Abstract
The increasing salinization of cultivated soil worldwide has led to a significant reduction in maize production. Using saline–alkaline-tolerant growth-promoting bacteria (PGPR) in the rhizosphere can significantly improve the saline tolerance of maize and ensure the stability of maize yields, which has become a global research hotspot. This study screened salt-tolerant microorganisms Klebsiella sp. (GF2) and Pseudomonas sp. (GF7) from saline soil to clarify the mechanism in improving the saline tolerance of maize. In this study, different application treatments (GF2, GF7, and GF2 + GF7) and no application (CK) were set up to explore the potential ecological relationships between the saline tolerance of maize seedlings, soil characteristics, and microorganisms. The results showed that co-occurrence network and Zi-Pi analysis identified Klebsiella and Pseudomonas as core microbial communities in the rhizosphere soil of maize seedlings grown in saline soil. The deterministic process of microbial assembly mainly controlled the bacterial community, whereas bacteria and fungi were governed by random processes. The application of saline–alkaline-resistant PGPR under saline stress significantly promoted maize seedling growth, increased the activity of soil growth-promoting enzymes, and enhanced total nitrogen, soil organic carbon, and microbial carbon and nitrogen contents. Additionally, it reduced soil salt and alkali ion concentrations [electrical conductivity (EC) and exchangeable Na+]. Among them, GF2 + GF7 treatment had the best effect, indicating that saline–alkaline-tolerant PGPR could directly or indirectly improve the saline tolerance of maize seedlings by improving the rhizosphere soil ecological environment. EC was the determining factor to promote maize seedling growth under saline–alkaline stress (5.56%; p < 0.01). The results provided an important theoretical reference that deciphers the role of soil factors and microecology in enhancing the saline tolerance of maize.
1. Introduction
Soil salinization has become a serious challenge for global agricultural development. Unreasonable farmland systems and water and fertilizer management aggravate the degree of global soil salinization [1]. As a result, the area of arable land available decreases [2]. There are >800 million hectares of saline soil worldwide, 23% of which was affected by irrigation. It leads to an increase in soil salinity [3,4]. There are 38 million hectares of saline–alkaline land in China, accounting for 4.97% of the total farmland area [5]. High salt and alkali levels in the soil can inhibit crop growth and reduce yields. The main ways to increase crop yield in saline–alkaline lands are cultivating saline–alkaline-tolerant varieties and improving saline–alkaline land, which has become a global research hotspot.
Maize is one of the most important food crops in China, with a planting area of over 20 million hectares all year round, accounting for 23% of the country’s cultivated land area [6]. Under the background of limited expansion of existing cultivated land, improving saline–alkaline land utilization rate becomes an effective way to increase maize yield potential. Maize is more sensitive to saline–alkaline stress, and its yield decreases significantly under medium saline–alkaline levels [7]. In particular, the maize seedling stage is the most sensitive to saline–alkaline stress, which can lead to premature senescence and even dead seedlings [8]. Therefore, ensuring the healthy growth of maize at the seedling stage under saline–alkaline stress is key for improving maize yield [9]. Using beneficial microorganisms to promote crop growth under saline–alkaline stress is one of the effective strategies to improve the saline–alkaline tolerance of crops [10,11]. The scientific application of saline–alkaline-tolerant Plant Growth-Promoting Rhizobacteria (PGPR) can not only reduce saline stress damage to maize seedlings but also improve soil salinization [12]. Sharma et al. [13] found that Klebsiella and Pseudomonas could produce indoleacetic acid (IAA), hydrogen cyanide, and 1-aminocyclopropane-1-carboxylate (ACC) deaminase activities, fix nitrogen in the soil, and dissolve phosphate. Saline–alkaline-tolerant PGPR protects crops from saline–alkaline ions (Na+, K+, SO42−, Cl−) by activating plant antioxidant defense mechanisms [14]. These bacteria can fix nitrogen and solubilize phosphate, dissolve iron and potassium to increase plant nutrition [15], and effectively promote agricultural crop growth under salt stress and improve their yield. The combination of bacterial synthesized exopolysaccharides (EPS) with cations in the soil alleviates saline stress, and EPS increases soil porosity and improves water and fertilizer retention [16], thus significantly improving the quality of saline soil and increasing crop yield. Previous studies have shown that saline–alkaline-tolerant PGPR could alleviate the adverse effects of saline stress on crops by interacting with soil microorganisms [17]. Xu et al. [18] found that soil microorganisms have a greater impact on plant saline tolerance than soil physical and chemical properties. Soil microorganisms affect maize seedling growth by decomposing and accumulating nutrients [19], and crop growth is significantly positively correlated with soil microbial community diversity and evenness [20]. Carrasco et al. [21] showed that PGPR improves the saline tolerance of crops by changing the bacterial community in rhizosphere soil. However, previous research has found that Klebsiella and Pseudomonas can promote the growth and development of corn and enhance its salt tolerance under saline stress, but the underlying mechanisms are not yet clear [13].
Therefore, this study applied PGPR under saline stress conditions and investigated the mechanisms underlying the enhancement of salt tolerance in maize by Klebsiella and Pseudomonas, focusing on maize growth characteristics, soil chemical properties, and microbial diversity. Furthermore, this study elucidated the key factors determining saline tolerance in maize seedlings. The main objectives of this study were to (1) investigate the effects of two microbial species on maize seedling growth and soil chemical properties, (2) elucidate the impact of two microorganisms on soil microbial diversity, and (3) identify the factors influencing the enhancement of maize seedling growth under saline stress.
2. Results
2.1. Identification of Microbial Characteristics
The root exudates from maize plants under different treatments are shown in Figure 1. The treatment GF2 + GF7 produced the highest amounts of EPS, IAA, SDP, ACC, and PSA, increasing them by 67.65 g/L, 8.76 mg/L, 68.89%, 0.033 U/mg, and 45.00 mg/L, respectively, compared to CK, and was significantly higher than single strains GF2 and GF7. There was no significant difference between the single strains GF2 and GF7, but both were significantly higher than CK. Among them, the single strain GF2 produced higher EPS (66.92 g/L) and IAA (6.34 mg/L) content than GF7, whereas strain GF7 produced higher SDP (69.40%), ACC deaminase (0.024 U/mg), and PSA (42.74 mg/L) than GF2. The above study showed that the single strains GF2 and GF7 have certain abilities to promote plant growth under saline–alkaline stress (pH 9, NaCl 6%).
Figure 1.
Analysis of relevant indicators of growth-promoting functions of strains GF2, GF7, and GF2 + GF7. (A) EPS content, (B) IAA content, (C) iron chelator content (SDP), (D) ACC deaminase activity, (E) and phosphate solubilization (PSA). Lowercase letters represent significant differences at the p < 0.05 level. The error bars represent standard deviation, and the circles indicate number of repetitions (n = 3).
2.2. Growth Characteristics of Maize Seedlings
The 40-day growth changes of PGPR maize seedlings subjected to saline stress are shown in Figure 2I. The untreated (CK) maize grew slowly, with small, yellowish, and dry leaves, and slow root development. Although bacterial application treatments showed that leaves and roots could grow normally, GF2 + GF7 treatment showed the best stimulatory effect on leaf and root growth (Figure 2A–H). After applying the single strain GF2, the maize HP, SD, CFE, SPAD, LAI, total fresh weight, total dry weight, and root weight increased by 13.68 cm, 1.19 cm, 0.06, 10.91, 0.09, 3.07 g, 1.05 g, and 3.25 g, respectively, compared to CK. After applying the single strain GF7, the above indicators increased by 13.59 cm, 1.36 cm, 0.06, 10.89, 0.11, 3.22 g, 1.19 g, and 3.60 g, respectively, compared to CK. After applying GF2 + GF7, the indicators increased by 17.05 cm, 2.08 cm, 0.08, 13.58, 0.04, 4.48 g, 1.44 g, and 5.96 g, respectively, compared to CK. Among the treatments, GF2 + GF7 showed significantly higher activity than the others, but there was no significant difference between the single strains GF2 and GF7.
Figure 2.
Growth and development of maize seedlings subjected to saline-tolerant PGPR at 40 days, and analysis of related indexes. (A) Maize HP, (B) SD, (C) CFE, (D) SPAD value, (E) FWP, (F) DWP, (G) MC, (H) LAI, (I) WR, and (J) observation on maize seedling growth under saline stress at 40 days. Lowercase letters represent significant differences at the p < 0.05 level. The error bars represent standard deviation, and the circles indicate number of repetitions (n = 3).
Root analysis showed that Klebsiella and Pseudomonas infection was not observed in CK-treated roots. When PGPR resistance to saline was applied, PGPR established a good symbiotic relationship with the maize seedling root zone, with an average infection rate of 36.5% to 38.7%. GF2 + GF7 treatment had the highest infection rate (38.7%), which was significantly higher than other treatments, and there was no significant difference in the infection rate between the two single strains.
2.3. Soil Chemical Properties
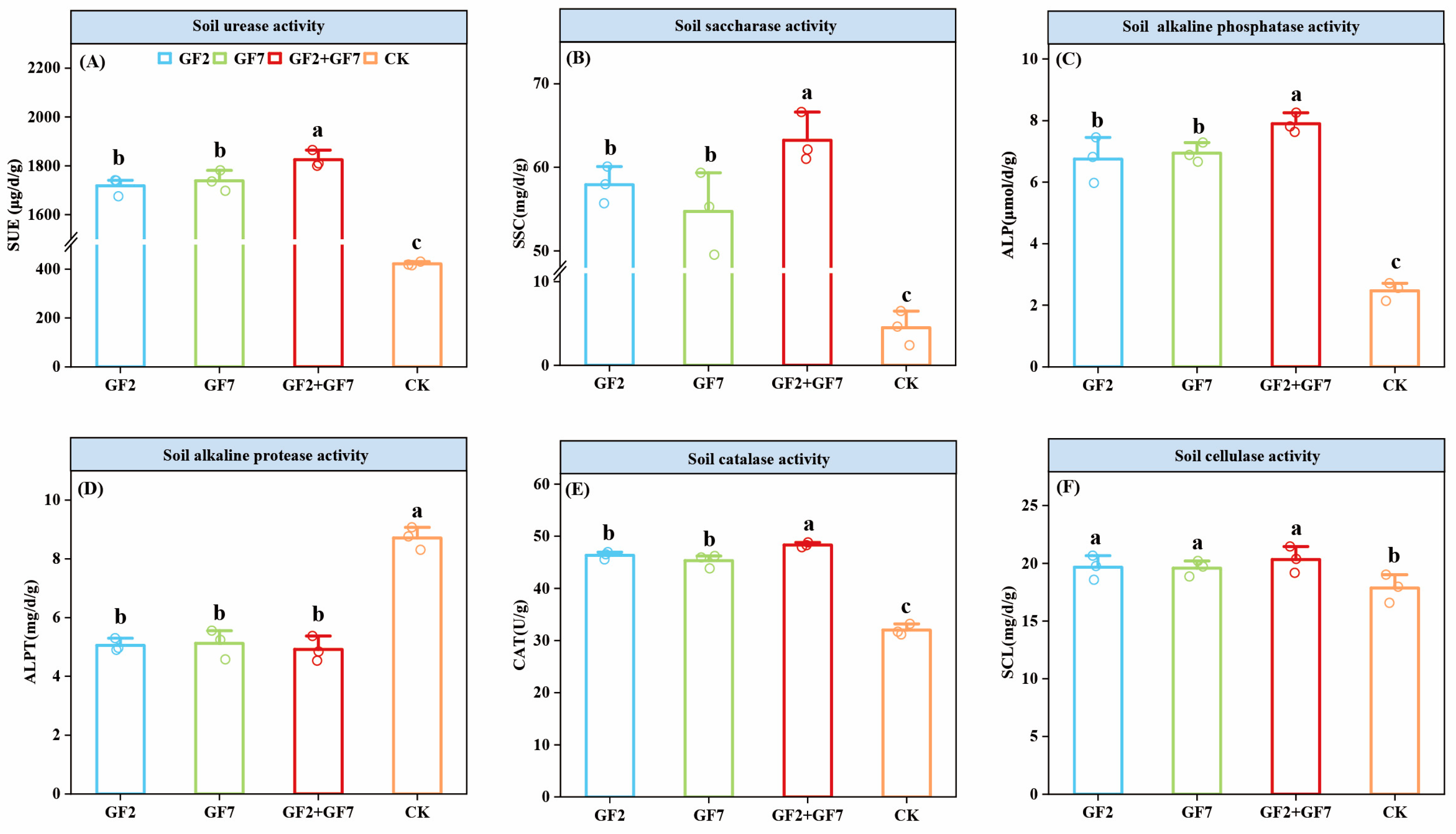
The changes in soil enzyme activity under saline stress under different inoculation treatments are shown in Figure 3. The SUE, SSC, ALP, CAT, and SCL content in the soil showed that treatments with microorganisms were significantly higher than the control (p < 0.05). Compared to control (CK), GF2 significantly increased the activities of these enzymes (SUE, SSC, ALP, CAT, and SCL) by 1296.62 μg/d/g, 53.43 mg/d/g, 4.28 μmol/d/g, 14.33 U/g, and 1.82 mg/d/g, respectively. Compared to CK, GF7 increased by 1316.62 μg/d/g, 50.24 mg/d/g, 4.47 μmol/d/g, 13.31 U/g, and 1.74 mg/d/g, respectively. Compared to CK, GF2 + GF7 treatment increased by 1403.04 μg/d/g, 58.77 mg/d/g, 5.43 μmol/d/g, 16.32 U/g, and 2.48 mg/d/g, respectively. Under GF2 + GF7 treatment, all indicators were significantly higher than those under GF2 and GF7, but there was no significant difference between individual strains under GF2 and GF7. Saline-tolerant PGPR treatment significantly decreased ALPT content, with GF2, GF7, and GF2 + GF7 decreasing by 3.65, 3.59, and 3.79 mg/d/g, respectively, compared to CK. However, there were no significant differences observed among the treatments.
Figure 3.
Analysis of growth-promoting enzyme activity in soil with PGPR. (A) SUE, (B) SSC, (C) ALP, (D) ALPT, (E) soil CAT, and (F) SCL. Lowercase letters represent significant differences at the p < 0.05 level. The error bars represent standard deviation, and the circles indicate number of repetitions (n = 3).
There was no significant change in soil pH, TP, TK, AK, CO32−, Ca2+, and Na+ absorption ratio (SAR) among the treatments (Table 1). However, bacterial application treatments significantly increased the TN, AN, AP, SOC, MBC, and MBN content in the soil compared to CK, with GF2 + GF7 treatment showing the most significant increase. In particular, soil TN (F = 44.175; p < 0.001), SOC (F = 111.991; p < 0.001), MBC (F = 24.704; p < 0.001), and MBN (F = 73.377; p < 0.001) increased significantly, and GF2 + GF7 treatment increased by 0.67 g/kg, 5.65 g/kg, 73.29 mg/kg, and 16.92 mg/kg, respectively. At the same time, EC, Cl−, Mg2+, Na+, K+, E. Na+, and other salt and alkali ions were significantly reduced by PGPR treatment. In particular, EC (F = 94.275; p < 0.001) and E. Na+ (F = 29.867; p < 0.001) were significantly reduced, and GF2 + GF7 treatment decreased by 13.81% and 36.68%, respectively. Salt-tolerant PGPR could increase soil enzyme activity, TN, organic carbon, and MBC in the soil while reducing the concentration of saline–alkaline ion concentrations.
Table 1.
Analysis of changes in soil chemical characteristics after PGPR application.
2.4. Microbial Community Composition
In this study, bacterial and fungal community diversity sequencing analysis identified 927,622 bacterial and 936,003 fungal valid sequences from all soil samples (Supplementary Table S1). Bacterial and fungal sequences were clustered with 7522 and 4455 ASVs, respectively. The Shannon and Chao1 indices of bacterial and fungal communities in bacterial application treatments were significantly higher than those in CK. However, the Simpson index had the opposite rule. There was no significant difference between the single strains, and GF2 + GF7 treatment was significantly higher than the other treatments (Table 2). The PCoA (Figure 4A,B) revealed a significant separation between different treatments, indicating a significant difference in bacteria and fungi among the treatments (p < 0.001). According to the Bray–Curtis test, there were significant differences in bacterial community composition (PERMANOVA, R2 = 0.820; p = 0.001) and fungal community composition (PERMANOVA, R2 = 0.720; p = 0.001) among the different treatments. Bacterial composition analysis showed that bacterial application treatments significantly increased the abundance of Bacteroidota (F = 0.036; p < 0.01), Chloroflexota (F = 0.048; p < 0.01), and Acidobacteriota (F = 0.035; p < 0.01), and significantly reduced Pseudomonadota (F = 0.050; p < 0.001; Figure 4C). Fungal composition analysis showed that bacterial application treatments significantly increased the abundance of Mortierellomycota (F = 0.042; p < 0.01) and significantly reduced Ascomycota (F = 0.048; p < 0.001).
Table 2.
Analysis of Shannon, Simpson, and Chao1 indices of α-diversity under different fertilization treatments.
Figure 4.
Analysis of microbial community structure diversity under different bacterial application treatments. PCoA and Bray−Curtis similarity index were used to analyze the microbial communities (ASV abundance) of bacteria (A) and fungi (B) in the soil of each treatment. The dominant phyla of bacteria (C) and fungi (D) among different treatments were analyzed by one-way variance comparison. The relative abundance of bacteria (E) and fungi (F) in the soil of different bacterial application treatments was analyzed by one-way variance comparison. All the data had three replicate values. * p < 0.05, ** p < 0.01, *** p < 0.001.
2.5. Microbial Community Assembly Mechanism
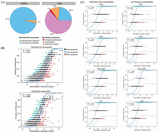
The zero model was used to analyze the assembly mechanism of bacterial and fungal community structures in the soil after external application of alkali-resistant and growth-promoting PGPR (Figure 5A). Process data showed that homogeneity selection in deterministic processes (97%) was a decisive factor in shaping soil bacterial communities, whereas fungal homogeneity selection was only 24%, of which 63% was uncertain. At the same time (Figure 5B), the random process had a greater effect on the soil bacterial community (R2 = 0.437) but a smaller effect on the fungal community (R2 = 0.390). Results indicated that the soil bacterial community was shaped by deterministic and random processes after saline-tolerant PGPR, whereas the fungal community was mainly influenced by random processes. The random assembly mechanism of microbial communities in the soil under different fertilization treatments was not similar (Figure 5C). During the assembly process of bacterial communities, GF2 (R2 = 0.686), GF7 (R2 = −0.761), and GF2 + GF7 (R2 = −0.792) treatments were more significant. There was no significant difference between the random process and the treatment without bacteria (CK; R2 = −0.017). The maximum effect of different fertilization treatments on the random process of fungi was GF2 + GF7 (R2 = −0.293), whereas the other treatments had no significant effect on the random process. Random processes dominated the bacterial community of different bacterial application treatments (GF2, GF7, and GF2 + GF7) and the fungal community of GF2 + GF7.
Figure 5.
Ecological processes shaping soil bacterial and fungal communities under different bacterial application treatments by the zero model (A) and NCM (B,C). The horizontal axis is the log (mean relative abundance) of species, and the vertical axis is the predicted occurrence frequency. Points represent data values. The solid line represents the fit of the neutral model, and the upper and lower dashed lines represent the 95% confidence of the model prediction. R2 represents the overall goodness of fit of the neutral community model.
2.6. Microbial Co-Occurrence Network
A co-occurrence network was established based on microbial communities treated with bacterial application treatments at ASV levels (Figure 6A). The edge and modularity coefficients were 1508, 0.594 for GF2 and 1396, 0.623 for GF7. The maximum value was observed in GF2 + GF7 (1543, 0.645), whereas the minimum value appeared in CK (1382, 0.454; Table 3). The average degree and graph density of GF2 and GF7 were 30.776 and 0.317, and 27.920 and 0.282, respectively. The maximum value was observed in GF2 + GF7 (30.860, 0.332), whereas the minimum appeared in CK (27.640, 0.279). At the same time, there was a strong correlation between the intensity of interactions among species and the inoculation treatment. The bacterial–fungal (787) interactions and bacterial–bacterial (430) interactions were most abundant in the GF2 + GF7 network. The largest number of fungal–fungal interactions occurred in the GF7 (403) network. The interactions between bacteria–fungi (654), bacteria–bacteria (341), and fungi–fungi (287) were the least in the CK network. In each network graph, the negative correlation between bacteria–bacteria interactions was greater than the positive correlation, whereas the positive correlation between bacteria–fungi interactions was greater than the negative correlation between fungi–fungi interactions (Supplementary Table S4).
Figure 6.
Analysis of soil microbial co-occurrence network (A) and Zi-Pi module (B) in saline soil treated with bacterial application treatments. Based on the paired Pearson correlation between ASVs (p > 0.8), nodes are colored by gate level and represent an operational taxon. The size of each node is proportional to the number of connections (degrees). The thickness of each connection between two nodes (edges) is proportional to the value of the Spearman correlation coefficient. Zi and Pi represent intramodule and intermodule connections, respectively. Network hub: nodes with Zi > 2.5, Pi > 0.62; module hub: Zi > 2.5 and Pi ≤ 0.62; connector: Zi ≤ 2.5 and Pi > 0.62; peripheral nodes: Zi ≤ 2.5 and Pi ≤ 0.62.
Table 3.
Topological characteristics analysis of soil microbial community co-occurrence network under bacterial application treatments (corresponding to Figure 6A).
According to Zi and Pi, most ASVs within these co-occurring networks were classified as peripheral nodes. The key bacterial advantage species were defined as 5 module hubs and 15 connectors (Supplementary Table S6). The main module hubs were Bacteroidota, Gemmatimonadota, and Proteobacteria. In Proteobacteria, ASV3060 was Pseudomonas and ASV3037 was Klebsiella. Bacterial connectors included Acidobacteriota, Bacteroidota, Bdellovibrionota, Chloroflexi, cyanobacteria, Firmicutes, Planctomycetota, and Proteobacteria. The dominant species of fungal bacteria were Ascomycota, and the connectors were Ascomycota and Chytridiomycota. At the same time, no network hubs were found in bacterial and fungal communities. The above results once again proved that different application treatments mainly caused changes in the core bacterial flora of Proteobacteria (Pseudomonas and Klebsiella), Bacteroidota, and Ascomycota, consistent with the study on community composition.
2.7. Determinants of Maize Seedling Growth Under Saline Stress
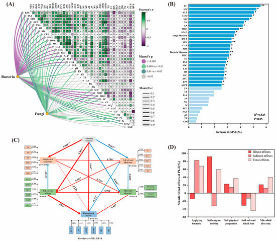
Based on the Mantel test (Figure 7A), soil bacterial communities under different bacterial application treatments were extremely significantly correlated (p < 0.001) with soil EPS, IAA, SPD, ACC, PSA, HP, CFE, DWP, MC, LAI, SUE, SSC, ALPT, SOC, MBC, MBN, EC, Cl−, etc., and were significantly correlated (p < 0.01) with plant SPAD, ALP, pH, AK, Ca2+, and Mg2+. Soil fungal communities under different bacterial application treatments were significantly correlated (p < 0.01) with IAA, ACC, HP, SD, CEF, SPAD, DWP, LAI, SUE, ALPT, pH, AK, MBC, MBN, EC, Ca2+, Mg2+, Na+, and K+. The results showed that the effect of inoculation on the soil bacterial community structure was greater than that on the fungal community structure. Through RF and Spearman correlation analysis (Figure 7B), the decisive factors promoting maize seedling growth under saline stress mainly included EC (5.56%; p < 0.01), MBN (3.88%; p < 0.01), SUE (3.31%; p < 0.01), and bacterial Shannon (3.14%; p < 0.01), followed by factors such as E. Na+, ALP, and fungal Shannon.
Figure 7.
Correlation analysis of soil bacteria and fungi under bacterial application treatments with the physical and chemical properties of maize seedlings and soil (A) and identification of key factors promoting the saline tolerance of maize seedlings through RF and Spearman correlation analysis (B). The potential direct and indirect effects of soil variables and bacterial and fungal diversity on the salinity tolerance of maize seedlings were analyzed based on PLS−PM (C). Soil properties are grouped into the same box in the model, and the numbers adjacent to the arrows indicate the magnitude of the influence of the relationship. * p < 0.05, ** p < 0.01, *** p < 0.001. Red indicates a positive correlation, and the blue line indicates a negative correlation. The width of the arrow is proportional to the strength of the path coefficient. Standardized direct effects, indirect effects, and total effects (D).
The potential pathways of different bacterial application treatments and key elements, such as soil factors, promoting maize seedling growth under saline stress were analyzed through PLS-PM (Partial least-squares path model), and the best goodness-of-fit of this model was 0.814 (Figure 7C). Soil enzyme activity directly affected maize seedling growth, and saline–alkaline-tolerant PGPR indirectly promoted growth (Figure 7D). Soil enzyme activity had the greatest positive effect on promoting maize seedling growth (0.912; p < 0.001), among which the positive effects of enzyme contents such as SUE (0.991), SSC (0.986), ALP (0.984), and CAT (0.990) were significant, followed by bacterial application treatment (0.647; p < 0.01) and microbial community diversity (0.427; p < 0.05). Soil saline–alkaline ions had the greatest negative effect on maize seedling growth (0.311; p < 0.05), among which EC (0.930) and Na+ (0.926) had significant negative effects.
3. Discussion
3.1. PGPR Promoted Maize Seedling Growth Under Saline Stress
The growth properties of plants under saline stress were significantly reduced [22], and PGPR promoted the saline tolerance of crops [23]. Gao et al. [24] reported that PGPR was rich in bacterial species, including Klebsiella, Curtobacterium, Azotobacter, Bacillus, Geobacillus, Pseudomonas, Rhizobium, Enterobacter, etc. Their common feature was their ability to produce pro-growth anti-stress substances [25]. In this study, two saline-tolerant PGPR, Klebsiella and Pseudomonas, obtained from saline soil (EC > 6 ds/m), were found to metabolize EPS, IAA, SDP, ACC, and PSA, exhibiting significant growth-promoting effects under saline stress (Figure 2I). These metabolites provided the basis for normal maize seedling growth under saline stress [26]. Andres et al. [27] showed that salt stress caused the imbalance of nutrients and osmosis in plants, which led to the weakening of photosynthesis and growth retardation. However, PGPR can significantly increase the photosynthetic material productivity of crops, thus alleviating the toxic effect of saline stress on crops [28,29]. This study showed that under saline stress, bacterial treatment significantly increased HP, SD, CFE, SPAD value, FWP, DWP, and LAI compared to CK [30]. In particular, the GF2 + GF7 treatment was significantly higher than the other treatments, and had the best growth-promoting effect on maize seedlings under saline stress. Treatment with compound fungi significantly increased the infection rate of maize seedling roots (38.7%), indicating that Klebsiella, Pseudomonas, and other microorganisms interact in the rhizosphere soil of maize to establish a beneficial microbial environment that promotes crop growth and enhances resistance to saline stress, significantly increasing maize’s growth attributes (Figure 8).
Figure 8.
Model analysis of soil traits, soil microbial diversity, and maize seedling growth in saline soil with the addition of PGPR. The red arrow represents the upward trend and the blue arrow represents the downward trend.
3.2. Assembly Mechanisms and Co-Occurrence Networks of Microbial Communities
Soil microbial diversity is an important indicator of soil health and plant adaptability, and microorganisms are closely related to many important soil functions [31]. In this study, the Shannon and Chao1 indices of bacterial and fungal communities in soil treated with bacteria were significantly higher than those in CK. PCoA results showed significant differences in community diversity between treatments of bacteria and fungi (p = 0.001). Saline–alkaline-tolerant PGPR significantly increased the proportion of Bacteroidota (F = 0.036; p < 0.01), Chloroflexi (F = 0.048; p < 0.01), Acidobacteriota (F = 0.035; p < 0.01), Mortierellomycota (F = 0.042; p < 0.01), and other phyla, and significantly decreased the abundance of Proteobacteria (F = 0.050; p < 0.001) and Ascomycota (F = 0.048; p < 0.001). Bacteroidota, Chloroflexi, Acidobacteriota, and Ascomycota played an important role in the soil carbon cycle [32,33]. Proteobacteria are a group of fast-growing and nutrient-rich bacteria, which can proliferate abundantly in high-salinity alkaline environments [34]. This study found that the abundance of Proteobacteria decreased after PGPR application, which may be due to the decrease in rhizosphere soil salinity promoting the proliferation of beneficial microorganisms and the interaction between Klebsiella and Pseudomonas in Proteobacteria and other bacteria.
In terms of ecological processes, there were significant differences in the assembly mechanisms of bacterial and fungal communities in saline soil among different bacterial treatments (Figure 5A). Bacterial communities in the soil were mainly selected by the uniformity of deterministic processes (97%), whereas the composition of fungal communities was uncertain (63%), indicating that Klebsiella and Pseudomonas play a key role in the deterministic assembly process of the bacterial community in the rhizosphere soil of maize seedlings but has little effect on the fungal community. Random processes were inconsistent in regulating bacterial and fungal communities [35]. The change in fungal community structure was due to the significant increase in soil enzyme activity and microbial assimilable nitrogen and carbon content caused by inoculation treatment [36]. The reshaping of the native bacterial community structure by exogenous microorganisms is a common phenomenon in biological enhancement processes [37,38]. Soil saline environment made Klebsiella and Pseudomonas maintain a long-term dominant position in the microbial environment of maize seedling roots and therefore greatly impacted the community structure of indigenous bacteria. Zi-Pi found that Klebsiella sp. and Pseudomonas sp. have been identified as central hubs in bacterial network modules, indicating their strong connections with various indigenous microorganisms. The successful insertion of Klebsiella and Pseudomonas into the indigenous microbial network was conducive to the stable presence of foreign bacteria in the indigenous bacterial community. These results were valuable for maize seedling growth promoted by beneficial microorganisms.
3.3. Saline–Alkaline-Tolerant PGPR Promoted Maize Seedling Growth by Affecting the EC Content in Saline Soil
Soil saline stress affects plant growth through osmotic stress, nutrient imbalance, ion stress, and reactive oxygen species production [39]. This study showed that soil EC content was significantly correlated with bacterial (p < 0.001) and fungal (p < 0.01) community diversity. MSE analysis showed that the main determining factors for promoting maize seedling growth were EC (5.56%; p < 0.01), followed by MBN (3.88%; p < 0.01). The soil EC content not only represented the level of salinity and alkalinity but also indicated the strength of the soil biological environment [32]. Klebsiella sp. and Pseudomonas sp., applied to the roots of maize, interact with other microorganisms, becoming central hubs in the rhizosphere bacterial community network. They produced large amounts of IAA, EPS, ACC, and other growth-promoting and stress-resistant substances during their growth, significantly enhancing soil enzyme activity and reducing the content of saline–alkaline ions in the soil [40]. The EPS and ACC deaminase are the main metabolites during microbial growth. EPS binds cations in the soil through its own groups to form soil aggregates, increase soil permeability, and thus reduce the content of saline–alkaline ions in the soil. The ACC deaminase helps plants grow by reducing ethylene levels while they are growing. At the same time, they enhance soil material cycling and decomposition, increasing the availability of carbon and nitrogen for plants and microorganisms in the soil, and ultimately promoting healthy maize seedling growth under saline stress [41,42]. The PLS-PM model showed that soil enzyme activities and microbial community directly affected the saline tolerance of maize seedlings. In conclusion, saline–alkaline-tolerant PGPR significantly reduces soil EC content, improving the soil ecological environment, promoting the production of stress-resistant substances through microbial core hub metabolism, and enhancing the saline tolerance in maize seedlings.
4. Materials and Methods
4.1. Soil and Plants
The soil used in the experiment was from the saline–alkaline farmland in western Bayannaoer City, Inner Mongolia, China (40°13′–42°28′ N, 105°12′–109°53′ E). The soil samples were collected from the topsoil layer (0–25 cm) of uncontaminated saline soil. The homogeneous soil was dried and sieved through a 2.0 mm sieve for subsequent pot experiments. The basic characteristics of the saline soil are shown in Supplementary Table S2 (mean pH 6.63, mean EC 6.68 ms/cm). In this experiment, the corn variety used was Deka 159, and the corn seeds were surface-disinfected with 10% (v/v) hydrogen peroxide before germination and rinsed with deionized water. After sterilizing the seeds, they were immersed in a suspension containing 100 million CFU/mL of bacteria. Approximately 2% carboxymethylcellulose (CMC) was added to the bacterial suspension as an adhesive to enhance adhesion, and the seeds were left at room temperature for 9 h. The maize seeds were then spread evenly on damp filter paper and allowed to germinate at 25 °C for 48 to 72 h until the radicle appeared.
4.2. Source of Strain
The strains used in this study were GF2, identified as Klebsiella (Preservation number CGMCC No. 30279), and GF7, identified as Pseudomonas (Preservation number CGMCC No. 30277). They have been deposited in the National Center for the Preservation and Management of Common Microbial Species in China. The specimen was conserved at the China General Microbial Culture Preservation Management Center (China, Beijing). These two bacterial strains were isolated and screened from saline–alkaline soil in cold and arid areas in our laboratory. The combination of GF2 and GF7 did not elicit any antagonistic reaction, and they were mixed at a 1:1 ratio. The dry powder bacterial agent was prepared by freeze-drying, resulting in a viable bacterial count of 7.5 billion colony-forming units/g [43]. Bacterial metabolites were measured under saline-alkali stress conditions (pH 9, NaCl 6%), mainly including IAA, ACC deaminase, PSA, SDP, and EPS. The content of indoleacetic acid (IAA) related to growth-promoting characteristics of bacteria was determined by the Salkowski colorimetric method [44]. The ACC deaminase content was determined by the ketobutyric acid extraction method [45]. Phosphate solubilization (PSA) was determined by the molybdate–antimony resist staining method [46]. The ability to synthesize iron carrier (SDP) was determined using the MKB liquid culture medium [47]. The extracellular polymeric substance (EPS) content was determined using the Congo red agar method [48].
4.3. Pot Experiment Design
The greenhouse pot experiment was set up with four treatments: GF2, GF7, GF2 + GF7, and no inoculum (CK), which were grown under natural light conditions for 40 days, with six replicates per treatment. The potted plants were cultivated in a greenhouse at the Inner Mongolia Agricultural University (China, Inner Mongolia). Each pot (with a diameter of 30 cm, base diameter of 20 cm, and height of 25 cm) was filled with 6 kg soil. Then, 100 g dry powder inoculant was applied to the soil surface, whereas the control group received 100 g inactive dry powder inoculant to provide a similar microbial community. Ten pre-sprouted maize seeds were evenly sown in a pot and thinned to five plants after 14 days. Five replicates were performed for each treatment. Deionized water was added regularly to keep the soil water capacity at 70%.
4.4. Plant Growth Characteristics
The plant height (HP), stem diameter (SD), leaf fluorescence value, leaf SPAD value, plant fresh weight (FWP), and plant dry weight (DWP) of maize seedlings were measured at 10, 20, 30, and 40 days, and the mycorrhizal infection rate (MC), leaf area index (LAI), and root fresh weight were measured at 40 days. The SPAD value of young leaves was measured using a SPAD-502 chlorophyll meter (Konica Minolta, Tokyo, Japan). Chlorophyll fluorescence (CFE) was measured using Handy PEA (Hansatech Instrument Pvt. Ltd., UK) to obtain the minimum (Fo) and maximum (Fm) CFE in the dark-adapted state, and the maximum quantum yield of PSII (Fv/Fm, where Fv = Fm − Fo) was calculated for each treatment, with three replicates. The mycorrhizal infection rate was determined using the trypan blue-glycerol lactate staining method, and the root segment frequency method was used to calculate the mycorrhizal infection rate. Each treatment was repeated thrice [49]. LAI was measured using a method that calculated the single leaf area as the product of the length [50], width, and coefficient (the coefficient was 0.5 for an unfurled leaf and 0.75 for a fully expanded leaf).
4.5. Factor of Soil
Soil alkaline protease (ALPT) was determined by ninhydrin colorimetry. Soil alkaline phosphatase (ALP) was determined using the inorganic phosphorus content method. Soil urease (SUE) was determined by the sodium phenol-sodium hypochlorite colorimetric method. Soil cellulase (SCL) and soil sucrase (SSC) were determined by 3,5-dinitrosalicylic acid colorimetry. Soil catalase (CAT) was determined by potassium permanganate titration [51]. Soil pH value was determined by a pH meter (PH-3C, REX, Shanghai) after mixing soil and water at 1:5. Soil total salt content was determined by the mass method. Soil total nitrogen (TN) was determined by the semi-micro-Kjeldahl method. Soil available nitrogen (AN) was determined by the alkaline hydrolysis diffusion method. Soil-available phosphorus (AP) was determined by the colorimetric method of molybdenum–antimony resistance extraction with sodium bicarbonate. Soil available potassium (AK) was determined by an ammonium acetate extraction flame photometer. Soil organic carbon (SOC) was determined by the potassium dichromate volumetric and external heating methods [52]. Soil microbial carbon and nitrogen (MBC and MBN, respectively) were determined by the fumigation extraction method. Soil electrical conductivity (EC) was determined using the electrode method. Exchangeable Na+ (E. Na+) was determined by ammonium acetate–ammonium hydroxide exchange flame spectrophotometry. CO32−, HCO3−, Cl−, and SO42− in the soil were determined by potentiometric titration. Ca2+ and Mg2+ cations were determined by EDTA titration, and Na+ and K+ ions by the differential method [51].
4.6. Illumina MiSeq Sequencing Analysis
Total microbial community DNA was extracted from soil samples using a soil DNA kit (Omega Bio-tek, Norcross, GA, USA). DNA extraction quality was detected by electrophoresis on 1% agarose gel. Primers 338F (5′-ACTCCTACGGGAGGCAGCAGCAG-3′) and 806R (5′-GGACTACHVGGGTWTCTAAT-3′) were used to perform the 338F-806R region of the bacterial 16S rRNA gene. Primers ITS1F (5′-CTTGGTCATTTAGAGGAAGTAA-3′) and ITS2R (5′-GCTGCGTTCTTCATCGATGC-3′) were used to perform the region of the fungal ITS rRNA gene. Sequencing was performed using the NEXTflexTM Rapid DNA-Seq Kit (Bioo Scientific, TX, USA) and Illumina MiSeq PE300 platform (Shanghai Megi Biomedical Technology Co., Ltd., Shanghai, China). For sequencing data analysis, fastp [53] was used for the quality control of the original sequencing sequence, and FLASH [54] for sequence splicing. After optimizing the sequences using UPARSE [55], and the chimeras were eliminated. The RDP classifier [56] was used to annotate the species classification of each sequence. The three replicates were performed for each treatment. The original readings obtained in this experiment had been deposited into the National Center for Biotechnology Information Serial Read Archive database with entry numbers PRJNA1150412.
4.7. Statistical Analysis
The characteristics of strains, growth characteristics of maize seedlings, soil enzyme activity, and soil chemical properties were analyzed by variance analysis. Fisher’s minimum significant difference test (α = 0.05) was used to compare the group variance. The α-diversity index (Chao1 and Shannon, and Simpson indices) of soil samples was calculated using QIIME. Differences in microbial community composition were analyzed using principal coordinate analysis (PCoA) based on the Bray–Curtis difference matrix and evaluated by permutational multivariate analysis of variance (PERMANOVA) with a weighted Bray–Curtis distance measure. The β-mean nearest classification distance (β-nearest taxon index) value for the ecological assembly process of a zero-model microbial community was calculated using the zero-modeling method using the “picante” package in R (4.4.3) software [57]. The assembly process of bacterial and fungal communities was characterized by five assembly processes: homogeneous selection, variable selection, homogeneous dispersion, dispersion limitation, and drift [58]. The neutral community model (NCM) was mainly used to quantify the ecological importance of stochastic processes [59]. The R2 value represented the overall goodness-of-fit of the model within a 95% confidence interval; the higher the value, the greater the impact of random processes on microbial communities [60].
The co-occurrence network was constructed by calculating the Spearman correlation matrix using the packages “hmisc”, “psych”, and “igraph” in R software. The p values of the correlation matrix were adjusted by the Benjamini–Hochberg method. The network was constructed using significant correlations (p < 0.05; R > 0.5) for pairs of ASVs and visualized using Gephi (version 0.9.2). The “microeco” package in R software was used to calculate the intramodule (Zi) and intermodule (Pi) connectivity indices of nodes, evaluate the key nodes in the network, and obtain the core species. The Zi-Pi value of the network node was calculated using R software “igraph” [61]. Module hubs, connectors, and network hubs were often considered critical nodes or keystone species that played an important role in maintaining the stability of the network structure [62]. The Mantel test was used as an NCM to test the correlation between community distance matrices (UniFrac distance matrices) and environmental variable distance matrices through the “corrplot” package in R software. Using random forest [RF; mean square error (MSE)] modeling, the importance of predictor variables was evaluated by assessing the decrease in prediction accuracy, and the importance and statistical significance of each predictor variable were determined using the “frPermute” package in R software. The importance of the model and the cross-validated R2 respond to the 1000 permutation evaluation values of the variable via the “A3” package. The structural equation model [partial least-squares path model (PLS-PM)] was used to investigate the key factors of improving saline tolerance of maize seedlings without treatment. The R2 represented the percentage of variables explained by other variables, and PLS-PM was built using the “plspm” package in R software.
5. Conclusions
This study showed that Klebsiella sp. and Pseudomonas sp. could reduce the saline stress of maize seedlings and promote their growth. On the one hand, Klebsiella and Pseudomonas neutralize salt and alkali ions in the soil by metabolizing EPS and ACC, reducing soil EC content, reducing soil salt and alkali degrees, enhancing soil enzyme activity, improving soil carbon and nitrogen cycle efficiency, and establishing a resistant and growth-promoting soil environment. On the other hand, Klebsiella and Pseudomonas improved the saline tolerance of maize by regulating rhizosphere soil bacterial diversity. The co-occurrence network found that Klebsiella and Pseudomonas became the central hub of the root microbial network of maize seedlings. They established a stable relationship with other indigenous microorganisms and produced rich IAA, promoting normal maize seedling growth under saline stress. The combination of different treatments with composite microbial communities (GF2 + GF7) was the most effective in promoting plant growth and improving saline soil effects. The findings of this research provide a theoretical basis for using saline–alkaline-tolerant bacteria to promote maize seedling growth.
Supplementary Materials
The following supporting information can be downloaded at: https://www.mdpi.com/article/10.3390/plants14030436/s1, Table S1: Sequence number and base number for each sample; Table S2: Soil characteristics and planting varieties under different treatments; Table S3: Analysis of the proportion of soil bacterial and fungal community composition under different inoculation treatments; Table S4: Interaction analysis of co-occurrence networks of soil bacteria and fungi under different fertilization treatments; Table S5: Analysis of key species in co-occurrence network of soil bacteria and fungi under different fertilization treatments; Table S6: S Analysis of the core hub of soil bacteria and fungi under different fertilization treatments under Zi-Pi model.
Author Contributions
Conceptualization and investigation, X.Z., D.L. and X.Y.; methodology, X.Y., J.Q. and Q.B.; software, X.Z., T.M. and X.Y.; formal analysis, J.Q., Q.B. and D.L.; investigation, X.Z., D.L., J.Q. and T.M.; resources, J.G.; data curation, X.Y.; writing—original draft, X.Z. and X.Y.; writing—review and editing, J.G., J.Q., Q.B., T.M. and D.L.; supervision, J.G.; project administration, J.Q. and Q.B.; funding acquisition, X.Y. and J.G. All authors have read and agreed to the published version of the manuscript.
Funding
This work was supported by the National Key Research and Development Program of China (2023YFD2301801, 2023YFD1501500-01), the National Maize Industry Technology System (CARS-02-74), the National Natural Science Foundation of China (32260532,32060434), the Science and Technology Program of Inner Mongolia Autonomous Region (2023KYPT0023), the Inner Mongolia Natural Science Foundation (2024MS03052), the Inner Mongolia Autonomous Region Carbon peak and Carbon Neutrality Special Project (STZX202304), and the Inner Mongolia Autonomous Region Universities Basic Research Fund (BR22-11-07).
Data Availability Statement
The sequence data have been submitted to the National Center for Biotechnology Information (NCBI) in the Sequence Access Archive (SRA) database (accession number: PRJNA1150412, https://www.ncbi.nlm.nih.gov/bioproject/PRJNA1150412, accessed on 30 January 2025).
Conflicts of Interest
The authors declare no conflicts of interest.
References
- Egamberdieva, D.; Wirth, S.; Bellingrath-Kimura, S.D.; Mishra, J.; Arora, N.K. Salt-Tolerant Plant Growth Promoting Rhizobacteria for Enhancing Crop Productivity of Saline Soils. Front. Microbiol. 2019, 10, 2791. [Google Scholar] [CrossRef]
- Li, Y.; Narayanan, M.; Shi, X.; Chen, X.; Li, Z.; Ma, Y. Biofilms formation in plant growth-promoting bacteria for alleviating agro-environmental stress. Sci. Total Environ. 2024, 907, 167774. [Google Scholar] [CrossRef] [PubMed]
- Vurukonda, S.S.; Vardharajula, S.; Shrivastava, M.; Sk, Z.A. Enhancement of drought stress tolerance in crops by plant growth promoting rhizobacteria. Microbiol. Res. 2016, 184, 13–24. [Google Scholar] [CrossRef]
- Yasin, N.A.; Akram, W.; Khan, W.U.; Ahmad, S.R.; Ahmad, A.; Ali, A. Halotolerant plant-growth promoting rhizobacteria modulate gene expression and osmolyte production to improve salinity tolerance and growth in Capsicum annum L. Environ. Sci. Pollut. Res. Int. 2018, 25, 23236–23250. [Google Scholar] [CrossRef] [PubMed]
- Wang, L.; Ning, C.; Pan, T.; Cai, K. Role of Silica Nanoparticles in Abiotic and Biotic Stress Tolerance in Plants: A Review. Int. J. Mol. Sci. 2022, 23, 1947. [Google Scholar] [CrossRef] [PubMed]
- He, H.; Hu, Q.; Li, R.; Pan, X.; Huang, B.; He, Q. Regional gap in maize production, climate and resource utilization in China. Field Crops Res. 2020, 254, 107830. [Google Scholar] [CrossRef]
- Zhao, W.; Zhou, Q.; Tian, Z.; Cui, Y.; Liang, Y.; Wang, H. Apply biochar to ameliorate soda saline-alkali land, improve soil function and increase corn nutrient availability in the Songnen Plain. Sci. Total Environ. 2020, 722, 137428. [Google Scholar] [CrossRef]
- Fu, J.; Xiao, Y.; Wang, Y.f.; Liu, Z.; Yang, K. Saline–alkaline stress in growing maize seedlings is alleviated by Trichoderma asperellum through regulation of the soil environment. Sci. Rep. 2021, 11, 11152. [Google Scholar] [CrossRef] [PubMed]
- Yang, L.; Wang, Y.; Yang, K. Klebsiella variicola improves the antioxidant ability of maize seedlings under saline-alkali stress. PeerJ 2021, 9, e11963. [Google Scholar] [CrossRef]
- Waheed, Z.; Iqbal, S.; Irfan, M.; Jabeen, K.; Ilyas, N.; Al-Qahtani, W.H. Isolation and characterization of PGPR obtained from different arsenic-contaminated soil samples and their effect on photosynthetic characters of maize grown under arsenic stress. Environ. Sci. Pollut. Res. Int. 2024, 31, 18656–18671. [Google Scholar] [CrossRef]
- Teo, H.M.; A., A.; A., W.A.; Bhubalan, K.; S., S.N.M.; C. I., M.S.; Ng, L.C. Setting a Plausible Route for Saline Soil-Based Crop Cultivations by Application of Beneficial Halophyte-Associated Bacteria: A Review. Microorganisms 2022, 10, 657. [Google Scholar] [CrossRef] [PubMed]
- García, J.E.; Maroniche, G.; Creus, C.; Suárez-Rodríguez, R.; Ramirez-Trujillo, J.A.; Groppa, M.D. In vitro PGPR properties and osmotic tolerance of different Azospirillum native strains and their effects on growth of maize under drought stress. Microbiol. Res. 2017, 202, 21–29. [Google Scholar] [CrossRef]
- Sharma, S.; Kulkarni, J.; Jha, B. Halotolerant Rhizobacteria Promote Growth and Enhance Salinity Tolerance in Peanut. Front. Microbiol. 2016, 7, 1600. [Google Scholar] [CrossRef] [PubMed]
- Wang, C.; Pei, J.; Li, H.; Zhu, X.; Zhang, Y.; Wang, Y.; Li, W.; Wang, Z.; Liu, K.; Du, B.; et al. Mechanisms on salt tolerant of Paenibacillus polymyxa SC2 and its growth-promoting effects on maize seedlings under saline conditions. Microbiol. Res. 2024, 282, 127639. [Google Scholar] [CrossRef]
- Alexander, A.; Singh, V.K.; Mishra, A. Halotolerant PGPR Stenotrophomonas maltophilia BJ01 Induces Salt Tolerance by Modulating Physiology and Biochemical Activities of Arachis hypogaea. Front. Microbiol. 2020, 11, 568289. [Google Scholar] [CrossRef] [PubMed]
- Gao, N.; Yu, X.; Yang, S.; Li, Q.; Zhang, H.; Rajasekar, A.; Shen, W.; Senoo, K. Mitigation of N2O emission from granular organic fertilizer with alkali- and salt-resistant plant growth-promoting rhizobacteria. J. Appl. Microbiol. 2023, 134, lxad225. [Google Scholar] [CrossRef]
- Saeed, M.; Ilyas, N.; Jayachandran, K.; Shabir, S.; Akhtar, N.; Shahzad, A.; Sayyed, R.Z.; Bano, A. Advances in Biochar and PGPR engineering system for hydrocarbon degradation: A promising strategy for environmental remediation. Environ. Pollut. 2022, 305, 119282. [Google Scholar] [CrossRef] [PubMed]
- Xu, Y.; Tang, J.; Wang, Y.; He, X.; Tan, H.; Yu, Y.; Chen, Y.; Peng, W. Large-scale commercial cultivation of morels: Current state and perspectives. Appl. Microbiol. Biotechnol. 2022, 106, 4401–4412. [Google Scholar] [CrossRef] [PubMed]
- Benucci, G.M.N.; Longley, R.; Zhang, P.; Zhao, Q.; Bonito, G.; Yu, F. Microbial communities associated with the black morel Morchella sextelata cultivated in greenhouses. PeerJ 2019, 7, e7744. [Google Scholar] [CrossRef] [PubMed]
- Tan, H.; Liu, T.; Yu, Y.; Tang, J.; Jiang, L.; Martin, F.M.; Peng, W. Morel Production Related to Soil Microbial Diversity and Evenness. Microbiol. Spectr. 2021, 9, e0022921. [Google Scholar] [CrossRef] [PubMed]
- Carrasco, J.; Preston, G.M. Growing edible mushrooms: A conversation between bacteria and fungi. Environ. Microbiol. 2020, 22, 858–872. [Google Scholar] [CrossRef] [PubMed]
- Tian, F.; Hou, M.; Qiu, Y.; Zhang, T.; Yuan, Y. Salinity stress effects on transpiration and plant growth under different salinity soil levels based on thermal infrared remote (TIR) technique. Geoderma 2020, 357, 113961. [Google Scholar] [CrossRef]
- Bharti, N.; Pandey, S.S.; Barnawal, D.; Patel, V.K.; Kalra, A. Plant growth promoting rhizobacteria Dietzia natronolimnaea modulates the expression of stress responsive genes providing protection of wheat from salinity stress. Sci. Rep. 2016, 6, 34768. [Google Scholar] [CrossRef]
- Gao, Y.; Zou, H.; Wang, B.; Yuan, F. Progress and Applications of Plant Growth-Promoting Bacteria in Salt Tolerance of Crops. Int. J. Mol. Sci. 2022, 23, 7036. [Google Scholar] [CrossRef] [PubMed]
- Qin, Y.; Druzhinina, I.S.; Pan, X.; Yuan, Z. Microbially Mediated Plant Salt Tolerance and Microbiome-based Solutions for Saline Agriculture. Biotechnol. Adv. 2016, 34, 1245–1259. [Google Scholar] [CrossRef]
- Gontia, I.; Sapre, S.; Kachare, S.; Tiwari, S. Molecular diversity of 1-aminocyclopropane-1-carboxylate (ACC) deaminase producing PGPR from wheat (Triticum aestivum L.) rhizosphere. Plant Soil 2017, 414, 213–227. [Google Scholar] [CrossRef]
- Andrés-Barrao, C.; Alzubaidy, H.; Jalal, R.; Mariappan, K.G.; de Zélicourt, A.; Bokhari, A.; Artyukh, O.; Alwutayd, K.; Rawat, A.; Shekhawat, K.; et al. Coordinated bacterial and plant sulfur metabolism in Enterobacter sp. SA187–induced plant salt stress tolerance. Proc. Natl. Acad. Sci. USA 2021, 118, e2107417118. [Google Scholar] [CrossRef]
- Giannelli, G.; Potestio, S.; Visioli, G. The Contribution of PGPR in Salt Stress Tolerance in Crops: Unravelling the Molecular Mechanisms of Cross-Talk between Plant and Bacteria. Plants 2023, 12, 2197. [Google Scholar] [CrossRef] [PubMed]
- Li, Q.; Huang, Z.; Zhong, Z.; Bian, F.; Zhang, X. Integrated Genomics and Transcriptomics Provide Insights into Salt Stress Response in Bacillus subtilis ACP81 from Moso Bamboo Shoot (Phyllostachys praecox) Processing Waste. Microorganisms 2024, 12, 285. [Google Scholar] [CrossRef]
- Xiong, Y.W.; Li, X.W.; Wang, T.T.; Gong, Y.; Zhang, C.M.; Xing, K.; Qin, S. Root exudates-driven rhizosphere recruitment of the plant growth-promoting rhizobacterium Bacillus flexus KLBMP 4941 and its growth-promoting effect on the coastal halophyte Limonium sinense under salt stress. Ecotoxicol. Environ. Saf. 2020, 194, 110374. [Google Scholar] [CrossRef] [PubMed]
- Wang, X.; Zhang, Z.; Yu, Z.; Shen, G.; Cheng, H.; Tao, S. Composition and diversity of soil microbial communities in the alpine wetland and alpine forest ecosystems on the Tibetan Plateau. Sci. Total Environ. 2020, 747, 141358. [Google Scholar] [CrossRef]
- Wang, S.; Sun, L.; Ling, N.; Zhu, C.; Chi, F.; Li, W.; Hao, X.; Zhang, W.; Bian, J.; Chen, L.; et al. Exploring Soil Factors Determining Composition and Structure of the Bacterial Communities in Saline-Alkali Soils of Songnen Plain. Front. Microbiol. 2019, 10, 2902. [Google Scholar] [CrossRef]
- Zeng, Q.; An, S.; Liu, Y. Soil bacterial community response to vegetation succession after fencing in the grassland of China. Sci. Total Environ. 2017, 609, 2–10. [Google Scholar] [CrossRef] [PubMed]
- Zhang, C.; Liu, G.; Xue, S.; Wang, G. Soil bacterial community dynamics reflect changes in plant community and soil properties during the secondary succession of abandoned farmland in the Loess Plateau. Soil Biol. Biochem. 2016, 97, 40–49. [Google Scholar] [CrossRef]
- Liu, B.; Dai, Y.; Cheng, X.; He, X.; Bei, Q.; Wang, Y.; Zhou, Y.; Zhu, B.; Zhang, K.; Tian, X.; et al. Straw mulch improves soil carbon and nitrogen cycle by mediating microbial community structure and function in the maize field. Front. Microbiol. 2023, 14, 1217966. [Google Scholar] [CrossRef] [PubMed]
- Lv, B.; Sun, Y.; Chen, Y.; Yu, H.; Mo, Q. First Report of Lecanicillium aphanocladii causing rot of Morchella sextelata in China. Plant Dis. 2022, 25, 3202. [Google Scholar] [CrossRef] [PubMed]
- Li, J.; Luo, C.; Zhang, D.; Zhao, X.; Dai, Y.; Cai, X.; Zhang, G. The catabolic pathways of in situ rhizosphere PAH degraders and the main factors driving PAH rhizoremediation in oil-contaminated soil. Environ. Microbiol. 2021, 23, 7042–7055. [Google Scholar] [CrossRef] [PubMed]
- Wang, C.; Jia, Y.; Li, J.; Wang, Y.; Niu, H.; Qiu, H.; Li, X.; Fang, W.; Qiu, Z. Effect of bioaugmentation on tetracyclines influenced chicken manure composting and antibiotics resistance. Sci. Total Environ. 2023, 867, 161457. [Google Scholar] [CrossRef] [PubMed]
- Afridi, M.S.; Amna; Sumaira; Mahmood, T.; Salam, A.; Mukhtar, T.; Mehmood, S.; Ali, J.; Khatoon, Z.; Bibi, M.; et al. Induction of tolerance to salinity in wheat genotypes by plant growth promoting endophytes: Involvement of ACC deaminase and antioxidant enzymes. Plant Physiol. Biochem. 2019, 139, 569–577. [Google Scholar] [CrossRef] [PubMed]
- Zhang, S.; Gan, Y.; Xu, B. Mechanisms of the IAA and ACC-deaminase producing strain of Trichoderma longibrachiatum T6 in enhancing wheat seedling tolerance to NaCl stress. BMC Plant Biol. 2019, 19, 22. [Google Scholar] [CrossRef] [PubMed]
- Hmaeid, N.; Wali, M.; Metoui-Ben Mahmoud, O.; Pueyo, J.J.; Ghnaya, T.; Abdelly, C. Efficient rhizobacteria promote growth and alleviate NaCl-induced stress in the plant species Sulla carnosa. Appl. Soil Ecol. 2019, 133, 104–113. [Google Scholar] [CrossRef]
- Bistgani, Z.E.; Hashemi, M.; DaCosta, M.; Craker, L.; Maggi, F.; Morshedloo, M.R. Effect of salinity stress on the physiological characteristics, phenolic compounds and antioxidant activity of Thymus vulgaris L. and Thymus daenensis Celak. Ind. Crops Prod. 2019, 135, 311–320. [Google Scholar] [CrossRef]
- Zhang, S.; Han, S.; Gao, J.; Yu, X.; Hu, S. Low-temperature corn straw-degrading bacterial agent and moisture effects on indigenous microbes. Appl. Microbiol. Biotechnol. 2023, 107, 5241–5255. [Google Scholar] [CrossRef]
- Patten, C.L.; Glick, B.R. Role of Pseudomonas putida indoleacetic acid in development of the host plant root system. Appl. Environ. Microbiol. 2002, 68, 3795–3801. [Google Scholar] [CrossRef]
- Jońca, J.; León Fernández, V.; Thouron, D.; Paulmier, A.; Graco, M.; Garçon, V. Phosphate determination in seawater: Toward an autonomous electrochemical method. Talanta 2011, 87, 161–167. [Google Scholar] [CrossRef] [PubMed]
- Schwyn, B.; Neilands, J.B. Universal chemical assay for the detection and determination of siderophores. Anal. Biochem. 1987, 160, 47–56. [Google Scholar] [CrossRef]
- Bal, H.B.; Nayak, L.; Das, S.; Adhya, T.K. Isolation of ACC deaminase producing PGPR from rice rhizosphere and evaluating their plant growth promoting activity under salt stress. Plant Soil 2013, 366, 93–105. [Google Scholar] [CrossRef]
- Sharma, B.; Shukla, P.A. Comparative Analysis of Heavy Metal Bioaccumulation and Functional Gene Annotation Towards Multiple Metal Resistant Potential by Ochrobactrum intermedium BPS-20 and Ochrobactrum ciceri BPS-26. Bioresour. Technol. 2020, 320, 124330. [Google Scholar] [CrossRef]
- Chang, Q.; Diao, F.W.; Wang, Q.F.; Pan, L.; Dang, Z.H.; Guo, W. Effects of arbuscular mycorrhizal symbiosis on growth, nutrient and metal uptake by maize seedlings (Zea mays L.) grown in soils spiked with Lanthanum and Cadmium. Environ. Pollut. 2018, 241, 607–615. [Google Scholar] [CrossRef]
- Rogers, C.A.; Chen, J.M.; Croft, H.; Gonsamo, A.; Luo, X.; Bartlett, P.; Staebler, R.M. Daily leaf area index from photosynthetically active radiation for long term records of canopy structure and leaf phenology. Agric. For. Meteorol. 2021, 15, 108407. [Google Scholar] [CrossRef]
- Bao, S.D. Soil Agrochemical Analysis, 3rd ed.; China Agriculture Press: Beijing, China, 2020; pp. 26–189. [Google Scholar]
- Hollister, E.B.; Schadt, C.W.; Palumbo, A.V.; James Ansley, R.; Boutton, T.W. Structural and functional diversity of soil bacterial and fungal communities following woody plant encroachment in the southern Great Plains. Soil Biol. Biochem. 2010, 42, 1816–1824. [Google Scholar] [CrossRef]
- Chen, S.; Zhou, Y.; Chen, Y.; Gu, J. fastp: An ultra-fast all-in-one FASTQ preprocessor. Bioinformatics 2018, 34, i884–i890. [Google Scholar] [CrossRef] [PubMed]
- Magoč, T.; Salzberg, S.L. FLASH: Fast length adjustment of short reads to improve genome assemblies. Bioinformatics 2011, 27, 2957–2963. [Google Scholar] [CrossRef] [PubMed]
- Edgar, R.C. UPARSE: Highly accurate OTU sequences from microbial amplicon reads. Nat. Methods 2013, 10, 996–998. [Google Scholar] [CrossRef] [PubMed]
- Wang, Q.; Garrity, G.M.; Tiedje, J.M.; Cole, J.R. Naive Bayesian classifier for rapid assignment of rRNA sequences into the new bacterial taxonomy. Appl. Environ. Microbiol. 2007, 73, 5261–5267. [Google Scholar] [CrossRef] [PubMed]
- Xun, W.; Liu, Y.; Li, W.; Ren, Y.; Xiong, W.; Xu, Z.; Zhang, N.; Miao, Y.; Shen, Q.; Zhang, R. Specialized metabolic functions of keystone taxa sustain soil microbiome stability. Microbiome 2021, 9, 35. [Google Scholar] [CrossRef] [PubMed]
- Deng, Q.; Cheng, X.; Hui, D.; Zhang, Q.; Li, M.; Zhang, Q. Soil microbial community and its interaction with soil carbon and nitrogen dynamics following afforestation in central China. Sci. Total Environ. 2016, 541, 230–237. [Google Scholar] [CrossRef]
- Sloan, W.T.; Lunn, M.; Woodcock, S.; Head, I.M.; Nee, S.; Curtis, T.P. Quantifying the roles of immigration and chance in shaping prokaryote community structure. Environ. Microbiol. 2006, 8, 732–740. [Google Scholar] [CrossRef] [PubMed]
- Burns, A.R.; Stephens, W.Z.; Stagaman, K.; Wong, S.; Rawls, J.F.; Guillemin, K.; Bohannan, B.J. Contribution of neutral processes to the assembly of gut microbial communities in the zebrafish over host development. ISME J. 2016, 10, 655–664. [Google Scholar] [CrossRef]
- Olesen, J.M.; Bascompte, J.; Dupont, Y.L.; Jordano, P. The modularity of pollination networks. Proc. Natl. Acad. Sci. USA 2007, 104, 19891–19896. [Google Scholar] [CrossRef]
- Deng, Y.; Jiang, Y.H.; Yang, Y.; He, Z.; Luo, F.; Zhou, J. Molecular ecological network analyses. BMC Bioinform. 2012, 13, 113. [Google Scholar] [CrossRef] [PubMed]
Disclaimer/Publisher’s Note: The statements, opinions and data contained in all publications are solely those of the individual author(s) and contributor(s) and not of MDPI and/or the editor(s). MDPI and/or the editor(s) disclaim responsibility for any injury to people or property resulting from any ideas, methods, instructions or products referred to in the content. |
© 2025 by the authors. Licensee MDPI, Basel, Switzerland. This article is an open access article distributed under the terms and conditions of the Creative Commons Attribution (CC BY) license (https://creativecommons.org/licenses/by/4.0/).







