Dual Regulation of Ionic Effect on Zostera marina L. Seed Germination and Leaf Differentiation in Low-Salinity Conditions
Abstract
1. Introduction
2. Materials and Methods
2.1. Experimental Materials
2.2. Experimental Design
2.3. Sample Collection and Determination
2.4. Morphological Analysis
2.5. Statistical Analysis
3. Results
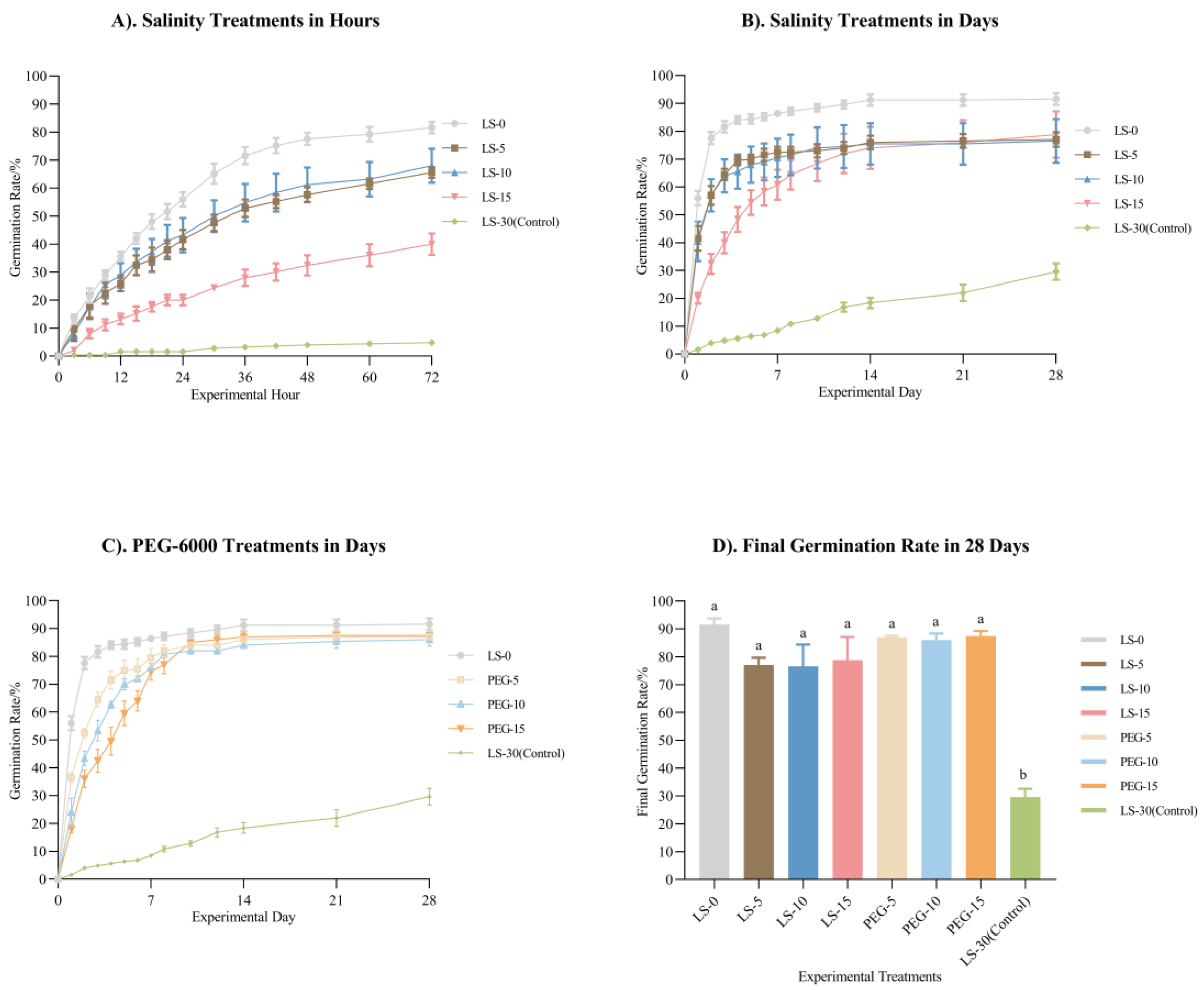
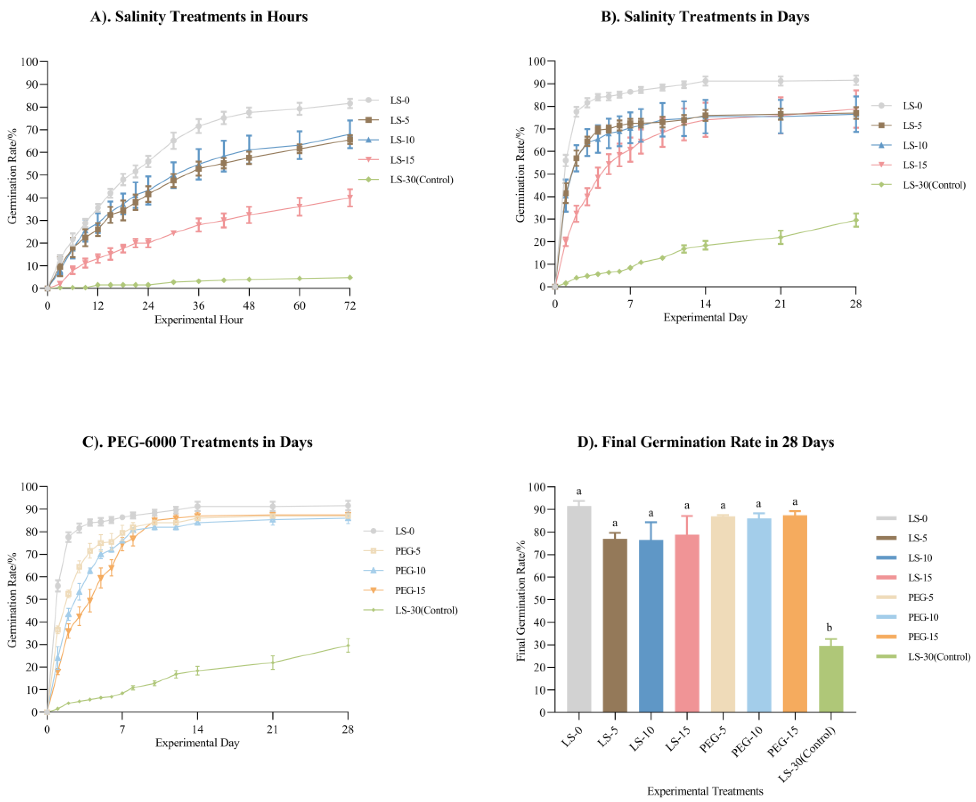
3.1. Effects of Salinity and Osmotic Pressure on Seed Germination
3.2. Effects of Salinity and Osmotic Pressure on Seedling Growth
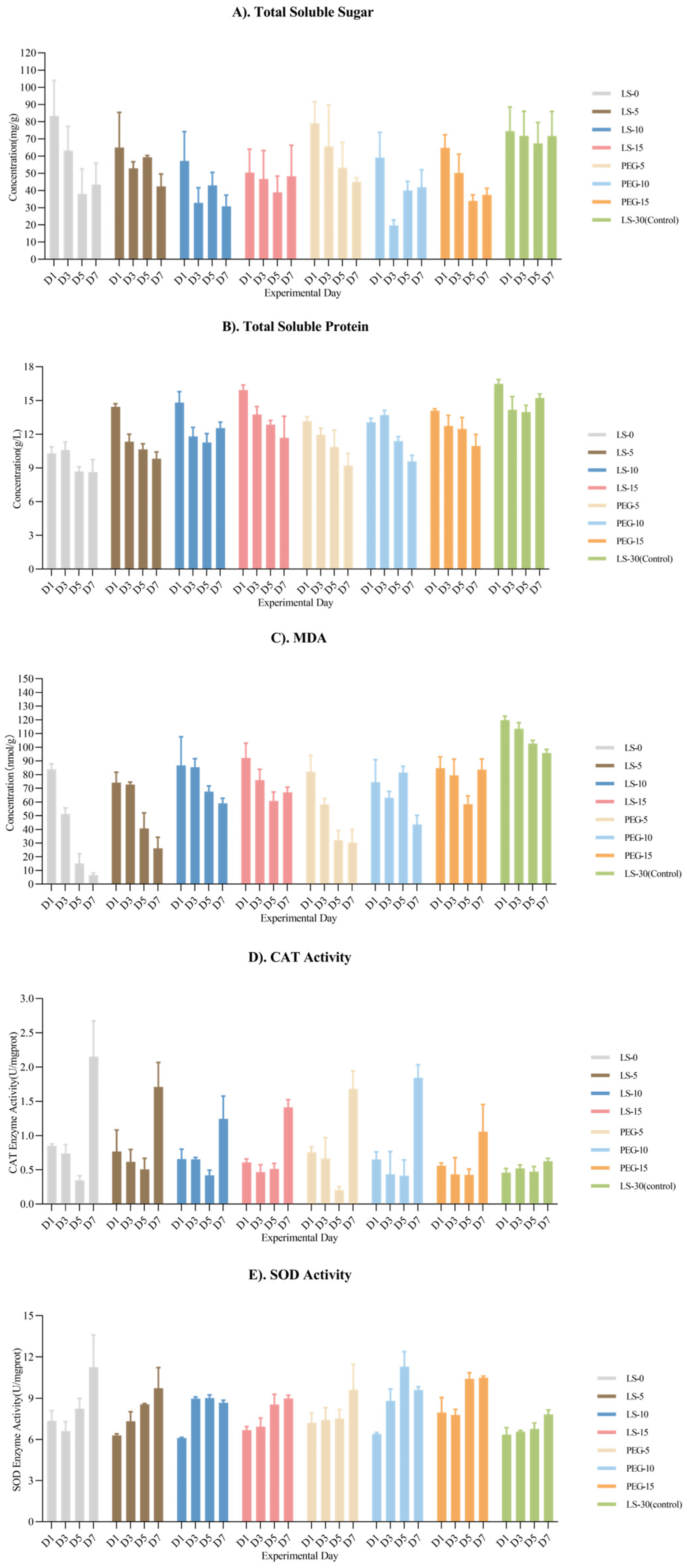
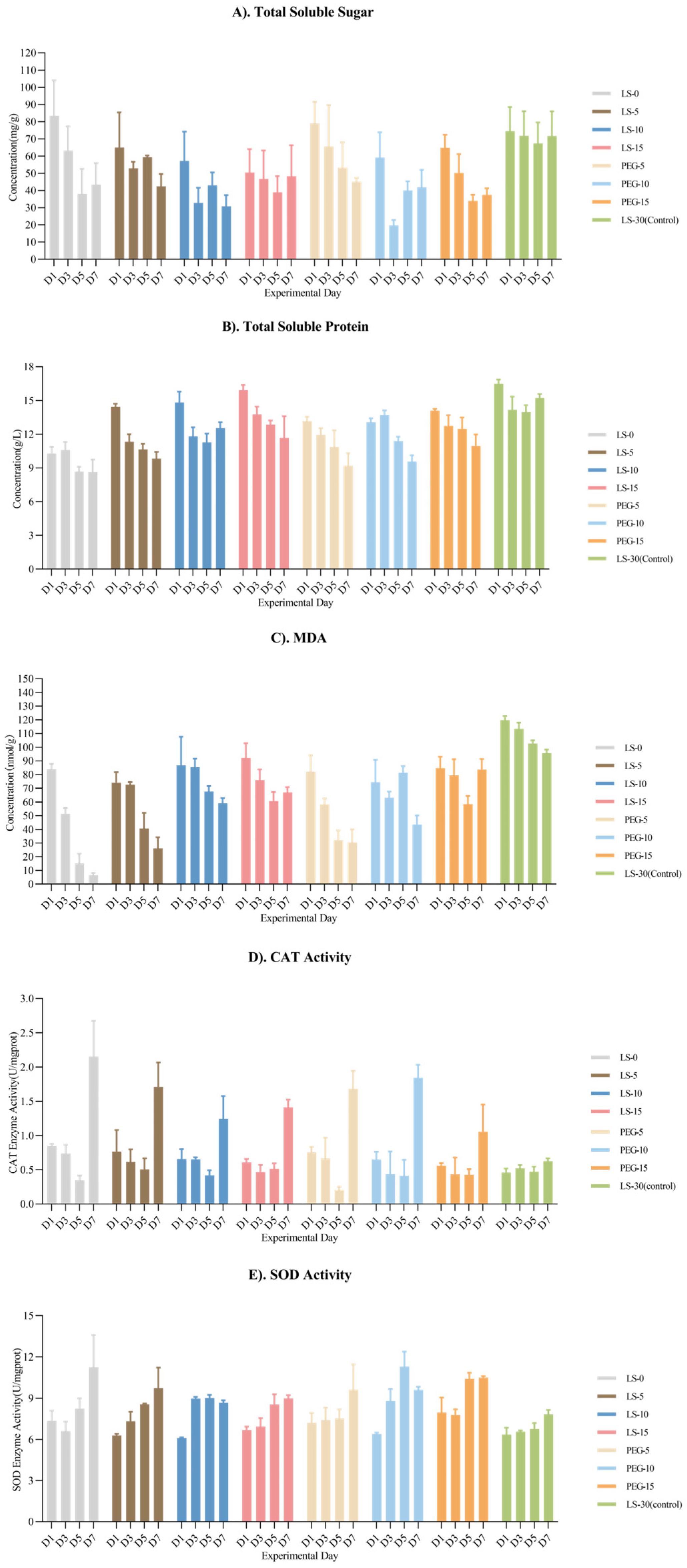
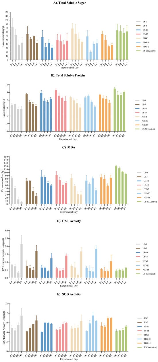
3.3. Effects of Salinity and Osmotic Pressure on Biochemical Traits
4. Discussion
4.1. Effects of Different Salinity Levels and Osmotic Pressures on Seed Germination
4.2. Effects of Different Salinity Levels and Osmotic Pressures on Seedling Growth
4.3. Effects of Different Salinity Levels and Osmotic Pressures on Biochemical Traits
5. Conclusions
Author Contributions
Funding
Data Availability Statement
Acknowledgments
Conflicts of Interest
References
- Duarte, C.M.; Chiscano, C.L. Seagrass biomass and production: A reassessment. Aquat. Bot. 1999, 65, 159–174. [Google Scholar] [CrossRef]
- Apostoloumi, C.; Malea, P.; Kevrekidis, T. Principles and concepts about seagrasses: Towards a sustainable future for seagrass ecosystems. Mar. Pollut. Bull. 2021, 173, 112936. [Google Scholar] [CrossRef] [PubMed]
- Du, J.; Hu, W.; Nagelkerken, I.; Sangsawang, L.; Loh, K.H.; Ooi, J.L.-S.; Liao, J.; Zheng, X.; Qiu, S.; Chen, B. Seagrass meadows provide multiple benefits to adjacent coral reefs through various microhabitat functions. Ecosyst. Health Sustain. 2020, 6, 1812433. [Google Scholar] [CrossRef]
- Grech, A.; Chartrand-Miller, K.; Erftemeijer, P.; Fonseca, M.; McKenzie, L.; Rasheed, M.; Taylor, H.; Coles, R. A comparison of threats, vulnerabilities and management approaches in global seagrass bioregions. Environ. Res. Lett. 2012, 7, 024006. [Google Scholar] [CrossRef]
- Lewis, N.S.; Henkel, S.K. Characterization of Ecosystem Structure within Transplanted and Natural Eelgrass (Zostera marina) Beds. Northwest Sci. 2016, 90, 355–375. [Google Scholar] [CrossRef]
- Staehr, P.A.; Goke, C.; Halbach, A.M.; Krause-Jensen, D.; Timmermann, K.; Upadhyay, S.; Orberg, S.B. Habitat Model of Eelgrass in Danish Coastal Waters: Development, Validation and Management Perspectives. Front. Mar. Sci. 2019, 6, 175. [Google Scholar] [CrossRef]
- Li, S.; Fan, H.; Qiu, G.; Shi, Y. Review on research of seagrass beds restoration. Acta Ecol. Sin. 2010, 30, 2443–2453. [Google Scholar]
- Li, W.-T.; Liang, N.; Zhan, J.; Wang, H.; Zhang, P. Morphological and anatomical characteristics of eelgrass Zostera marina L. at two distinct environments of Shandong Peninsula, China: An implication of adaptation strategy of seagrasses. Aquat. Bot. 2023, 186, 103612. [Google Scholar] [CrossRef]
- Liu, M.; Wang, X.; Liu, X.; Zhang, Y.; Yue, S.; Zhang, X.; Xu, S.; Zhou, Y. Variation in seed traits among different eelgrass populations in China. Glob. Ecol. Conserv. 2025, 57, e03375. [Google Scholar] [CrossRef]
- Carus, J.; Arndt, C.; Schroeder, B.; Thom, M.; Villanueva, R.; Paul, M. Using Artificial Seagrass for Promoting Positive Feedback Mechanisms in Seagrass Restoration. Front. Mar. Sci. 2021, 8, 546661. [Google Scholar] [CrossRef]
- Nishijima, W.; Nakano, Y.; Hizon-Fradejas, A.B.; Nakai, S. Evaluation of substrates for constructing beds for the marine macrophyte Zostera marina L. Ecol. Eng. 2015, 83, 43–48. [Google Scholar] [CrossRef]
- Zhang, Y.-H.; Zhao, X.; Tu, Z.; Yan, W.-J.; Zhao, Q.; Zhang, P.-D. Propagating eelgrass (Zostera marina) from cuttings in land-sea combination systems: A novel method to improve the sustainability of seagrass restoration. Restor. Ecol. 2024, 32, e14103. [Google Scholar] [CrossRef]
- Wang, H.; Zhang, Y.; Li, W.; Zhang, P. Effects of Different Cultivation Methods on Seedling Establishment and Physiology of the Eelgrass Zostera marina. Prog. Fish. Sci. 2023, 44, 239–249. [Google Scholar]
- Liu Yunlong, Z.X. The effects of salinity on seed germination and seedling development of the seagrass, Zostera marina L. Haiyang Xuebao 2016, 38, 104–111. [Google Scholar]
- Liu, Y.; Zhang, X.; Song, W.; Wang, Z. Artificial seed germination and seedling production of Zostera marina L. by salinity manipulation. Acta Oceanol. Sin. 2016, 35, 99–105. [Google Scholar] [CrossRef]
- van Katwijk, M.M.; Cronau, R.J.T.; Lamers, L.P.M.; Kamermans, P.; van Tussenbroek, B.I.; de Jong, D.J. Salinity-Induced Extinction of Zostera marina in Lake Grevelingen? How Strong Habitat Modification May Require Introduction of a Suitable Ecotype. Sustainability 2023, 15, 3472. [Google Scholar] [CrossRef]
- Abe, H.; Namba, M.; Ito, M.A.; Nakaoka, M. Effects of low salinity water inflow on eelgrass and cultured bivalves in subarctic lagoons: Analysis using hydrodynamic model. Reg. Stud. Mar. Sci. 2024, 74, 103543. [Google Scholar] [CrossRef]
- Chen, J.; Li, X.; Wang, H.; Tang, L.; Xue, S.; Xin, J.; Zang, Y.; Tang, X. The contribution of seasonal variations and Zostera marina presence to the bacterial community assembly of seagrass bed sediments. BMC Microbiol. 2024, 24, 405. [Google Scholar] [CrossRef] [PubMed]
- Tanner, R.L.; Faye, L.E.; Stillman, J.H. Temperature and salinity sensitivity of respiration, grazing, and defecation rates in the estuarine eelgrass sea hare, Phyllaplysia taylori. Mar. Biol. 2019, 166, 109. [Google Scholar] [CrossRef]
- Hosseni, A.; Ashbaugh, H.S. Osmotic Force Balance Evaluation of Aqueous Electrolyte Osmotic Pressures and Chemical Potentials. J. Chem. Theory Comput. 2023, 19, 8826–8838. [Google Scholar] [CrossRef] [PubMed]
- Jia, R.; Lei, M.; Xu, J.; Lu, R.; Huang, X. Research Progress of Ca2+ Channel and the Effect of Ca2+ on Plant Resistance Mechanism in Plant Cells. Plant Physiol. J. 2014, 50, 1791–1800. [Google Scholar]
- Rubio, F.; Flores, P.; Navarro, J.M.; Martinez, V. Effects of Ca2+, K+ and cGMP on Na+ uptake in pepper plants. Plant Sci. 2003, 165, 1043–1049. [Google Scholar] [CrossRef]
- Wu, H. Plant salt tolerance and Na+ sensing and transport. Crop J. 2018, 6, 215–225. [Google Scholar] [CrossRef]
- Wang, C.-F.; Han, G.-L.; Yang, Z.-R.; Li, Y.-X.; Wang, B.-S. Plant Salinity Sensors: Current Understanding and Future Directions. Front. Plant Sci. 2022, 13, 859224. [Google Scholar] [CrossRef]
- Zhao, S.; Zhang, Q.; Liu, M.; Zhou, H.; Ma, C.; Wang, P. Regulation of Plant Responses to Salt Stress. Int. J. Mol. Sci. 2021, 22, 4609. [Google Scholar] [CrossRef] [PubMed]
- Garrote-Moreno, A.; Sandoval-Gil, J.M.; Ruiz, J.M.; Marín-Guirao, L.; Bernardeau-Esteller, J.; Muñoz, R.G.; Sánchez-Lizaso, J.L. Plant water relations and ion homoeostasis of Mediterranean seagrasses (Posidonia oceanica and Cymodocea nodosa) in response to hypersaline stress. Mar. Biol. 2014, 162, 55–68. [Google Scholar] [CrossRef]
- Han, H.; Jiang, X.; Pan, J.; Cong, W.; Sun, J.; Zhang, Z.; Song, S.; Sheng, B.; Wang, Q.; Li, X. Characteristics of seagrass seed and restoration of seagrass bed. Acta Phytoecol. Sin. 2012, 36, 909–917. [Google Scholar] [CrossRef]
- Olsen, J.L.; Rouze, P.; Verhelst, B.; Lin, Y.-C.; Bayer, T.; Collen, J.; Dattolo, E.; De Paoli, E.; Dittami, S.; Maumus, F.; et al. The genome of the seagrass Zostera marina reveals angiosperm adaptation to the sea. Nature 2016, 530, 331–335. [Google Scholar] [CrossRef] [PubMed]
- Zhang, Y.-H.; Yu, B.; Liu, Y.-C.; Ma, W.; Li, W.-T.; Zhang, P.-D. The influence of decreased salinity levels on the survival, growth and physiology of eelgrass Zostera marina. Mar. Environ. Res. 2022, 182, 105787. [Google Scholar] [CrossRef]
- Zhang, X.; Zhou, Y.; Adams, M.P.; Wang, F.; Xu, S.; Wang, P.; Liu, P.; Liu, X.; Yue, S. Plant morphology and seed germination responses of seagrass (Zostera japonica) to water depth and light availability in Ailian Bay, northern China. Mar. Environ. Res. 2020, 162, 105082. [Google Scholar] [CrossRef] [PubMed]
- Zhang, Y.; Yue, S.; Liu, M.; Wang, X.; Xu, S.; Zhang, X.; Zhou, Y. Combined transcriptome and proteome analysis reveal the key physiological processes in seed germination stimulated by decreased salinity in the seagrass Zostera marina L. BMC Plant Biol. 2023, 23, 605. [Google Scholar] [CrossRef] [PubMed]
- Burlyn, E.M.; Merrill, R.K. The Osmotic Potential of Polyethylene Glycol 6000. Plant Physiol. 1973, 51, 914–916. [Google Scholar]
- Weitbrecht, K.; Mueller, K.; Leubner-Metzger, G. First off the mark: Early seed germination. J. Exp. Bot. 2011, 62, 3289–3309. [Google Scholar] [CrossRef]
- Robert, J.O.; Kenneth, A.M. Seed germination and seedling growth of Zostera marina L. (eelgrass) in the chesapeake bay. Aquat. Bot. 1983, 15, 117–131. [Google Scholar]
- Park, J.-I.; Lee, K.-S.; Son, M.H. Germination Rate of Zostera marina and Phyllospadix japonicus Related to Environmental Factors. Korean J. Environ. Biol. 2012, 30, 280–285. [Google Scholar]
- Kaldy, J.E.; Shafer, D.J.; Ailstock, M.S.; Magoun, A.D. Effects of temperature, salinity and seed age on induction of Zostera japonica germination in North America, USA. Aquat. Bot. 2015, 126, 73–79. [Google Scholar] [CrossRef][Green Version]
- Lowell, A.; Hill, C.E.L.; Dupont, S.; Infantes, E.; Ramesh, K.; Peterson, B.; Govers, L.L.; Cox, T.E. Low pH enhances germination of eelgrass (Zostera marina L.) seeds despite ubiquitous presence of Phytophthora gemini. Aquat. Bot. 2024, 195, 103805. [Google Scholar] [CrossRef]
- Xu, S.; Zhou, Y.; Wang, P.; Wang, F.; Zhang, X.; Gu, R. Salinity and temperature significantly influence seed germination, seedling establishment, and seedling growth of eelgrass Zostera marina L. PeerJ 2016, 4, e2697. [Google Scholar] [CrossRef]
- Virk, G.; Snider, J.L.; Pilon, C. Associations between first true leaf physiology and seedling vigor in cotton under different field conditions. Crop Sci. 2020, 60, 404–418. [Google Scholar] [CrossRef]
- Ma, L.; Upadhyaya, M.K. Changes in leaf optical properties during tomato, common lamb’s-quarters, and redroot pigweed plant development. Agron. J. 2021, 113, 2534–2543. [Google Scholar] [CrossRef]
- Adams, J.B.; Bate, G.C. The Ecological Implications of Tolerance to Salinity by Ruppia cirrhosa (Petagna) Grande and Zostera capensis Setchell. Bot. Mar. 1994, 37, 449–456. [Google Scholar] [CrossRef]
- Deng, X.-F.; Zhang, Y.-H.; Liu, J.; Yu, B.; Li, H.-C.; Zhang, P.-D. An examination of seed germination and seedling growth of Zostera marina for planting-time selection in Rongcheng Bay, Shandong Peninsula, China. Mar. Pollut. Bull. 2022, 179, 113740. [Google Scholar] [CrossRef] [PubMed]
- Nonogaki, H.; Bassel, G.W.; Bewley, J.D. Germination-Still a mystery. Plant Sci. 2010, 179, 574–581. [Google Scholar] [CrossRef]
- Gholinejad, B.; Khashij, S.; Ghorbani, F.; Bandak, I.; Farajollahi, A. Effects of lead ions on germination, initial growth, and physiological characteristics of Lolium perenne L. species and its bioaccumulation potential. Environ. Sci. Pollut. Res. 2020, 27, 11155–11163. [Google Scholar] [CrossRef]
- Sun, H.; Qu, G.; Li, S.; Song, K.; Zhao, D.; Li, X.; Yang, P.; He, X.; Hu, T. Iron nanoparticles induced the growth and physio-chemical changes in Kobresia capillifolia seedlings. Plant Physiol. Biochem. 2023, 194, 15–28. [Google Scholar] [CrossRef]
- Wu, H.; Wan, X.; Niu, J.; Cao, Y.; Wang, S.; Zhang, Y.; Guo, Y.; Xu, H.; Xue, X.; Yao, J.; et al. Enhancing iron content and growth of cucumber seedlings with MgFe-LDHs under low-temperature stress. J. Nanobiotechnology 2024, 22, 268. [Google Scholar] [CrossRef] [PubMed]
- Atia, A.; Debez, A.; Barhoumi, Z.; Smaoui, A.; Abdelly, C. Effects of different salts and mannitol on seed imbibition, germination and ion content of Crithmum maritimum L. (Apiaceae). J. Biol. Res. Thessalon. 2011, 15, 37–45. [Google Scholar]
- Ciereszko, I. Regulatory roles of sugars in plant growth and development. Acta Soc. Bot. Pol. 2018, 87. [Google Scholar] [CrossRef]
- Song, Y.; Zhao, W.; Su, Z.; Guo, S.; Du, Y.; Song, X.; Shi, X.; Li, X.; Liu, Y.; Liu, Z. Effect of Pulsed Electric Field Treatment on Seed Germination and Seedling Growth of Scutellaria baicalensis. Agriculture 2024, 14, 158. [Google Scholar] [CrossRef]
- Touchette, B.W. Seagrass-salinity interactions: Physiological mechanisms used by submersed marine angiosperms for a life at sea. J. Exp. Mar. Biol. Ecol. 2007, 350, 194–215. [Google Scholar] [CrossRef]
- Sugiura, H.; Hiroe, Y.; Suzuki, T.; Maegawa, M. The carbohydrate catabolism of Zostera marina influenced by lower salinity during the pre-germination stage. Fish. Sci. 2009, 75, 1205–1217. [Google Scholar] [CrossRef]
- Salo, T.; Pedersen, M.F. Synergistic effects of altered salinity and temperature on estuarine eelgrass (Zostera marina) seedlings and clonal shoots. J. Exp. Mar. Biol. Ecol. 2014, 457, 143–150. [Google Scholar] [CrossRef]
- Zhu, M.; Zang, Y.; Zhang, X.; Shang, S.; Xue, S.; Chen, J.; Tang, X. Insights into the regulation of energy metabolism during the seed-to-seedling transition in marine angiosperm Zostera marina L.: Integrated metabolomic and transcriptomic analysis. Front. Plant Sci. 2023, 14, 1130292. [Google Scholar] [CrossRef] [PubMed]
- Zhao, M.; Zhang, H.; Yan, H.; Qiu, L.; Baskin, C.C. Mobilization and Role of Starch, Protein, and Fat Reserves during Seed Germination of Six Wild Grassland Species. Front. Plant Sci. 2018, 9, 234. [Google Scholar] [CrossRef] [PubMed]
- Ibrahim, E.A. Seed priming to alleviate salinity stress in germinating seeds. J. Plant Physiol. 2016, 192, 38–46. [Google Scholar] [CrossRef] [PubMed]
- Knieper, M.; Viehhauser, A.; Dietz, K.-J. Oxylipins and Reactive Carbonyls as Regulators of the Plant Redox and Reactive Oxygen Species Network under Stress. Antioxidants 2023, 12, 814. [Google Scholar] [CrossRef]
- Xu, M.; Ni, Y.; Tu, Y.; Wang, Y.; Zhang, Z.; Jiao, Y.; Zhang, X. A SCYL2 gene from Oryza sativa is involved in phytosterol accumulation and regulates plant growth and salt stress. Plant Sci. 2024, 343, 112062. [Google Scholar] [CrossRef] [PubMed]
- Mhamdi, A.; Van Breusegem, F. Reactive oxygen species in plant development. Development 2018, 145, dev164376. [Google Scholar] [CrossRef]




| Treatment | Condition |
|---|---|
| LS-0 | Salinity 0, 20 °C, dark |
| LS-5 | Salinity 5, 20 °C, dark |
| LS-10 | Salinity 10, 20 °C, dark |
| LS-15 | Salinity 15, 20 °C, dark |
| PEG-5 | 160.65 g PEG-6000/1 kg H2O, 20 °C, dark |
| PEG-10 | 239.00 g PEG-6000/1 kg H2O, 20 °C, dark |
| PEG-15 | 299.11 g PEG-6000/1 kg H2O, 20 °C, dark |
| LS-30 (control) | Salinity 30, 20 °C, dark |
| Treatment | MTG | GI | GE | PV | GV |
|---|---|---|---|---|---|
| LS-0 | 2.0 ± 0.2 c | 34.8 ± 0.9 a | 56.0 ± 2.5% a | 28.0 ± 1.3 a | 25.7 ± 1.4 a |
| LS-5 | 2.0 ± 0.3 c | 27.0 ± 1.2 b | 41.6 ± 3.4% b | 20.8 ± 1.7 ab | 16.0 ± 1.7 b |
| LS-10 | 2.1 ± 0.4 bc | 26.4 ± 3.2 b | 41.0 ± 6.7% b | 19.1 ± 4.7 b | 15.6 ± 4.2 b |
| LS-15 | 4.3 ± 0.7 a | 17.3 ± 1.4 c | 20.0 ± 1.9% cd | 5.8 ± 0.7 c | 4.4 ± 0.4 b |
| PEG-5 | 2.7 ± 0.2 abc | 26.2 ± 0.1 b | 36.5 ± 1.7% bc | 18.3 ± 0.9 b | 15.9 ± 2.8 b |
| PEG-10 | 3.3 ± 0.5 abc | 21.3 ± 1.6 bc | 27.3 ± 1.8% bcd | 11.7 ± 2.8 bc | 9.9 ± 2.3 bc |
| PEG-15 | 3.9 ± 0.2 abc | 18.2 ± 0.9 c | 21.5 ± 1.5% cd | 7.8 ± 1.0 c | 6.8 ± 0.9 c |
| LS-30 | 4.3 ± 0.6 a | 3.4 ± 0.6 d | 3.2 ± 0.5% e | 1.1 ± 0.5 d | 0.6 ± 0.2 d |
| Time | Treatment | <1 cm | 1–3 cm | >3 cm |
|---|---|---|---|---|
| Week 1 | LS-0 | 60.4 ± 4.3% a | 26.0 ± 4.1% ab | 0 c |
| LS-5 | 49.6 ± 5.7% ab | 19.6 ± 4.3% c | 2.0 ± 1.3% c | |
| LS-10 | 21.6 ± 5.7% c | 40.4 ± 4.7% a | 7.2 ± 0.6% ac | |
| LS-15 | 35.6 ± 4.6% bc | 24.0 ± 1.3% ab | 1.6 ± 0.4% c | |
| PEG-5 | 53.0 ± 3.7% ab | 22.8 ± 4.2% c | 3.6 ± 1.6% c | |
| PEG-10 | 52.7 ± 4.7% ab | 23.2 ± 4.2% bc | 1.2 ± 0.8% c | |
| PEG-15 | 44.0 ± 2% ab | 7.6 ± 1.3% c | 0.4 ± 0.4% b | |
| LS-30 (control) | 9.3 ± 1.3% d | 1.3 ± 0.7% d | 0 c | |
| Week 2 | LS-0 | 60.8 ± 1.0% a | 28.4 ± 2.5% a | 2.0 ± 0.6% d |
| LS-5 | 46.0 ± 8.4% b | 15.2 ± 2.0% bc | 17.2 ± 6.7% bc | |
| LS-10 | 20.8 ± 3.6% c | 16.8 ± 3.4% b | 38.8 ± 3.1% a | |
| LS-15 | 17.6 ± 2.4% c | 12.8 ± 2.2% bc | 35.6 ± 7.9% ab | |
| PEG-5 | 50.0 ± 1.8% ab | 12.8 ± 1.7% bc | 24.4 ± 1.9% abc | |
| PEG-10 | 42.7 ± 3.5% b | 13.2 ± 2.1% bc | 29.6 ± 2.6% ab | |
| PEG-15 | 57.6 ± 3.2% ab | 6.0 ± 1.3% c | 7.2 ± 1.0% c | |
| LS-30 (control) | 12.6 ± 2.7% c | 1.3 ± 1.3% d | 3.3 ± 1.3% c | |
| Week 3 | LS-0 | 54.8 ± 2.7% ab | 34.4 ± 2.6% a | 2.0 ± 0.6% d |
| LS-5 | 37.6 ± 9.0% bc | 14.0 ± 3.1% b | 20.8 ± 6.8% bc | |
| LS-10 | 19.6 ± 3.9% cd | 14.4 ± 3.5% b | 42.4 ± 2.5% a | |
| LS-15 | 13.6 ± 1.0% d | 8.4 ± 2.3% b | 44 ± 8.3% a | |
| PEG-5 | 44.5 ± 4.9% ab | 16.8 ± 2.8% b | 24.8 ± 2.1% abc | |
| PEG-10 | 40.0 ± 3.1% ab | 9.2 ± 1.4% b | 35.6 ± 4.4% ab | |
| PEG-15 | 60.8 ± 3.9% a | 5.6 ± 1.0% b | 8.8 ± 2.1% c | |
| LS-30 (control) | 7.3 ± 2.9% d | 2.6 ± 1.8% c | 4.0 ± 2.0% c | |
| Week 4 | LS-0 | 53.6 ± 3.4% ab | 35.2 ± 2.8% a | 2.8 ± 1.0% d |
| LS-5 | 40.8 ± 9.4% abc | 10.0 ± 2.6% b | 19.2 ± 4.8% bc | |
| LS-10 | 20.0 ± 3.9% cd | 14.8 ± 2.6% b | 42.4 ± 3.1% a | |
| LS-15 | 14.8 ± 1.6% d | 8.4 ± 1.8% b | 46.0 ± 9.5% a | |
| PEG-5 | 44.0 ± 5.2% ab | 16.0 ± 2.1% b | 26.4 ± 2.6% abc | |
| PEG-10 | 34.7 ± 4.7% bcd | 14.8 ± 1.9% b | 34.8 ± 3.3% ab | |
| PEG-15 | 62.8 ± 3.9% a | 8.4 ± 1.7% b | 9.6 ± 1.9% c | |
| LS-30 (control) | 13.3 ± 1.8% d | 8.0 ± 3.5% b | 4.7 ± 2.7% c |
Disclaimer/Publisher’s Note: The statements, opinions and data contained in all publications are solely those of the individual author(s) and contributor(s) and not of MDPI and/or the editor(s). MDPI and/or the editor(s) disclaim responsibility for any injury to people or property resulting from any ideas, methods, instructions or products referred to in the content. |
© 2025 by the authors. Licensee MDPI, Basel, Switzerland. This article is an open access article distributed under the terms and conditions of the Creative Commons Attribution (CC BY) license (https://creativecommons.org/licenses/by/4.0/).
Share and Cite
Li, P.; Gao, Y.; Jiang, Z.; Wang, L.; Sun, X.; Wang, J.; Wang, J.; Sui, H.; Wang, J.; Zhang, Y. Dual Regulation of Ionic Effect on Zostera marina L. Seed Germination and Leaf Differentiation in Low-Salinity Conditions. Plants 2025, 14, 254. https://doi.org/10.3390/plants14020254
Li P, Gao Y, Jiang Z, Wang L, Sun X, Wang J, Wang J, Sui H, Wang J, Zhang Y. Dual Regulation of Ionic Effect on Zostera marina L. Seed Germination and Leaf Differentiation in Low-Salinity Conditions. Plants. 2025; 14(2):254. https://doi.org/10.3390/plants14020254
Chicago/Turabian StyleLi, Peilong, Yaping Gao, Zengjie Jiang, Linjie Wang, Xiaoli Sun, Jiaqi Wang, Jing Wang, Haidong Sui, Junwei Wang, and Yitao Zhang. 2025. "Dual Regulation of Ionic Effect on Zostera marina L. Seed Germination and Leaf Differentiation in Low-Salinity Conditions" Plants 14, no. 2: 254. https://doi.org/10.3390/plants14020254
APA StyleLi, P., Gao, Y., Jiang, Z., Wang, L., Sun, X., Wang, J., Wang, J., Sui, H., Wang, J., & Zhang, Y. (2025). Dual Regulation of Ionic Effect on Zostera marina L. Seed Germination and Leaf Differentiation in Low-Salinity Conditions. Plants, 14(2), 254. https://doi.org/10.3390/plants14020254
