Abstract
The genus Lepechinia (Lamiaceae) involves several aromatic shrubs that are distributed only in the American continent, inhabiting mountain areas, mainly in the Andean region of South America. Based on the PRISMA approach, we selected and critically analyzed 48 research articles. From a phytochemical point of view, most of the secondary metabolites reported in Lepechinia spp. are terpenes and terpenoids, with a few exceptions comprising flavonoids and other shikimic acid derivatives. On the one hand, sesquiterpenoids of the guajane, aromadendrane, eudesmane, and cadinane groups are characteristic of essential oils, together with (E)-β-caryophyllene as the main representative of its chemical family. On the other hand, abietane diterpenoids are the prevalent compounds described in non-volatile fractions. Many biological activities and traditional medical uses have been reported for both pure metabolites and complex mixtures (e.g., essential oils). Regarding ethno-medical uses, the treatment of muscle pain, headache, toothache, diabetes mellitus, uterine tumors, uterine infections, and diarrhea has been reported. Concerning their verified biological activities, insecticidal, antifungal, antioxidant, and anticholinesterase properties have been described. Furthermore, some data concerning anti-herpetic activity have been reported.
1. Introduction
Biodiversity has, for a long time, been the main source of pharmaceutical products, through the use of medicinal plants. Today, natural products still sometimes provide inspiration to chemists regarding the design of new pharmaceutical active principles, and, in many countries, vegetal drugs constitute the main source of traditional medicines [1].
Lamiaceae, one of the most important herbal families, incorporates a wide variety of plants, most of them characterized by biological and medical applications. This family comprises 224 genera and more than 5600 species distributed across the world. The best-known members of this family belong to a group of medicinal and aromatic plants, including the genus Lepechinia [2].
The genus Lepechinia Willd consists of 43 species that grow from Northern California in the western USA to central Argentina in South America [3,4,5,6]. Lepechinia spp. range from perennial herbs to shrubs, are rarely gynodioecious or dioecious, and are often aromatic; their leaves range from entire to toothed and are often rugose; and they have terminal and often axillary inflorescence [4,7]. A detailed bibliographic study was performed, including revision of papers from the years 1948 to 2023 regarding the genus Lepechinia. In this research, 64 plant species were mentioned, according to the botanical literature [8]. Focusing on these data, the name of genera and all the scientific names of the species were selected.
The goal of this review is to provide information on the ethnomedical uses, phytochemistry, and biological activities of different Lepechinia spp.
2. Research Strategies and Literature Sources
The present review was developed according to the PRISMA guidelines [9]. The data included in this paper have been retrieved using the keywords, “Lepechinia medicinal plants”, “Lepechinia phytochemistry”, “Lepechinia ethomedicine uses”, “Lepechinia essential oils”, and “Lepechinia biological studies” in the following electronic databases: PubMed (https://pubmed.ncbi.nlm.nih.gov/, accessed on 30 September 2023) ScienceDirect (https://www.sciencedirect.com/, accessed on 30 September 2023), SciFinder (https://scifinder.cas.org/, accessed on 30 September 2023), SciELO (https://scielo.org/, accessed on 30 September 2023), and Scopus (https://www.scopus.com/, accessed on 30 September 2023). In order to manage all the bibliographic references, Mendeley Desktop software version 1.19.8 was used. Three reviewers extracted data independently, avoiding the duplication of data, and they searched for and selected all key words individually. The process of datamining is synthetized in the flowchart in Figure 1. When a scientific paper could not be found online, we asked the authors to send it to us. For the final step of the study, articles in English and Spanish were selected, together with data from patents. Congress abstracts and symposiums were excluded because they were considered not sufficiently complete to warrant an exhaustive comparison with full articles.
Figure 1.
Flowchart for the search process and selection of the studies considered for the review.
3. Results and Discussion
3.1. Compounds Isolated from Lepechinia spp. through Solvent Extraction and Their Biological Activities
Phytochemical investigation of Lepechinia spp. has shown the presence of tricyclic diterpenes, flavonoids, pentacyclic triterpenes, etc. [5,6]. Two know pentacyclic triterpenes, ursolic acid (1) and oleanolic acid (2), a new diterpene (3), its methyl ester (4), and one natural endoperoxide (5), have been isolated from L. caulescens. In another research work, 7β-Hydroxy-abieta-8(14)-en-18-oic 9α,13α-endoperoxide (6) was also isolated from the same plant [6,10,11]. Compounds 1 and 2 produced a significant vasodilator effect in a concentration-dependent and endothelium dependent-manner [12]. Ursolic acid is probably the most extensively studied molecule among those mentioned above, with potential applications of ursolic acid and its derivatives as anti-tumour agents; there are also several patents filed [13,14,15,16]. Finally, recent studies performed by Al-kuraishy et al. showed a preliminary result concerning the control of hyperinflammation and oxidative stress in SARS-CoV-2 [17]. Spathulenol (7), 9α,13α-epidioxyabiet-8(14)-en-18-oic acid methyl ester (8), dehydroabietic acid (9), and 9β-hydroxydehydroabietyl alcohol (10) (Figure 2, compounds 1–10) were also isolated from L. caulescens [10] and showed spasmolytic activity.
Figure 2.
Compounds isolated from L. caulescens.
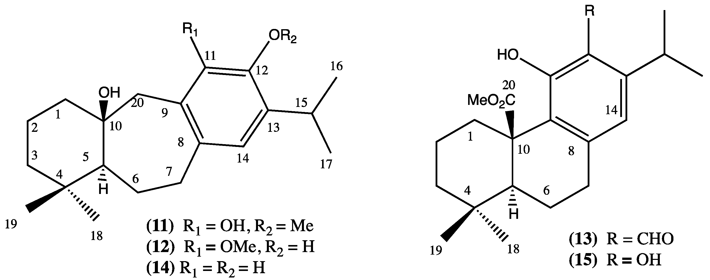
From the aerial parts of L. meyeni, the abietane diterpenes salvicanol (11), isosalvicanol (12), 12-formyl-11-hydroxy-abieta-8,11,13-trien-2-oic acid methylester (13), pisiferanol (14), and carnosic acid methyl ester (15) (Figure 3, compounds 11–15) have been isolated. Carnosic acid is the main diterpenoid in L. hastata [18].
Figure 3.
Compounds isolated from L. mayenii and L. hastata.
From the aerial parts of Sphacele chamaedryoides, (synonym L. chamaedryoides) [19], ten abietane diterpenes have been isolated: 6,7-dehydroroyleanone (16), royleanone (17), 7,20-epoxyroyleanone (18), ferruginol (19), taxoquinone (20), horminone (21), carnosol (22), 7-oxo-11,12,14-trihydroxy-abieta-8,11,13-trien-20-al (23), 7-oxo-7a,11,12-trihydroxy-abieta-8,11,13-trien-20-al (24), deoxocarnosol (25), sphatulenol (7), pinocembrin (26), and 5-hydroxy-4′,7-dimethoxyflavone (27) [20] (Figure 4, compounds 16–27). Several compounds present in this plant showed a higher gastroprotective effect than lansoprazole, and the cytotoxic effect of most compounds was measured at fairly high concentrations and lacked cell specificity; instead, compounds 16 and 20 showed selective cytotoxicity against AGS cells and fibroblasts, respectively [20].
Figure 4.
Compounds isolated from S. chamaedryoides.
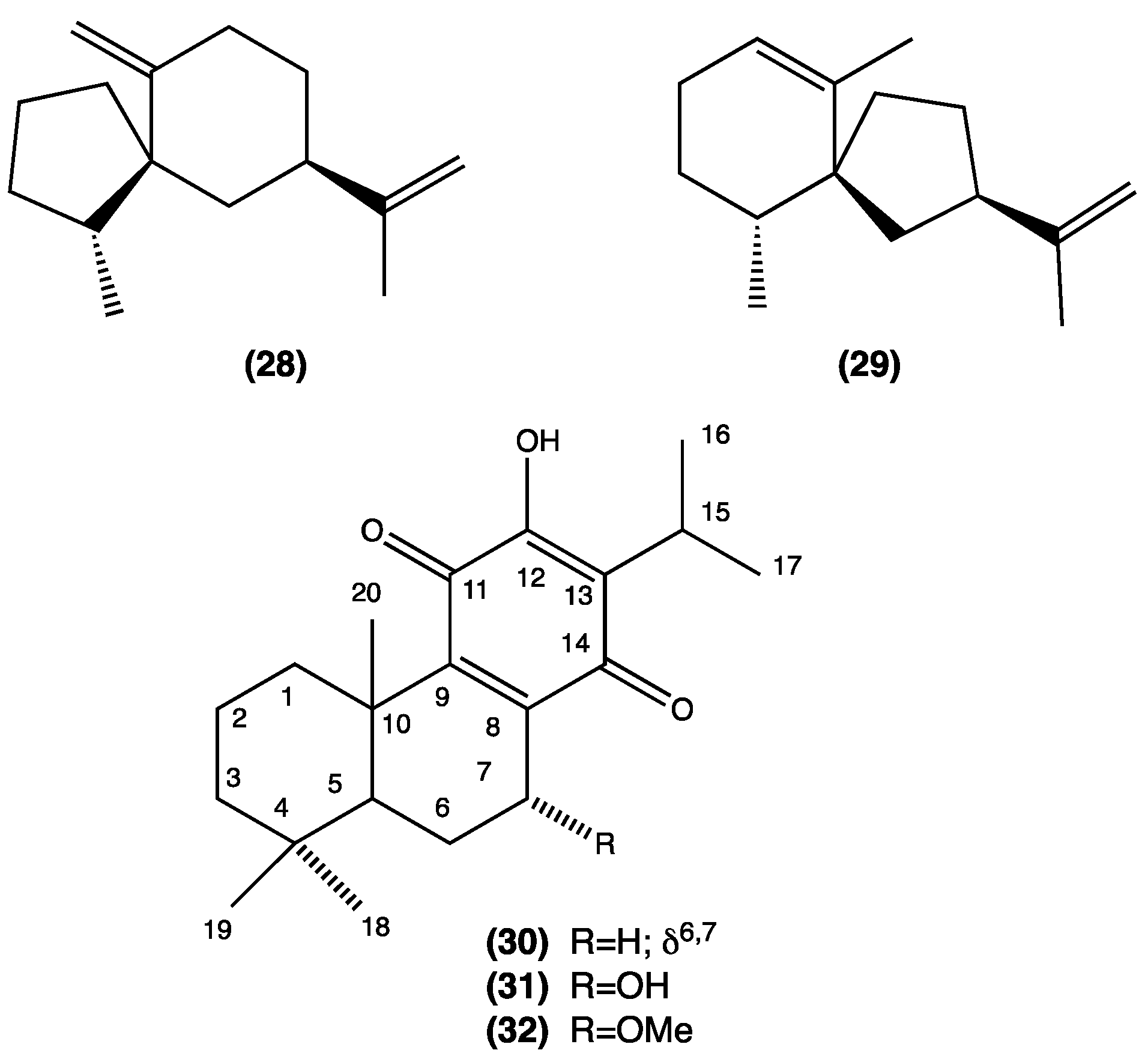
(-)-Spirolepechinene (28) is a new spirosesquiterpene that was isolated from L. bullata together with a known sesquiterpene, (-)-premnaspirodiene (29) [21]. From the MeOH extract of L. bullata, three cytotoxic diterpene quinones were also isolated: 6,7-dehydroroyleanone (30), horminone (31), and the new compound 7-O-methylhorminone (32). Compound 31 inhibited the growth of Trypanosoma cruzi [22] (Figure 5, compounds 28–32).
Figure 5.
Compounds isolated from L. bullata.
From L. graveolens, collected in Mexico, three antioxidative phenolic compounds have been isolated, namely, luteolin-7-O-glucuronide (33), rosmarinic acid (34), and rosmarinic acid methylester (35) (Figure 6, compounds 33–35) [23]. Rosmarinic acid is undoubtedly the most relevant compound and has been extensively studied for its antimicrobial and antioxidant effects for use in anti-diabetic and potentially dietary supplements in cancer treatment [24,25,26,27].
Figure 6.
Compounds isolated from L. graveolens.
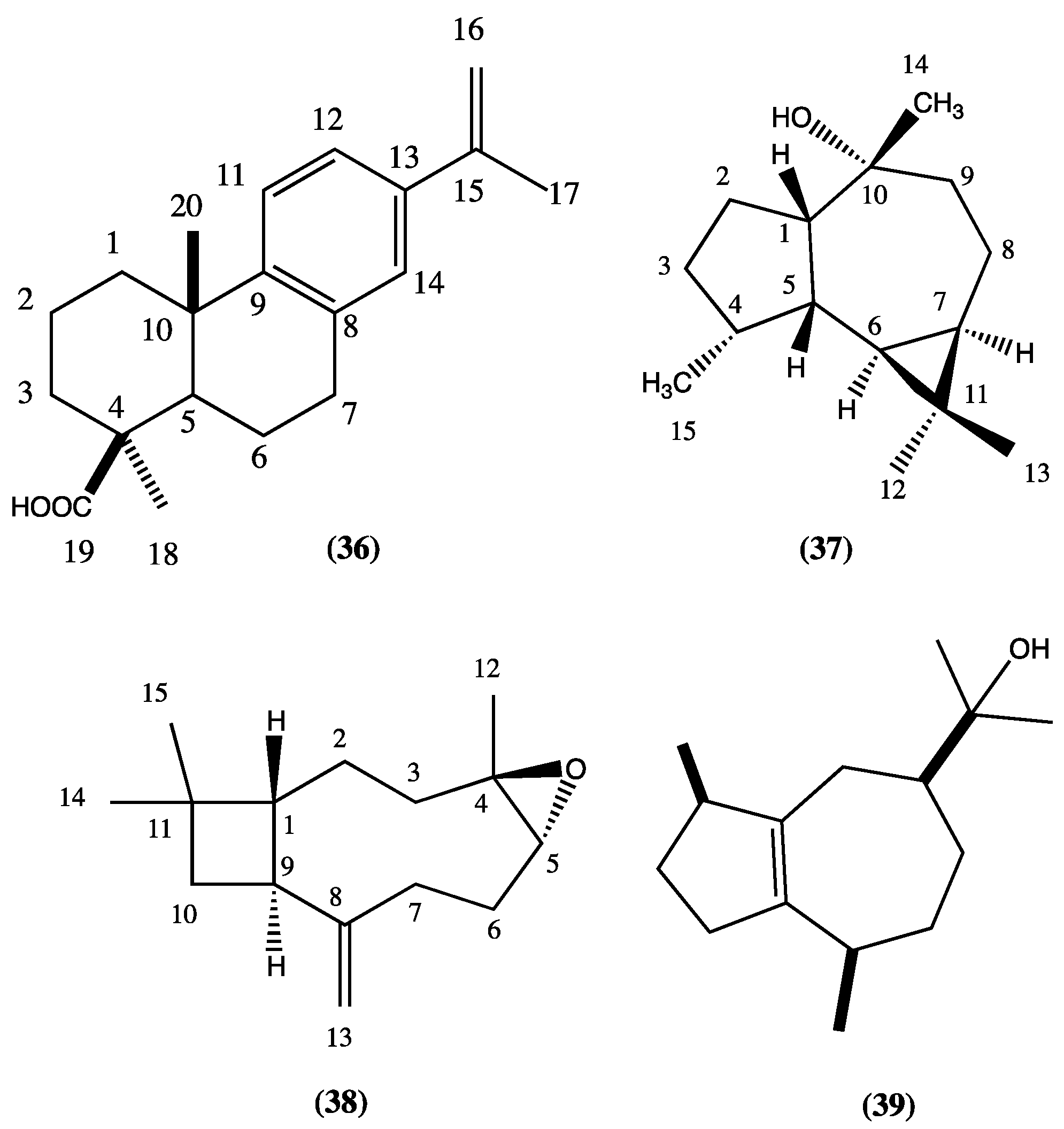
Spathulenol (7), angustanoic acid E (36), and 5-hydroxy-4′,7-dimethoxyflavone (27) were isolated from L. radula; (-)-ledol (37), (-)-caryophyllene oxide (38), guaiol (39), and carnosol (22) were found in L. paniculata (Figure 7 compounds 36–39) [28].
Figure 7.
Compounds isolated from L. radula and L. paniculata.
From L. mutica (Benth.), an endemic plant from Ecuador, the following compounds have been isolated and identified: carnosol (22), viridiflorol (40), ursolic acid (1), oleanolic acid (2), chrysothol (41), and 5-hydroxy-4′,7-dimethoxyflavone (27) [29]. Carnosol seems to be active against the “blast disease” caused by the fungus Pyricularia oryzae; furthermore, it has shown a promising selective inhibitory activity against butyrylcholinesterase [29,30]. Verbascoside (42) has been isolated form L. speciosa [31] (Figure 8, compounds 40–42).
Figure 8.
Compounds isolated from L. mutica and L. speciosa.
3.2. Composition and Biological Activities of Essential Oils from Genus Lepechinia
Sesquiterpenes, diterpenes, triterpenes, and flavonoids have been isolated from different species of this genus. Some species are used for their anti-tumoral and insulin-mimetic properties, to treat uterine infections, or to calm stomach pains [32]. Regarding the volatile essential oil components, 18 species of the genus Lepechinia have been studied so far; they are: L. bullata [21], L. betonicifolia [33,34], L. calycina [35], L. caulescens [36], L. conferta [32], L. chamaedryoides [37,38], L. floribunda [39,40,41,42], L. graveolens [41], L. heteromorfa [28], L. meyeni [41,43,44], L. mutica [45,46,47], L. paniculata [48,49], L. radula [50], L. salviaefolia [51], L. salvifolia [52], L. schiedeana [53,54,55], L. urbanii [56], and L. vulcanicola [52]. Given the heterogeneity of the compounds identified in the Lepechinia spp., it is not possible to establish a characteristic pattern of compounds for the genus. In Ecuador, the essential oils of four species belonging to the genus Lepechinia have been studied [28,45,46,47,48,49,50]. In Table 1, we have reported the main volatile compositions and biological activities from Lepechinia spp., and, in Figure 9, the structures of the main compounds identified in their essential oils are shown: armomadendrene (43), viridiflorene (44) β-selinene (45), ledyl acetate (46), β-caryophyllene (47), g-cadinene (48), ledol (49), (-)-palustrol (50), (-)-spirolepechinene (51), α-humulene (52), α-copaene (53), d-cadinene (54), borneol (55), 1,8-cineole (56), camphene (57), bornyl acetate (58), camphor (59), d-3-carene (60), β-phellandrene (61), limonene (62), α-pinene (63), β-pinene (64), o-cymene (65), m-cymene (66), and p-cymene (67).
Table 1.
Main compounds and biological activities in essential oils from Lepechinia spp.
Figure 9.
Compounds identified in the essential oils of Lepechinia spp.
The biological activity of an essential oil is mainly due to the synergistic effect of its compounds, so it is difficult to attribute the effect of in vivo and in vitro tests to a single molecule or predominant compound. However, some of the molecules listed a few times in Table 1 are common in various essential oils and have been the subjects of several studies. Limonene is a monocyclic monoterpene that may be extracted abundantly from citrus peel waste or obtained via microbial biosynthesis [57,58]; this compounds and its derivatives are present as common additives in several markets, such as cosmetics, food, pharmaceuticals, cosmetics, and biobased polymers [57,59,60]. 1,8-cineole (eucalyptol) is another of the most investigated compounds in recent years, and various pieces of evidence point to its potential as a phytochemical treatment for respiratory disorders, such as chronic obstructive pulmonary disease (COPD), due to its mucolytic, anti-inflammatory, antimicrobial, bronchodilator, and antioxidant activities [61,62,63].
3.3. Ethnopharmacology and Traditional Uses for the Genus Lepechinia
Several Lepechinia spp. are valued in the horticultural trade, and North and South American indigenous groups commonly use Lepechinia plants for medicinal purposes, such as the treatment of muscle pain, headache, and toothache [45], diabetes mellitus, uterine tumors, uterine infections, and diarrhea [5,31]. L. caulescens is the most mentioned species concerning folk medicine, and its traditional use has been reported in cases of stomach ailments, hypertension, diabetes, dysmenorrhea, and gastrointestinal infections. The aqueous infusion, obtained via decoction from the whole plant, is the most common traditional beverage [6,10,39,55,56]. An extract from L. caulescens has been patented as a cosmetic agent [64,65]. Also, the teas of L. graveolens and L. hastata (root extract) have been mentioned in the treatment of stomach ailments [20] and uterine infections, respectively [65,66]. The decoction of the leaves of L. meyenii is used as an antispasmodic, digestive, and carminative agent and for the treatment of coughs and diarrhea [66,67]. Regarding L. schiediana, two studies have cited the use of it in tea in folk medicine as a diuretic, as a remedy for kidney infections and stomach illness, and for the treatment of skin irritation [43,68]. The leaves of L. mutica are used to treat headaches, nervous affections, and startle disease [45,46,69]. The leaves of L. radula are used to treat “mal de aire” and aches in muscles and bones [50,69]. Regarding L. paniculata, it is used to treat headaches via the direct application of its buds to the head; its flowers are used for the treatment of nervous system affection and for evil air “mal aire’ and “espanto” [48,49]. In Table 2, there are more details about the ethnopharmacology and traditional uses of some Lepechinia spp.
Table 2.
Ethnopharmacology and traditional uses of Lepechinia spp.
3.4. Geography and Aim of the Studies
Using these criteria [9], we were able to collect 48 papers, for which 52 different studies had been carried out on 20 species of the Lepechinia genus (Table 3) in relation to essential oils, phytochemistry, and different biological activities, such as: insecticide-repellent activity, anticholinesterase activity, spasmolytic effects, vasorelaxant activity, anti-vibrio cholerae activity, gastroprotective effects, cytotoxicity activity, antibacterial activity, antifungal activity, and antioxidant activity, among other. Most species of the genus Lepechinia have been investigated for their antioxidant activity (see Table 3 and Figure 10). On the one hand, the predominance of antioxidant activity can be explained by the relatively easiness of these assays and the fact that practically all vegetal species contain important amounts of polyphenolic compounds, typically characterized by this property. On the other hand, almost 10% of all the reported activities corresponded to the cholinergic capacity of essential oils or purified metabolites. Most of these studies were conducted in Ecuador.
Table 3.
Geographic origin and type studies conducted in Lepechinia spp., including phytochemical works.
Figure 10.
Diversity of biological activity in Lepechinia spp. The percentages refer to the corresponding articles compared to the total number of biological activity reports.
The studies have been distributed mainly in Ecuador (13), Mexico (9), Colombia (7), and Bolivia (5), with several in Argentina (4), Peru (4), Chile (3), Venezuela (3), the United States (2), Costa Rica, and the Dominican Republic (1); see Figure 11. About one quarter of the total phytochemical studies on the genus Lepechinia were carried out in Ecuador, where an important number of endemic and native species have attracted relevant academic interest over the last ten years. This interest coincides with a period of development in the scientific research on all fields of biodiversity in Ecuador.
Figure 11.
Geographical origin of studies in Lepechinia spp. Percentages refer to the corresponding articles compared to the total number of geographical origin reports.
4. Conclusions
This review demonstrates the great potential of the genus Lepechinia as a source of interesting secondary metabolites, often characterized by relevant biological activities. Almost all the compounds described in Lepechinia spp. were terpenes and terpenoids, with few exceptions among flavonoids and other shikimic acid derivatives. On the one hand, sesquiterpenoids of the guajane, aromadendrane, eudesmane, and cadinane families dominated the essential oils, together with (E)-β-caryophyllene as the main representative of its group. On the other hand, non-volatile fractions were characterized by diterpenoids of the abietane family. A wide spectrum of biological activities and traditional medical uses were reported for both pure metabolites and complex mixtures (e.g., essential oils).
Author Contributions
Conceptualization, G.G., V.M. and J.R.; writing—original draft preparation, J.R., V.M. and G.G.; literature retrieval, J.R. and G.G.; review supervision and editing, G.G. and M.R. All authors have read and agreed to the published version of the manuscript.
Funding
This research received no external funding.
Data Availability Statement
Not applicable.
Acknowledgments
We are grateful to the Universidad Técnica Particular de Loja (UTPL) for supporting this investigation and open access publication.
Conflicts of Interest
The authors declare no conflicts of interest.
References
- The World Health Organization WHO. Available online: https://www.who.int/initiatives/who-global-centre-for-traditional-medicine (accessed on 9 February 2023).
- Uritu, C.M.; Mihai, C.T.; Stanciu, G.D.; Dodi, G.; Stratulat, T.A.; Luca, A.; León, M.M.; Stefanescu, R.; Bild, V.; Melnic, S.; et al. Medicinal Plants of the Family Lamiaceae in Pain Therapy: A Review. Pain Res. Manag. 2018, 2018, 7801543. [Google Scholar] [CrossRef]
- Drew, B.T.; Sytsma, K.J. The South American radiation of Lepechinia (Lamiaceae): Phylogenetics, divergence times and evolution of dioecy. Bot. J. Linn. Soc. 2013, 171, 171–190. [Google Scholar] [CrossRef]
- Epling, C. A Synopsis of the Tribe Lepechinieae (Labiatae). Brittonia 1948, 6, 352–364. [Google Scholar] [CrossRef]
- Esteves, P.F.; Kuster, R.M.; Barbi, N.S.; Menezes, F.d.S. Chemical Composition and Cytotoxic Activity of Lepechinia speciosa (St. Hill) Epling. Lat. Am. J. Pharm. 2010, 29, 38–44. [Google Scholar]
- Delgado, G.; Hernández, J.; Chávez, M.I.; Alvarez, L.; Gonzaga, V.; Martínez, E. Di-and triterpenpoid acids from Lepechinia caulescens. Phytochemistry 1994, 37, 1119–1121. [Google Scholar] [CrossRef]
- Jorgensen, P.; León-Yánez, S. Catalogue of the Vascular Plants of Ecuador; Missouri Botanical Garden: St. Louis, MO, USA, 1999. [Google Scholar]
- The World Flora. Available online: https://www.worldfloraonline.org/search?query=Lepechinia (accessed on 7 January 2022).
- Page, M.J.; McKenzie, J.E.; Bossuyt, P.; Boutron, I.; Hoffmann, T.C.; Mulrow, C.D.; Shamseer, L.; Tetzlaff, J.M.; Akl, E.; Brennan, S.E.; et al. The Prisma 2020 Statement: An Updated Guideline for Reporting Systematic Reviews. Med. Flum. 2021, 57, 444–465. [Google Scholar] [CrossRef]
- Perez-Hernandez, N.; Ponce-Monter, H.; Medina, J.A.; Joseph-Nathan, P. Spasmolytic effect of constituents from Lepechinia caulescens on rat uterus. J. Ethnopharmacol. 2008, 115, 30–35. [Google Scholar] [CrossRef] [PubMed]
- Delgado, G.; Sánchez, E.; Hernández, J.; Chávez, M.I.; Alvarez, L.; Martínez, E. Abietanoid acid from Lepechinia caulescens. Phytochemistry 1992, 31, 3159–3161. [Google Scholar] [CrossRef]
- Aguirre-Crespo, F.; Vergara-Galicia, J.; Villalobos-Molina, R.; López-Guerrero, J.J.; Navarrete-Vázquez, G.; Estrada-Soto, S. Ursolic acid mediates the vasorelaxant activity of Lepechinia caulescens via NO release in isolated rat thoracic aorta. Life Sci. 2006, 79, 1062–1068. [Google Scholar] [CrossRef] [PubMed]
- Zafar, S.; Khan, K.; Hafeez, A.; Irfan, M.; Armaghan, M.; Rahman, A.u.; Gürer, E.S.; Sharifi-Rad, J.; Butnariu, M.; Bagiu, I.C.; et al. Ursolic acid: A natural modulator of signaling networks in different cancers. Cancer Cell Int. 2022, 22, 399. [Google Scholar] [CrossRef]
- Panda, S.S.; Thangaraju, M.; Lokeshwar, B.L. Ursolic Acid Analogs as Potential Therapeutics for Cancer. Molecules 2022, 27, 8981. [Google Scholar] [CrossRef] [PubMed]
- Khwaza, V.; Oyedeji, O.O.; Aderibigbe, B.A. Ursolic acid-based derivatives as potential anti-cancer agents: An update. Int. J. Mol. Sci. 2020, 21, 5920. [Google Scholar] [CrossRef]
- Hussain, H.; Green, I.R.; Ali, I.; Khan, I.A.; Ali, Z.; Al-Sadi, A.M.; Ahmed, I. Ursolic acid derivatives for pharmaceutical use: A patent review (2012–2016). Expert Opin. Ther. Pat. 2017, 27, 1061–1072. [Google Scholar] [CrossRef] [PubMed]
- Al-kuraishy, H.M.; Al-Gareeb, A.I.; Negm, W.A.; Alexiou, A.; Batiha, G.E.S. Ursolic acid and SARS-CoV-2 infection: A new horizon and perspective. Inflammopharmacology 2022, 30, 1493–1501. [Google Scholar] [CrossRef] [PubMed]
- Bruno, M.; Savona, G.; Piozzi, F.; De la Torre, M.; Rodríguez, B.; Marlier, M. Abietane diterpenoids from Lepechinia meyeni and Lepechinia hastata. Phytochemistry 1991, 30, 2339–2343. [Google Scholar] [CrossRef]
- The International Plant Names Index. Available online: https://www.ipni.org/n/1090930-2 (accessed on 7 January 2022).
- Areche, C.; Schmeda-hirschmann, G.; Theoduloz, C.; Rodrı, J.A. Gastroprotective effect and cytotoxicity of abietane diterpenes from the Chilean Lamiaceae Sphacele chamaedryoides (Balbis) Briq. J. Pharm. Pharmacol. 2009, 61, 1689–1697. [Google Scholar] [CrossRef] [PubMed]
- Eggers, M.D.; Sinnwell, V.; Stahl-biskup, E. (-)-Spirolepechinene, a spirosesquiterpene from Lepechinia bullata (Lamiaceae). Phytochemistry 1999, 51, 987–990. [Google Scholar] [CrossRef]
- Jonathan, L.T.; Che, C.-T.; Pezzuto, J.M.; Fong, H.H.; Farnsworth, N.R. 7-0-methylhorminone and other cytotoxic diterpene quinones from Lepechinia Bullata. J. Nat. Prod. 1989, 52, 571–575. [Google Scholar] [CrossRef]
- Parejo, I.; Caprai, E.; Bastida, J.; Viladomat, F.; Jáuregui, O.; Codina, C. Investigation of Lepechinia graveolens for its antioxidant activity and phenolic composition. J. Ethnopharmacol. 2004, 94, 175–184. [Google Scholar] [CrossRef]
- Zhao, J.; Xu, L.; Jin, D.; Xin, Y.; Tian, L.; Wang, T.; Zhao, D.; Wang, Z.; Wang, J. Rosmarinic Acid and Related Dietary Supplements: Potential Applications in the Prevention and Treatment of Cancer. Biomolecules 2022, 12, 1410. [Google Scholar] [CrossRef]
- Noor, S.; Mohammad, T.; Rub, M.A.; Raza, A.; Azum, N.; Yadav, D.K.; Hassan, M.I.; Asiri, A.M. Biomedical features and therapeutic potential of rosmarinic acid. Arch. Pharm. Res. 2022, 45, 205–228. [Google Scholar] [CrossRef]
- Ngo, Y.L.; Lau, C.H.; Chua, L.S. Review on rosmarinic acid extraction, fractionation and its anti-diabetic potential. Food Chem. Toxicol. 2018, 121, 687–700. [Google Scholar] [CrossRef] [PubMed]
- Kernou, O.N.; Azzouz, Z.; Madani, K.; Rijo, P. Application of Rosmarinic Acid with Its Derivatives in the Treatment of Microbial Pathogens. Molecules 2023, 28, 4243. [Google Scholar] [CrossRef] [PubMed]
- Gilardoni, G.; Ramírez, J.; Montalván, M.; Quinche, W.; León, J.; Benítez, L.; Morocho, V.; Cumbicus, N.; Bicchi, C. Phytochemistry of three ecuadorian lamiaceae: Lepechinia heteromorpha (Briq.) Epling, Lepechinia radula (benth.) epling and Lepechinia paniculata (Kunth) epling. Plants 2019, 8, 1. [Google Scholar] [CrossRef] [PubMed]
- Ramírez, J.; Gilardoni, G.; Ramón, E.; Tosi, S.; Picco, A.M.; Bicchi, C.; Vidari, G. Phytochemical study of the Ecuadorian species Lepechinia mutica (Benth.) epling and high antifungal activity of carnosol against Pyricularia oryzae. Pharmaceuticals 2018, 11, 33. [Google Scholar] [CrossRef] [PubMed]
- Ramírez, J.; Suarez, A.I.; Bec, N.; Armijos, C.; Gilardoni, G.; Larroque, C.; Vidari, G. Carnosol from Lepechinia mutica and tiliroside from Vallea stipularis: Two promising inhibitors of BuChE. Rev. Bras. Farmacogn. 2018, 28, 559–563. [Google Scholar] [CrossRef]
- Martins, F.O.; Esteves, P.F.; Mendes, G.S.; Barbi, N.S.; Menezes, F.S.; Romanos, M.T. Verbascoside isolated from Lepechinia speciosa has inhibitory Activity against HSV-1 and HSV-2 in vitro. Nat. Prod. Commun. 2009, 4, 1693–1696. [Google Scholar] [CrossRef] [PubMed]
- Borges, R.; Rojas, L.B.; Cegarra, J.A.; Usubillaga, A. Study of the essential oils from the leaves and flowers of Lepechinia conferta (Benth) Epl. Flavour Fragr. J. 2006, 21, 155–157. [Google Scholar] [CrossRef]
- Caballero-Gallardo, K.; Olivero-Verbel, J.; Stashenko, E.E. Repellent Activity of Essential Oils and Some of Their Individual Constituents against Tribolium castaneum Herbst. J. Agric. Food Chem. 2011, 59, 1690–1696. [Google Scholar] [CrossRef]
- Calva, J.; Cartuche, L.; González, S.; Montesinos, J.V.; Morocho, V. Chemical composition, enantiomeric analysis and anticholinesterase activity of Lepechinia betonicifolia essential oil from Ecuador. Pharm. Biol. 2022, 60, 206–211. [Google Scholar] [CrossRef]
- Lawrence, B.M.; Morton, J.K. Volatile Constituents of Lepechinia calycina. Phytochemistry 1979, 18, 1887. [Google Scholar] [CrossRef]
- Avila Acevedo, J.G.; Muñoz Lóez, J.L.; Martínez Cortés, A.; García Bores, A.; Martínez Cortés, G.; Peñalosa Castro, I. In vitro anti-Vibrio cholerae activity of essential oil from Lepechinia caulescens. Fitoterapia 2005, 76, 104–107. [Google Scholar] [CrossRef]
- Valenzuela, L.; Vila, R.; Cañigueral, S.; Adzet, T. The essential oil of Sphacele chamaedryoides. Planta Med. 1992, 58, 273–274. [Google Scholar] [CrossRef]
- Suazo, G.; González, F.; Urbina, A.; Pastene, E.; Sáez, K.; Serri, H.; Chávez, R. Actividad insecticida del aceite esencial de Lepechinia chamaedryoides (Balb.) Epling en Drosophila melanogaster. Gayana Bot. 2012, 69, 256–266. [Google Scholar] [CrossRef]
- Pellegrini, M.C.; Alvarez, M.V.; Ponce, A.G.; Cugnata, N.M.; De Piano, F.G.; Fuselli, S. Anti-quorum sensing and antimicrobial activity of aromatic species from South America. J. Essent. Oil Res. 2014, 26, 458–465. [Google Scholar] [CrossRef]
- Fuselli, S.R.; García de la Rosa, S.B.; Eguaras, M.J.; Fritz, R. Susceptibility of the Honeybee Bacterial Pathogen Paenibacillus larvae to Essential Oils Distilled from Exotic and Indigenous Argentinean Plants. J. Essent. Oil Res. 2008, 20, 464–470. [Google Scholar] [CrossRef]
- Lopez Arze, J.; Collin, G.; Garneau, F.; Jean, F.; Gagnon, H. Essential Oils from Bolivia. VI. Lamiaceae: Lepechinia graveolens (Reg.) Epling, L. floribunda (Benth.) Epling, and L. meyeni (Walp.) Epling. J. Essent. Oil Res. 2009, 21, 36–40. [Google Scholar] [CrossRef]
- Velasco-Negueruela, A.; Pérez-Alonso, M.; Esteban, J.; Guzmán, C.; Zygadlo, J.; Ariza-Espinar, L. Essential Oil of Lepechinia floribunda (Benth.) Epl. J. Essent. Oil Res. 1994, 6, 539–540. [Google Scholar] [CrossRef]
- Collin, G.; Garneau, F.; Gagnon, H.; Pichette, A.; Lavoie, S. Analysis of Cymenes in Essential Oils: The Case of of Lepechinia meyeni (Walp.) Epling. J. Essent. Oil Res. 2010, 22, 310–313. [Google Scholar] [CrossRef]
- Ruiz, C.; Díaz, C.; Rojas, R. Chemical Composition of Essential Oils from 10 Peruvian aromatic plants. Rev. Soc. Quim. Perú 2015, 81, 81–94. [Google Scholar]
- Malagón, O.; Vila, R.; Iglesias, J.; Zaragoza, T.; Cañigueral, S. Composition of the essential oils of four medicinal plants from Ecuador. Flavour Fragr. J. 2003, 18, 527–531. [Google Scholar] [CrossRef]
- Ramírez, J.; Gilardoni, G.; Jácome, M.; Montesinos, J.; Rodolfi, M.; Guglielminetti, M.L.; Cagliero, C.; Bicchi, C.; Vidari, G. Chemical Composition, Enantiomeric Analysis, AEDA Sensorial Evaluation and Antifungal Activity of the Essential Oil from the Ecuadorian Plant Lepechinia mutica Benth (Lamiaceae). Chem. Biodivers. 2017, 14, e1700292. [Google Scholar] [CrossRef]
- Guzmán, L.; Malla, J.L.; Ramírez, J.; Gilardoni, G.; Calva, J.; Hidalgo, D.; Valarezo, E.; Rey-Valeirón, C. Acaricidal Efficacy of Plants from Ecuador, Ambrosia peruviana (Asteraceae) and Lepechinia mutica (Lamiaceae) against Larvae and Engorged Adult Females of the Common Cattle Tick, Rhipicephalus microplus. Vet. Sci. 2022, 9, 23. [Google Scholar] [CrossRef]
- Valarezo, E.; Castillo, A.; Guaya, D.; Morocho, V.; Malagón, O. Chemical composition of essential oils of two species of the Lamiaceae family: Scutellaria volubilis and Lepechinia paniculata from Loja, Ecuador. J. Essent. Oil Res. 2012, 24, 31–37. [Google Scholar] [CrossRef]
- Panamito, M.F.; Bec, N.; Valdivieso, V.; Salinas, M.; Calva, J.; Ramírez, J.; Larroque, C.; Armijos, C. Chemical Composition and Anticholinesterase Activity of the Essential Oil of Leaves and Flowers from the Ecuadorian Plant Lepechinia paniculata (Kunth) Epling. Molecules 2021, 26, 3198. [Google Scholar] [CrossRef]
- Morocho, V.; Toro, M.L.; Cartuche, L.; Guaya, D.; Valarezo, E.; Malagón, O.; Ramírez, J. Chemical Composition and Antimicrobial Activity of Essential Oil of Lepechinia radula Benth Epling. Rec. Nat. Prod. 2017, 11, 57–62. [Google Scholar]
- Eggers, M.D.; Orsini, G.; Stahl-biskup, E. Composition and Chemical Variation of the Essential Oil of Lepechinia salviaefolia (Kunth) Epl. from Venezuela. J. Essnt. Oil Res 2001, 13, 1–4. [Google Scholar] [CrossRef]
- Brand, Y.M.; Roa-Linares, V.C.; Betancur-Galvis, L.A.; Durán-García, D.C.; Stashenko, E. Antiviral activity of Colombian Labiatae and Verbenaceae family essential oils and monoterpenes on Human Herpes viruses. J. Essent. Oil Res. 2016, 28, 130–137. [Google Scholar] [CrossRef]
- Stashenko, E.E.; Cervantes, M.; Combariza, Y.; Fuentes, H.; Martínez, J. HRGC/FID and HRGC / MSD Analysis of the Secondary Metabolites Obtained by Different Extraction Methods from Lepechinia schiedeana, and in Vitro Evaluation of Its Antioxidant Activity. J. High Resol. Chromatogr. 1999, 22, 343–349. [Google Scholar] [CrossRef]
- Puertas-Mejía, M.; Hillebrand, S.; Stashenko, E.; Winterhalter, P. In vitro radical scavenging activity of essential oils from Columbian plants and fractions from oregano (Origanum vulgare L.) essential oil. Flavour Fragr. J. 2002, 17, 380–384. [Google Scholar] [CrossRef]
- Stashenko, E.E.; Puertas, M.A.; Martínez, J.R. SPME determination of volatile aldehydes for evaluation of in-vitro antioxidant activity. Anal. Bioanal. Chem. 2002, 373, 70–74. [Google Scholar] [CrossRef]
- Zanoni, T.A.; Adams, R.P. Essential Oils of Plants from Hispaniola: 5. The Volatile Leaf Oil of Lepechinia urbanii (Briq.) Epling (Lamiaceae). Flavour Fragr. J. 1991, 6, 75–77. [Google Scholar] [CrossRef]
- Louisy, E.; Khodyrieva, V.; Olivero, S.; Michelet, V.; Mija, A. Use of Limonene Epoxides and Derivatives as Promising Monomers for Biobased Polymers. ChemPlusChem 2022, 87, e202200190. [Google Scholar] [CrossRef] [PubMed]
- Ren, Y.; Liu, S.; Jin, G.; Yang, X.; Zhou, Y.J. Microbial production of limonene and its derivatives: Achievements and perspectives. Biotechnol. Adv. 2020, 44, 107628. [Google Scholar] [CrossRef] [PubMed]
- Eddin, L.B.; Jha, N.K.; Meeran, M.F.N.; Kesari, K.K.; Beiram, R.; Ojha, S. Neuroprotective potential of limonene and limonene containing natural products. Molecules 2021, 26, 4535. [Google Scholar] [CrossRef]
- Anandakumar, P.; Kamaraj, S.; Vanitha, M.K. D-limonene: A multifunctional compound with potent therapeutic effects. J. Food Biochem. 2021, 45, e13566. [Google Scholar] [CrossRef]
- Hoch, C.C.; Petry, J.; Griesbaum, L.; Weiser, T.; Werner, K.; Ploch, M.; Verschoor, A.; Multhoff, G.; Bashiri Dezfouli, A.; Wollenberg, B. 1,8-cineole (eucalyptol): A versatile phytochemical with therapeutic applications across multiple diseases. Biomed. Pharmacother. 2023, 167, 115467. [Google Scholar] [CrossRef]
- Cai, Z.M.; Peng, J.Q.; Chen, Y.; Tao, L.; Zhang, Y.Y.; Fu, L.Y.; Long, Q.D.; Shen, X.C. 1,8-Cineole: A review of source, biological activities, and application. J. Asian Nat. Prod. Res. 2021, 23, 938–954. [Google Scholar] [CrossRef]
- Juergens, L.J.; Worth, H.; Juergens, U.R. New Perspectives for Mucolytic, Anti-inflammatory and Adjunctive Therapy with 1,8-Cineole in COPD and Asthma: Review on the New Therapeutic Approach. Adv. Ther. 2020, 37, 1737–1753. [Google Scholar] [CrossRef]
- Tene, V.; Malagón, O.; Vita, P.; Vidari, G.; Armijos, C. An ethnobotanical survey of medicinal plants used in Loja and Zamora-Chinchipe, Ecuador. J. Ethnopharmacol. 2007, 111, 63–81. [Google Scholar] [CrossRef]
- Estrada-Soto, S.; Navarrete-Vázquez, G.; Léon-Rivera, I.; Rios, M.; Aguilar-Guadarrama, B.; Castillo-España, P.; Ortiz-Andrade, R.; Aguirre-Crespo, F. Antihypertensive effect of Lepechinia caulescens extract on spontaneously hypertensive rats. Phytopharmacology 2012, 2, 170–178. [Google Scholar]
- Pecher, V.; Leplanquais, V.; Lazou, K.; Dumas, M.C. Use of a Lepechinia caulescens Extract as a Cosmetic Agent, and Cosmetic Composition Containing Same. U.S. Patent 9023403B2, 3 June 2009. [Google Scholar]
- Dimayuga, R.; Garcia, S.; Nielsen, P.H.; Christophersen, C. Traditional medicine of Baja California sur (Mexico) III. Carnosol. A diterpene antibiotic from Lepechinia hastata. J. Ethnopharmacol. 1991, 31, 43–48. [Google Scholar] [CrossRef] [PubMed]
- Encarnación-Dimayuga, R.; Almada, G.; Virgen, M. Minimum antimicrobial inhibitory concentration of carnosol and of the ethanol extract from Lepichinia hastata (Lamiaceae). Phytomedicine 1998, 5, 301–305. [Google Scholar] [CrossRef] [PubMed]
- Rojas, R.; Bustamante, B.; Bauer, J.; Fernández, I.; Albán, J.; Lock, O. Antimicrobial activity of selected Peruvian medicinal plants. J. Ethnopharmacol. 2003, 88, 199–204. [Google Scholar] [CrossRef]
- Chirinos, R.; Pedreschi, R.; Rogez, H.; Larondelle, Y.; Campos, D. Phenolic compound contents and antioxidant activity in plants with nutritional and/or medicinal properties from the Peruvian Andean region. Ind. Crops Prod. 2013, 47, 145–152. [Google Scholar] [CrossRef]
- Cicció, J.F.; Soto, V.H.; Poveda, L.J. Essential oil of Lepechinia schiedeana (Lamiaceae) from Costa Rica. Rev. Biol. Trop. 1999, 47, 373–375. [Google Scholar] [CrossRef]
- Armijos, C.; Ramírez, J.; Salinas, M.; Vidari, G.; Suárez, A. Pharmacology and Phytochemistry of Ecuadorian Medicinal Plants: An Update and Perspectives. Pharmaceuticals 2021, 14, 1145. [Google Scholar] [CrossRef]
- Estrada-Soto, S.; Rodríguez-Avilez, A.; Castañeda-Ávila, C.; Castillo-España, P.; Navarrete-Vázquez, G.; Hernández, L.; Aguirre-Crespo, F. Spasmolytic action of Lepechinia caulescens is through calcium channel blockade and NO release. J. Ethnopharmacol. 2007, 114, 364–370. [Google Scholar] [CrossRef]
- Camina, J.; Dambolena, J.S.; Zygadlo, J.A.; Ashworth, L. Cheminal Composition of essential oils of peltate glandular trichomes from leaves and flowers of Lepechinia floribunda (Lamiaceae). Bol. Soc. Argent. Bot. 2018, 53, 375–384. [Google Scholar] [CrossRef]
- Solano-Cueva, N.; Figueroa, J.G.; Loja, C.; Armijos, C.; Vidari, G.; Ramírez, J. A Validated HPLC-UV-ESI-IT-MS Method for the Quantification of Carnosol in Lepechinia mutica, a Medicinal Plant Endemic to Ecuador. Molecules 2023, 28, 6701. [Google Scholar] [CrossRef] [PubMed]
Disclaimer/Publisher’s Note: The statements, opinions and data contained in all publications are solely those of the individual author(s) and contributor(s) and not of MDPI and/or the editor(s). MDPI and/or the editor(s) disclaim responsibility for any injury to people or property resulting from any ideas, methods, instructions or products referred to in the content. |
© 2024 by the authors. Licensee MDPI, Basel, Switzerland. This article is an open access article distributed under the terms and conditions of the Creative Commons Attribution (CC BY) license (https://creativecommons.org/licenses/by/4.0/).










