Fermented Kiwifruit By-Product as Experimental Biostimulant for Soilless Mini-Plum Tomato Cultivation
Abstract
1. Introduction
2. Results
2.1. Plant Height Development and Growth Dynamics in Response to Fermented Kiwifruit Biomass Treatments
2.2. Effects of Fermented Kiwifruit Biomass on Yield and Fruit Morphology
2.3. Impact of Fermented Kiwifruit Biomass on Tomato Fruit Quality Attributes
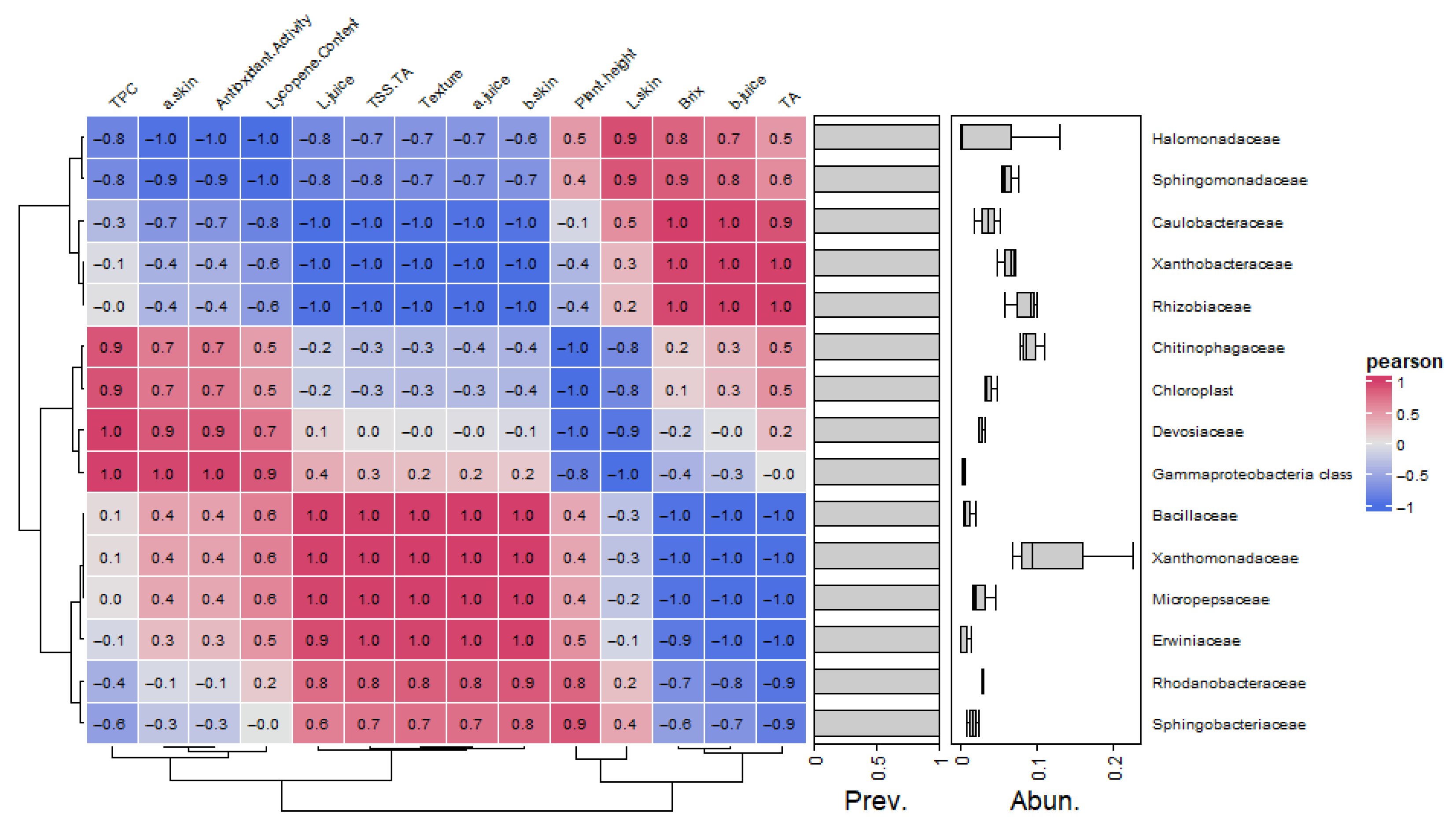
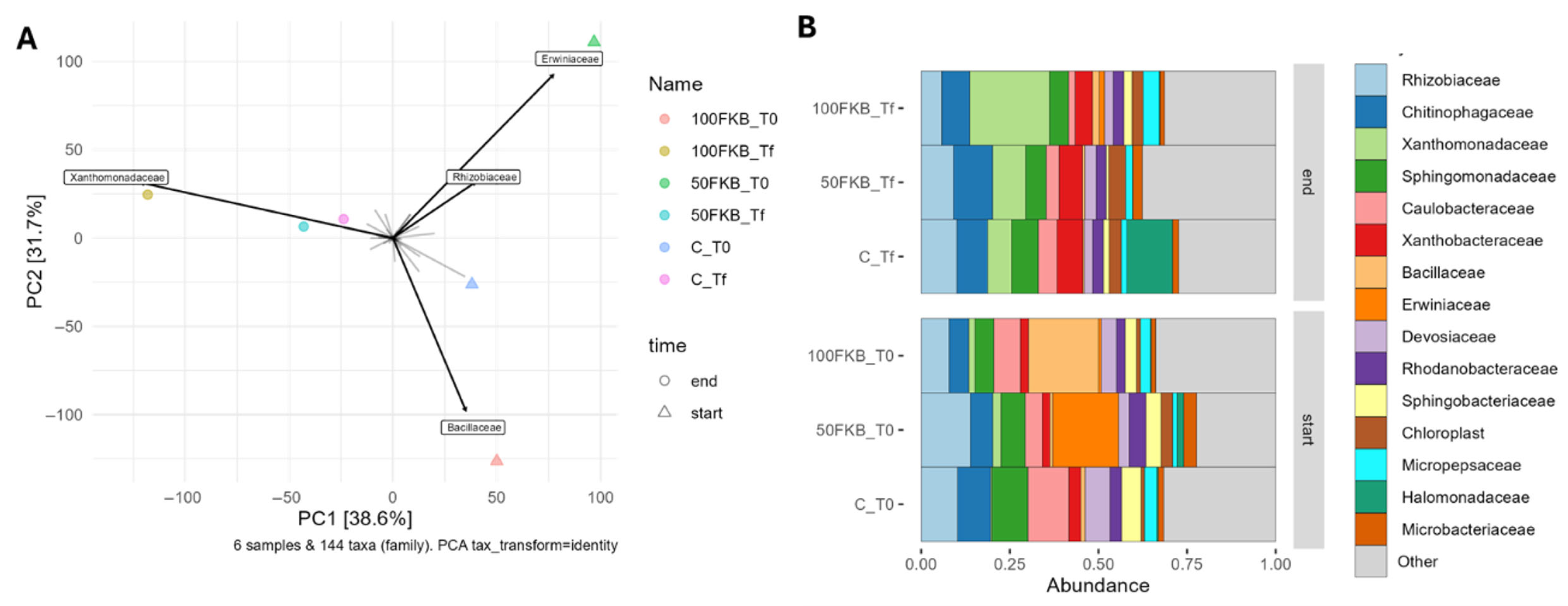
2.4. Composition of Soil Microbiome
3. Discussion
3.1. Biostimulant Properties of Fermented Kiwifruit Biomass: Experimental Considerations
3.2. Effects on Vegetative Growth and Yield
3.3. Effects on Fruits Morphology and Primary Quality Traits
3.4. Effects on Fruit Color and Firmness
3.5. Effects of Fermented Kiwifruit Biomass on Fruit Chemical Quality Traits
3.6. Antioxidant Activity and Lycopene Accumulation
3.7. Rhizosphere Microbial Responses to Fermented Kiwifruit Biomass
4. Materials and Methods
4.1. Plant Material, Growing Conditions, and Experimental Setup
4.2. Fertigation and Substrate Parameters Management
4.3. Vegetative and Productive Data Collection
4.4. Characterization of Tomato Fruits
4.4.1. Colorimetric Analysis
4.4.2. Texture Profile
4.4.3. Total Soluble Solid Content (TSS)
4.4.4. Titratable Acidity (TA)
4.4.5. Electrical Conductivity (EC)
4.4.6. pH Determination
4.5. Total Phenolic Content Determination
4.6. Evaluation of Antioxidant Activity
4.7. Lycopene Content
4.8. Soil Microbial Functional Profiling
4.9. Extraction of DNA and Metataxonomic Analysis
4.10. Statistical Data Analysis
5. Conclusions
Supplementary Materials
Author Contributions
Funding
Data Availability Statement
Acknowledgments
Conflicts of Interest
References
- Graziano, S.; Caldara, M.; Gullì, M.; Cornali, S.; Vassura, I.; Coralli, I.; Pagano, I.; Marmiroli, M.; Donati, M.; Bevivino, A.; et al. Improving the Sustainability of Tomato Production With Biochar and Biofertilizers in Emilia-Romagna, Italy. Soil Use Manag. 2025, 41, e70091. [Google Scholar] [CrossRef]
- Donati, M.; Guareschi, M.; Veneziani, M. Organic tomatoes in Italy. In Sustainability of European Food Quality Schemes: Multi-performance, Structure, and Governance of PDO, PGI, and Organic Agri-Food Systems; Springer International Publishing: Cham, Switzerland, 2019; pp. 171–189. [Google Scholar] [CrossRef]
- Mannino, G. A New Era of Sustainability: Plant Biostimulants. Int. J. Mol. Sci. 2023, 24, 16329. [Google Scholar] [CrossRef]
- Rouphael, Y.; Colla, G. Toward a sustainable agriculture through plant biostimulants: From experimental data to practical applications. Agronomy 2020, 10, 1461. [Google Scholar] [CrossRef]
- Brown, P.; Saa, S. Biostimulants in agriculture. Front. Plant Sci. 2015, 6, 155882. [Google Scholar] [CrossRef] [PubMed]
- El-Nakhel, C.; Petropoulos, S.A.; Di Mola, I.; Ottaiano, L.; Cozzolino, E.; Rouphael, Y.; Mori, M. Biostimulants of Different Origins Increase Mineral Content and Yield of Wild Rocket While Reducing Nitrate Content through Successive Harvests. Horticulturae 2023, 9, 580. [Google Scholar] [CrossRef]
- Carletti, P.; García, A.C.; Silva, C.A.; Merchant, A. Towards a functional characterization of plant biostimulants. Front. Plant Sci. 2021, 12, 677772. [Google Scholar] [CrossRef]
- Du Jardin, P. Plant biostimulants: Definition, concept, main categories and regulation. Sci. Hortic. 2015, 196, 3–14. [Google Scholar] [CrossRef]
- Facchini, F.; Silvestri, B.; Digiesi, S.; Lucchese, A. Agri-food loss and waste management: Win-win strategies for edible discarded fruits and vegetables sustainable reuse. Innov. Food Sci. Emerg. Technol. 2023, 83, 103235. [Google Scholar] [CrossRef]
- Paini, J.; Benedetti, V.; Ail, S.S.; Castaldi, M.J.; Baratieri, M.; Patuzzi, F. Valorization of wastes from the food production industry: A review towards an integrated agri-food processing biorefinery. Waste Biomass Valorization 2022, 13, 31–50. [Google Scholar] [CrossRef]
- Xu, L.; Geelen, D. Developing biostimulants from agro-food and industrial by-products. Front. Plant Sci. 2018, 9, 416258. [Google Scholar] [CrossRef]
- FAO. FAOSTAT: Crops and Livestock Products–Kiwifruit Production; Food and Agriculture Organization of the United Nations: Rome, Italy, 2025; Available online: https://www.fao.org/faostat/en/#data/QCL (accessed on 9 October 2025).
- Chamorro, F.; Carpena, M.; Fraga-Corral, M.; Echave, J.; Rajoka, M.S.R.; Barba, F.J.; Cao, H.; Xiao, J.; Prieto, M.A.; Simal-Gandara, J. Valorization of kiwi agricultural waste and industry by-products by recovering bioactive compounds and applications as food additives: A circular economy model. Food Chem. 2022, 370, 131315. [Google Scholar] [CrossRef]
- Panwar, A.; Kumar, S.; Kumar, V.; Dhiman, A.; Thakur, P. Regenerative Fruit Waste Upcycling: Transformational Approaches Upcycling Waste to Wealth for Socio-Economic and Environmental Sustainability. Circ. Econ. Sustain. 2025, 5, 6137–6169. [Google Scholar] [CrossRef]
- Rojas-Flores, S.; De La Cruz-Noriega, M.; Cabanillas-Chirinos, L.; Benites, S.M.; Nazario-Naveda, R.; Delfín-Narciso, D.; Gallozzo-Cardemas, M.; Díaz, F.; Murga-Torres, E.; Rojas-Villacorta, W. Use of Kiwi waste as fuel in mfc and its potential for use as renewable energy. Fermentation 2023, 9, 446. [Google Scholar] [CrossRef]
- Zhu, C.; Chou, O.; Lee, F.Y.; Wang, Z.; Barrow, C.J.; Dunshea, F.R.; Suleria, H.A. Characterization of phenolics in rejected kiwifruit and their antioxidant potential. Processes 2021, 9, 781. [Google Scholar] [CrossRef]
- Sabater, C.; Ruiz, L.; Delgado, S.; Ruas-Madiedo, P.; Margolles, A. Valorization of vegetable food waste and by-products through fermentation processes. Front. Microbiol. 2020, 11, 581997. [Google Scholar] [CrossRef] [PubMed]
- Costa, S.; Summa, D.; Semeraro, B.; Zappaterra, F.; Rugiero, I.; Tamburini, E. Fermentation as a strategy for bio-transforming waste into resources: Lactic acid production from agri-food residues. Fermentation 2020, 7, 3. [Google Scholar] [CrossRef]
- Raman, J.; Kim, J.S.; Choi, K.R.; Eun, H.; Yang, D.; Ko, Y.J.; Kim, S.J. Application of Lactic Acid Bacteria (LAB) in Sustainable Agriculture: Advantages and Limitations. Int. J. Mol. Sci. 2022, 23, 7784. [Google Scholar] [CrossRef]
- Strafella, S.; Simpson, D.J.; Yaghoubi Khanghahi, M.; De Angelis, M.; Gänzle, M.; Minervini, F.; Crecchio, C. Comparative genomics and in vitro plant growth promotion and biocontrol traits of lactic acid bacteria from the wheat rhizosphere. Microorganisms 2020, 9, 78. [Google Scholar] [CrossRef]
- Orts, Á.; Tejada, M.; Parrado, J.; Paneque, P.; García, C.; Hernández, T.; Gómez-Parrales, I. Production of biostimulants from okara through enzymatic hydrolysis and fermentation with Bacillus licheniformis: Comparative effect on soil biological properties. Environ. Technol. 2019, 40, 2073–2084. [Google Scholar] [CrossRef]
- Nazeer, S.; Agosti, A.; Del Vecchio, L.; Leto, L.; Di Fazio, A.; Hadj Saadoun, J.; Levante, A.; Lazzi, C.; Cirlini, M.; Chiancone, B. Assessment of Fermented Kiwifruit on Morpho-Physiological and Productive Performances of Fragaria spp Plants, Grown Under Hydroponic Conditions. J. Sustain. Agric. Environ. 2024, 3, 1–12. [Google Scholar] [CrossRef]
- Galaverni, M.; Fontechiari, L.; Hadj Saadoun, J.; Marchioni, I.; Lolli, V.; Del Vecchio, L.; Cirlini, M.; Sylvester, S.; Lino, T.; Accardo, F.; et al. Open Field Assessment of Kiwifruit Waste-Derived Biostimulants on Tomato Quality Under Water Stress. J. Agric. Food Res. 2025, 24, 102397. [Google Scholar] [CrossRef]
- Kimoto-Nira, H.; Moriya, N.; Nogata, Y.; Sekiyama, Y.; Toguchi, Y. Fermentation of Shiikuwasha (Citrus depressa Hayata) pomace by lactic acid bacteria to generate new functional materials. IJFST 2019, 54, 688–695. [Google Scholar] [CrossRef]
- Goto, M.; Kuda, T.; Shikano, A.; Charrouf, Z.; Yamauchi, K.; Yokozawa, M.; Takahashi, H.; Kimura, B. Induction of superoxide anion radical-scavenging capacity in an argan press cake-suspension by fermentation using Lactobacillus plantarum Argan-L1. LWT 2019, 100, 56–61. [Google Scholar] [CrossRef]
- Torres, S.; Verón, H.; Contreras, L.; Isla, M.I. An overview of plant-autochthonous microorganisms and fermented vegetable foods. FSHW 2020, 9, 112–123. [Google Scholar] [CrossRef]
- Ávila, C.L.S.; Carvalho, B.F. Silage fermentation—Updates focusing on the performance of micro-organisms. J. Appl. Microbiol. 2020, 128, 966–984. [Google Scholar] [CrossRef]
- Parađiković, N.; Teklić, T.; Zeljković, S.; Lisjak, M.; Špoljarević, M. Biostimulants research in some horticultural plant species—A review. Food Energy Secur. 2019, 8, e00162. [Google Scholar] [CrossRef]
- Therond, O.; Duru, M.; Roger-Estrade, J.; Richard, G. A new analytical framework of farming system and agriculture model diversities. A review. ASD 2017, 37, 21. [Google Scholar] [CrossRef]
- Cozzolino, E.; Di Mola, I.; Ottaiano, L.; El-Nakhel, C.; Rouphael, Y.; Mori, M. Foliar application of plant-based biostimulants improve yield and upgrade qualitative characteristics of processing tomato. Ital. J. Agron. 2021, 16, 1825. [Google Scholar] [CrossRef]
- Distefano, M.; Mauro, R.P.; Leonardi, C.; Giuffrida, F.; Schweiggert, R.; Steingass, C.B. Studies into the phenolic patterns of biostimulant-treated cherry tomato (Solanum lycopersicum L. var. cerasiforme) fruits during refrigerated storage by HPLC-DAD-ESI-QTOF-HR-MS and ESI-MSn analyses. Food Chem. 2025, 493, 145870. [Google Scholar] [CrossRef]
- Li, J.; Van Gerrewey, T.; Geelen, D. A meta-analysis of biostimulant yield effectiveness in field trials. Front. Plant Sci. 2022, 13, 836702. [Google Scholar] [CrossRef] [PubMed]
- Kisvarga, S.; Barna, D.; Kovács, S.; Csatári, G.O.; Tóth, I.; Fári, M.G.; Makleit, P.; Veres, S.; Alshaal, T.; Bákonyi, N. Fermented alfalfa brown juice significantly stimulates the growth and development of sweet basil (Ocimum basilicum L.) plants. Agronomy 2020, 10, 657. [Google Scholar] [CrossRef]
- Francesca, S.; Arena, C.; Hay Mele, B.; Schettini, C.; Ambrosino, P.; Barone, A.; Rigano, M.M. The use of a plant-based biostimulant improves plant performances and fruit quality in tomato plants grown at elevated temperatures. Agronomy 2020, 10, 363. [Google Scholar] [CrossRef]
- Mangano, S.; Pacheco, J.M.; Marino-Buslje, C.; Estevez, J.M. How does pH fit in with oscillating polar growth? Trends Plant Sci. 2018, 23, 479–489. [Google Scholar] [CrossRef]
- Quintarelli, V.; Borgatti, D.; Baretta, M.; Stazi, S.R.; Allevato, E.; Pancaldi, S.; Baldisserotto, C.; Manchielli, R.; Tedeschi, P.; Radicetti, E.; et al. Microbial biofertilizers and algae-based biostimulant affect fruit yield characteristics of organic processing tomato. J. Sci. Food Agric. 2025, 105, 530–539. [Google Scholar] [CrossRef] [PubMed]
- Dasgan, H.Y.; Aksu, K.S.; Zikaria, K.; Gruda, N.S. Biostimulants enhance the nutritional quality of soilless greenhouse tomatoes. Plants 2024, 13, 2587. [Google Scholar] [CrossRef] [PubMed]
- Basra, S.M.; Lovatt, C.J. Exogenous applications of moringa leaf extract and cytokinins improve plant growth, yield, and fruit quality of cherry tomato. HortTechnology 2016, 26, 327–337. [Google Scholar] [CrossRef]
- Yaseen, A.A.; Hájos, M.T. The potential role of moringa leaf extract as bio-stimulant to improve some quality parameters of different lettuce (Lactuca sativa L.) genotypes. SJA 2021, 37, 1107–1119. [Google Scholar] [CrossRef]
- Fusco, G.M.; Burato, A.; Pentangelo, A.; Carillo, P.; Parisi, M. Processing Tomato Responses to Plant-Based Biostimulants Are Modulated by Environmental Conditions. Physiol. Plant. 2025, 177, e70450. [Google Scholar] [CrossRef]
- Patanè, C.; Pellegrino, A.; Saita, A.; Calcagno, S.; Cosentino, S.L.; Scandurra, A.; Cafaro, V. A study on the effect of biostimulant application on yield and quality of tomato under long-lasting water stress conditions. Heliyon 2025, 11, e41187. [Google Scholar] [CrossRef]
- Kapetanakou, A.E.; Mistriotis, A.; Bozinaki, D.C.; Tserotas, P.; Athanasoulia, I.G.; Briassoulis, D.; Skandamis, P.N. Developing an Active Biodegradable Bio-Based Equilibrium Modified Atmosphere Packaging Containing a Carvacrol-Emitting Sachet for Cherry Tomatoes. Foods 2024, 13, 3371. [Google Scholar] [CrossRef]
- Ortega-Salazar, I.; Ozminkowski, R.H., Jr.; Adaskaveg, J.A.; Sbodio, A.O.; Blanco-Ulate, B. Genetic basis of fruit quality traits in processing tomatoes. J. Agric. Food Res. 2025, 22, 102096. [Google Scholar] [CrossRef]
- Chaïb, J.; Devaux, M.F.; Grotte, M.G.; Robini, K.; Causse, M.; Lahaye, M.; Marty, I. Physiological relationships among physical, sensory, and morphological attributes of texture in tomato fruits. J. Exp. Bot. 2007, 58, 1915–1925. [Google Scholar] [CrossRef]
- Ghonimy, M.; Alayouni, R.; Alshehry, G.; Barakat, H.; Ibrahim, M.M. Integrated Physical–Mechanical Characterization of Fruits for Enhancing Post-Harvest Quality and Handling Efficiency. Foods 2025, 14, 2521. [Google Scholar] [CrossRef]
- Abou Chehade, L.; Al Chami, Z.; De Pascali, S.A.; Cavoski, I.; Fanizzi, F.P. Biostimulants from food processing by-products: Agronomic, quality and metabolic impacts on organic tomato (Solanum lycopersicum L.). JSFA 2018, 98, 1426–1436. [Google Scholar] [CrossRef] [PubMed]
- Colla, G.; Cardarelli, M.; Bonini, P.; Rouphael, Y. Foliar applications of protein hydrolysate, plant and seaweed extracts increase yield but differentially modulate fruit quality of greenhouse tomato. HortSci 2017, 52, 1214–1220. [Google Scholar] [CrossRef]
- Ertani, A.; Pizzeghello, D.; Francioso, O.; Sambo, P.; Sanchez-Cortes, S.; Nardi, S. Capsicum chinensis L. growth and nutraceutical properties are enhanced by biostimulants in a long-term period: Chemical and metabolomic approaches. Front. Plant Sci. 2014, 5, 375. [Google Scholar] [CrossRef] [PubMed]
- Rodrigues, M.; Baptistella, J.L.C.; Horz, D.C.; Bortolato, L.M.; Mazzafera, P. Organic plant biostimulants and fruit quality—A review. Agronomy 2020, 10, 988. [Google Scholar] [CrossRef]
- Huang, W.; Liao, S.; Lv, H.; Khaldun, A.B.M.; Wang, Y. Characterization of the growth and fruit quality of tomato grafted on a woody medicinal plant, Lycium chinense. Sci. Hortic. 2015, 197, 447–453. [Google Scholar] [CrossRef]
- Banti, M. Review on electrical conductivity in food, the case in fruits and vegetables. WJFST 2020, 4, 80–89. [Google Scholar] [CrossRef]
- Aoun, A.B.; Lechiheb, B.; Benyahya, L.; Ferchichi, A. Evaluation of fruit quality traits of traditional varieties of tomato (Solanum lycopersicum) grown in Tunisia. Afr. J. Food Sci. 2013, 7, 350–354. [Google Scholar] [CrossRef]
- Orlando, M.; Trivellini, A.; Bartolini, S.; Carmassi, G.; Maggini, R.; Lucchesini, M.; Ferrante, A.; Incrocci, L.; Mensuali, A. Evaluation of by-products of plant food (potato and apple) as potential biostimulants for green leafy vegetables. Acta Hortic. 2021, 1305, 529–536. [Google Scholar] [CrossRef]
- Mohamed, M.H.; Badr, E.A.; Sadak, M.S.; Khedr, H.H. Effect of garlic extract, ascorbic acid and nicotinamide on growth, some biochemical aspects, yield and its components of three faba bean (Vicia faba L.) cultivars under sandy soil conditions. Bull. Natl. Res. Cent. 2020, 44, 100. [Google Scholar] [CrossRef]
- Mazrou, R.M. Moringa leaf extract application as a natural biostimulant improves the volatile oil content, radical scavenging activity and total phenolics of coriander. J. Med. Plant Stud. 2019, 7, 45–51. [Google Scholar]
- Ismail, A.; Marjan, Z.M.; Foong, C.W. Total antioxidant activity and phenolic content in selected vegetables. Food Chem. 2004, 87, 581–586. [Google Scholar] [CrossRef]
- Hayat, S.; Ahmad, H.; Ali, M.; Ren, K.; Cheng, Z. Aqueous garlic extract stimulates growth and antioxidant enzymes activity of tomato (Solanum lycopersicum). Sci. Hortic. 2018, 240, 139–146. [Google Scholar] [CrossRef]
- Sidhu, V.; Nandwani, D.; Wang, L.; Wu, Y. A study on organic tomatoes: Effect of a biostimulator on phytochemical and antioxidant activities. J. Food Qual. 2017, 2017, 5020742. [Google Scholar] [CrossRef]
- Liu, Y.S.; Gur, A.; Ronen, G.; Causse, M.; Damidaux, R.; Buret, M.; Hirscgberg, J.; Zamir, D. There is more to tomato fruit colour than candidate carotenoid genes. Plant Biotechnol. J. 2003, 1, 195–207. [Google Scholar] [CrossRef] [PubMed]
- Panthee, D.R.; Perkins-Veazie, P.; Anderson, C.; Ibrahem, R. Diallel analysis for lycopene content in the hybrids derived from different colored parents in tomato. Am. J. Plant Sci. 2015, 6, 1483–1492. [Google Scholar] [CrossRef]
- Lakshmi, S.; Ravichandran, V.; Anandakumar, S.; Senthil, A.; Arul, L.; Radhamani, S.; Anupriya, R. Foliar application of Ascophyllum nodosum on improvement of photosynthesis, fruit setting percentage, yield and quality of tomato (Solanum lycopersicum L.). J. Appl. Nat. Sci. 2023, 15, 961–971. [Google Scholar] [CrossRef]
- Russo, M.; Di Sanzo, R.; Marra, F.; Carabetta, S.; Maffia, A.; Mallamaci, C.; Muscolo, A. Waste-derived fertilizer acts as biostimulant, boosting tomato quality and aroma. Agronomy 2023, 13, 2854. [Google Scholar] [CrossRef]
- Mzibra, A.; Aasfar, A.; Khouloud, M.; Farrie, Y.; Boulif, R.; Kadmiri, I.M.; Bamouh, A.; Douira, A. Improving growth, yield, and quality of tomato plants (Solanum lycopersicum L.) by the application of moroccan seaweed-based biostimulants under greenhouse conditions. Agronomy 2021, 11, 1373. [Google Scholar] [CrossRef]
- Bákonyi, N.; Kisvarga, S.; Barna, D.; O. Tóth, I.; El-Ramady, H.; Abdalla, N.; Kovács, S.; Rozbach, M.; Fehér, C.; Elhawat, N.; et al. Chemical traits of fermented alfalfa brown juice: Its implications on physiological, biochemical, anatomical, and growth parameters of Celosia. Agronomy 2020, 10, 247. [Google Scholar] [CrossRef]
- Potnis, N.; Timilsina, S.; Strayer, A.; Shantharaj, D.; Barak, J.D.; Paret, M.L.; Vallad, G.E.; Jones, J.B. Bacterial spot of tomato and pepper: Diverse Xanthomonas species with a wide variety of virulence factors posing a worldwide challenge. Mol. Plant Pathol. 2015, 16, 907–920. [Google Scholar] [CrossRef] [PubMed]
- Feng, C.; Yi, Z.; Qian, W.; Liu, H.; Jiang, X. Rotations improve the diversity of rhizosphere soil bacterial communities, enzyme activities and tomato yield. PLoS ONE 2023, 18, e0270944. [Google Scholar] [CrossRef]
- Resendiz-Nava, C.N.; Alonso-Onofre, F.; Silva-Rojas, H.V.; Rebollar-Alviter, A.; Rivera-Pastrana, D.M.; Stasiewicz, M.J.; Nava, G.M.; Mercado-Silva, E.M. Tomato plant microbiota under conventional and organic fertilization regimes in a soilless culture system. Microorganisms 2023, 11, 1633. [Google Scholar] [CrossRef] [PubMed]
- Saadoun, J.H.; Marchioni, I.; Nazeer, S.; Fontechiari, L.; Levante, A.; Lazzi, C. Exploring the potential of a new biostimulant created via the fermentation of agri-food leftovers for more sustainable agriculture practices. In Proceedings of the 1st International Online Conference on Fermentation, Basel, Switzerland, 12–13 November 2025. [Google Scholar]
- Flores, S.S.; Cordovez, V.; Oyserman, B.; Stopnisek, N.; Raaijmakers, J.M.; van ‘t Hof, P. The tomato’s tale: Exploring taxonomy, biogeography, domestication, and microbiome for enhanced resilience. Phytobiomes J. 2023, 8, 5–20. [Google Scholar] [CrossRef]
- Teka, T.A. Analysis of the effect of maturity stage on the postharvest biochemical quality characteristics of tomato (Lycopersicon esculentum Mill.) fruit. Int. Res. J. Pharm. Appl. Sci. 2013, 3, 180–186. [Google Scholar]
- Martelli, F.; Cirlini, M.; Lazzi, C.; Neviani, E.; Bernini, V. Edible seaweeds and spirulina extracts for food application: In vitro and in situ evaluation of antimicrobial activity towards foodborne pathogenic bacteria. Foods 2020, 9, 1442. [Google Scholar] [CrossRef]
- Abram, V.; Čeh, B.; Vidmar, M.; Hercezi, M.; Lazić, N.; Bucik, V.; Smole Možina, S.; Košir, I.J.; Kač, M.; Demšar, L.; et al. A comparison of antioxidant and antimicrobial activity between hop leaves and hop cones. Ind. Crop. Prod. 2015, 64, 124–134. [Google Scholar] [CrossRef]
- Tambunan, R.Z.; Rusmarilin, H.; Kaban, J. Antioxidant activity of tomato juice rich in lycopene antioxidant as degenerative chemopreventive agents using Citrus aurantifolia juice as a preservative. In IOP Conference Series: Earth and Environmental Science; IOP Publishing: Bristol, UK, 2018; Volume 205, p. 012035. [Google Scholar] [CrossRef]
- Borgulat, J.; Łukasik, W.; Borgulat, A.; Nadgórska-Socha, A.; Kandziora-Ciupa, M. Influence of lead on the activity of soil microorganisms in two Beskidy landscape parks. Environ. Monit. Assess. 2021, 193, 839. [Google Scholar] [CrossRef]
- Galaverni, M.; Hadj Saadoun, J.; Ganino, T.; Levante, A.; Rodolfi, M.; Marchioni, I.; Bettera, L.; Beghè, D.; Lazzi, C. Changes in Soil Microbiome Composition and Tomato Plant’s Physiological Response to Water Deficit and Excess. Agronomy 2025, 15, 915. [Google Scholar] [CrossRef]
- Takahashi, S.; Tomita, J.; Nishioka, K.; Hisada, T.; Nishijima, M. Development of a prokaryotic universal primer for simultaneous analysis of Bacteria and Archaea using next-generation sequencing. PLoS ONE 2014, 9, e105592. [Google Scholar] [CrossRef] [PubMed]
- Andrews, S. FastQC: A Quality Control Tool for High Throughput Sequence Data, 2010. Available online: https://www.bioinformatics.babraham.ac.uk/projects/fastqc/ (accessed on 25 September 2025).
- Schmieder, R.; Edwards, R. Quality control and preprocessing of metagenomic datasets. Bioinformatics 2011, 27, 863–864. [Google Scholar] [CrossRef] [PubMed]
- Magoč, T.; Salzberg, S.L. FLASH: Fast Length Adjustment of Short Reads to Improve Genome Assemblies. Bioinformatics 2011, 27, 2957–2963. [Google Scholar] [CrossRef]
- Bolyen, E.; Rideout, J.R.; Dillon, M.R.; Bokulich, N.A.; Abnet, C.C.; Al-Ghalith, G.A.; Caporaso, J.G. Reproducible, interactive, scalable and extensible microbiome data science using QIIME 2. Nat. Biotechnol. 2019, 37, 852–857. Available online: https://www.nature.com/articles/s41587-019-0209-9 (accessed on 21 October 2025). [CrossRef] [PubMed]
- Robeson, M.S.; O’Rourke, D.R.; Kaehler, B.D.; Ziemski, M.; Dillon, M.R.; Foster, J.T.; Bokulich, N.A. RESCRIPt: Reproducible sequence taxonomy reference database management. PLoS Comput. Biol. 2021, 17, e1009581. [Google Scholar] [CrossRef]
- Bokulich, N.A.; Kaehler, B.D.; Rideout, J.R.; Dillon, M.; Bolyen, E.; Knight, R.; Huttley, G.A.; Caporaso Gregory, J. Optimizing taxonomic classification of marker-gene amplicon sequences with QIIME 2’s q2-feature-classifier plugin. Microbiome 2018, 6, 90. [Google Scholar] [CrossRef]
- Quast, C.; Pruesse, E.; Yilmaz, P.; Gerken, J.; Schweer, T.; Yarza, P.; Peplies, J.; Glöckner, F.O. The SILVA ribosomal RNA gene database project: Improved data processing and web-based tools. Nucleic Acids Res. 2012, 41, D590–D596. [Google Scholar] [CrossRef]






| Treatment | Fruit/Plant | Yield/Plant | LD | ED | Fruit FW | DMC |
|---|---|---|---|---|---|---|
| (g) | (cm) | (cm) | (cm) | (g) | (%) | |
| Control | 80.2 ± 10.6 a | 1095.4 ± 145.0 a | 3.79 ± 0.11 a | 2.37 ± 0.04 a | 13.66 ± 0.48 a | 7.77 ± 0.23 a |
| 50FKB | 72.7 ± 5.3 a | 995.4 ± 72.7 a | 3.79 ± 0.05 a | 2.44 ± 0.04 a | 13.69 ± 0.45 a | 7.94 ± 0.38 a |
| 100FKB | 96.5 ± 8.1 a | 1385.0 ± 117.2 a | 3.90 ± 0.05 a | 2.40 ± 0.05 a | 14.35 ± 0.37 a | 8.08 ± 0.14 a |
| Treatment | L* Skin | a* Skin | b* Skin | L* Juice | a* Juice | b* Juice |
|---|---|---|---|---|---|---|
| Control | 35.79 ± 0.46 a | 19.43 ± 0.55 b | 18.66 ± 0.76 b | 34.36 ± 0.24 a | 8.13 ± 0.42 a | 9.11 ± 0.25 a |
| 50FKB | 34.20 ± 0.27 b | 21.96 ± 0.34 a | 19.09 ± 0.32 b | 34.42 ± 0.27 a | 8.47 ± 0.72 a | 8.98 ± 0.21 a |
| 100FKB | 34.83 ± 0.29 ab | 21.29 ± 0.46 a | 21.16 ± 0.47 a | 34.53 ± 0.38 a | 9.7 ± 0.30 a | 8.66 ± 0.24 a |
| Treatment | Firmness | TSS | TA | EC | TPC | AO | LC |
|---|---|---|---|---|---|---|---|
| Control | 7.25 ± 0.21 b | 9.12 ± 0.14 a | 0.66 ± 0.05 a | 0.74 ± 0.03 a | 725.43 ± 28.65 a | 2.34 ± 0.16 b | 7.56 ± 0.66 b |
| 50FKB | 7.43 ± 0.21 b | 8.89 ± 0.10 ab | 0.66 ± 0.02 a | 0.67 ± 0.01 b | 841.03 ± 49.63 a | 3.11 ± 0.13 a | 11.90 ± 1.37 a |
| 100FKB | 8.02 ± 0.22 a | 8.56 ± 0.09 b | 0.51 ± 0.03 b | 0.63 ± 0.01 b | 772.77 ± 23.77 a | 2.91 ± 0.23 a | 11.89 ± 1.02 a |
Disclaimer/Publisher’s Note: The statements, opinions and data contained in all publications are solely those of the individual author(s) and contributor(s) and not of MDPI and/or the editor(s). MDPI and/or the editor(s) disclaim responsibility for any injury to people or property resulting from any ideas, methods, instructions or products referred to in the content. |
© 2025 by the authors. Licensee MDPI, Basel, Switzerland. This article is an open access article distributed under the terms and conditions of the Creative Commons Attribution (CC BY) license.
Share and Cite
Agosti, A.; Levante, A.; Hadj Saadoun, J.; Nazeer, S.; Del Vecchio, L.; Leto, L.; Rinaldi, M.; Dhenge, R.; Cirlini, M.; Lazzi, C.; et al. Fermented Kiwifruit By-Product as Experimental Biostimulant for Soilless Mini-Plum Tomato Cultivation. Plants 2026, 15, 82. https://doi.org/10.3390/plants15010082
Agosti A, Levante A, Hadj Saadoun J, Nazeer S, Del Vecchio L, Leto L, Rinaldi M, Dhenge R, Cirlini M, Lazzi C, et al. Fermented Kiwifruit By-Product as Experimental Biostimulant for Soilless Mini-Plum Tomato Cultivation. Plants. 2026; 15(1):82. https://doi.org/10.3390/plants15010082
Chicago/Turabian StyleAgosti, Anna, Alessia Levante, Jasmine Hadj Saadoun, Samreen Nazeer, Lorenzo Del Vecchio, Leandra Leto, Massimiliano Rinaldi, Rohini Dhenge, Martina Cirlini, Camilla Lazzi, and et al. 2026. "Fermented Kiwifruit By-Product as Experimental Biostimulant for Soilless Mini-Plum Tomato Cultivation" Plants 15, no. 1: 82. https://doi.org/10.3390/plants15010082
APA StyleAgosti, A., Levante, A., Hadj Saadoun, J., Nazeer, S., Del Vecchio, L., Leto, L., Rinaldi, M., Dhenge, R., Cirlini, M., Lazzi, C., & Chiancone, B. (2026). Fermented Kiwifruit By-Product as Experimental Biostimulant for Soilless Mini-Plum Tomato Cultivation. Plants, 15(1), 82. https://doi.org/10.3390/plants15010082

