The Effect of Irrigation and Fertilization Reduction on Yield, Quality, and Resource Use Efficiency of Drip-Fertilized Sugar Beet (Beta vulgaris L.) in Northern China
Abstract
1. Introduction
2. Materials and Methods
2.1. Description of Experimental Plots
2.2. Experimental Design
2.3. Measurements and Methods
2.3.1. Plant Sample Collection and Processing
2.3.2. Yield
2.3.3. Sugar Content and Sugar Yield
2.3.4. Water Consumption and Total Water Input
2.3.5. Water Use Efficiency (WUE)
2.3.6. Irrigation Water Use Efficiency (WUEi)
2.3.7. Fertilization Agronomic Efficiency (FAE)
2.3.8. Fertilizer Partial Factor Productivity (PFP)
2.3.9. Sugar Yield Water and Fertilizer Use Efficiency
2.3.10. Data Statistics
3. Results
3.1. Yield, Sugar Yield, and Quality (Root Sugar Content in Harvest Period)
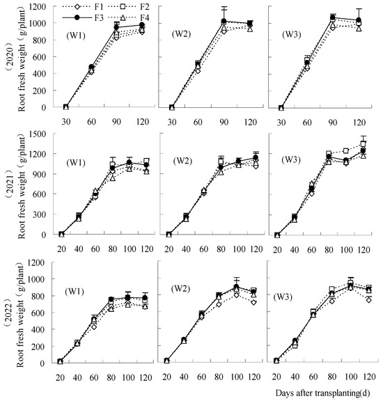
3.2. Root Fresh Weight and Sugar Content in Each Sugar Beet Growth Period
3.3. WUE, WUEi, SWUE, SWUEi
3.4. FAE, PFP, SFAE, and SPFP
3.5. Interaction Effects of Water and Fertilizer in Drip Irrigation
3.5.1. Relationship Between Yield, Sugar Yield, Irrigation, and Fertilization
3.5.2. Relationship Between Yield, Sugar Yield, Water, and Fertilizer Use Efficiency with Irrigation and Fertilization
4. Discussion
5. Conclusions
Author Contributions
Funding
Data Availability Statement
Acknowledgments
Conflicts of Interest
References
- FAO (Food and Agriculture Organization). Production: Crops, Crops and Livestock Products. 2022. Available online: https://www.fao.org/faostat/en/#data/QCL (accessed on 1 February 2024).
- Rajaeifar, M.A.; Sadeghzadeh, H.S.; Tabatabaei, M.; Aghbashlo, M.; Mahmoudi, S.B. A review on beet sugar industry with a focus on implementation of waste-to-energy strategy for power supply. Renew. Sustain. Energy Rev. 2019, 103, 423–442. [Google Scholar] [CrossRef]
- Mueller, N.D.; Gerber, J.S.; Johnston, M.; Ray, D.K.; Ramankutty, N.; Foley, J.A. Closing yield gaps through nutrient and water management. Nature 2012, 490, 254–257. [Google Scholar] [CrossRef] [PubMed]
- Wang, H.; Biswas, S.; Han, Y.; Tomar, V. A phase field modeling based study of microstructure evolution and its influence on thermal conductivity in polycrystalline tungsten under irradiation. Comput. Mater. Sci. 2018, 150, 169–179. [Google Scholar] [CrossRef]
- Yan, S.; Wu, Y.; Fan, J.; Zhang, F.; Qiang, S.; Zheng, J.; Xiang, Y.; Guo, J.; Zou, H. Effects of water and fertilizer management on grain filling characteristics, grain weight and productivity of drip-fertigated winter wheat. Agric. Water Manag. 2019, 213, 983–995. [Google Scholar] [CrossRef]
- Cassel, S.F.; Sharmasarkar, S.; Miller, S.D.; Vance, G.F.; Zhang, R. Assessment of drip and flood irrigation on water and fertilizer use efficiencies for sugarbeets. Agric. Water Manag. 2021, 46, 241–251. [Google Scholar] [CrossRef]
- Masri, M.; Ramadan, B.; El-Shafai, A.; El-Kady, M. Effect of water stress and fertilization on yield and quality of sugar beet under drip and sprinkler irrigation systems in sandy soil. Int. J. Agric. Sci. 2015, 5, 414–425. [Google Scholar]
- Yetik, A.K.; Candoğan, B.N. Optimisation of irrigation strategy in sugar beet farming based on yield, quality and water productivity. Plant Soil Environ. 2022, 68, 358–365. [Google Scholar] [CrossRef]
- Zheng, J.; Han, J.; Liu, Z.; Xia, W.; Zhang, X.; Li, L.; Liu, X.; Bian, R.; Cheng, K.; Zheng, J.; et al. Biochar compound fertilizer increases nitrogen productivity and economic benefits but decreases carbon emission of maize production. Agric. Ecosyst. Environ. 2017, 241, 70–78. [Google Scholar] [CrossRef]
- Rodrigues, G.C.; Paredes, P.; Gonçalves, J.M.; Alves, I.; Pereira, L.S. Comparing sprinkler and drip irrigation systems for full and deficit irrigated maize using multicriteria analysis and simulation modelling: Ranking for water saving vs. farm economic returns. Agric. Water Manag. 2013, 126, 85–96. [Google Scholar] [CrossRef]
- Zheng, J.; Huang, G.; Jia, D.; Wang, J.; Mota, M.; Pereira, L.S.; Huang, Q.; Xu, X.; Liu, H. Responses of drip irrigated tomato (Solanum lycopersicum L.) yield, quality and water productivity to various soil matric potential thresholds in an arid region of Northwest China. Agric. Water Manag. 2013, 129, 181–193. [Google Scholar] [CrossRef]
- Wang, H.; Wang, X.; Bi, L.; Wang, Y.; Fan, J.; Zhang, F.; Hou, X.; Cheng, M.; Hu, W.; Wu, L.; et al. Multi-objective optimization of water and fertilizer management for potato production in sandy areas of northern China based on TOPSIS. Field Crops Res. 2019, 240, 55–68. [Google Scholar] [CrossRef]
- Li, Z.; Li, G.; Sun, Y.; Su, W.; Fan, F.; Huang, C.; Guo, X.; Jian, C.; Tian, L.; Han, K. Water and nitrogen supply on photosynthetic physiological response of sugar beet (Beta vulgaris) under mulched drip irrigation. J. Plant Nutr. 2023, 46, 1145–1158. [Google Scholar] [CrossRef]
- Topak, R.; Acar, B.; Uyanöz, R.; Ceyhan, E. Performance of partial root-zone drip irrigation for sugar beet production in a semi-arid area. Agric. Water Manag. 2016, 176, 180–190. [Google Scholar] [CrossRef]
- Fan, J.; Lu, X.; Gu, S.; Guo, X. Improving nutrient and water use efficiencies using water-drip irrigation and fertilization technology in Northeast China. Agric. Water Manag. 2020, 241, 106352. [Google Scholar] [CrossRef]
- Hu, J.; Gettel, G.; Fan, Z.; Lv, H.; Zhao, Y.; Yu, Y.; Wang, J.; Butterbach-Bahl, K.; Li, G.; Lin, S. Drip fertigation promotes water and nitrogen use efficiency and yield stability through improved root growth for tomatoes in plastic greenhouse production. Agric. Ecosyst. Environ. 2021, 313, 107379. [Google Scholar] [CrossRef]
- Li, S.; Zhao, L.; Sun, N.; Liu, Q.; Li, H. Photosynthesis product allocation and yield in sweetpotato with different irrigation levels at mid-season. Agric. Water Manag. 2021, 246, 106708. [Google Scholar] [CrossRef]
- Li, Y.; Fan, H.; Su, J.; Fei, C.; Wang, K.; Tian, X.; Ma, F. Regulated deficit irrigation at special development stages increases sugar beet yield. Agron. J. 2019, 111, 1293–1303. [Google Scholar] [CrossRef]
- Khan, M.Z.; Akhtar, M.E.; Mahmood-ul-Hassan, M.; Mahmood, M.M.; Safdar, M.N. Potato tuber yield and quality as affected by rates and sources of potassium fertilizer. J. Plant Nutr. 2012, 35, 664–677. [Google Scholar] [CrossRef]
- Afshar, R.K.; Nilahyane, A.; Chen, C.; He, H.; Bart, S.W.; Iversen, W.M. Impact of conservation tillage and nitrogen on sugarbeet yield and quality. Soil Tillage Res. 2019, 191, 216–223. [Google Scholar] [CrossRef]
- Cai, Q.; Ji, C.; Yan, Z.; Jiang, X.; Fang, J. Anatomical responses of leaf and stem of Arabidopsis thaliana to nitrogen and phosphorus addition. J. Plant Res. 2017, 130, 1035–1045. [Google Scholar] [CrossRef] [PubMed]
- Li, Y.; Wang, Z.; Liu, H.; Zhang, C.; Fu, S.; Fang, X. Responses in growth and anatomical traits of two subtropical tree species to nitrogen addition, drought, and their interactions. Front. Plant Sci. 2021, 12, 709510. [Google Scholar]
- Yan, F.; Liu, X.; Bai, W.; Fan, J.; Zhang, F.; Xiang, Y.; Hou, X.; Pei, S.; Dai, Y.; Zeng, H.; et al. Multi-objective optimization of water and nitrogen regimes for drip-fertigated sugar beet in a desert climate. Field Crops Res. 2022, 288, 108703. [Google Scholar] [CrossRef]
- Ati, A.S.; Iyada, A.D.; Najim, S.M. Water use efficiency of potato (Solanum tuberosum L.) under different irrigation methods and potassium fertilizer rates. Ann. Agric. Sci. 2012, 57, 99–103. [Google Scholar] [CrossRef]
- Hu, F.; Jiang, J.; Xu, J.; Liu, T.; Hu, X. Drip irrigation and fertilization improve yield, uptake of nitrogen, and water-nitrogen use efficiency in cucumbers grown in substrate bags. Plant Soil Environ. 2019, 65, 328–335. [Google Scholar]
- Zhang, S.; Fan, J.; Zhang, F.; Wang, H.; Yang, L.; Sun, X.; Cheng, M.; Cheng, H.; Li, Z. Optimizing irrigation amount and potassium rate to simultaneously improve tuber yield, water productivity and plant potassium accumulation of drip-fertigated potato in northwest China. Agric. Water Manag. 2022, 264, 107493. [Google Scholar] [CrossRef]
- Li, Z. The Physiological Effects on Coupling of Water and Nitrogen in Sugar Beets (Beta vulgaris L.) with Drip Irrigation Under Plastic Mulch. Ph.D. Thesis, Inner Mongolia Agricultural University, Hohhot, China, 2018. [Google Scholar]
- Mohammadi-Ahmadmahmoudi, E.; Deihimfard, R.; Noori, O. Yield gap analysis simulated for sugar beet-growing areas in water-limited environments. Eur. J. Agron. 2020, 113, 125988. [Google Scholar] [CrossRef]
- GB/T 10496-2018; Sugar Beet. AQSIQ (General Administration of Quality Supervision, Inspection and Quarantine of the People’s Republic of China): Beijing, China, 2018.
- Zheng, J.; Fan, J.; Zhang, F.; Yan, S.; Guo, J.; Chen, D.; Li, Z. Mulching mode and planting density affect canopy interception loss of rainfall and water use efficiency of dryland maize on the Loess Plateau of China. J. Arid Land. 2018, 10, 794–808. [Google Scholar] [CrossRef]
- Guo, Q.; Huang, G.; Guo, Y.; Zhang, M.; Zhou, Y.; Duan, L. Optimizing irrigation and planting density of spring maize under mulch drip irrigation system in the arid region of Northwest China. Field Crops Res. 2021, 266, 108141. [Google Scholar] [CrossRef]
- Patamanska, G. Fruit yield, water and nitrogen use efficiency of tomato under drip irrigation in unheated greenhouse. Bulg. J. Agric. Sci. 2023, 29, 690–696. [Google Scholar]
- Evett, S.R.; Marek, G.W.; Colaizzi, P.D.; Brauer, D.K.; O’Shaughnessy, S.A. Corn and sorghum ET, E, yield, and CWP as affected by irrigation application method: SDI versus mid-elevation spray irrigation. Trans. ASABE 2019, 62, 1377–1393. [Google Scholar] [CrossRef]
- Tognetti, R.; Palladino, M.; Minnocci, A.; Delfine, S.; Alvino, A. The response of sugar beet to drip and low-pressure sprinkler irrigation in southern Italy. Agric. Water Manag. 2003, 60, 135–155. [Google Scholar] [CrossRef]
- Sara, A.M.B.; Monti, A. The association of crop production and precipitation; a comparison of two methodologies. Arid Land Res. Manag. 2019, 33, 155–176. [Google Scholar]
- Okom, S.; Russell, A.; Chaudhary, A.J.; Scrimshaw, M.D.; Francis, R.A. Impacts of projected precipitation changes on sugar beet yield in eastern England. Meteorol. Appl. 2017, 24, 52–61. [Google Scholar] [CrossRef][Green Version]
- Kiziloglu, F.; Sahin, Ü.; Angİn, I.; Anapalİ, Ö. The effect of deficit irrigation on water-yield relationship of sugar beet (Beta vulgaris L.) under cool season and semi-arid climatic conditions. Int. Sugar J. 2006, 108, 90–94. [Google Scholar]
- Shehata, M.M.K.; Azer, S.A.; Mostafa, S. The effect of soil moisture stress on some sugar beet varieties. Egypt. J. Agric. Res. 2000, 78, 1141–1160. [Google Scholar] [CrossRef]
- Leilah, A.A.A.; Khan, N. Interactive Effects of Gibberellic Acid and Nitrogen Fertilization on the Growth, Yield, and Quality of Sugar Beet. Agronomy 2021, 11, 137. [Google Scholar] [CrossRef]
- Elmasry, H.; Al-Maracy, S. Effect of nitrogen and boron fertilization on the productivity and quality of sugar beet. Egypt. Sugar J. 2023, 20, 15–23. [Google Scholar] [CrossRef]
- Topak, R.; Süheri, S.; Acar, B. Effect of different drip irrigation regimes on sugar beet (Beta vulgaris L.) yield, quality and water use efficiency in Middle Anatolian, Turkey. Irrig. Sci. 2011, 29, 79–89. [Google Scholar] [CrossRef]
- Rashki, P.; Piri, H.; Khamari, E. Effect of potassium fertilization on roselle yield and yield components as well as IWUE under deficit irrigation regimes. S. Afr. J. Bot. 2022, 148, 21–32. [Google Scholar] [CrossRef]
- Gheysari, M.; Loescher, H.W.; Sadeghi, S.H.; Mirlatifi, S.M.; Zareian, M.J.; Hoogenboom, G. Water-Yield Relations and Water Use Efficiency of Maize Under Nitrogen Fertigation for Semiarid Environments: Experiment and Synthesis. Adv. Agron. 2015, 130, 175–229. [Google Scholar]
- Caviglia, O.P.; Melchiori, R.J.M.; Sadras, V.O. Nitrogen utilization efficiency in maize as affected by hybrid and N rate in late-sown crops. Field Crops Res. 2014, 168, 27–37. [Google Scholar] [CrossRef]
- Christenson, D.R.; Butt, M.B. Response of sugarbeet to applied nitrogen following field bean (Phaseolus vulgaris L.) and corn (Zea mays L.). J. Sugar Beet Res. 2000, 37, 1–16. [Google Scholar] [CrossRef]
- Wang, J.; Wang, H.; Zhang, Y.; Zhou, J.; Chen, X. Intraspecific variation in potassium uptake and utilization among sweet potato (Ipomoea batatas L.) genotypes. Field Crops Res. 2015, 170, 76–82. [Google Scholar] [CrossRef]
- Xing, Y.; Zhang, T.; Jiang, W.; Li, P.; Shi, P.; Xu, G.; Cheng, S.; Cheng, Y.; Fan, Z.; Wang, X. Effects of irrigation and fertilization on different potato varieties growth, yield and resources use efficiency in the Northwest China. Agric. Water Manag. 2022, 261, 107351. [Google Scholar] [CrossRef]














| OM | TON | TOP | TOK | Avail.N | Avail.P | Avail.K | pH | EC μs·cm−1 | |
|---|---|---|---|---|---|---|---|---|---|
| g·kg−1 | g·kg−1 | g·kg−1 | g·kg−1 | mg·kg−1 | mg·kg−1 | mg·kg−1 | |||
| 2020 | 32.19 | 2.09 | 1.05 | 20.91 | 134.11 | 169.88 | 257.50 | 7.60 | 206.00 |
| 2021 | 32.02 | 2.07 | 0.97 | 22.11 | 134.91 | 197.50 | 194.91 | 7.98 | 198.40 |
| 2022 | 33.90 | 2.64 | 1.12 | 17.11 | 128.77 | 183.27 | 223.49 | 7.92 | 169.30 |
| Treatment | Fertilization (kg·ha−1) | Irrigation | ||
|---|---|---|---|---|
| N | P (P2O5) | K (K2O) | (m3·ha−1) | |
| F1W1 | 96 | 120 | 120 | 945 |
| F1W2 | 96 | 120 | 120 | 1147.5 |
| F1W3 | 96 | 120 | 120 | 1350 |
| F2W1 | 108 | 135 | 135 | 945 |
| F2W2 | 108 | 135 | 135 | 1147.5 |
| F2W3 | 108 | 135 | 135 | 1350 |
| F3W1 | 120 | 150 | 150 | 945 |
| F3W2 | 120 | 150 | 150 | 1147.5 |
| F3W3(CK) | 120 | 150 | 150 | 1350 |
| F4W1 | 132 | 165 | 165 | 945 |
| F4W2 | 132 | 165 | 165 | 1147.5 |
| F4W3 | 132 | 165 | 165 | 1350 |
| Year | Irrigation Rate | Fertilization Rate | |||
|---|---|---|---|---|---|
| F1 | F2 | F3 | F4 | ||
| 2020 | W1 | 55.21 ± 0.93 c | 57.25 ± 2.23 bc | 55.55 ± 1.38 c | 55.52 ± 1.23 c |
| W2 | 57.11 ± 1.46 bc | 59.07 ± 0.41 ab | 60.07 ± 0.88 a | 56.32 ± 1.68 c | |
| W3 | 56.22 ± 1.73 c | 61.12 ± 1.70 a | 60.81 ± 1.21 a | 60.39 ± 0.21 a | |
| F: ** W: ** F × W: * | |||||
| 2021 | W1 | 61.36 ± 0.81 f | 63.05 ± 1.35 ef | 68.60 ± 4.84 bcd | 62.25 ± 0.60 f |
| W2 | 65.28 ± 2.93 def | 72.01 ± 2.43 bc | 72.14 ± 4.57 bc | 70.20 ± 1.46 bc | |
| W3 | 67.50 ± 5.52 cde | 79.36 ± 2.36 a | 73.47 ± 1.06 b | 71.38 ± 0.88 bc | |
| F: ** W: ** F × W: * | |||||
| 2022 | W1 | 65.90 ± 1.85 de | 67.46 ± 1.88 bcde | 66.61 ± 0.31 cde | 65.35 ± 3.57 e |
| W2 | 68.84 ± 1.43 abcd | 69.11 ± 0.34 abcd | 67.21 ± 2.03 bcde | 66.87 ± 0.09 bcde | |
| W3 | 69.59 ± 0.87 abc | 70.70 ± 1.34 a | 69.95 ± 1.48 ab | 67.63 ± 0.70 abcde | |
| F: * W: ** F × W: ns | |||||
| Sugar Content (%) | Sugar Yield (t·ha−1) | |||||
|---|---|---|---|---|---|---|
| 2020 | 2021 | 2022 | 2020 | 2021 | 2022 | |
| F1W1 | 16.23 ± 0.18 a | 20.63 ± 0.31 a | 16.28 ± 0.04 a | 8.96 ± 0.05 def | 12.66 ± 0.32 d | 10.63 ± 0.24 ab |
| F1W2 | 15.79 ± 0.24 bc | 19.73 ± 0.40 ab | 15.96 ± 0.10 cd | 9.02 ± 0.14 cdef | 12.87 ± 0.31 bcd | 10.97 ± 0.15 ab |
| F1W3 | 15.78 ± 0.16 bc | 19.18 ± 1.02 bc | 15.92 ± 0.06 d | 8.87 ± 0.19 ef | 12.91 ± 0.56 bcd | 11.08 ± 0.09 ab |
| F2W1 | 15.69 ± 0.35 bcd | 20.39 ± 0.40 a | 16.10 ± 0.11 bc | 8.98 ± 0.16 cdef | 12.86 ± 0.40 cd | 10.86 ± 0.01 ab |
| F2W2 | 15.48 ± 0.09 cde | 18.47 ± 0.14 c | 16.04 ± 0.13 cd | 9.15 ± 0.04 abcd | 13.30 ± 0.55 abc | 11.08 ± 0.16 ab |
| F2W3 | 15.20 ± 0.34 ef | 17.18 ± 0.43 d | 15.92 ± 0.06 d | 9.29 ± 0.07 a | 13.63 ± 0.19 a | 11.21 ± 0.08 a |
| F3W1 | 15.99 ± 0.28 ab | 19.29 ± 0.86 bc | 16.09 ± 0.04 bcd | 8.88 ± 0.07 ef | 13.21 ± 0.33 abcd | 10.60 ± 0.18 ab |
| F3W2 | 15.28 ± 0.05 def | 18.66 ± 0.71 c | 16.06 ± 0.11 bcd | 9.18 ± 0.12 abc | 13.44 ± 0.43 ab | 10.81 ± 0.08 ab |
| F3W3 | 15.19 ± 0.25 ef | 18.47 ± 0.30 c | 15.70 ± 0.08 e | 9.24 ± 0.07 ab | 13.57 ± 0.24 a | 10.99 ± 0.18 ab |
| F4W1 | 15.91 ± 0.20 abc | 20.34 ± 0.50 a | 16.21 ± 0.11 ab | 8.83 ± 0.10 f | 12.66 ± 0.23 d | 10.43 ± 0.23 b |
| F4W2 | 15.90 ± 0.22 abc | 18.74 ± 0.60 bc | 16.13 ± 0.08 abc | 8.95 ± 0.15 def | 13.15 ± 0.21 abcd | 10.78 ± 0.21 ab |
| F4W3 | 15.00 ± 0.15 f | 18.58 ± 0.26 c | 15.99 ± 0.11 cd | 9.06 ± 0.10 bcde | 13.26 ± 0.35 abc | 10.81 ± 0.32 ab |
| F | ** | ** | * | ** | * | ** |
| W | ** | ** | ** | ** | ** | ** |
| F × W | * | * | * | * | ns | ns |
| Year | Quadratic Regression Equation | R2 | p Value | Y (Max) | Y (Max) Point | |
|---|---|---|---|---|---|---|
| F | I | |||||
| 2020 | Y1 = −30.206 + 0.414F − 6.194 × 10−4F2 + 1.471 × 10−4I + 7.633 × 10−5FI − 9.298 × 10−6I2 | 0.872 | * | 61.752 | 420.30 | 1433.61 |
| 2021 | Y2 = −248.365 + 1.195F − 1.44 × 10−3F2 + 0.114I − 1.44 × 10−5FI − 3.748 × 10−5I2 | 0.857 | * | 76.537 | 405.43 | 1446.28 |
| 2022 | Y3 = −1.035 + 0.273F − 3.244 × 10−4F2 + 0.023I − 2.428 × 10−5FI − 2.63 × 10−6I2 | 0.924 | ** | 71.711 | 312.20 | 1646.73 |
| 2020 | Y4 = 1.695 + 0.032F − 4.857 × 10−5F2 + 1.510 × 10−3I + 5.894 × 10−6FI − 1.468 × 10 − 6I2 | 0.800 | * | 9.208 | 406.26 | 1298.06 |
| 2021 | Y5 = −8.781 + 0.091F − 1.176 × 10−4F2 + 5.138 × 10−3I + 3.816 × 10−6FI−2.370 × 10−6I2 | 0.965 | ** | 13.625 | 411.14 | 1414.63 |
| 2022 | Y6 = 1.242 + 0.030F − 3.931 × 10−5F2 + 6.205 × 10−3I − 1.045 × 10−6FI − 2.101 × 10−6I2 | 0.904 | ** | 11.146 | 368.53 | 1385.17 |
Disclaimer/Publisher’s Note: The statements, opinions and data contained in all publications are solely those of the individual author(s) and contributor(s) and not of MDPI and/or the editor(s). MDPI and/or the editor(s) disclaim responsibility for any injury to people or property resulting from any ideas, methods, instructions or products referred to in the content. |
© 2025 by the authors. Licensee MDPI, Basel, Switzerland. This article is an open access article distributed under the terms and conditions of the Creative Commons Attribution (CC BY) license (https://creativecommons.org/licenses/by/4.0/).
Share and Cite
Zhang, B.; Chang, Y.; Li, G.; Zhang, S.; Zhang, P.; Wang, Z.; Kong, D. The Effect of Irrigation and Fertilization Reduction on Yield, Quality, and Resource Use Efficiency of Drip-Fertilized Sugar Beet (Beta vulgaris L.) in Northern China. Plants 2025, 14, 536. https://doi.org/10.3390/plants14040536
Zhang B, Chang Y, Li G, Zhang S, Zhang P, Wang Z, Kong D. The Effect of Irrigation and Fertilization Reduction on Yield, Quality, and Resource Use Efficiency of Drip-Fertilized Sugar Beet (Beta vulgaris L.) in Northern China. Plants. 2025; 14(4):536. https://doi.org/10.3390/plants14040536
Chicago/Turabian StyleZhang, Bowen, Yuxin Chang, Guolong Li, Shaoying Zhang, Peng Zhang, Zhenzhen Wang, and Dejuan Kong. 2025. "The Effect of Irrigation and Fertilization Reduction on Yield, Quality, and Resource Use Efficiency of Drip-Fertilized Sugar Beet (Beta vulgaris L.) in Northern China" Plants 14, no. 4: 536. https://doi.org/10.3390/plants14040536
APA StyleZhang, B., Chang, Y., Li, G., Zhang, S., Zhang, P., Wang, Z., & Kong, D. (2025). The Effect of Irrigation and Fertilization Reduction on Yield, Quality, and Resource Use Efficiency of Drip-Fertilized Sugar Beet (Beta vulgaris L.) in Northern China. Plants, 14(4), 536. https://doi.org/10.3390/plants14040536
