Timing and Duration of Drought Differentially Affect Growth and Yield Components Among Sugarcane Genotypes
Abstract
1. Introduction
2. Results
2.1. Meteorological Conditions, Soil Moisture Contents, and Plant Water Status


2.2. Drought Effects on Cane Yield and Biomass Allocation Among Tissues
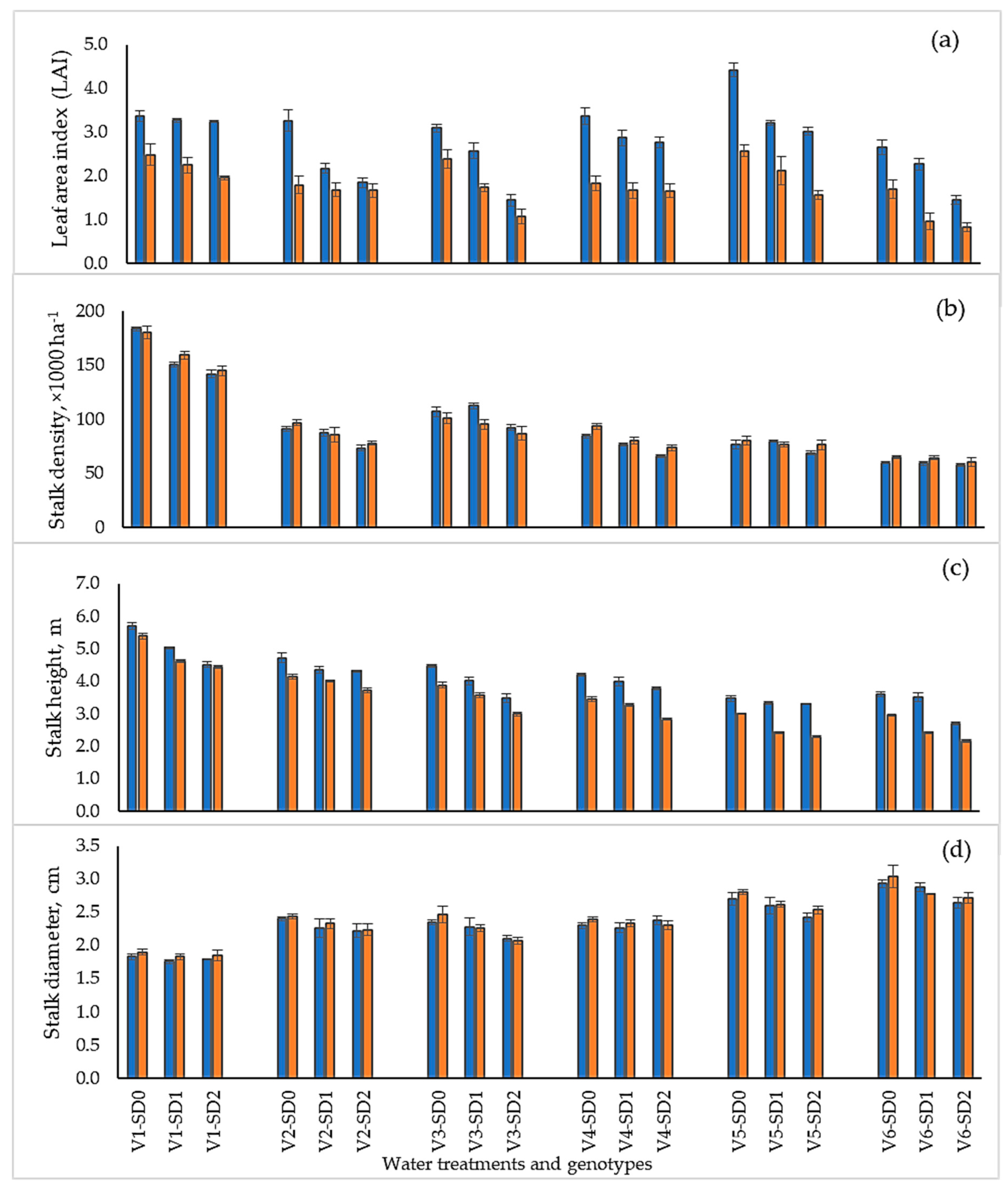
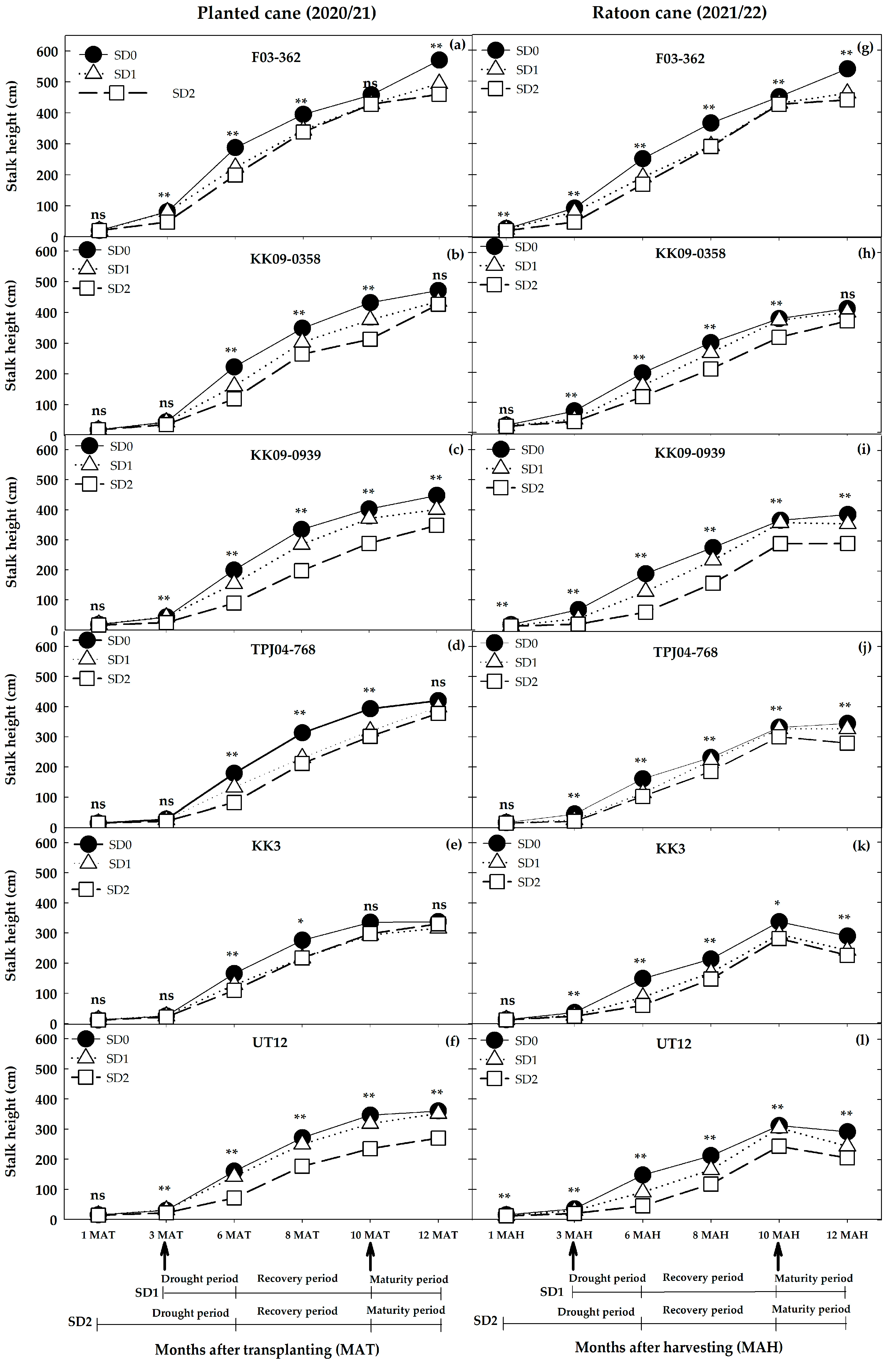
2.3. Drought Effects on Yield Components and Growth Rate (Height Growth Rate (HGR), Crop Growth Rate (CGR)) Among Genotypes
3. Discussion
3.1. Meteorological Conditions, Soil Moisture Contents, and Plant Water Status
3.2. Drought Effects on Cane Yield and Biomass Allocation Among Tissues
3.3. Drought Effects on Yield Components, Growth Rate, and Resilience Among Genotypes
4. Materials and Methods
4.1. Experimental Design, Plant Material, and Field Site
4.2. Cultural Practices and Field Preparations
4.3. Experimental Conditions and Crop Management
4.4. Irrigation Treatments
4.5. Data Collection
4.5.1. Meteorological Data and Soil Moisture Content
4.5.2. Leaf Relative Water Contents
4.5.3. Growth and Agronomic Measurements
4.5.4. Biomass and Leaf Area Index (LAI)
4.6. Statistical Analysis
5. Conclusions
Supplementary Materials
Author Contributions
Funding
Data Availability Statement
Acknowledgments
Conflicts of Interest
References
- Endres, L.; Silva, J.V.; Ferreira, V.M.; Barbosa, G.V.D.S. Photosynthesis and water relations in Brazilian sugarcane. Open Agric. J. 2010, 4, 31–37. [Google Scholar] [CrossRef]
- Wang, J.; Nayak, S.; Koch, K.; Ming, R. Carbon partitioning in sugarcane (Saccharum species). Front. Plant Sci. 2013, 4, 201. [Google Scholar] [CrossRef] [PubMed]
- Zingaretti, S.M.; Rodrigues, F.A.; Graça, J.D.; Pereira, L.D.M.; Lourenço, M.V. Sugarcane Responses at Water Deficit Conditions. In Water Stress; InTech: London, UK, 2012; pp. 255–276. [Google Scholar]
- Formann, S.; Hahn, A.; Janke, L.; Stinner, W.; Strauber, H.; Logrono, W.; Nikolausz, M. Beyond sugar and ethanol production: Value generation opportunities through sugarcane residues. Front. Energy Res. 2020, 8, 579577. [Google Scholar] [CrossRef]
- Leanasawat, N.; Kosittrakun, M.; Lontom, W.; Songsri, P. Physiological and agronomic traits of certain sugarcane genotypes grown under field conditions as influenced by early drought stress. Agronomy 2021, 11, 2319. [Google Scholar] [CrossRef]
- Wongkhunkaew, P.; Konyai, S.; Sriboonlue, V. Climate variability and rainfed sugarcane production: Thailand a case study. In Proceedings of the 11th International Conference, Chulabhorn International Convention Center (Wora Wana Hua Hin Hotel & Convention) Hua Hin, Prachuap Khiri Khan, Thailand, 26–27 April 2018. [Google Scholar]
- Khumla, N.; Sakuanrungsirikul, S.; Punpee, P.; Hamarn, T.; Chaisan, T.; Soulard, L.; Songsri, P. Sugarcane breeding, germplasm development and supporting genetics research in Thailand. Sugar Tech 2022, 24, 193–209. [Google Scholar] [CrossRef]
- Wolde, Z.; Adane, A. Determination of planting season of sugarcane at Kuraz sugar development project, Southern Ethiopia. Int. J. Sci. Basic Appl. Res. (IJSBAR) 2014, 7, 44–49. [Google Scholar]
- Jaiphong, T.; Tominaga, J.; Watanabe, K.; Nakabaru, M.; Takaragawa, H.; Suwa, R.; Ueno, M.; Kawamitsu, Y. Effects of duration and combination of drought and flood conditions on leaf photosynthesis, growth and sugar content in sugarcane. Plant Prod. Sci. 2016, 19, 427–437. [Google Scholar] [CrossRef]
- Li, C.; Jackson, P.; Lu, X.; Xu, C.; Cai, Q.; Basnayake, J.; Lakshmanan, P.; Ghannoum, O.; Fan, Y. Genotypic variation in transpiration efficiency due to differences in photosynthetic capacity among sugarcane–related clones. J. Exp. Bot. 2017, 68, 2377–2385. [Google Scholar] [CrossRef][Green Version]
- Dhansu, P.; Kulshreshtha, N.; Kumar, R.; Raja, A.K.; Pandey, S.K.; Goel, V.; Ram, B. Identification of Drought-Tolerant Co-canes Based on Physiological Traits, Yield Attributes and Drought Tolerance Indices. Sugar Tech 2021, 23, 747–761. [Google Scholar] [CrossRef]
- Silva, P.P.; Soares, L.; Costa, J.G.; Viana, L.S.; Andrade, J.C.F.; Goncalves, E.R.; Santos, J.M.; Barbosa, G.V.S.; Nascimento, V.X.; Todaro, A.R.; et al. Path analysis for selection of drought tolerant sugarcane genotypes through physiological components. Ind. Crops Prod. 2012, 37, 11–19. [Google Scholar] [CrossRef]
- Luo, J.; Pan, Y.B.; Xu, L.; Zhang, Y.; Zhang, H.; Chen, R.; Que, Y. Photosynthetic and canopy characteristics of different varieties at the early elongation stage and their relationships with the cane yield in sugarcane. Sci. World J. 2014, 2014, 707095. [Google Scholar] [CrossRef] [PubMed]
- Reyes, J.A.O.; Carpentero, A.S.; Santos, P.J.A.; Delfin, E.F. Effects of water regime, genotype, and formative stages on the agro–physiological response of sugarcane (Saccharum officinarum L.) to drought. Plants 2020, 9, 661–681. [Google Scholar] [CrossRef]
- Bunphan, D.; Sinsiri, N.; Wanna, R. Application of SCMR and fluorescence for chlorophyll measurement in sugarcane. Int. J. Geomate 2019, 16, 33–38. [Google Scholar] [CrossRef]
- Ferreira, T.H.S.; Tsunada, M.S.; Bassi, D.; Araujo, P.; Mattiello, L.; Guidelli, G.V.; Righetto, G.L.; Goncalves, R.V.; Lakshmanan, P.; Menossi, M. Sugarcane water stress tolerance mechanisms and its implications on developing biotechnology solutions. Front. Plant Sci. 2017, 8, 1077–1095. [Google Scholar] [CrossRef]
- Basnayake, J.; Jackson, P.A.; Inman–Bamber, N.G.; Lakshmanan, P. Sugarcane for water–limited environments. Variation in stomatal conductance and its genetic correlation with crop productivity. J. Exp. Bot. 2015, 66, 3945–3958. [Google Scholar] [CrossRef]
- Robertson, M.; Inman-Bamber, N.; Muchow, R.; Wood, A. Physiology and productivity of sugarcane with early and mid-season water deficit. Field Crops Res. 1999, 64, 211–227. [Google Scholar] [CrossRef]
- Grossman, J.J. Phenological physiology: Seasonal patterns of plant stress tolerance in a changing climate. New Phytol. 2023, 237, 1508–1524. [Google Scholar] [CrossRef] [PubMed]
- Sulistiono, W.; Taryono, Y.; Irham, P. Growth analysis of transplanted sugarcane bud chips seedling in the dry land. Int. J. Sci. Technol. Res. 2017, 6, 87–93. [Google Scholar]
- Pedula, R.O.; Schultz, N.; Monteiro, R.C.; Pereira, W.; de Araújo, A.P.; Urquiaga, S.; Reis, V.M. Growth analysis of sugarcane inoculated with diazotrophic bacteria and nitrogen fertilization. Afr. J. Agric. Res. 2016, 11, 2786–2795. [Google Scholar] [CrossRef]
- Uddin, S.M.; Murayama, S.; Ishimine, Y.; Tsuzuki, E.; Harada, J. Studies on sugarcane cultivation II. Effects of the mixture of charcoal with pyroligneous acid on dry matter production and root growth of summer planted sugarcane (Saccharum officinarum L.). Jpn. J. Crop Sci. 1995, 64, 744–753. [Google Scholar] [CrossRef]
- Silva, M.A.; Silva, J.A.G.; Enciso, J.; Sharma, V.; Jifon, J. Yield components as indicators of drought tolerance of sugarcane. Sci. Agric. 2008, 65, 620–627. [Google Scholar] [CrossRef]
- Inman-Bamber, N. Sugarcane water stress criteria for irrigation and drying off. Field Crops Res. 2004, 89, 107–122. [Google Scholar] [CrossRef]
- Ramesh, P.; Mahadevaswamy, M. Effect of formative phase drought on different classes of shoots, shoot mortality, cane attributes, yield and quality of four sugarcane cultivars. J. Agron. Crop Sci. 2000, 185, 249–258. [Google Scholar] [CrossRef]
- Cardozo, N.P.; Sentelhas, P.C. Climatic effects on sugarcane ripening under the influence of cultivars and crop age. Sci. Agric. 2013, 70, 449–456. [Google Scholar] [CrossRef]
- Srijantr, T.; Molle, F.; Chompadist, C. Profitability and yield gap of sugar cane cultivation in the Mae Klong region. Thai J. Agric. Econ. 2002, 18, 53–69. [Google Scholar]
- Khonghintaisong, J.; Songsri, P.; Jongrungklang, N. Understanding growth rate patterns among different drought resistant sugarcane cultivars during plant and ratoon crops encountered water deficit at early growth stage under natural field conditions. Agronomy 2021, 11, 2083. [Google Scholar] [CrossRef]
- Dinh, H.T.; Watanable, K.; Takaragawa, H.; Kawamitsu, Y. Effects of drought stress at early growth stage on response of sugarcane to different nitrogen application. Sugar Tech 2018, 20, 420–430. [Google Scholar] [CrossRef]
- Tippayawat, A.; Jogloy, S.; Vorasoot, N.; Songsri, P.; Kimbeng, C.A.; Jifon, J.L.; Janket, A.; Thangthong, N.; Jongrungklang, N. Differential physiological responses to different drought durations among a diverse set of sugarcane genotypes. Agronomy 2023, 13, 2594. [Google Scholar] [CrossRef]
- Naan Dan Jain. Sugarcane. Jain Irrigation System, Limited. 2013. Available online: https://pdf.agriexpo.online/pdf/naandan-jain-irrigation-systems-ltd/sugar-cane/175543-15768.html (accessed on 4 June 2024).
- Khonghintaisong, J.; Onkaeo, A.; Songsri, P.; Jongrungklang, N. Water Use Efficiency Characteristics and Their Contributions to Yield in Diverse Sugarcane Genotypes with Varying Drought Resistance Levels Under Different Field Irrigation Conditions. Agriculture 2024, 14, 1952. [Google Scholar] [CrossRef]
- Zhao, D.; Li, Y.R. Climate change and sugarcane production: Potential impact and mitigation strategies. Int. J. Agron. 2015, 2015, 547386. [Google Scholar] [CrossRef]
- Castro, P.R.C.; Zambon, S.; Sansigolo, M.A.; Beltrame, J.A.; Nogueira, M.C.S. Ação comparada de ethrel, fuzilade e roundup, em duas épocas de aplicação, na maturação e produtividade da cana-de-açúcar SP 70-1143. Rev. Agric. 2002, 77, 23–38. [Google Scholar] [CrossRef]
- Guasconi, D.; Manzoni, S.; Hugelius, G. Climate-dependent responses of root and shoot biomass to drought duration and intensity in grasslands–a meta-analysis. Sci. Total Environ. 2023, 903, 166209. [Google Scholar] [CrossRef] [PubMed]
- Eziz, A.; Yan, Z.; Tian, D.; Han, W.; Tang, Z.; Fang, J. Drought effect on plant biomass allocation: A meta-analysis. Ecol. Evol. 2017, 7, 11002–11010. [Google Scholar] [CrossRef]
- Poorter, H.; Niklas, K.J.; Reich, P.B.; Oleksyn, J.; Poot, P.; Mommer, L. Biomass allocation to leaves, stems and roots: Meta-analyses of interspecific variation and environmental control. New Phytol. 2012, 193, 30–50. [Google Scholar] [CrossRef] [PubMed]
- Chumphu, S.; Jongrungklang, N.; Songsri, P. Association of Physiological Responses and Root Distribution Patterns of Ratooning Ability and Yield of the Second Ratoon Cane in Sugarcane Elite Clones. Agronomy 2019, 9, 200–218. [Google Scholar] [CrossRef]
- Nadeem, M.; Tanveer, A.; Sandhu, H.; Javed, S.; Safdar, M.E.; Ibrahim, M.; Shabir, M.A.; Sarwar, M.; Arshad, U. Agronomic and economic evaluation of autumn planted sugarcane under different planting patterns with lentil intercropping. Agronomy 2020, 10, 644. [Google Scholar] [CrossRef]
- Abu-Ellail, F.F.B.; Gadallah, A.F.I.; El-Gamal, I.S.H. Genetic variance and performance of five sugarcane varieties for physiological, yield and quality traits influenced by various harvest age. J. Plant Prod. 2020, 11, 429–438. [Google Scholar] [CrossRef]
- Singh, S.; Rao, P.N.G. Varietal differences in growth characteristics in sugar cane. J. Agric. Sci. Camb. 1987, 108, 245–247. [Google Scholar] [CrossRef]
- Hoang, D.T.; Hiroo, T.; Yoshinobu, K. Nitrogen use efficiency and drought tolerant ability of various sugarcane varieties under drought stress at early growth stage. Plant Prod. Sci. 2018, 22, 250–261. [Google Scholar] [CrossRef]
- Silveira, N.M.; Prataviera, P.J.; Pieretti, J.C.; Seabra, A.B.; Almeida, R.L.; Machado, E.C.; Ribeiro, R.V. Chi-tosan-encapsulated nitric oxide donors enhance physiological recovery of sugarcane plants after water deficit. Environ. Exp. Bot. 2021, 190, 104593. [Google Scholar] [CrossRef]
- Set-Tow, S.; Songsri, P.; Jongrungklang, N. Variations in root distribution patterns and cane yield of 16 elite sugarcane clones grown under varied soil conditions. Sugar Tech 2020, 22, 1018–1031. [Google Scholar] [CrossRef]
- Jumkudling, S.; Songsri, P.; Taratima, W.; Jongrungklang, N. Diversity and distribution of anatomical characteristics involved with drought resistance of inter-specific (Saccharum spp. Hybrid × S. spontaneum) sugarcane F1 hybrid population. Sugar Tech 2022, 24, 1342–1356. [Google Scholar] [CrossRef]
- Tukaew, S.; Datta, A.; Shivakoti, G.P.; Jourdain, D. Production practices influenced yield and commercial cane sugar level of contract sugarcane farmers in Thailand. Sugar Tech 2016, 18, 299–308. [Google Scholar] [CrossRef]
- Meyer, J. Sugarcane nutrition and fertilization. In Good Management Practices Manual for the Cane Sugar Industry; Meyer, J., Ed.; The International Finance Corporation (IFC): Johannesburg, South Africa, 2011; pp. 173–226. [Google Scholar]
- Zhang, H.; Kaiuki, S.; Schroder, J.L.; Payton, M.E.; Focht, C. Interlaboratory validation of the Mehlich 3 method for extraction of plant–available phosphorus. J. AOAC Int. 2009, 92, 91–102. [Google Scholar] [CrossRef]
- Department of Land Development. Characteristics and Properties of Established Soil Series in the Northeast Region of Thailand. Group Soil Series: 35. 2005. Available online: http://oss101.ldd.go.th/web_thaisoils/pf_desc/northeast/Suk.htm (accessed on 13 September 2024).
- Doorenbos, J.; Pruiit, W.O. Calculation of Crop Water Requirements; Food and Agriculture Organization of the United Nations: Rome, Italy, 1992. [Google Scholar]
- Silva, M.A.; Jifon, J.L.; Santos, C.M.; Jadoski, C.J.; Silva, J.A.G. Photosynthetic capacity and water use efficiency in sugarcane genotypes subject to water deficit during early growth phase. Braz. Arch. Biol. Technol. 2013, 56, 735–748. [Google Scholar] [CrossRef]
- Statistix-Data Analysis Software for Researchers (Version 10.0). Analytical Software, 2105 Miller Landing Rd, Tallahassee, FL, USA. 2013. Available online: https://www.statistix.com/ (accessed on 10 October 2024).
- Gomez, K.A.; Gomez, A.A. Statistical Procedures for Agricultural Research; John Wiley and Sons: Singapore, 1984. [Google Scholar]







| Source of Variance | DF | Cane Yield | Stalk Height | Stalk Diameter | Stalk Density |
|---|---|---|---|---|---|
| (Tons ha−1) | (cm) | (cm) | (Number of Millable Stalks ha−1) | ||
| Crop year (Y) | 1 | 62,312.6 ** (52.8) a | 132,074.0 ** (12.7) | 0.1 ns (0.4) | 1.02 × 108 ns (0.1) |
| Rep within year | 6 | 171.2 (0.9) | 414.0 (0.2) | 0.1 (0.7) | 7.05 × 107 (0.3) |
| Water treatment (W) | 2 | 10,418.0 ** (17.6) | 59,631.0 ** (11.4) | 0.9 ** (4.8) | 3.32 × 109 ** (4.1) |
| W × Y | 2 | 129.6 ns (0.2) | 278.0 ns (0.1) | 0.0 ns (0.2) | 5.25 × 107 ns (0.1) |
| Pooled error (a) | 12 | 68.8 (0.7) | 331.0 (0.4) | 0.5 (2.7) | 7.02 × 107 (0.5) |
| Genotype (G) | 5 | 4127.2 ** (17.5) | 144,639.0 ** (69.3) | 14.0 ** (78.1) | 2.92 × 1010 ** (89.5) |
| G × Y | 5 | 566.6 ** (2.4) | 2846.0 ** (1.4) | 0.0 ns (0.1) | 1.89 × 108 ** (0.6) |
| G × W | 10 | 110.8 ns (0.9) | 2074.0 ** (2.0) | 0.4 * (2.2) | 3.78 × 108 ** (2.3) |
| G ×W × Y | 10 | 81.9 ns (0.7) | 926.0 ** (0.9) | 0.1 ns (0.5) | 4.44 × 107 ns (0.3) |
| Pooled error (b) | 90 | 82.9 (6.3) | 190.0 (1.6) | 1.8 (10.2) | 4.23 × 107 (2.3) |
| Planted Cane | Cane Yield | LAI | RWC | Stalk Density | Height | Diameter | Internode Length | HGR | CGR |
|---|---|---|---|---|---|---|---|---|---|
| Cane yield_12 MAT | 1.000 | ||||||||
| LAI_6 MAT | 0.808 ** | 1.000 | |||||||
| RWC_6 MAT | 0.107 ns | 0.254 ns | 1.000 | ||||||
| Stalk density_6 MAT | 0.497 * | 0.575 * | −0.364 ns | 1.000 | |||||
| Stalk height _6 MAT | 0.828 ** | 0.831 ** | −0.006 ns | 0.834 ** | 1.000 | ||||
| Stalk diameter _6 MAT | −0.059 ns | −0.277 ns | 0.501 * | −0.798 ** | −0.466 ns | 1.000 | |||
| Internode length_6 MAT | 0.788 ** | 0.703 ** | −0.203 ns | 0.752 ** | 0.890 ** | −0.453 ns | 1.000 | ||
| HGR_(3–6 MAT) | 0.863 ** | 0.870 ** | 0.157 ns | 0.719 ** | 0.972 ** | −0.307 ns | 0.865 ** | 1.000 | |
| CGR_(3–6 MAT) | 0.754 ** | 0.905 ** | 0.387 ns | 0.437 ns | 0.805 ** | −0.183 ns | 0.664 ** | 0.859 ** | 1.000 |
| Ratoon cane | |||||||||
| Cane yield_12 MAH | 1.000 | ||||||||
| LAI_6 MAH | 0.805 ** | 1.000 | |||||||
| RWC_6 MAH | 0.362 ns | 0.363 ns | 1.000 | ||||||
| Stalk density_6 MAH | 0.792 ** | 0.678 ** | −0.090 ns | 1.000 | |||||
| Stalk height_6 MAH | 0.932 ** | 0.881 ** | 0.437 ns | 0.767 ** | 1.000 | ||||
| Stalk diameter_6 MAH | −0.439 ns | −0.467 ns | 0.506 * | −0.811 ** | −0.446 ns | 1.000 | |||
| Internode length_6 MAH | 0.933 ** | 0.789 ** | 0.329 ns | 0.797 ** | 0.957 ** | −0.516 * | 1.000 | ||
| HGR_(3–6 MAH) | 0.889 ** | 0.828 ** | 0.473 ns | 0.677 ** | 0.969 ** | −0.331 ns | 0.946 ** | 1.000 | |
| CGR_(3–6 MAH) | 0.761 ** | 0.872 ** | 0.643 ** | 0.506 * | 0.840 ** | −0.166 ns | 0.757 ** | 0.831 ** | 1.000 |
| Source of Variance | DF | Height Growth Rate (HGR) (cm day−1) | ||||
|---|---|---|---|---|---|---|
| Drought Period | Recovery Period | Physiological Maturity | ||||
| 1–3 Months | 3–6 Months | 6–8 Months | 8–10 Months | 10–12 Months | ||
| Crop year (Y) | 1 | 0.17 ** (1.6) a | 3.50 ** (11.2) | 7.98 ** (30.9) | 7.12 ** (29.8) | 13.45 ** (25.7) |
| Rep within year | 6 | 0.00 (0.1) | 0.04 (0.8) | 0.13 (2.9) | 0.06 (1.6) | 0.07 (0.9) |
| Water treatment (W) | 2 | 1.24 ** (23.4) | 7.17 ** (45.9) | 0.08 ns (0.6) | 0.80 ** (6.7) | 0.00 ns (0.0) |
| W × Y | 2 | 0.22 ** (4.1) | 0.12 ns (0.7) | 0.28 ns (2.2) | 0.39 * (3.3) | 0.94 ** (3.6) |
| Pooled error (a) | 12 | 0.00 (0.5) | 0.03 (1.3) | 0.11 (5.1) | 0.10 (4.9) | 0.06 (1.3) |
| Genotype (G) | 5 | 1.21 ** (57.5) | 1.77 ** (28.4) | 1.12 ** (21.7) | 0.55 ** (11.4) | 3.23 ** (30.8) |
| G × Y | 5 | 0.01 ** (0.6) | 0.09 ** (1.5) | 0.18 ** (3.5) | 0.09 ns (1.9) | 0.24 ** (2.3) |
| G × W | 10 | 0.09 ** (8.6) | 0.12 ** (3.9) | 0.10 ns (4.0) | 0.25 ** (10.7) | 1.07 ** (20.4) |
| G ×W × Y | 10 | 0.01 ** (1.3) | 0.09 ** (2.7) | 0.23 ** (8.7) | 0.10 ns (4.1) | 0.22 ** (4.2) |
| Pooled error (b) | 90 | 0.00 (2.2) | 0.01 (3.4) | 0.06 (20.4) | 0.07 (25.6) | 0.06 (10.9) |
| Planted Cane | HGR at 1–3 MAT | HGR at 3–6 MAT | HGR at 6–8 MAT | ||||||
|---|---|---|---|---|---|---|---|---|---|
| Genotypes | SD0 | SD1 | SD2 | SD0 | SD1 | SD2 | SD0 | SD1 | SD2 |
| F03–362 | 0.98 ± 0.03 Aa | 0.98 ± 0.03 Aa | 0.45 ± 0.03 Ba | 2.32 ± 0.08 Aa | 1.62 ± 0.07 Ba | 1.71 ± 0.07 Ba | 1.77 ± 0.23 Ba | 2.00 ± 0.11 ABabc | 2.28 ± 0.05 Aab |
| KK09–0358 | 0.41 ± 0.02 Ab | 0.41 ± 0.04 Ab | 0.26 ± 0.03 Bb | 2.01 ± 0.07 Ab | 1.31 ± 0.06 Bb | 0.95 ± 0.05 Cb | 2.07 ± 0.12 Aa | 2.35 ± 0.11 Aa | 2.38 ± 0.17 Aa |
| KK09–0939 | 0.40 ± 0.04 Ab | 0.39 ± 0.03 Ab | 0.13 ± 0.02 Bc | 1.76 ± 0.09 Ac | 1.25 ± 0.09 Bbc | 0.73 ± 0.06 Cc | 2.21 ± 0.23 Aa | 2.14 ± 0.01 Aab | 1.77 ± 0.17 ABc |
| TPJ04–768 | 0.21 ± 0.03 Ac | 0.18 ± 0.01 Ad | 0.10 ± 0.03 Bc | 1.70 ± 0.07 Acd | 1.21 ± 0.09 Bbc | 0.69 ± 0.01 Cc | 2.20 ± 0.137 Aa | 1.60 ± 0.13 Bcd | 2.12 ± 0.19 ABabc |
| KK3 | 0.22 ± 0.01 Ac | 0.20 ± 0.03 Acd | 0.16 ± 0.03 Ac | 1.58 ± 0.10 Acd | 1.16 ± 0.07 Bc | 1.00 ± 0.06 Bb | 1.81 ± 0.25 Aa | 1.45 ± 0.19 Ad | 1.76 ± 0.23 Ac |
| UT12 | 0.24 ± 0.01 Bc | 0.28 ± 0.01 Ac | 0.13 ± 0.01 Cc | 1.46 ± 0.06 Ad | 1.24 ± 0.08 Bbc | 0.56 ± 0.04 Cd | 1.83 ± 0.04 Aa | 1.77 ± 0.18 Abcd | 1.72 ± 0.23 Ac |
| Mean | 0.41 A | 0.41 A | 0.20 B | 1.81 A | 1.30 B | 0.94 C | 1.98 A | 1.88 A | 2.00 A |
| F-test | ** | ** | ** | ** | ** | ** | ns | ** | * |
| Ratoon cane | HGR at 1–3 MAH | HGR at 3–6 MAH | HGR at 6–8 MAH | ||||||
| SD0 | SD1 | SD2 | SD0 | SD1 | SD2 | SD0 | SD1 | SD2 | |
| F03–362 | 1.07 ± 0.05 Aa | 0.90 ± 0.04 Ba | 0.43 ± 0.02 Ca | 1.78 ± 0.05 Aa | 1.25 ± 0.03 Ba | 1.37 ± 0.07 Ba | 1.87 ± 0.07 ABa | 1.65 ± 0.06 Ba | 1.98 ± 0.06 Aa |
| KK09–0358 | 0.78 ± 0.04 Ab | 0.37 ± 0.04 Bbc | 0.25 ± 0.02 Cb | 1.43 ± 0.04 Ab | 1.25 ± 0.06 Ba | 0.94 ± 0.04 Cb | 1.65 ± 0.05 Aab | 1.81 ± 0.07 Aa | 1.51 ± 0.09 Abc |
| KK09–0939 | 0.80 ± 0.03 Ab | 0.39 ± 0.03 Bb | 0.10 ± 0.01 Cc | 1.34 ± 0.03 Abc | 1.01 ± 0.07 Bb | 0.45 ± 0.03 Cc | 1.43 ± 0.07 Ab | 1.70 ± 0.08 Aa | 1.57 ± 0.07 Ab |
| TPJ04–768 | 0.45 ± 0.02 Ac | 0.18 ± 0.03 Be | 0.10 ± 0.03 Cc | 1.32 ± 0.07 Abc | 1.00 ± 0.06 Bb | 0.92 ± 0.08 Bb | 1.15 ± 0.09 Cc | 1.75 ± 0.03 Aa | 1.36 ± 0.03 Bc |
| KK3 | 0.38 ± 0.03 Acd | 0.24 ± 0.03 Bde | 0.20 ± 0.01 Bb | 1.27 ± 0.07 Ac | 0.68 ± 0.07 Bc | 0.41 ± 0.01 Ccd | 1.07 ± 0.13 Bc | 1.33 ± 0.01 Ab | 1.44 ± 0.03 Abc |
| UT12 | 0.32 ± 0.01 Ad | 0.28 ± 0.02 Bcd | 0.13 ± 0.02 Cc | 1.26 ± 0.08 Ac | 0.69 ± 0.03 Bc | 0.28 ± 0.04 Cd | 1.05 ± 0.13 Ac | 1.20 ± 0.04 Ab | 1.18 ± 0.04 Ad |
| Mean | 0.63 A | 0.39 B | 0.20 C | 1.40 A | 0.98 B | 0.73 C | 1.37 B | 1.57 A | 1.51 AB |
| F-test | ** | ** | ** | ** | ** | ** | ** | ** | ** |
| Source of Variance | DF | Crop Growth Rate (CGR) (g m−2 day−1) | ||||
|---|---|---|---|---|---|---|
| Drought Period | Recovery Period | Physiological Maturity | ||||
| 1–3 Months | 3–6 Months | 6–8 Months | 8–10 Months | 10–12 Months | ||
| Crop year (Y) | 1 | 0.05 ** (27.5) a | 0.05 ** (8.0) | 0.33 ** (27.3) | 1.87 ** (25.8) | 0.00 ns (0.0) |
| Rep within year | 6 | 0.00 (0.4) | 0.00 (1.2) | 0.00 (2.5) | 0.00 (0.2) | 0.00 (0.8) |
| Water treatment (W) | 2 | 0.02 ** (22.1) | 0.22 ** (65.6) | 0.02 * (4.2) | 1.45 ** (40.3) | 0.03 * (2.5) |
| W × Y | 2 | 0.02 ** (19.3) | 0.00 ** (1.2) | 0.03 ** (5.0) | 0.02 ns (0.5) | 0.04 ** (3.2) |
| Pooled error (a) | 12 | 0.00 (0.6) | 0.00 (0.2) | 0.00 (4.3) | 0.01 (1.2) | 0.01 (3.1) |
| Genotype (G) | 5 | 0.01 ** (18.3) | 0.02 ** (13.7) | 0.03 ** (13.6) | 0.12 ** (8.5) | 0.11 ** (21.1) |
| G × Y | 5 | 0.00 ** (3.3) | 0.00 ns (0.2) | 0.01 ** (5.8) | 0.01 * (0.8) | 0.05 ** (9.8) |
| G × W | 10 | 0.00 ** (2.4) | 0.00 ** (3.2) | 0.02 ** (14.1) | 0.11 ** (15.7) | 0.05 ** (18.3) |
| G × W × Y | 10 | 0.00 ** (1.7) | 0.00 ** (2.4) | 0.01** (8.9) | 0.01 ** (1.7) | 0.01 ns (3.8) |
| Pooled error (b) | 90 | 0.00 (4.4) | 0.00 (4.3) | 0.00 (14.4) | 0.00 (5.4) | 0.01 (37.4) |
| Planted Cane | CGR at 1–3 MAT | CGR at 3–6 MAT | CGR at 6–8 MAT | ||||||
|---|---|---|---|---|---|---|---|---|---|
| Genotypes | SD0 | SD1 | SD2 | SD0 | SD1 | SD2 | SD0 | SD1 | SD2 |
| F03–362 | 0.068 ± 0.003 Aab | 0.064 ± 0.001 Ba | 0.051 ± 0.004 Ca | 0.304 ± 0.011 Aa | 0.192 ± 0.009 Ba | 0.129 ± 0.003 Cab | 0.237 ± 0.035 Bc | 0.330 ± 0.046 ABa | 0.386 ± 0.024 Ba |
| KK09–0358 | 0.064 ± 0.004 Ab | 0.050 ± 0.003 Abc | 0.036 ± 0.002 Bb | 0.285 ± 0.013 Aab | 0.174 ± 0.003 Bab | 0.110 ± 0.014 Cb | 0.291 ± 0.019 ABb | 0.351 ± 0.032 Aa | 0.259 ± 0.028 Bb |
| KK09–0939 | 0.068 ± 0.002 Aab | 0.048 ± 0.002 Abc | 0.035 ± 0.003 Bbc | 0.267 ± 0.016 Ab | 0.185 ± 0.007 Ba | 0.120 ± 0.009 Cab | 0.280 ± 0.015 Abc | 0.247 ± 0.029 Ab | 0.237 ± 0.023 Abc |
| TPJ04–768 | 0.083 ± 0.003 Aa | 0.051 ± 0.003 Bb | 0.030 ± 0.004 Cbc | 0.266 ± 0.009 Ab | 0.185 ± 0.011 Ba | 0.134 ± 0.004 Ca | 0.263 ± 0.013 Abc | 0.291 ± 0.035 Aab | 0.121 ± 0.025 Bd |
| KK3 | 0.061 ± 0.001 Ab | 0.036 ± 0.001 Ad | 0.026 ± 0.002 Bc | 0.221 ± 0.013 Ac | 0.136 ± 0.013 Bc | 0.065 ± 0.007 Cc | 0.405 ± 0.024 Aa | 0.294 ± 0.027 Bab | 0.210 ± 0.012 Cbc |
| UT12 | 0.075 ± 0.003 Aab | 0.044 ± 0.003 Ac | 0.038 ± 0.002 Ab | 0.208 ± 0.007 Ac | 0.151 ± 0.012 Bbc | 0.073 ± 0.008 Cc | 0.146 ± 0.013 Ad | 0.223 ± 0.015 Bb | 0.187 ± 0.008 Ccd |
| Mean | 0.053 A | 0.049 A | 0.036 B | 0.259 A | 0.170 B | 0.105 C | 0.270 AB | 0.289 A | 0.233 B |
| F-test | ** | ** | ** | ** | ** | ** | ** | * | ** |
| Ratoon cane | CGR at 1–3 MAH | CGR at 3–6 MAH | CGR at 6–8 MAH | ||||||
| SD0 | SD1 | SD2 | SD0 | SD1 | SD2 | SD0 | SD1 | SD2 | |
| F03–362 | 0.154 ± 0.008 Aa | 0.125 ± 0.002 Ba | 0.070 ± 0.007 Ca | 0.236 ± 0.015 Aa | 0.173 ± 0.007 Ba | 0.126 ± 0.011 Ca | 0.263 ± 0.013 Aab | 0.142 ± 0.022 Bbc | 0.250 ± 0.017 Aa |
| KK09–0358 | 0.123 ± 0.007 Ab | 0.118 ± 0.009 Aa | 0.067 ± 0.004 Ba | 0.238 ± 0.003 Aa | 0.100 ± 0.008 Bb | 0.091 ± 0.007 Bb | 0.206 ± 0.020 Abc | 0.192 ± 0.013 Aa | 0.173 ± 0.021 Ab |
| KK09–0939 | 0.102 ± 0.002 Ac | 0.115 ± 0.009 Aa | 0.031 ± 0.003 Bb | 0.188 ± 0.010 Ab | 0.183 ± 0.015 Aa | 0.084 ± 0.005 Bb | 0.305 ± 0.037 Aa | 0.107 ± 0.007 Bc | 0.121 ± 0.038 Bb |
| TPJ04–768 | 0.108 ± 0.004 Abc | 0.107 ± 0.013 Aa | 0.033 ± 0.002 Bb | 0.185 ± 0.002 Ab | 0.171 ± 0.005 Aa | 0.088 ± 0.005 Bb | 0.189 ± 0.018 Ac | 0.098 ± 0.024 Bc | 0.104 ± 0.012 Bb |
| KK3 | 0.063 ± 0.007 Ad | 0.061 ± 0.004 Ab | 0.027 ± 0.003 Bb | 0.194 ± 0.008 Ab | 0.095 ± 0.004 Bb | 0.041 ± 0.002 Cc | 0.145 ± 0.026 Ac | 0.107 ± 0.015 Ac | 0.149 ± 0.025 Ab |
| UT12 | 0.113 ± 0.001 Abc | 0.110 ± 0.003 Aa | 0.025 ± 0.001 Bb | 0.167 ± 0.008 Ab | 0.074 ± 0.009 Bb | 0.073 ± 0.012 Bb | 0.161 ± 0.007 Ac | 0.176 ± 0.017 Aab | 0.154 ± 0.042 Ab |
| Mean | 0.111 A | 0.106 A | 0.042 B | 0.201 A | 0.133 B | 0.084 C | 0.212 A | 0.137 B | 0.158 B |
| F-test | ** | ** | ** | ** | ** | ** | ** | ** | ** |
| Genotypes | Parents | Sources | Characteristics # |
|---|---|---|---|
| F03–362 (F1) | 88–2–401 × ThS98–178 + ThS98–264 (bulk pollen) | KKFCRC * | High biomass and fiber, low sugar yield |
| KK09–0358 (BC1) | 95–2–317 × F03–381 (F1) | KKFCRC * | High cane yield, medium sugar yield |
| KK09–0939 (BC2) | BC04–251 (BC1) × UT4 | KKFCRC * | High cane yield and sugar yield |
| TPJ04–768 (BC1) | 94–2–128 × F03–331 (F1) | KKFCRC * | High cane yield, medium sugar yield |
| KK3 | 85–2–352 × K84–200 | KKFCRC * | Check (early drought tolerant) high cane yield and high sugar content |
| UT12 | SP80 × UT3 | SPFCRC ** | Check (drought susceptible) and high cane yield under irrigated conditions |
Disclaimer/Publisher’s Note: The statements, opinions and data contained in all publications are solely those of the individual author(s) and contributor(s) and not of MDPI and/or the editor(s). MDPI and/or the editor(s) disclaim responsibility for any injury to people or property resulting from any ideas, methods, instructions or products referred to in the content. |
© 2025 by the authors. Licensee MDPI, Basel, Switzerland. This article is an open access article distributed under the terms and conditions of the Creative Commons Attribution (CC BY) license (https://creativecommons.org/licenses/by/4.0/).
Share and Cite
Tippayawat, A.; Jogloy, S.; Vorasoot, N.; Jongrungklang, N.; Kimbeng, C.A.; Jifon, J.L.; Khonghintaisong, J.; Songsri, P. Timing and Duration of Drought Differentially Affect Growth and Yield Components Among Sugarcane Genotypes. Plants 2025, 14, 796. https://doi.org/10.3390/plants14050796
Tippayawat A, Jogloy S, Vorasoot N, Jongrungklang N, Kimbeng CA, Jifon JL, Khonghintaisong J, Songsri P. Timing and Duration of Drought Differentially Affect Growth and Yield Components Among Sugarcane Genotypes. Plants. 2025; 14(5):796. https://doi.org/10.3390/plants14050796
Chicago/Turabian StyleTippayawat, Amarawan, Sanun Jogloy, Nimitr Vorasoot, Nakorn Jongrungklang, Collins A. Kimbeng, John L. Jifon, Jidapa Khonghintaisong, and Patcharin Songsri. 2025. "Timing and Duration of Drought Differentially Affect Growth and Yield Components Among Sugarcane Genotypes" Plants 14, no. 5: 796. https://doi.org/10.3390/plants14050796
APA StyleTippayawat, A., Jogloy, S., Vorasoot, N., Jongrungklang, N., Kimbeng, C. A., Jifon, J. L., Khonghintaisong, J., & Songsri, P. (2025). Timing and Duration of Drought Differentially Affect Growth and Yield Components Among Sugarcane Genotypes. Plants, 14(5), 796. https://doi.org/10.3390/plants14050796

