it on their ranches. Contrary to our original prediction, the data at hand suggest that goat browsing does not play a major role in the spread of L. camara. Obviously, this finding does not imply that goats would prevent the spread of L. camara; however, it provides another argument for local pastoralists to increasingly replace cattle by goats to avoid overstocking and erosion, but also to diversify local livelihoods. Altogether then, our findings may help to confine the spread of L. camara while at the same time promoting the persistence of wildlife and livelihood diversification through goat breeding. Intensified land-use appears to be one of the main factors promoting the spread of invasive L. camara, and land over-exploitation is not only due to agriculatural practices, but partly linked to the ever intensifying use of land for cattle grazing. Goat breeding has been suggested as a sustainable alternative for the local human community, as it prevents bush encroachment (goats are predominantly browsers) and reduces zoonotic disease transmission between wildlife and livestock species and between livestock and humans [73].
4. Material and Methods
4.1. Study Area
The Mutara rangelands are situated in the Nyagatare District of north-eastern Rwanda (Figure 3) and—together with the Kagera District in Tanzania and the Ankole grasslands in south-western Uganda—are part of the Akagera ecosystem. The Mutara rangelands comprise vast open grasslands and savannah woodlands that are predominantly used for grazing cattle. The natural woody vegetation is dominated by compound-leafed trees such as Senegalia senegal (L.) Willd. and S. polycantha (Willd.) Seigler & Ebinger (Fabaceae), and broad-leafed species like Combretum spp. (Combretaceae), while grasslands are mostly composed of gramineous species such as Bracharia spp., Hyparrhenia filipendula (Hochst.) Stapf, Themeda triandra Forssk. and Sporobolus pyramidalis Beauv. (Poaceae) [40,74]. However, during the last two decades rangelands were increasingly transformed into subsistence agriculture to grow banana, maize and legumes.
Figure 3.
Our study area (forty-four 2.5 × 2.5 km squares) extending along three transect belts across the Mutara rangelands in the Akagera ecosystem in Rwanda. Conservation-political history and eco-climate (modified from [40] and separated by dashed lines) are: (A, west) Mutara rangelands, never protected, (B, central west) Mutara Game Reserve, degazetted between 1971 and 1990, (C, central) Mutara Game Reserve, degazetted in 1997, (D, central east) former Akagera National Park, degazetted in 1997, (E, east) modern Akagera National Park; (1, dark green) below Byumba Escarpment (900–1000 mm annual precipitation), (2, light green) higher Mutara (800–900 mm), (3, yellow) lower Mutara (700–800 mm), (4, orange) drier Mutara (600–700 mm), (5, pink) drier Kagera (500–600 mm).
In July 1934, large parts of the Mutara rangelands were protected as part of the newly gazetted Akagera National Park or the Mutara Game Reserve [40]. Between 1973 and 1990 the western parts of the Mutara Game Reserve (east of the Muvumba River; Figure 3) were opened for development projects, livestock breeding and the army [40]. Following the civil war (1991–1995), the remaining Mutara Game Reserve and the western half of Akagera National Park were also degazetted, reducing the protected area from an initial surface area of 2800 km2 to about 1120 km2 [75,76,77]. Other areas that were also included in our study, such as the area west of the Muvumba River, i.e., Rwempasha, Tabagwe and Rukomo Sectors, were never protected.
Sampling was carried out along three transect belts across the Mutara rangelands, covering five different zones of conservation-political history from the international border with Tanzania (or the wetlands inside the modern Akagera National Park) in the East to the international border with Uganda (or the Byumba Escarpment) in the West (Figure 3). Transect belts were established as described in [78], while omitting the two westernmost quadrants from the central and the southern transect belt, resulting in a total of 44 quadrants each measuring 2.5 × 2.5 km.
4.2. Assessment of Invasive Plant Species (Dependent Variables)
We assessed the relative ground cover [%] of non-native Lantana camara L. (Verbenaceae), native invasive Dichrostachys cinerea Wight et Arn. (Fabaceae) and non-native Cymbopogon nardus (L.) Rendle (Poaceae) using the line intercept method [79,80]. To eliminate potential seasonal variation, percentage cover was measured 40 times (i.e., 20 times in the wet season, 20 times in the dry season at different locations) in each quadrant. Percent cover was established by recording the length of intercept for each plant type along a haphazardly stretched tape (50 m) while measuring the distance between starting and ending points of the respective vegetation type. Intercept lengths for a given species were summed and divided by the total tape length. We averaged data from all 40 measurements per quadrant. Using the same method, we simultaneously established the percentage cover for trees and shrubs other than the three invasive species to use them as ecological predictor variables (see below).
4.3. Ecological Predictor Variables (Independent Variables)
4.3.1. Conservation-Political History and Eco-Climatic Data
Assignment of quadrants to different conservation historical and eco-climatic zones followed [40] (Figure 3). Ten quadrants were situated in those parts of the Mutara rangelands that were never protected, six in parts of the Mutara Game Reserve that were degazetted between 1973 and 1990, eight in parts of the Mutara Game Reserve that were degazetted in 1997, 16 in the former Akagera NP (degazetted in 1997) and four in the modern Akagera NP. Eco-climatic zonation was based on rainfall data obtained before 1990. Three quadrants were located in the wettest zone (900–1000 mm annual precipitation) near the Bujumba Escarpment in the West, six in the higher Mutara rangelands (800–900 mm), 26 in the lower Mutara rangelands (700–800 mm), five in the drier Mutara rangelands (600–700 mm) and four in the dry forest (500–600 mm) inside the modern Akagera National Park.
4.3.2. Livestock Density
Overstocking with domestic livestock is often held accountable for increasing erosion, soil compaction and loss of plant cover [81]. Disturbed soil and changes in the plant community can facilitate the spread of invasive plant species [36]. Occasionally, endozoochory, i.e., the dispersal of seeds after passage inside an animal’s digestive tract, could also play a role in the dispersal of invasive plants (e.g., Prosopis juliflora (Sw.) DC., Fabaceae [82]). We established three walking transects in each quadrant (two 1.5 km and one 0.5 km long) to count the number of local Ankole cattle as well as goat and sheep. Transect counts were conducted once in the dry season and once in the wet season, and averaged data were used for subsequent analyses. For distance sampling analysis, the perpendicular distance was determined for each livestock encounter, i.e., the direct distance between the transect line and the animal or group of animals, using a Bushnell Yardage ProX 500 range finder. To estimate livestock densities, we employed the software DISTANCE vs. 6.0 [83,84]. Making full use of the power of Akaike Information Criteria (AIC) and information theory, we analyzed cattle, goat and sheep together; whereby, due to low sampling sizes, goats and sheep were pooled into one category. We first explored the full data set to determine the best-fitting model, i.e., the detection function with the lowest AIC (Table S1, Supplementary Materials). Raw distances were binned into three or four intervals (avoiding cut points that coincide with multiples of 10) and truncated at 25–350 m to eliminate outliers from the model. All other binning intervals or truncations that resulted in smaller, i.e., significant χ2-values were omitted. Subsequently, we split the overall data set into four groups (cattle in the dry season, cattle in the wet season, sheep + goat in the dry season, sheep + goat in the wet season), rerunning the analyses with the same settings as established above. Details on key functions, series expansion, AIC, effective strip width (ESW), number of detections, mean cluster size, density of individuals, standard error of density, 95% confidence interval, percent coefficient of variation, and the density of clusters are provided in Table S1 (see Supplementary Materials).
4.3.3. Wildlife Encounters Frequency and Bird Richness
Although their high tannin content is suspected to largely protect L. camara and C. nardus from being eaten [32,33,42,44,46], it can be assumed than at least some wildlife species (browsing ungulates and primates) consume parts of these plants and thus contribute to their dispersal. Wildlife densities were estimated using the local ecological knowledge of the resident pastoralist population following previously established methods [78]. The interview survey involved a total sample of 526 independent participants. Only persons were selected for interviews who either worked on their own land (gardeners), who claimed to own the adjacent cattle ranch (cattle owners), who frequently graze their own (or another person’s) cattle in the area (herdsmen), or who stated that they continuously collect fire wood on that land. We interviewed respondents at the spot (in their garden, on their ranch or occasionally within their homes), using a semi-structured questionnaire (Supplementary Materials, Questionnaire 1). Each interview took around 30 min to be completed. We targeted only permanently resident adults (>18 years old) as respondents, and a balanced gender ratio was aspired but not entirely achieved [211 (40.1%) male and 315 (59.9%) female participants]. We took GPS coordinates of the interview site using a Garmin GPS III to ensure that places were situated within the respective quadrant. Interviews were carried out by one interviewer conversant in the local language (Kinyarwanda).
We presented silhouette images of 21 ungulate species and three primate species potentially occurring in the study area to each respondent. Eight ungulates (common duiker, Sylvicapra grimmia; bushbuck, Tragelaphus scriptus; oribi, Ourebia ourebi, sitatunga, Tragelaphus spekeii; bohor reedbuck, Redunca redunca; impala, Aepyceros melampus) and two primates (olive baboon, Papio anubis; vervet monkey, Cercopithecus aethiops) were identified to still occur in the area outside modern Akagera NP. The interviewees were first asked whether they ever encountered each species on their land. Subsequently, we asked for the abundance of each species, i.e., the frequency each species was encountered during the last year (on how many days per year the interviewee encountered that species). Encounter frequencies of the eight ungulates (ungulate encounter frequency) and the two primates (primate encounter frequency) were then summed for each quadrant and divided by the number of respondents in that quadrant. For the quadrants inside the modern Akagera NP, ungulate and primate frequencies were assigned a maximum ceiling value of 365 days, i.e., corresponding to an interview answer of encountering those species every day.
The berries of L. camara are dispersed by several bird species [85] enabling L. camara to expand its range rapidly and to occupy a broad range of environments. Moreover, Dichrostachys cinerea seeds are consumed by numerous bird species (at least as secondary consumers from ungulate dung [86]), while Cymbopogon seeds are usually not consumed by birds [87,88]. Since detailed information on what bird species consume certain plant parts in the Akagera ecosystem is lacking, we decided to determine overall bird species richness (rather than abundance estimates for certain consumers) in each quadrant, and transect belts were fitted to the presence/absence grid for each bird species occurring in Rwanda provided by [77]. The number of bird species reported by [77] for each grid was transferred to the corresponding quadrants of our transect belts and applied to all relevant quadrants. Usually, three quadrants of this study coincide with one grid cell in [77], implying same species counts for those quadrants.
4.3.4. Degree of Grassland Fragmentation
To assess the extent to which rangeland was transferred into areas of agricultural use, we measured the ratio of cattle ranches (grassland savannah) to gardens (subsistence agriculture). Waypoints for each change from a garden to a ranch and vice versa were taken whilst walking transects established to count domestic livestock species (see above). Later, we plotted location fixes using BASE CAMP software (Garmin) to determine the distance between measuring points. We expressed data as proportions of garden or ranch cover (km garden or ranch/total transect length). Ranches (grassland) and gardens are the two major land use forms encountered in the study area. For Akagera National Park, the degree of grassland fragmentation was set as 100% grassland (i.e., 3.5 km ‘ranch’), as parts of Akagera National Park were used for ranching prior to the designation as a National Park in 1934.
4.3.5. Human Disturbance
We established two variables for each quadrant to estimate the degree of direct anthropogenic impact, i.e., the encounter rates of houses and humans. We counted the number of houses (within a strip of 150 m to both sites of the route) and the number of people encountered along a representative route (1.5 km) within each quadrant (any public track or road). The human encounter rate is indicative of the intensity of ‘traffic’, while the house encounter rate denotes the number of people effectively settling in that area. Furthermore, while walking transects to count livestock, we also counted the number of living fences (Euphorbia tirucalli) planted by ranch and garden owners to protect crops and pasture from unauthorized grazing, the number of cases of soil erosion on the transect, the number of cattle tracks crossing each transect line, the number of watering troughs to provide cattle with water, as well as numbers of incidences of tree cutting and charcoal burning, and divided all count data by the distance travelled (i.e., 3.5 km) to obtain the encounter rate.
4.3.6. Water-Holding Capacity and Soil Porosity
We assessed two soil parameters that provide information on the degree of soil compaction. Soil compaction can be related to overstocking with domestic livestock but also to increasing urbanization [89]. Both types of environmental changes are described to have an impact on the dispersal and abundance of invasive plant species [36,81]. We collected soil samples of 261.25 cm3 volume using a cylindrical soil core (23.75 cm2 ground area × 11 cm height) at ten randomly selected locations per quadrant and transferred samples to the laboratory to obtain the wet and dry weight. Water-holding capacity and soil porosity (aeration porosity) were calculated as follows: wet soil weight minus dry soil weight gives the mass of contained water (gravimetric water content). Assuming that the density of water is 1 g cm−3, we thus obtained the volume of water. Dividing the volume of water by the surface area of the container gives the depth of water. Dry soil weight divided by the particle density of 2.65 g cm−3 gives the soil volume. By dividing the soil volume by the surface area of the container we obtained the depth of soil. Subtracting the depth of water and the depth of soil from the height of the container provides the depth of air. The water-holding potential was then calculated by dividing the mass of water and air by the mass of soil × 100. To obtain soil porosity, we divided the depth of air by the height of the container × 100.
4.3.7. Above-Ground Monocotyledonous Biomass
As an indirect measure of overstocking with cattle and, therefore, degradation of rangeland due to overgrazing, the above-ground monocotyledonous plant biomass was determined as described in [90]. All above-ground grass matter was cut in twenty 50 × 50 cm plots (10 in the dry season, 10 in the wet season) in each quadrant. Samples were processed in the laboratory by measuring the wet weight and then drying the grass sample to obtain the dry weight. To obtain ash-free dry weight (AFDW; grass biomass excluding water and minerals), the dried material was oxidized (ashed) in a muffle furnace and re-weighed.
4.3.8. Grass and Herb Frequency
The frequency of other gramineous species is negatively correlated with the occurrence of C. nardus in the rangelands of south-western Uganda [44,46]. Moreover, the decline (or increase) of herb abundance and diversity in a savannah ecosystem was reported to be a good indicator for the degradation of rangelands [91,92,93,94]. Grass and herb frequencies were measured 20 times in each quadrant (10 times in the dry season, 10 times in the wet season) following methods described in [80]. Sampling locations (only situated in grassland) were roughly identified in Google Earth, while a random procedure was applied on site to determine the final sampling spot. A 0.9 × 0.9 m sampling rectangle was laid arbitrarily on the ground and the presence of grass or herbs in each sampling grid recorded to establish the fraction of grids containing grass or herbs.
4.4. Data Analysis
In all cases, measurements were averaged across samplings and seasons to obtain one value for each quadrant. Prior to statistical analyses we arcsine (square root)-transformed all relative data (L. camara, D. cinerea, C. nardus, as well as tree and shrub canopy cover, cattle and sheep/goat densities, ungulate and primate encounter frequencies, bird species richness, house and people densities, ranch/garden ratio, canopy cover of shrubs and trees, as well as grass and herb frequencies). Subsequently, we applied z-transformation to the entire data set to standardize data dimensionality. Inspection of model residuals did not indicate violations of model assumptions, i.e., normal error distribution and homoscedasticity. Multiple correlation analysis between our three dependent variables (i.e., local abundances of the three invasive plant species per quadrant) and all 23 independent variables would have required Bonferroni-correction of significance thresholds (α-levels) to avoid type I errors as: α’ = α/23 = 0.05/23 = 0.0022. To avoid restrictions arising from this approach, we decided to condense all explanatory variables through a factor reduction (principal components analysis, PCA, based on a correlation matrix) using the varimax rotation option. The six resulting principle components with an eigenvalue >1.0, explaining 74.2% of the total variance (Table 1) were then used as explanatory variables in our statistical analyses.
We tested what factors predict the local abundance of the invasive plant species by including the six PCs as covariates in three independent General Linear Models (GLMs, one for each species), in which percent cover of each species was specified as dependent variable. We initially included all two-way interactions of covariates in the GLMs. Interaction terms were excluded if p > 0.1 (all excluded terms: F < 2.61, p > 0.12). We also initially included ‘transect ID’ as a random factor in all analyses, but removed it from the final models as the effects were not significant (F < 2.87, p > 0.093).
To avoid over-interpretation of our results, we tested the robustness of statistically significant effects in our GLMs via post-hoc non-parametric Spearman rank correlations with those factors contained in the respective PCs that received high axis loadings (>|0.50|; Table 1). Our main conclusions are based on significant results in our post-hoc analyses.
Supplementary Materials
The following are available online at www.mdpi.com/2223-7747/6/2/19/s1, Figure S1: Visualization of PC3 × PC5 interaction effect on relative canopy cover of L. camara, Table S1: Details of DISTANCE analysis of seasonal cattle and sheep/goat densities, Questionnaire 1: Semi-structured questionnaire.
Acknowledgments
We thank Marie-Claire Dusabe for carrying out interviews with local pastoralist communities. Financial support was received from a University of Rwanda Post–Doctoral Research Grant (UR—CRA/08/7/2014, cycle 2014) and from DFG-TWAS (DFG-TWAS KL 2378/3-1; PL 470/4-1).
Author Contributions
Ann Apio and Torsten Wronski conceived and designed the study design; Jean Damascene Bariyanga performed the field and laboratory work; Martin Plath, Ping Sun and Torsten Wronski analyzed the data; Ann Apio contributed materials and funding; Torsten Wronski, Ann Apio and Martin Plath wrote the paper.
Conflicts of Interest
The authors declare no conflict of interest.
References
- Mooney, H.A.; Cleland, E.E. The evolutionary impact of invasive species. Proc. Natl. Acad. Sci. USA 2001, 98, 5446–5451. [Google Scholar] [CrossRef] [PubMed]
- Davis, M.A. Biotic globalization: Does competition from introduced species threaten biodiversity? BioScience 2003, 53, 481–489. [Google Scholar] [CrossRef]
- Weber, E. Invasive Plant Species of the World: A Reference Guide to Environmental Weeds; CABI Publishing: Wallingford, UK, 2003; p. 560. [Google Scholar]
- Williamson, M. Biological Invasions; Chapman and Hall: London, UK, 1996; p. 244. [Google Scholar]
- Mooney, H.A.; Hofgaard, A. Biological invasions and global change. In Invasive Species and Biodiversity Management. Based on a Selection of Papers Presented at the Norway/UN Conference on Alien Species, Trondheim, Norway; Population and Community Biology Series; Sandlund, O.T., Schei, P.J., Viken, Å., Eds.; Kluwer Academic Publishers: Dordrecht, The Netherlands, 1999; Volume 24, pp. 139–148. [Google Scholar]
- Mooney, H.A.; Hobbs, R.J. Invasive Species in a Changing World; Island Press: Washington, DC, USA, 2000; p. 384. [Google Scholar]
- Moore, B.A. Alien Invasive Species: Impacts on Forests and Forestry—A Review; Forest Health & Biosecurity Working Paper 8; Forest Resources Division FAO: Rome, Italy, 2005; p. 115. [Google Scholar]
- Zettler, J.A.; Taylor, M.D.; Allen, C.R.; Spira, T.P. Consequences of forest clear-cuts for native and nonindigenous ants (Hymenoptera: Formicidae). Ann. Entomol. Soc. Am. 2004, 97, 513–518. [Google Scholar] [CrossRef]
- Crooks, J.A.; Chang, A.L.; Ruiz, G.M. Aquatic pollution increases the relative success of invasive species. Biol. Invasions 2011, 13, 165–176. [Google Scholar] [CrossRef]
- Arnold, A. Eingebürgerte Fischarten: Zur Biologie und Verbreitung Allochthoner Wildfische in Europa; A. Ziemsen: Wittenberg, Germany, 1990; p. 144. (In German) [Google Scholar]
- Deacon, A.E.; Ramnarine, I.W.; Magurran, A.E. How reproductive ecology contributes to the spread of a globally invasive fish. PLoS ONE 2011, 6, e24416. [Google Scholar] [CrossRef] [PubMed]
- Perrings, C.; Williamson, M.; Barbier, E.B.; Delfino, D.; Dalmazzone, S.; Shogren, J.; Simmons, P.; Watkinson, A. Biological invasion risks and the public good: An economic perspective. Conserv. Ecol. 2002, 6, 1. [Google Scholar] [CrossRef]
- Taylor, B.W.; Irwin, R.E. Linking economic activities to the distribution of exotic plants. Proc. Natl. Acad. Sci. USA 2004, 101, 17725–17730. [Google Scholar] [CrossRef] [PubMed]
- Wilcove, D.S.; Rothstein, D.; Dubow, J.; Phillips, A.; Losos, E. Quantifying threats to imperiled species in the United States. BioScience 1998, 48, 607–615. [Google Scholar] [CrossRef]
- Pimentel, D.; Lach, L.; Zuniga, R.; Morrison, D. Environmental and economic costs of nonindigenous species in the United States. BioScience 2000, 50, 53–65. [Google Scholar] [CrossRef]
- Čuda, J.; Skálová, H.; Janovský, Z.; Pyšek, P. Competition among native and invasive Impatiens species: The roles of environmental factors, population density and life stage. AoB Plants 2015, 7, plv033. [Google Scholar] [PubMed]
- Ayres, D.R.; Smith, D.L.; Zaremba, K.; Klohr, S.; Strong, D.R. Spread of exotic cordgrasses and hybrids (Spartina sp.) in the tidal marshes of San Francisco Bay, California. USA. Biol. Invasions 2004, 6, 221–231. [Google Scholar] [CrossRef]
- Whisenant, S.G. Changing fire frequencies on Idaho’s Snake River plains: Ecological and management implications. In Proceedings of the Symposium on Cheat Grass Invasion, Shrub Die-Off, and Other Aspects of Shrub Biology and Management, Las Vegas, NV, USA, 5–7 April 1989; McArthur, E.D., Romney, E.M., Smith, S.D., Tueller, P.T., Eds.; USDA Forest Service, Intermountain Research Station: Ogden, UT, USA, 1990; pp. 4–10. [Google Scholar]
- Ehrenfeld, J. Effects of exotic plant invasions on soil nutrient cycling processes. Ecosystems 2003, 6, 503–523. [Google Scholar] [CrossRef]
- Stromberg, J.C.; Lite, S.J.; Marler, R.; Paradzick, C.; Shafroth, P.B.; Shorrock, D.; White, J.M.; White, M.S. Altered stream-flow regimes and invasive plant species: The Tamarix case. Glob. Ecol. Biogeogr. 2007, 16, 381–393. [Google Scholar] [CrossRef]
- Pimentel, D.; Zuniga, R.; Morrison, D. Update on the environmental and economic costs associated with alien-invasive species in the United States. Ecol. Econ. 2005, 52, 273–288. [Google Scholar] [CrossRef]
- Witte, F.; Goldschmidt, T.; Wanink, J.; van Oijen, M.; Goudswaard, K.; Witte-Maas, E.; Bouton, N. The destruction of an endemic species flock: Quantitative data on the decline of the haplochromine cichlids of Lake Victoria. Environ. Biol. Fishes 1992, 34, 1–28. [Google Scholar] [CrossRef]
- Keane, R.M.; Crawley, M.J. Exotic plant invasions and the enemy release hypothesis. Trends Ecol. Evol. 2002, 17, 164–170. [Google Scholar] [CrossRef]
- Torchin, M.E.; Lafferty, K.D.; Dobson, A.P.; McKenzie, V.J.; Kuris, A.M. Introduced species and their missing parasites. Nature 2003, 421, 628–630. [Google Scholar] [CrossRef] [PubMed]
- Emde, S.; Kochmann, J.; Kuhn, T.; Plath, M.; Klimpel, S. Getting what is served? Feeding ecology influencing parasite-host interactions in invasive round goby Neogobius melanostomus. PLoS ONE 2014, 9, e109971. [Google Scholar] [CrossRef] [PubMed]
- Parker, I.M.; Rodriguez, J.; Loik, M.E. An evolutionary approach to understanding the biology of invasions: Local adaption and general-purpose genotypes in the weed Verbascum thapsus. Conserv. Biol. 2003, 17, 59–72. [Google Scholar] [CrossRef]
- Ellstrand, N.C.; Schierenbeck, K.A. Hybridazation as a stimulus for the evolution of invasiveness in plants? Proc. Natl. Acad. Sci. USA 2000, 97, 7043–7050. [Google Scholar] [CrossRef] [PubMed]
- Ministère des Terres, de la Réinstallation et de la Protection de l’Environnement (MINITERE). Etudes Relatives à la Protection Intégrée et Conservation des Ressources Naturelles des Zones Humides Critiques du Rwanda: Evaluation de la Diversité Biologique des Zones Humides; Ministère des Terres, de la Réinstallation et de la Protection de l’Environnement (MINITERE): Kigali, Rwanda, 2003; p. 78. [Google Scholar]
- Rwanda Environment Management Authority (REMA). Study to Assess the Impacts of Invasive Alien Species (Flowering Plants, Fish and Insects) in Natural Forest, Agro-Ecosystems, Lakes and Wetland Ecosystems in Rwanda and Develop Their Management Plans; Rwanda Environment Management Authority (REMA): Kigali, Rwanda, 2015; p. 100. [Google Scholar]
- Sanders, R.W. Taxonomy of Lantana sect Lantana (Verbenaceae). J. Bot. Res. Inst. Tex. 2012, 6, 403–442. [Google Scholar]
- Bhagwat, S.A.; Breman, E.; Thekaekara, T.; Thornton, T.F.; Willis, K.J. A battle lost? Report on two centuries of invasion and management of Lantana camara L. in Australia, India and South Africa. PLoS ONE 2012, 7, e32407. [Google Scholar] [CrossRef] [PubMed]
- Barceloux, D.G. Medical Toxicology of Natural Substances: Foods, Fungi, Medicinal Herbs, Plants, and Venomous Animals; Wiley & Sons: Oxford, UK, 2008; p. 1155. [Google Scholar]
- Haruna, S.S.; Ahmed, O.; Titilayo, J.O. Nutritional and anti-nutritional composition of Lantana camara leaf. J. Investig. Biochem. 2015, 4, 58–60. [Google Scholar] [CrossRef]
- Taylor, S.; Kumar, L.; Reid, N.; Kriticos, D.J. Climate change and the potential distribution of an invasive shrub, Lantana camara L. PLoS ONE 2012, 7, e35565. [Google Scholar] [CrossRef] [PubMed]
- Goncalves, E.; Herrera, I.; Duarte, M.; Bustamante, R.O.; Lampo, M.; Velásquez, G.; Sharma, G.P.; García-Rangel, S. Global invasion of Lantana camara: Has the climatic niche been conserved across continents? PLoS ONE 2014, 9, e111468. [Google Scholar] [CrossRef] [PubMed]
- Cronk, Q.C.B.; Fuller, J.L. Plant Invaders: The Threat to Natural Ecosystems; Chapman & Hall: London, UK, 1995; p. 241. [Google Scholar]
- Sharma, G.P.; Raghubanshi, A.S.; Singh, J.S. Lantana invasion: An overview. Weed Biol. Manag. 2005, 5, 157–165. [Google Scholar] [CrossRef]
- Moleele, N.M.; Ringrose, S.; Matheson, W.; Vanderpost, C. More woody plants? The status of bush encroachment in Botswana’s grazing areas. J. Environ. Manag. 2002, 64, 3–11. [Google Scholar] [CrossRef]
- Archer, S.R. Rangeland conservation and shrub encroachment: New perspectives on an old problem. In Wild Rangelands: Conserving Wildlife While Maintaining Livestock in Semi-Arid Ecosystems; du Toit, J.T., Kock, R., Deutsch, J.C., Eds.; Wiley-Blackwell: Oxford, UK, 2010; pp. 53–97. [Google Scholar]
- Vande weghe, J.P. Akagera, Land of Water, Grass and Fire; WWF: Brussels, Belgium, 1990; p. 256. [Google Scholar]
- Roques, K.G.; O’Connor, T.G.; Watkinson, A.R. Dynamics of shrub encroachment in an African savanna: Relative influences of fire, herbivory, rainfall and density dependence. J. Appl. Ecol. 2001, 38, 268–280. [Google Scholar] [CrossRef]
- Bredon, R.M.; Torell, B.; Marshall, B. Measurement of selective grazing of tropical pastures using esophageal fistulated steers. J. Range Manag. 1967, 20, 317–320. [Google Scholar] [CrossRef]
- Sankaran, M. Fire, grazing and the dynamics of tall-grass savannas in the Kalakad-Mundanthurai Tiger Reserve, South India. Conserv. Soc. 2005, 3, 4–25. [Google Scholar]
- Byenkya, G.S. Impact of Undesirable Plant Communities on the Carrying Capacity and Livestock Performance in Pastoral Systems of South-Western Uganda. Ph.D. Thesis, Texas A&M University, College Station, TX, USA, May 2004. [Google Scholar]
- Fynn, R.; Morris, C.; Ward, D.; Kirkman, K. Trait–environment relations for dominant grasses in South African mesic grassland support a general leaf economic model. J. Veg. Sci. 2011, 22, 528–540. [Google Scholar] [CrossRef]
- Byenkya, G.S.; Gumisiriza, G.; Kasigwa, H. Evaluation of control strategies for Cymbopogon nardus in grazing areas of Uganda. J. Agric. Sci. Technol. B 2013, 3, 656–660. [Google Scholar]
- Kanyamibwa, S. Impact of war on conservation: Rwandan environment and wildlife in agony. Biodivers. Conserv. 1998, 7, 1399–1406. [Google Scholar] [CrossRef]
- Plumptre, A.J.; Masozera, M.; Vedder, A. The Impact of Civil War on the Conservation of Protected Areas in Rwanda; WCS Biodiversity Support Program: Washington, DC, USA, 2001; p. 28. [Google Scholar]
- Schoene, C. Rwanda—Conservation in a Haunted Country. Projet de Protection des Réssources Naturelles; Technical Report GTZ-PRORENA-AKAGERA; Gesellschaft für Technische Zusammenarbeit (GTZ): Kigali, Rwanda, 2003; p. 37. [Google Scholar]
- Bariyanga, J.D.; Wronski, T.; Plath, M.; Apio, A. Effectiveness of electro-fencing for restricting the ranging behavior of wildlife: A case study in the degazetted parts of Akagera National Park. Afr. Zool. 2016, 51, 183–191. [Google Scholar] [CrossRef]
- Corlett, R.T. Frugivory and seed dispersal by vertebrates in the Oriental (Indomalayan) Region. Biol. Rev. Camb. Philos. Soc. 1998, 73, 413–448. [Google Scholar] [CrossRef] [PubMed]
- Umapathy, G.; Kumar, A. Impacts of the habitat fragmentation on time budget and feeding ecology of lion-tailed macaque (Macaca silenus) in rain forest fragments of Anamalai Hills, South India. Primate Rep. 2000, 58, 67–82. [Google Scholar]
- Vardien, W.; Richardson, D.M.; Foxcroft, L.C.; Thompson, G.D.; Wilson, J.R.U.; le Roux, J.J. Invasion dynamics of Lantana camara L. (sensu lato) in South Africa. S. Afr. J. Bot. 2012, 81, 81–94. [Google Scholar] [CrossRef]
- Thomas, S.E. Datasheet Invasive Species Compendium: Lantana camara (Lantana); Centre for Agriculture and Bioscience International (CABI): Wallingford, Oxon, UK, 2015; Available online: http://www.cabi.org/isc/datasheet/29771 (accessed on 22 January 2017).
- Day, M.; Grice, T.; Carter, R.; Clarke, A.; Eldershaw, G.; Sloane, J.; Thorp, J. Weed Management Guide Lantana—Lantana camara; Cooperative Research Centre (CRC) Australian Weed Management, University of Adelaide: Glen Osmond, Australia, 2003; p. 6. [Google Scholar]
- Sharma, G.P.; Raghubanshi, A.S. Lantana invasion alters soil nitrogen pools and processes in the tropical dry deciduous forest of India. Appl. Soil Ecol. 2009, 42, 134–140. [Google Scholar] [CrossRef]
- Fensham, R.J.; Fairfax, R.J.; Cannell, R.J. The invasion of Lantana camara L. in Forty Mile Scrub National Park, North Queensland. Austral J. Ecol. 1994, 19, 297–305. [Google Scholar] [CrossRef]
- Duggin, J.A.; Gentle, C.B. Experimental evidence on the importance of disturbance intensity for invasion of Lantana camara L. in dry rainforest-open forest ecotones in north-eastern NSW, Australia. For. Ecol. Manag. 1998, 109, 279–305. [Google Scholar] [CrossRef]
- August-Schmidt, E.M.; Haro, G.; Bontrager, A.; D’Antonio, C.M. Preferential associations of invasive Lantana camara (Verbenaceae) in a seasonally dry Hawaiian woodland. Pac. Sci. 2015, 69, 385–397. [Google Scholar] [CrossRef]
- Rodriguez, L. A Global Perspective on the Total Economic Value of Pastoralism: Global Synthesis Report Based on Six Country Valuations; World Initiative for Sustainable Pastoralism: Nairobi, Kenya, 2008; p. 25. [Google Scholar]
- CBD, Secretariat of the Convention on Biological Diversity. Pastoralism, Nature Conservation and Development: A Good Practice Guide; CBD: Montreal, QC, Canada, 2010; p. 43. [Google Scholar]
- WISP, World Initiative for Sustainable Pastoralism. Forgotten Services, Diminished Goods: Understanding the Agroecosystem of Pastoralism; WISP Policy Note No. 8; IUCN-WISP: Gland, Switzerland, 2008; p. 4. [Google Scholar]
- Holechek, J.L.; Cibils, A.F.; Bengaly, K.; Kinyamario, J.I. Human population growth, African pastoralism, and rangelands: A perspective. Rangel. Ecol. Manag. 2016. [Google Scholar] [CrossRef]
- Behnke, R.H.; Fernandez-Gimenez, M.E.; Turner, M.D.; Stammler, F. Pastoral migration: mobile systems of livestock husbandry. In Animal Migration; Milner-Gulland, E.J., Fryxell, J.M., Sinclair, A.R.E., Eds.; Oxford University Press: Oxford, UK, 2011; p. 257. [Google Scholar]
- Turner, M.D.; McPeak, J.G.; Gillin, K.; Kitchell, E.; Kimambo, N. Reconciling flexibility and tenure security for pastoral resources: The geography of transhumance networks in Eastern Senegal. Hum. Ecol. 2016, 44, 199–215. [Google Scholar] [CrossRef]
- Qu, T.; Du, W.; Yuan, X.; Yang, Z.; Liu, D.; Wang, D.; Yu, L. Impacts of grazing intensity and plant community composition on soil bacterial community diversity in a steppe grassland. PLoS ONE 2016, 11, e0159680. [Google Scholar] [CrossRef] [PubMed]
- Ren, H.; Schönbach, P.; Wan, H.; Gierus, M.; Taube, F. Effects of grazing intensity and environmental factors on species composition and diversity in typical steppe of Inner Mongolia, China. PLoS ONE 2012, 7, e52180. [Google Scholar] [CrossRef] [PubMed]
- Davies, J.; Nori, M. Managing and mitigating climate change through pastoralism. Policy Matters 2008, 16, 127–162. [Google Scholar]
- Homewood, K.M.; Rodgers, W.A. Pastoralism and conservation. Hum. Ecol. 1984, 12, 431–441. [Google Scholar] [CrossRef]
- Averbeck, C.; Plath, M.; Wronski, T.; Apio, A. Effect of human nuisance on the social organisation of large mammals: Group sizes and compositions of seven ungulate species in Lake Mburo National Park and the adjacent Ankole Ranching Scheme. Wildl. Biol. 2012, 18, 180–193. [Google Scholar] [CrossRef]
- Averbeck, C. Incorporating local people through economic incentives at Lake Mburo National Park, Uganda—Africa works! In Stakeholder Dialogues in Natural Resources Management; Stollkleemann, S., Welp, M., Eds.; Springer: Berlin, Germany, 2012; pp. 325–343. [Google Scholar]
- Wrobel, M.L.; Redford, K.H. A review of rangeland conservation issues in an uncertain future. In Wild Rangelands: Conserving Wildlife While Maintaining Livestock in Semi-Arid Ecosystems; du Toit, J.T., Kock, R., Deutsch, J.C., Eds.; Wiley-Blackwell: Oxford, UK, 2010; pp. 1–12. [Google Scholar]
- Kabasa, J.D. The Nutritional Ecology and Effects of Brows Polyphenols in Goats of the Ankole Range Land Ecosystem in Uganda; Cuvillier: Göttingen, Germany, 1999; p. 190. [Google Scholar]
- Langdale-Brown, I. The Vegetation of Uganda (Excluding Karamoja); Mem. Uganda Department Agriculture Research Division, Government of Uganda: Kampala, Uganda, 1960; Volume 2, pp. 1–45.
- Williams, S.D.; Ntayombya, P. Akagera Biodiversity Project—Final Report; Zoological Society of London & Ministry of Agriculture, Livestock, Environment & Rural Development: London, UK; Kigali, Rwanda, 1999; p. 138. [Google Scholar]
- Williams, S.D.; Ntayombya, P. Rwanda: Akagera National Park; Antelope Survey—Update no. 8; IUCN/SSC Antelope Specialist Group: Gland, Switzerland, 2001; pp. 46–51. [Google Scholar]
- Vande Weghe, J.P.; Vande weghe, G.R. Birds in Rwanda; Rwanda Development Board: Kigali, Rwanda, 2011; p. 336. [Google Scholar]
- Apio, A.; Umuntunundi, P.; Lerp, H.; Bierbach, D.; Plath, M.; Wronski, T. Persistence of two small antelope species in the degraded Mutara Rangelands (Akagera Ecosystem) based on pastoralists ’and farmers’ perceptions. Hum. Ecol. 2015, 43, 613–620. [Google Scholar] [CrossRef]
- Canfield, R.H. Application of the line interception method in sampling range vegetation. J. For. 1941, 39, 388–394. [Google Scholar]
- Kent, M.; Coker, P. Vegetation Description and Analysis—A Practical Approac; Wiley & Sons: New York, NY, USA, 1992; p. 428. [Google Scholar]
- Thornes, J.B. Modelling soil erosion by grazing: Recent developments and new approaches. Geogr. Res. 2007, 45, 13–26. [Google Scholar] [CrossRef]
- Wronski, T.; Mosfer, A.N.; Plath, M. Endemic Farasan gazelle (Gazella gazella farasani) enhance the dispersal of invasive Prosopis juliflora on Farasan Islands, Saudi Arabia. Rev. Ecol. 2012, 67, 329–337. [Google Scholar]
- Thomas, L.; Laake, J.L.; Strindberg, S.; Marques, F.F.C.; Buckland, S.T.; Borchers, D.L.; Anderson, D.R.; Burnham, K.P.; Hedley, S.L.; Pollard, J.H.; et al. Distance 5.0; Research Unit for Wildlife Population Assessment, University of St. Andrews: St. Andrews, UK, 2005. [Google Scholar]
- Thomas, L.; Buckland, S.T.; Rexstad, E.A.; Laake, J.L.; Strindberg, S.; Hedley, S.L.; Bishop, J.R.B.; Marques, T.A.; Burnham, K.P. Distance software: Design and analysis of distance sampling surveys for estimating population size. J. Appl. Ecol. 2010, 47, 5–14. [Google Scholar] [CrossRef] [PubMed]
- Stock, D.; Johnson, K.; Clark, A.; van Oosterhout, E. Lantana Best Practice Manual and Decision Support Tool; The State of Queensland, Department of Employment, Economic Development and Innovation: Yeerongpilly, Australia, 2009; p. 121. [Google Scholar]
- Baskin, C.C.; Baskin, J.M. Seeds: Ecology, Biogeography, and Evolution of Dormancy and Germination; Academic Press: San Diego, CA, USA, 2014; p. 1600. [Google Scholar]
- Mares, M.E.; Rosenzweig, M.L. Granivory in North and South American deserts: Rodents, birds and ants. Ecology 1978, 59, 235–241. [Google Scholar] [CrossRef]
- Ahmad, S.; Call, C.A.; Schupp, E.W. Regeneration ecology of Chrysopogon aucheri and Cymbopogon jwarancusa in upland Balochistan: II. Dispersal, predation and soil reserves of seeds (Spikelets). Pak. J. Biol. Sci. 2000, 3, 1880–1883. [Google Scholar]
- Doichinova, V.; Zhiyanski, M.; Hursthouse, A. Impact of urbanisation on soil characteristics. Environ. Chem. Lett. 2006, 3, 160–163. [Google Scholar] [CrossRef]
- Steinman, A.D.; Lamberti, G.A. Biomass and pigments of benthic algae. In Methods in Stream Ecology; Hauer, F.R., Lamberti, G.A., Eds.; Academic Press: San Diego, CA, USA, 1996; pp. 357–379. [Google Scholar]
- Trollope, W.S.W.; Potgieter, A.L.F.; Zambatis, N. Assessing veld condition in the Kruger National Park South Africa using key grass species. Koedoe 1989, 32, 67–94. [Google Scholar] [CrossRef]
- Du Plessis, W.P.; Bredenkamp, G.J.; Trollope, W.S.W. Development of a technique for assessing veld condition in Etosha National Park, Namibia, using key herbaceous species. Koedoe 1998, 41, 19–29. [Google Scholar] [CrossRef]
- O’Higgins, R.C. Savannah woodland degradation assessments in Ghana: Integrating ecological indicators with local perceptions. Earth Environ. 2007, 3, 246–281. [Google Scholar]
- Fatunbi, A.O.; Dube, S. Land degradation in a game reserve in Eastern Cape of South Africa: Soil properties and vegetation cover. Sci. Res. Essays 2008, 3, 111–119. [Google Scholar]
© 2017 by the authors. Licensee MDPI, Basel, Switzerland. This article is an open access article distributed under the terms and conditions of the Creative Commons Attribution (CC BY) license (http://creativecommons.org/licenses/by/4.0/).


