Abstract
Improving sweet–waxy corn hybrids enriched in carotenoids via a hybrid breeding approach may provide an alternative cash crop for growers and provide health benefits for consumers. This study estimates the combining ability and heterosis of sweet–waxy corn hybrids for yield-related traits and carotenoids. Eight super sweet corn and three waxy corn lines were crossed to generate 24 F1 hybrids according to the North Carolina Design II scheme, and these hybrids were evaluated across two seasons of 2021/22. The results showed that both additive and non-additive genetic effects were involved in expressing the traits, but the additive genetic effect was more predominant. Most observed traits exhibited moderate to high narrow-sense heritability. Three parental lines, namely the ILS2 and ILS7 females and the ILW1 male, showed the highest positive GCA effects on yield-related traits, making them desirable for developing high-yielding hybrids. Meanwhile, five parental lines, namely the ILS3, ILS5, and ILS7 females and the ILW1 and ILW2 males, were favorable general combiners for high carotenoids. A tested hybrid, ILS2 × ILW1, was a candidate biofortified sweet–waxy corn hybrid possessing high yields and carotenoids. Heterosis and per se performance were more positively correlated with GCAsum than SCA, indicating that GCAsum can predict heterosis for improving biofortified sweet–waxy corn hybrid enriched in carotenoids. The breeding strategies of biofortified sweet–waxy corn hybrids with high yield and carotenoid content are discussed.
1. Introduction
People in most Asian countries commonly consume waxy or glutinous corn (Zea mays L. var. ceratina). In Thailand, people harvest waxy corn during the immature stage and consume it as boiled or steamed corn, like sweet corn [1,2]. Traditional waxy corn has more significant amounts of amylopectin (95–100%) [3], resulting in high stickiness and soft tenderness but poor sweetness and low sugar content [4]. Corn breeders attempt to develop new waxy corn hybrids with high yields, unique eating qualities, and uniform ear appearance [5]. Sweet–waxy corn hybrids can improve the palatability of traditional cooked waxy corn by utilizing the synergistic effect of multiple sweet genes, including su1, sh2, and se, into the wx background [5,6,7]. Generally, waxy corn has various kernel colors, including white, white-cream, yellow, purple, and black, relating to nutraceutical compounds such as carotenoids, anthocyanins, and phenolics that promote human health [1,8,9,10]. However, commercial varieties with white or white-cream kernel colors, lacking carotenoids, are preferable in many countries, and consumers do not prefer other kernel colors [11,12]. The consumer acceptance of other waxy corn kernel colors, for instance, yellow, is challenging. In contrast, yellow sweet corn, the most popular corn type in the market, has been recognized as a good source of macular carotenoids, including lutein and zeaxanthin [13,14]. These two carotenoids, called macular pigments, which humans cannot synthesize but should accumulate from dietary foodstuffs, may improve vision and prevent age-related macular degeneration (AMD) and blue-light damage [15,16,17]. Considering that health aspect, the University of Queensland successfully improved a new super sweet corn hybrid to provide an adequate intake of zeaxanthin per cob per day, which is equivalent to synthetic supplements of 2 mg per day as suggested [15,18]. Other carotenoids found in biofortified corn are provitamin A, including α-carotene, β-carotene, and β-cryptoxanthin, which can be converted into retinol [19]. Those compounds have several essential health benefits, such as inhibiting some forms of cancer, preventing macular degeneration, decreasing the risk of cataract formation, preventing cardiovascular disease, and enhancing immunity [11,20]. Therefore, providing biofortified sweet–waxy corn hybrids with high eating quality and carotenoid contents will expand the market segments and benefit human health.
The use of heterosis breeding offers the possibility of improving the quantitative traits in cross-pollinated crops. Sunny et al. [21] reported that per se evaluation is often ineffective for parental selection on yield-related traits due to their polygenic nature. The selection can be more biased due to unstable performance across environments and weaker vigor due to inbreeding depression [22]. Understanding the effects of general combining ability (GCA) and specific combining ability (SCA) between inbred lines and optimizing heterosis in their hybrids for yield-related traits and carotenoids is critical to heterosis-based biofortification breeding [11,23]. Combining ability analysis can also assess the relative importance and modes of gene action involved in the commercial hybrids to desired traits [24]. While our previous study demonstrated the predominance of non-additive genetic effects governing the inheritance of carotenoids [25], other studies reported that carotenoids were additively inherited [11,23,26,27,28,29]. Both additive and non-additive genetic effects also played significant roles in the expression of carotenoids [30,31].
Breeding approaches can improve carotenoids without adverse effects on yield [23,27,28,30]. Unlike sweet and field corn, where multiple studies have investigated the combining ability and heterosis on given parameters, waxy corn lacks similar studies targeting yields and carotenoids. We aim to estimate the combining ability and heterosis of sweet–waxy corn hybrids on yield-related traits and carotenoids. This study will provide insights into heterosis-based biofortification breeding for sweet–waxy corn hybrids with better yield and nutritional values.
2. Results
2.1. Performance of Parents, F1 Hybrids, and Commercial Checks on Yield-Related Traits and Carotenoids
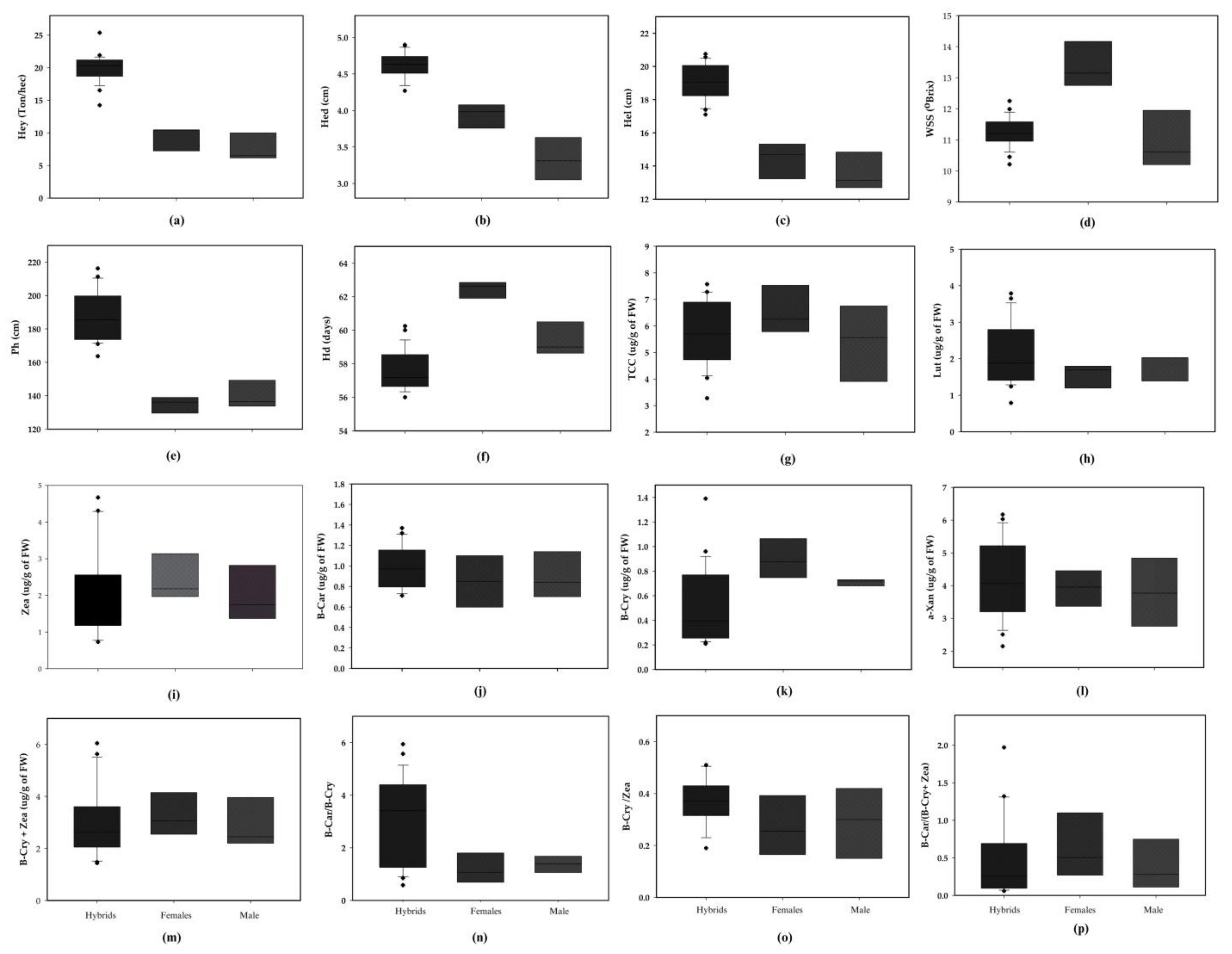
The hybrids exhibited higher means than their corresponding parents for six yield and agronomic traits, except for water-soluble solids and harvest date (Figure 1). The distribution of all carotenoids measured in both hybrids and parents was wide, except for β-cryptoxanthin and β-carotene/β-cryptoxanthin in male lines. Furthermore, there were significant differences between hybrids and their corresponding parents for lutein, β-carotene, β-carotene/β-cryptoxanthin, and β-cryptoxanthin/zeaxanthin. In contrast, the mean values of the hybrids were lower than the parent for total carotenoid content, zeaxanthin, β-cryptoxanthin, and β-carotene/(β-cryptoxanthin + zeaxanthin). There was no difference between hybrids and parents for α-xanthophyll and β-cryptoxanthin + zeaxanthin. These results implied that the different hybrids may exhibit varied performances according to the traits observed.
Figure 1.
Box plots of the F1 hybrids and their corresponding parents on yield-related traits and carotenoids across two seasons between 2021 and 2022. (a) Husked ear yield; (b) husked ear diameter; (c) husked ear length; (d) water-soluble solid; (e) plant height; (f) harvest date; (g) total carotenoid content; (h) lutein; (i) zeaxanthin; (j) β-carotene (k) β-cryptoxanthin; (l) α-xanthophyll; (m) β-cryptoxanthin + zeaxanthin; (n) β-carotene/β-cryptoxanthin; (o) β-cryptoxanthin/zeaxanthin; (p) β-carotene/(β-cryptoxanthin + zeaxanthin). The plus sign “
” represents outliers.
” represents outliers.
Parents, hybrids, and commercial checks showed significant differences in all the traits observed (Supplementary Tables S1 and S2). However, we did not notice superior hybrids with high means of yield-related traits and carotenoids. The hybrid ILS2 × ILW1 had the highest husked ear yield (25.37 ton/ha), surpassing both commercial checks 1 and 2 (1.15 and 1.42-fold, respectively) (Supplementary Table S1). The hybrid ILS4 × ILW1 (20.75 cm) showed the highest husked ear length but was not significantly different from commercial check 1 (19.74 cm). Commercial check 1, a super sweet corn hybrid, had the highest water-soluble solid (13.36 °Brix) but was not significantly different with ILS5 × ILW1 (12.25 °Brix). The commercial check 1 was the tallest (212.17 cm), while the hybrid ILS8 × ILW2 was the shortest (163.67 cm). The hybrid ILS8 × ILW2 exhibited the earliest maturity among all tested hybrids (56.00 days after pollination; DAP), although it was still later than the commercial check 2 (55.17 DAP).
The best hybrid evaluated, ILS2 × ILW1, had a significantly higher total carotenoid content (7.57 µg/g of FW) than commercial checks 1 and 2 (2.07 and 18.46-fold, respectively) (Supplementary Table S2). This hybrid also showed the highest zeaxanthin, β-carotene, α-xanthophyll, and β-cryptoxanthin + zeaxanthin content, surpassing commercial check 1 by 1.71 and 2.33-fold, respectively. The other hybrid, ILS6 × ILW2, showed higher lutein (3.79 µg/g of FW) content than commercial check 1 by 4.62-fold. The hybrid ILS3 × ILW2 showed the highest β-cryptoxanthin, β-cryptoxanthin/zeaxanthin, and β-carotene/(β-cryptoxanthin + zeaxanthin) content among all tested hybrids and surpassed commercial check 1 by 1.43–2.21 fold. The hybrid ILS3 × ILW1 had a higher β-carotene/β-cryptoxanthin content than commercial check 1 by 4.15-fold. Two of the top five hybrids, ILS2 × ILW1 and ILS3 × ILW2, exhibited high contents of all observed carotenoids, excluding lutein and β-carotene/β-cryptoxanthin, making these hybrids promising for providing biofortified sweet–waxy corn cultivars.
2.2. Variance Components and Heritability Estimates on Yield-Related Traits and Carotenoids
Environment (E), hybrid (H), and their interaction (H × E) were highly significant for yield-related traits and carotenoids, except for husked ear diameter, which was not significant for the H × E (Table 1 and Table 2). We found remarkable variations of GCAmales, GCAfemales, SCA, and H × E for all studied traits.
Table 1.
Mean squares for yield-related traits in 24 sweet–waxy corn F1 hybrids evaluated across two seasons between 2021 and 2022.
Table 2.
Mean squares for carotenoids in 24 sweet–waxy corn F1 hybrids evaluated across two seasons between 2021 and 2022.
The proportion of additive variance to the total variance was predominant for yield-related traits and carotenoids, except for husked ear yield, harvest date, β-cryptoxanthin, and β-cryptoxanthin/zeaxanthin (Table 1 and Table 2). The results indicated that the additive genetic effect was vital in controlling those traits. We found diverse estimates of narrow-sense heritability (h2ns), ranging from 0.01 to 0.77, for all studied traits. While husked ear yield, harvest date, β-cryptoxanthin, and β-cryptoxanthin/zeaxanthin had low h2ns, the other yield-related traits and carotenoids showed relatively moderate to high h2ns.
2.3. General Combining Ability (GCA) Effects on Yield-Related Traits and Carotenoids
The GCA estimates varied across parental lines within the same trait and across different traits within the same line (Table 3 and Table 4). We did not obtain any individual line with favorable GCA estimates on all traits studied. Negative GCA effects were desirable for plant height and harvest date, while positive GCA effects were commonly preferred for yield components and carotenoids. Two lines, ILS8 and ILW2, exhibited significantly negative GCA effects for both plant height and harvest date, making them potential for reducing plant size and shortening maturity (Table 3). The female line ILS2 exhibited positive and significant GCA effects for husked ear yield and water-soluble solids. Similarly, the other female line, ILS7, had significant GCA effects for husked ear yield and diameter. Those two lines were promising females for increasing yield- and quality-related traits. Meanwhile, the male line ILW1 had positive and significant GCA effects on husked ear yield and the other yield components. We can employ that line to develop high-yielding hybrids via heterotic breeding. However, no male lines had positive and significant GCA effects on water-soluble solids.
Table 3.
General combining ability (GCA) of 11 parental lines for yield-related traits evaluated across two seasons between 2021 and 2022.
Table 4.
General combining ability (GCA) of 11 parental lines for carotenoids evaluated across two seasons between 2021 and 2022.
Two female lines, ILS3 and ILS5, had positive and significant GCA effects for lutein, β-cryptoxanthin, β-cryptoxanthin/zeaxanthin, and β-carotene/(β-cryptoxanthin + zeaxanthin), whereas the ILS7 for total carotenoid content, zeaxanthin, β-carotene, and β-cryptoxanthin + zeaxanthin (Table 4). This finding showed that these females were promising for high carotenoid contents. The male line, ILW1, had positive and significant GCA effects for total carotenoid content, zeaxanthin, β-carotene, α-xanthophyll, β-cryptoxanthin + zeaxanthin, and β-carotene/β-cryptoxanthin. In contrast, the other male line, ILW2, had favorable GCA for lutein, β-cryptoxanthin, β-cryptoxanthin/zeaxanthin, and β-carotene/(β-cryptoxanthin + zeaxanthin). Considering the GCA effects of different traits and choosing parents that show superiority for the desired heterotic traits, following breeding program objectives are necessary.
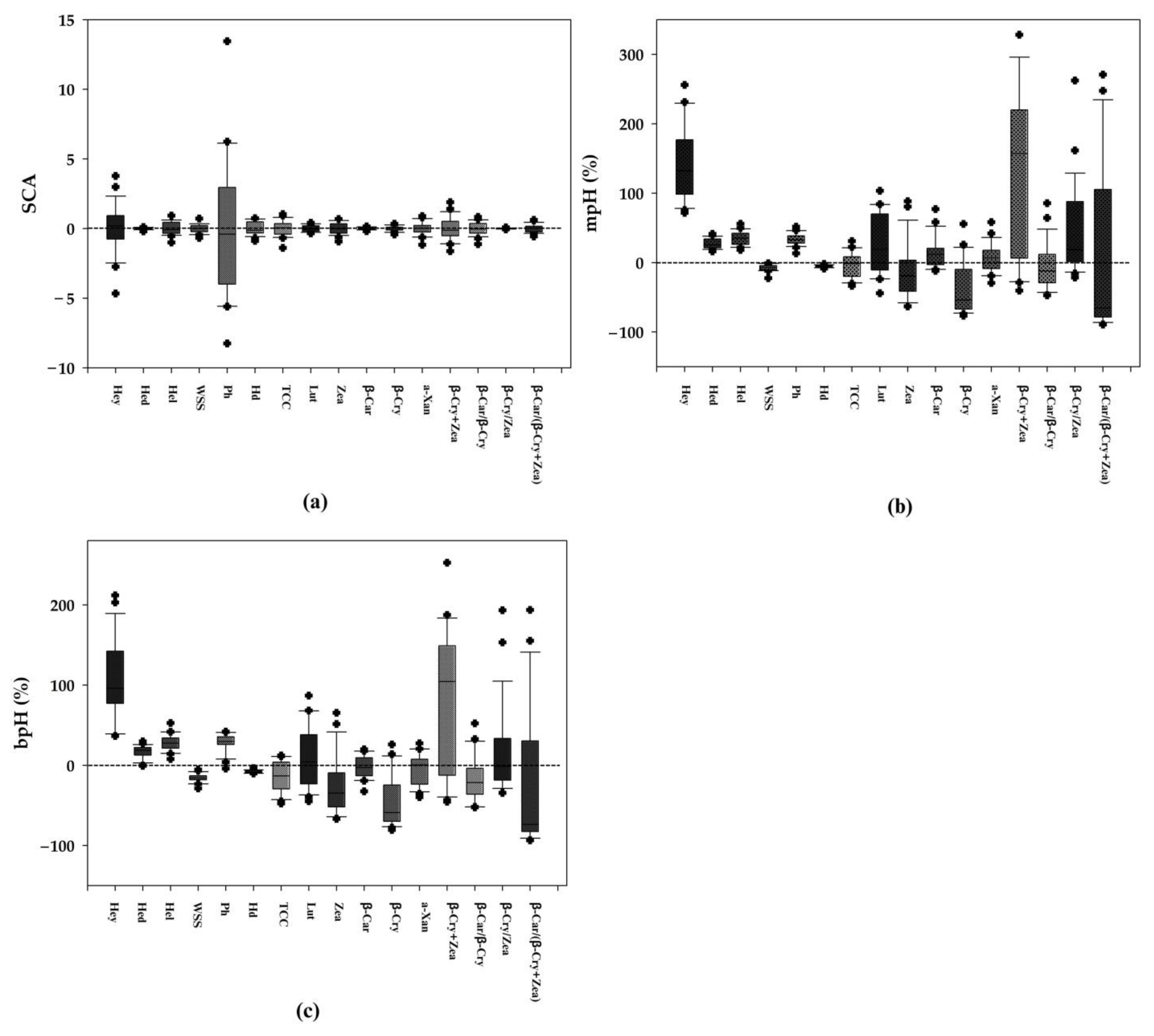
2.4. Specific Combining Ability (SCA) and Heterosis Effect on Yield-Related Traits and Carotenoids
The SCA effect of hybrids was significant on all observed traits; however, the distribution of the SCA was narrow, except for husked ear yield and plant height (Figure 2a). None of the individual hybrids showed favorable SCA for all traits observed (Supplementary Table S3). Negative SCA was important for plant height and harvest date, whereas positive SCA was preferred for yield components and carotenoids. Seven hybrids, including ILS1 × ILW2, ILS2 × ILW2, ILS3 × ILW3, ILS4 × ILW1, ILS4 × ILW3, ILS5 × ILW3, and ILS6 × ILW1, displayed negative and significant SCA effects for plant height and harvest date representing the short and early maturing hybrids. Four hybrids, including ILS1 × ILW1, ILS2 × ILW1, ILS6 × ILW2, and ILS6 × ILW3, exhibited positive and significant SCA effects for husked ear yield, husked ear diameter, and husked ear length representing the high yielding hybrids. Two hybrids, ILS2 × ILW3, and ILS6 × ILW1, had negative and significant SCA effects for those traits. In addition, ILS6 × ILW1 displayed negative and significant SCA effects for all traits studied.
Figure 2.
Boxplots of (a) specific combining ability (SCA), (b) mid-parent heterosis (mpH), and (c) better-parent heterosis (bpH) for yield-related traits and carotenoids in 24 hybrids across two seasons between 2021 and 2022. The plus sign “
” represents outliers.
” represents outliers.
Some hybrids showed remarkable SCA effects for carotenoids (Supplementary Table S4). Eight hybrids, including ILS1 × ILW1, ILS2 × ILW1, ILS4 × ILW2, ILS5 × ILW2, ILS5 × ILW3, ILS6 × ILW2, ILS6 × ILW3, and ILS8 × ILW1, exhibited favorable SCA effects for six of ten carotenoids’ attributes. The hybrid ILS8 × ILW1 had the highest SCA effects on total carotenoid content, zeaxanthin, α-xanthophyll, and β-cryptoxanthin + zeaxanthin. The hybrid ILS3 × ILW1 exhibited the highest SCA effects for lutein and β-carotene/β-Cryptoxanthin. The hybrid ILS3 × ILW2 displayed the highest SCA effects for β-cryptoxanthin and β-carotene/(β-cryptoxanthin + zeaxanthin). Two hybrids, ILS2 × ILW1, and ILS3 × ILW1 exhibited the highest SCA effects for β-carotene and β-carotene/β-cryptoxanthin, respectively. Six hybrids, including ILS1 × ILW2, ILS2 × ILW2, ILS3 × ILW3, ILS5 × ILW1, ILS6 × ILW1, ILS7 × ILW2, and ILS8 × ILW3, exhibited negative and significant SCA effects for 6 of 10 carotenoid traits.
Significant heterosis was observed among hybrids for all traits studied (Figure 2b,c). The husked ear yield, husked ear diameter, husked ear length, and plant height traits revealed positive mid-parent heterosis (mpH). The distribution of mpH for husked ear yield, lutein, β-cryptoxanthin + zeaxanthin, β-cryptoxanthin/zeaxanthin, and β-carotene/(β-cryptoxanthin + zeaxanthin) was broad (Figure 2b). Positive better-parent heterosis (bpH) was found on husked ear yield and husked ear length. The values distributed widely for husked ear yield, β-cryptoxanthin + zeaxanthin, and β-carotene/(β-cryptoxanthin + zeaxanthin) (Figure 2c).
All hybrids demonstrated negative and significant heterosis for water-soluble solid and harvest date, except ILS1 × ILW2, ILS5 × ILW1, and ILS7 × ILW3 hybrids, which had no significance for mpH (Supplementary Table S5). Furthermore, all hybrids exhibited positive and significant heterosis for plant height, except ILS4 × ILW2 and ILS4 × ILW3 hybrids, which had no significance. The ILS8 × ILW2, ILS8 × ILW3, and ILS1 × ILW1 had high heterosis for husked ear yield, husked ear diameter, husked ear length, and water-soluble solids. The hybrid ILS2 × ILW1 showed the highest heterosis for total carotenoid content, zeaxanthin, β-carotene, α-xanthophyll, and β-cryptoxanthin + zeaxanthin (Supplementary Table S6). The highest heterosis for lutein, β-cryptoxanthin, β-carotene/β-cryptoxanthin, β-cryptoxanthin/zeaxanthin, and β-carotene/(β-cryptoxanthin + zeaxanthin) were found in the hybrids ILS6 × ILW2, ILS3 × ILW2, ILS3 × ILW1, ILS8 × ILW2, and ILS5 × ILW2, respectively. One of the 24 hybrids, ILS3 × ILW2, displayed positive and significant heterosis for β-cryptoxanthin.
2.5. Correlation between Yield-Related Traits of F1 Hybrids, Heterosis, and Combining Ability
Mid-parent (mpH) and better-parent (bpH) heterosis significantly correlated with the sum of parental general combining ability (GCAsum) for harvest date and all carotenoid fractions, except for β-carotene and β-cryptoxanthin/zeaxanthin (Table 5). Moreover, mpH and bpH significantly correlated with SCA for water-soluble solids, plant height, harvest date, total carotenoid content, β-cryptoxanthin, α-xanthophyll, and β-carotene/β-cryptoxanthin. The result implies that the GCAsum is more accurate for predicting heterosis than SCA. The correlation between F1 performance and GCAsum was significant and positive for all traits observed. The correlation between F1 performance and SCA was also significant and positive for most traits studied, except for husked ear diameter, plant height, lutein, zeaxanthin, β-cryptoxanthin + zeaxanthin, and β-cryptoxanthin/zeaxanthin. Likewise, the correlation between F1 performance and heterosis was significant, except for the correlation between F1 performance and bpH, which was not significant for most yield-related traits. We found that neither mpH nor bpH were significantly correlated with GCAsum and SCA. Additionally, there was no correlation between F1 performance and bpH for husked ear yield, husked ear diameter, or husked ear length.
Table 5.
Correlation analysis of heterosis, combining ability, and hybrid performance (F1) for yield-related traits and carotenoids across two seasons between 2021 and 2022.
3. Discussion
Lutein and zeaxanthin, which are α-xanthophyll or macular carotenoids central to reducing the risk of AMD, were the predominant carotenoids found in our biofortified hybrids (37.8 and 35.3%, respectively, totaling 73.1%), followed by β-carotene (17.1%) and β-cryptoxanthin (8.7%) (Figure 1 and Supplementary Table S2). Previous studies reported that about 30% of lutein or zeaxanthin was found in the F1 hybrids evaluated [11,25]. However, other studies found only zeaxanthin as the major carotenoid, representing more than 50% of total carotenoids [15,18,23,27]. Regarding carotenoids central to alleviating vitamin A deficiency, β-carotene was more predominant than β-cryptoxanthin in composing provitamin A. Moreover, 21 of 24 hybrids also showed a higher ratio of β-carotene/β-cryptoxanthin than 1. Our study agreed with the results of Azmach et al. [23], Senete et al. [28], and Owens et al. [32] but was opposed to other studies that reported a larger proportion of β-cryptoxanthin than β-carotene [11,17,27]. These differences may have resulted from the selection for carotenoids, which was carried out during inbred line improvement, or may be due to general differences in the genetic background of germplasm. Differences in extraction and analysis methods may also contribute to differences in carotenoid profiles in field corn [11]. The additional derivative traits, such as the sum and the ratio between individual fractions of carotenoids, may serve as an indirect selection for final carotenoids in corn [32,33]. The following ratios, β-carotene/β-cryptoxanthin, β-cryptoxanthin/zeaxanthin, and β-carotene/(β-cryptoxanthin + zeaxanthin), shared the same β-arm of the biosynthetic pathway; thus, it should be feasible to increase the levels of multiple carotenoids simultaneously. Our study implies that breeding for biofortified corn can include parents expressing substantial and multiple carotenoid compositions.
People recognize traditional waxy corn for its high stickiness due to its high proportion of amylopectin. Today’s consumers prefer more palatable corn with balanced flavor, texture, and aroma [34]. Corn breeders in Thailand utilize the sh2 recessive genes encoding sweetness to improve the eating quality of traditional waxy corn via sweet–waxy corn hybrids [4,5,6,35]. The biofortified orange waxy corn offers more beneficial values, as carotenoids are vital in maintaining human health. We, therefore, improved high-yielding synergistic waxy corn hybrids carrying double-recessive genes coupled with high carotenoid content. The ILS2 × ILW1 hybrid was the most promising hybrid among others in this study because it exhibited the highest husked ear yield of 25.37 ton/ha, surpassing both commercial checks. Moreover, it had shorter plant height and earlier maturity than the sweet corn check (Supplementary Table S1). This ideotype was suitable for modern corn farming to decrease the percentage of lodging, enable high planting density, improve light interception of the plant canopy, and obtain higher economic yield [34]. The rapid adoption of that hybrid may help corn growers minimize the risk of yield losses due to plant lodging during vegetative and grain-filling stages [34,36].
Water-soluble solids indirectly represent sweetness in vegetable corn. The ILS2 × ILW1 hybrid also had a higher water-soluble solid than the sweet–waxy corn check but could not surpass the sweet corn check. Consumers who consume steamed waxy corn in their diets prefer the improved sweet–waxy corn hybrid with a strong sweet flavor while maintaining stickiness. In addition to having substantial water-soluble solid, that hybrid had the highest total carotenoid content of 7.57 µg/g of FW (111 µg/g of DW, considering 75% moisture content), which comprised ca. 61.69% zeaxanthin, higher than yellow sweet corn checks at ca. 2.57-fold (Supplementary Table S2). Our hybrid also had higher total carotenoid content and zeaxanthin than central Croatian commercial sweet corn hybrids at ca. 4.44 and 1.85-fold, respectively [37]. However, our hybrid could not beat the improved zeaxanthin sweet corn that had a higher value at 2.01-fold [15,18]. Carotenoid content depends on genotype, site-specific pedo-climatic conditions, agronomic factors, nitrogen fertilization [38], and extraction and analysis methods [11]. Our hybrid also revealed the highest β-carotene, α-xanthophyll, and β-cryptoxanthin + zeaxanthin, surpassing the sweet corn hybrid check, accounting from 2.31 to 2.57-fold. The other two hybrids, ILS6 × ILW2 and ILS3 × ILW2 were also favorable due to high lutein and β-cryptoxanthin, respectively. Those hybrids mentioned above require further field evaluations over multiple locations and years to confirm their adaptability and stability.
Selecting superior parents enhances the possibility of developing biofortified sweet–waxy corn hybrids. A thorough study of combining ability was essential for understanding genetic effects responsible for yield-related traits and carotenoids. Our study revealed that the additive gene action had remarkable effects in expressing yield-related traits and carotenoids. In contrast, the non-additive gene action predominantly affected the expression of husked ear yield, harvest date, β-cryptoxanthin, and the β-cryptoxanthin/zeaxanthin ratio (Table 1 and Table 2). Dermail et al. [22] found equal contributions between additive and non-additive genetic effects regulating yield-related traits in field corn. Previous investigations reported the immense contribution of additive gene effect instead of non-additive effects on lutein, zeaxanthin, β-cryptoxanthin, and β-carotene of maize [27,29]. Halilu et al. [30] found the predominance of additive gene action on β-cryptoxanthin, whereas non-additive gene actions on grain yield, α-carotene, β-carotene, and provitamin A [11,39]. Meanwhile, both additive and non-additive gene actions controlled carotenoids and their related compounds in the kernels of field corn [40]. Genotype-dependent and environmental effects may explain those contrasting results. Babu et al. [41] noticed that partial-dominant and -recessive gene actions were predominant in corn kernels for the genes LCYE-50TE and crtrB1-30TE, respectively. The superiority of additive and non-additive gene actions implies applying recurrent selection and heterosis breeding, simultaneously improving targeted traits in corn.
Genetic improvement in crop plants depends on the magnitude of heritability of economic traits [42]. High heritability indicates that the influence of genetic factors is more significant for phenotypes when compared to the environment. Moderate to high heritability estimates were reported for waxy corn yield-related traits [43]. Our present study found narrow-sense heritability ranging from 0.01 to 0.77 for yield and its associated traits (Table 1). Those values were relatively high, indicating the significant progress of breeding for the formation of corn hybrids with suitable ear components and plant height, except for husked ear yield and harvest date. The lack of additive gene effect and poor heritability on husked ear yield and harvest date indicated that slow progress in genetic gain and phenotypic selection could have improved yield and harvest date more effectively. Furthermore, we also noticed that most carotenoids, except β-cryptoxanthin and β-cryptoxanthin/zeaxanthin, illustrated moderate to high narrow-sense heritability. The result corroborated previous investigations on carotenoids in field corn [11,29,40,44,45]. High heritability estimates indicate a higher frequency of favorable alleles and genes controlling the traits and the potential to improve these traits with traditional breeding strategies [46]. Accordingly, heritability observed for carotenoids indicated that conventional breeding is doable for enhancing these traits. However, other studies found that low estimates of heritability were noticed on carotenoids [30,47,48]. These results confirmed that this genetic parameter could be varied for different genetic materials and growing environments. Moreover, the relatively lower heritability of β-cryptoxanthin may be due to technical limitations in reliably separating them from other carotenoids that overlap in the elution system of HPLC [32].
Combining ability helps better understand the mode of gene action controlling the trait of interest and devise breeding strategies to improve the traits. Both the parental lines and their hybrids showed broad ranges of variation. In most, a parent is regarded as a good general combiner if it has higher positive or negative substantial general combining ability (GCA) effects depending on the breeding objectives [49]. Inbreds with significant GCA effects for more than one trait are of great interest for breeding. The female ILS2 and ILS7 presented positive GCA effects for yield-related traits, and the male was ILW1 (Table 3). This result indicated that these inbreds were good in general for yield and their attributes and can be used to develop high-yielding hybrids by sharing desirable alleles. Contrary to females, no males had positive GCA effects for water-soluble solids. It implied that these parents corresponded to the sweet corn and waxy corn groups, respectively, according to Fuengtee et al. [35]. Furthermore, the positive and significant GCA effects for each fraction of carotenoids were separately found in the ILS3, ILS5, and ILS7 females and ILW1 and ILW2 males, indicating that none of the parental lines were the best general combiner for all the studied traits (Table 4). Meanwhile, the genotypes ILS8 and ILW2 had negative GCA effects for plant height and harvest date, indicating that these lines were potential genetic stocks for short plant stature and early maturity in corn hybrid breeding. Specific combining ability (SCA) effects help identify specific crosses with desirable traits [50]. In this study, the ILS1 × ILW1 (high × high combiner) hybrid on husked ear yield, zeaxanthin, and β-cryptoxanthin + zeaxanthin had the highest positive SCA effects, caused by additive × additive gene action (Supplementary Tables S3 and S4). The ILS6 × ILW2 (high × low combiner) hybrid on husked ear diameter, ILS2 × ILW1 (low × high combiner) hybrid on husked ear length, ILS8 × ILW1 (low × high combiner) hybrid on total carotenoid content, zeaxanthin, and α-xanthophyll, ILS6 × ILW2 (low × high combiner) hybrid on lutein, ILS5 × ILW3 (high × low combiner) hybrid on β-cryptoxanthin, and ILS2 × ILW1 (high × low combiner) hybrid on β-cryptoxanthin/zeaxanthin, had the highest positive SCA effects due to the epistatic × additive or additive × epistatic mode of gene action. However, the low × low combiners, including ILS6 × ILW3 and ILS8 × ILW2 hybrids on water-soluble solid, ILS2 × ILW1 hybrid on β-carotene, ILS5 × ILW2 hybrid on β-carotene/β-cryptoxanthin, ILS5 × ILW1 hybrid on β-cryptoxanthin/zeaxanthin, and ILS4 × ILW1 hybrid on β-carotene/(β-cryptoxanthin + zeaxanthin), had the highest positive SCA effects due to the presence of dominant × dominant gene action. The development of superior hybrids required any combinations with favorable SCA effects. Parents with high × high, high × low, and low × low GCA effects on traits suggest the presence of additive, dominant, and epistatic gene effects, respectively. The genetic variation in the parents, as measured by the number of heterozygous loci of the parents resembled in the hybrid, may be responsible for the superior hybrids using high × low or low × low GCA effects as parents [49]. For instance, the negative SCA effect desired for the hybrid with short plant stature and earliness could be improved by using transgressive segregants from crosses involving low × low or high combinations of parents. A few hybrids exhibited unfavorable SCA effects on some traits, which might be attributed to the insufficient complementation of parental genes with favorable GCA effects. In contrast, parents with poor GCA effects may produce hybrids with high SCA effects due to the involvement of complementary genes. Previous studies found similar findings [25,27,51]. The high × low combiner was appropriate for heterosis breeding, whereas the high × high combiner for population improvements via pedigree selection [23].
The estimation of the magnitude of heterosis allowed us to identify different cross-combinations, improving the performance of the traits under study. Although there are still some gaps in our understanding of the mechanism of heterosis, significant progress has been made in predicting hybrid performance [52,53]. The ILS8 × ILW2 hybrid exhibited significantly higher husked ear yield than the corresponding mid- and better-parents. In contrast, the ILS1 × ILW1 hybrid produced a greater husked ear diameter and length than the corresponding mid- and better parents. Most hybrids had lower means of water-soluble solid and harvest date than their corresponding parents (Supplementary Table S5). For carotenoids, none outperformed for all traits studied (Supplementary Table S6). Although there was a possibility of exploiting heterosis to increase the concentration of carotenoids [23,27,28,44], some studies reported that heterosis was rare for carotenoids, and this phenomenon could be explained by the QTL approach [54]. The ILS2 × ILW1 hybrid revealed higher contents of zeaxanthin, β-carotene, α-xanthophyll, and β-cryptoxanthin + zeaxanthin than the corresponding mid- and better-parent. The other hybrids, including ILS6 × ILW2, ILS3 × ILW2, ILS3 × ILW1, ILS8 × ILW2, and ILS5 × ILW2, had significantly high heterosis for lutein, β-cryptoxanthin, β-carotene/β-cryptoxanthin, β-cryptoxanthin/zeaxanthin, and β-carotene/(β-cryptoxanthin + zeaxanthin). Thus, we can further explore those hybrids for greater yield, agronomic traits, and nutritional values. Among those hybrids, ILS2 × ILW1 was the most superior for yield-related traits and carotenoid contents; moreover, this hybrid displayed significantly high estimates of both SCA and heterosis.
Integrating combining ability, hybrid performance, and heterosis helps identify crosses with comparatively high levels of heterosis and thus provides valuable insights for crop improvement. For all traits studied, the relationship between GCAsum and hybrid performance was generally more substantial than between the SCA effect and hybrid performance (Table 5). Therefore, the GCAsum values may be a good indicator for predicting hybrid performance to develop potential hybrids in commercial corn breeding, supported by several previous studies [55]. Moreover, the correlation of GCAsum with the hybrid performance was higher than that with heterosis. We also found that hybrid performance had a stronger correlation with heterosis because heterosis predominantly contributes to trait performance in F1 hybrids [56,57]. In contrast, the correlation between the SCA effect and heterosis for most traits studied was insignificant. Hence, the SCA effect may not necessarily be a reliable indicator of heterosis prediction. Other studies reported that dominance effects and nonallelic interactions mainly cause heterosis; therefore, SCA is essential for heterosis [58,59]. Parental adaptation also played an essential role in explaining the high heterosis estimates when the observed traits lacked non-additive gene effects [53].
4. Materials and Methods
4.1. Plant Materials and Mating Design
Seven of eight sweet corn lines used as females derived from the founder parent genotype Hibrix-53//KV/Delectable carrying double recessive genes (sh2sh2wxwx). This inbred line was developed from tropical waxy corn KV (Sh2Sh2wxwx) and temperate super sweet corn Delectable (sh2sh2WxWx). The progenies were crossed and then backcrossed to tropical sweet corn Hibrix-53 (sh2sh2WxWx) to improve agronomic adaptation and plant stand under tropical climate. Both conventional and SSR marker-assisted selections were performed during family improvements [4,60] at the Thammasat University, Thailand, from 2016 to 2021. Two genotypes, 22-7 (sh2sh2wxwx) and 301-6 (Sh2Sh2wxwx), were obtained from the local seed company. The other two genotypes, 13A-5 and KV3473-2-2 (Sh2Sh2wxwx), differing in kernel colors, were derived from the Plant Breeding Research Center for Sustainable Center, Khon Kaen University, Thailand (Table 6).
Table 6.
Parental inbred lines used in the North Carolina Design II scheme.
To generate synergistic sweet–waxy corn hybrids, eight sweet corn lines were designated as Group I and three waxy corn lines as Group II to generate 24 F1 hybrids by following the North Carolina Design II [61]. Those hybrids were established at the Research Farm, Thammasat University, Thailand, in 2021. Due to the different maturity levels of our parental lines, twice to thrice staggered plantings of sweet and waxy corn lines were conducted to ensure pollination [34].
4.2. Field Experiment
Eleven parental lines, 24 F1 progenies, and two commercial super sweet and sweet–waxy corn hybrids were laid out in a randomized complete block design (RCBD) with three replications and evaluated in the dry season of 2021/22 and the rainy season of 2022 at the Research Farm, Thammasat University, Thailand (+14.07450, +0.6094167, and 7.3 masl). This site had clay soil (pH = 4.91), deficient total nitrogen (0.08%), available phosphorus (3.85 ppm), and high extractable potassium (165.96 ppm). Weather data, including total rainfall, relative humidity, temperature, and solar radiation, were collected from the nearest meteorological stations (Supplementary Figure S1). Parental lines and hybrids were planted in adjacent blocks in the same field; therefore, these blocks were separately randomized within each replicate. This modification was performed to avoid drawbacks such as borders, shading, and competition effects. Each plot consisted of 4 rows of 5 m in length with 75 cm and 25 cm row and plant spacing, respectively. The crop field management followed the recommendations of the Department of Agriculture, Thailand, including fertilization, irrigation, and pest control. Hand-pollination was carried out to avoid unintended pollen contamination.
4.3. Data Collection
The green ears were harvested at approximately 20 to 23 DAP when the corn ears reached the milk stage [62]. The following yield-related traits were observed: plant height, as the average height of ten plants measured from ground level to the base of tassel (m); harvest date, as the number of days from planting to harvesting in 50% of the plants in the plot (days); husked ear yield, as the total weight of the husked ears per plot (ton/ha). Five marketable corn ears were sampled in each plot for measuring the following traits: husked ear diameter, as the average diameter of the five husked ears (cm); husked ear length, as the average length of the five husked ears (cm); and water-soluble solid, as measured using a digital hand-held pocket refractometer (mod. PAL-1, Atago Co., Ltd., Tokyo, Japan) (°Brix).
Five sib-pollinated ears per plot were used as a sample for carotenoid analysis. Kernels located in the middle of cobs were manually separated, frozen in liquid nitrogen to stop the enzymatic activity, and then ground in a sample mill, thoroughly mixed, and stored at −20 °C until analysis.
4.4. Sample Preparation and Carotenoid Analysis
The sample extraction followed the Schaub et al. [63] method with slight modifications. The milled samples were transferred to 6 mL of ethanol (containing 0.1% BHT) and mixed with a vortex mixer. Samples were heated in hot water at 85 °C for 3 min and then shaken, and this step was repeated twice. Samples were saponified with 120 µL of 80% KOH and shaken gently by hand. Samples were placed in an ice bath for 5 min, and then added with 4 mL of DI water, followed by thorough mixing using the vortex mixer. Samples were added with 3 mL of diethyl ether (DE)/petroleum ether (PE) (1:1, v/v) and carefully shaken until the two layers separated. Then, the aqueous solution was transferred into a new test tube. This step was repeated twice, and the resulting layers were pooled. The solution was adjusted to the final volume of 10 mL with PE:DE. The extracted solution was divided equally into two factions for different purposes. The first fraction was used to determine the total carotenoid content of each sample. A UV-vis spectrophotometer (mod. UV-128, Shimadzu Co., Ltd., Tokyo, Japan) was used to measure the absorbance at 450 nm. The total carotenoid content was expressed as micrograms per gram of fresh weight (µg/g of FW). Total carotenoid content was calculated using the following formula:
where A = absorbance at 450 nm, V = total volume of extract, g = sample weight, and A1% = the extinction coefficient for a mixture of solvents arbitrarily set at 2500.
Total carotenoid content (µg/g of FW) = (A × V × 104)/(A1% × g)
The second fraction was used to quantify each carotenoid. The extracts were concentrated until dryness under nitrogen flux. Afterward, samples were stored at −20 °C until further analysis. The frozen carotenoid extract was redissolved in 1 mL of methyl tert-butyl ether (MTBE): methanol (75: 25, v/v) and filtered through a 0.45 µm nylon membrane filter. The composition of solvents and the gradient elution conditions used were described by Wasuwatnakul et al. [25] and Gupta et al. [64] with modifications. Reversed-phase HPLC analysis of carotenoids was performed using a Shimadzu system (Shimadzu Co., Ltd., Tokyo, Japan) equipped with a binary pump (mod. LC-20AC pump) and a diode array detector (mod. SPD-M20A). The HPLC separation was performed on a reversed-phase C30 column (250 × 4.6 mm, Ø 3 µm) coupled to a 20 × 4.6 mm C30 guard column (YMC Co., Ltd., Kyoto, Japan). Operating conditions were as follows: flow rate of 1.5 mL/min, column temperature of 25 °C, injection volume of 20 µL, and a detection wavelength of 350–600 nm. The mobile phases used were methanol (phase A) and MTBE (phase B). Gradient elution was 50% B at 0 min, followed by a linear gradient to 60% B to 7.00 min at a flow rate of 1.5 mL/min. The 12.10 min gradient was changed to 15% B and was returned to the initial condition by 16.00 min. The four carotenoids, including lutein, zeaxanthin, β-carotene, and β-cryptoxanthin, were identified based on the same retention time and absorption spectral characteristics of external standards. The results for the carotenoids were expressed as µg/g of FW. A series of five sums and ratios, including α-xanthophyll (sum of lutein and zeaxanthin), β-cryptoxanthin + zeaxanthin, β-carotene/β-cryptoxanthin, β-cryptoxanthin/zeaxanthin, and β-carotene/(β-cryptoxanthin + zeaxanthin), followed Baseggio et al. [33].
4.5. Data Analysis
The data were subjected to a single analysis of variance to check the homogeneity of residual variances [65]. Since error variances were homogeneous, the data over two seasons were combined following the additive model below.
where Yijk is the observed value of genotype i in replication j within environment k; µ is the population mean; ak is the environment effect k (k = 1, 2); bj(k) is the effect of block j (j = 1, 2, 3) in the environment; gi is the genotype effect i (i = 1, 2, 3, …, 44); agik is the effect of interaction between genotype i and environment k; and eijk is the random error associated with observation ijk medium. Mean comparisons were performed using the least significant difference (LSD)’s test at 0.05 probability level by Statistix version 10.0 (Analytical Software, Tallahassee, FL, USA).
Yijk = µ + ak + bj(k) + gi + agik + eijk
The North Carolina Design II analysis, combining ability and narrow-sense heritability (h2ns) for all studied traits, was estimated using the Analysis of Genetic Designs in R (AGD-R) version 5.0 software [66]. The test for significance of combining ability to the parent and hybrid values used Student’s t-test at a 0.05 probability level.
Mid- and better-parent heterosis were calculated using the following formula [67]:
where mpH is the mid-parent heterosis, bpH is the better-parent heterosis, F1 is the hybrid value, mp is the mid-parent value, and bp is the better-parent value. The test shows the significance of mpH and bpH to the hybrid value using Student’s t-test at a 0.05 probability level.
mpH = [(F1 − mp)/mp] × 100
bpH = [(F1 − bp)/bp] × 100
bpH = [(F1 − bp)/bp] × 100
Pearson’s correlation coefficients (r) were used to analyze the correlation between F1 performance, combining ability, and heterosis and tested at 0.05 and 0.01 probability levels.
5. Conclusions
The study found that additive and non-additive genetic effects were substantial for yield-related traits and carotenoids. Moderate to high narrow-sense heritability demonstrated the feasibility of breeding biofortified sweet–waxy corn hybrids with favorable agronomic traits and carotenoids. Despite a few parents with favorable GCA, we suggest breeders include a pairwise parent with high × low combiners in heterosis breeding to improve yield and carotenoids. The hybrid ILS2 × ILW1 was the most promising, and future extended multi-environment trials were required. The GCAsum of their parents can predict heterosis and per se performances on given traits.
Supplementary Materials
The following supporting information can be downloaded at https://www.mdpi.com/article/10.3390/plants13020296/s1. Table S1: Mean performances of parents, hybrids, and commercial check hybrid variety for agronomic traits across two seasons between 2021 and 2022. Table S2: Mean performances of parents, hybrids, and commercial check hybrid variety for carotenoids across two seasons between 2021 and 2022. Table S3: Specific combining ability (SCA) for yield-related traits of sweet–waxy hybrids evaluated across two seasons between 2021 and 2022. Table S4: Specific combining ability (SCA) for carotenoids of sweet–waxy hybrids evaluated across two seasons between 2021 and 2022. Table S5: Magnitude of heterosis over mid-parent (mpH) and better-parent (bpH) for yield-related traits of sweet–waxy corn hybrids evaluated across two seasons between 2021 and 2022. Table S6: Magnitude of heterosis over mid-parent (mpH) and better-parent (bpH) for carotenoids of sweet–waxy corn hybrids evaluated across two seasons between 2021 and 2022. Figure S1: Total rainfall, relative humidity, temperature, and solar radiation during crop growth at the Experimental Field, Thammasat University, Thailand; the dry season 2021/22 (a) and rainy season 2022 (b).
Author Contributions
Conceptualization, B.H.; Formal analysis, B.H., K.P.-a. and Y.J.; Methodology, B.H., K.P.-a. and K.S.; Writing—original draft, B.H. and K.P.-a.; Writing—review and editing, B.H., Y.J. and K.S.; Project administration, B.H.; Funding acquisition, B.H. All authors have read and agreed to the published version of the manuscript.
Funding
This research was funded by the Thammasat University Research Fund, grant number TUFT 2/2566, and the Scholarship for Talented Students to Study Graduate Program in the Faculty of Science and Technology, Thammasat University, grant No. TB 3/2020.
Data Availability Statement
Data are contained within the article and Supplementary Materials.
Acknowledgments
An acknowledgment is also extended to the Department of Agricultural Technology, Faculty of Science and Technology, Thammasat University, Thailand, for providing research facilities. The Plant Breeding Research Center for Sustainable Agriculture, Khon Kaen University, Thailand, supported the corn germplasm for improved lines. We thank Abil Dermail for proofreading the manuscript.
Conflicts of Interest
The authors declare no conflicts of interest.
References
- Hu, Q.-P.; Xu, J.-G. Profiles of carotenoids, anthocyanins, phenolics, and antioxidant activity of selected color waxy corn grains during maturation. J. Agric. Food Chem. 2011, 59, 2026–2033. [Google Scholar] [CrossRef]
- Harakotr, B.; Suriharn, B.; Tangwongchai, R.; Scott, M.P.; Lertrat, K. Anthocyanin, phenolics and antioxidant activity changes in purple waxy corn as affected by traditional cooking. Food Chem. 2014, 164, 510–517. [Google Scholar] [CrossRef]
- Fergason, V. High amylose and waxy corns. In Specialty Corns, 2nd ed.; Hallauer, A.R., Ed.; CRC Press: Boca Raton, FL, USA; London, UK; New York, NY, USA; Washington, DC, USA, 2001; pp. 75–96. [Google Scholar]
- Simla, S.; Lertrat, K.; Suriharn, B. Combinations of multiple genes controlling endosperm characters in relation to maximum eating quality of vegetable waxy corn. Sabrao J. Breed. Genet. 2016, 48, 210–218. [Google Scholar]
- Lertrat, K.; Thongnarin, N. Novel approach to eating quality improvement in local waxy corn: Improvement of sweet taste in local waxy corn variety with mixed kernels from super sweet corn. Acta Hortic. 2008, 769, 145–150. [Google Scholar] [CrossRef]
- Lertrat, K.; Pulam, T. Breeding for increased sweetness in sweet corn. Int. J. Plant Breed. 2007, 1, 27–30. [Google Scholar]
- Simla, S.; Lertrat, K.; Suriharn, B. Carbohydrate characters of six vegetable waxy corn varieties as affected by harvest time and storage duration. Asian J. Plant Sci. 2009, 9, 463–470. [Google Scholar] [CrossRef]
- Kampas, S.; Lertrat, K.; Lomthaisong, K.; Simla, S.; Suriharn, B. Effect of location, genotype and their interactions for anthocyanins and antioxidant activities of purple waxy corn cobs. Turk. J. Field Crops 2013, 20, 15–23. [Google Scholar] [CrossRef] [PubMed]
- Harakotr, B.; Suriharn, B.; Tangwongchai, R.; Scott, M.P.; Lertrat, K. Anthocyanins and antioxidant activity in coloured waxy corn at different maturation stages. J. Funct. Foods 2014, 9, 109–118. [Google Scholar]
- Simla, S.; Boontang, S.; Harakotr, B. Anthocyanin content, total phenolic content, and antiradical capacity in different ear components of purple waxy corn at two maturation stages. Aust. J. Crop Sci. 2016, 10, 675–682. [Google Scholar] [CrossRef]
- Suwarno, W.B.; Pixley, K.V.; Palacios-Rojas, N.; Kaeppler, S.M.; Babu, R. Formation of heterotic groups and understanding genetic effects in a provitamin A biofortified maize breeding program. Crop Sci. 2014, 54, 14–24. [Google Scholar] [CrossRef]
- Taleon, V.; Mugode, L.; Cabrera-Soto, L.; Palacios-Rojas, N. Carotenoid retention in biofortified maize using different post-harvest storage and packaging methods. Food Chem. 2017, 232, 60–66. [Google Scholar]
- Hart, D.J.; Scott, K.J. Development and evaluation of an HPLC method for the analysis of carotenoids in foods and measurement of the carotenoid content of vegetables and fruits commonly consumed in the UK. Food Chem. 1995, 54, 101–111. [Google Scholar] [CrossRef]
- Scott, C.E.; Eldridge, A.L. Comparison of carotenoid content in fresh, frozen and canned corn. J. Food Compos. Anal. 2005, 18, 551–559. [Google Scholar] [CrossRef]
- O’Hare, T.J.; Fanning, K.; Martin, I. Zeaxanthin biofortification of sweet-corn and factors affecting zeaxanthin accumulation and colour change. Arch. Biochem. Biophys. 2015, 572, 184–187. [Google Scholar] [CrossRef]
- Mares, J. Lutein and zeaxanthin isomers in eye health and disease. Annu. Rev. Nutr. 2016, 17, 571–602. [Google Scholar] [CrossRef] [PubMed]
- Menkir, A.; Olowolafe, M.O.; Ingelbrecht, I.; Fawole, I.; BaduApraku, B.; Vroh, B.I. Assessment of testcross performance and genetic diversity of yellow endosperm maize lines derived from adapted × exotic backcrosses. Theor. Appl. Genet. 2006, 113, 90–99. [Google Scholar]
- Fanning, K.; Martin, I.; Wong, L.; Keating, V.; Pun, S.; Hare, O.J. Screening sweetcorn for enhanced zeaxanthin concentration. J. Sci. Food Agric. 2010, 90, 91–96. [Google Scholar] [CrossRef]
- Badejo, A.A. Elevated carotenoids in staple crops: The biosynthesis, challenges and measures for target delivery. J. Genet. Eng. Biotechnol. 2018, 16, 553–556. [Google Scholar] [CrossRef]
- Katola, A.A.; Stark, A.H.; Ndolo, V.U.; Tembo, D.T.; Katundu, M.C. Provitamin A retention and sensory acceptability of landrace orange maize (MW5021) food products among school-aged children living in rural Malawi. Food Prod. Process Nutr. 2023, 5, 57. [Google Scholar] [CrossRef]
- Sunny, A.; Chakraborty, N.R.; Kumar, A.; Singh, B.K.; Paul, A.; Maman, S.; Sebastian, A.; Darko, D.A. Understanding gene action, combining ability, and heterosis to identify superior aromatic rice hybrids using artificial neural network. J. Food Qual. 2022, 2022, 16. [Google Scholar]
- Dermail, A.; Lübberstedt, T.; Suwarno, W.B.; Chankaew, S.; Lertrat, K.; Ruanjaichon, V.; Suriharn, K. Combining ability of tropical × temperate maize inducers for haploid induction rate, R1-nj seed set, and agronomic traits. Front. Plant Sci. 2023, 14, 1154905. [Google Scholar] [CrossRef]
- Azmach, G.; Gedil, M.; Spillane, C.; Menkir, K. Combining ability and heterosis for endosperm carotenoids and agronomic traits in tropical maize lines. Front. Plant Sci. 2021, 12, 13. [Google Scholar]
- Gaballah, M.M.; Attia, K.A.; Ghoneim, A.M.; Khan, N.; El-Ezz, A.F.; Yang, B.; Xiao, L.; Ibrahim, E.I.; Al-Doss, A.A. Assessment of genetic parameters and gene action associated with heterosis for enhancing yield characters in novel hybrid rice parental lines. Plants 2022, 11, 266. [Google Scholar] [PubMed]
- Wasuwatthanakool, W.; Harakotr, B.; Jirakiattikul, Y.; Lomthaisong, K.; Suriharn, K. Combining ability and testcross performance for carotenoid content of S2 super sweet corn lines derived from temperate germplasm. Agriculture 2022, 12, 1561. [Google Scholar]
- Grogan, C.O.; Blessin, C.W.; Dimler, R.J.; Campbell, C.M. Parental influence on xanthophylls and carotenoids in corn. Crop Sci. 1963, 3, 213–214. [Google Scholar]
- Egesel, C.O.; Wong, J.C.; Lambert, R.J.; Rocheford, T.R. Combining ability of maize inbred for carotenoid and tocopherols. Crop Sci. 2003, 43, 818–823. [Google Scholar] [CrossRef]
- Senete, C.T.; Guimarães, P.E.O.; Paes, M.C.D.; De Souza, J.C. Diallel analysis of maize inbred lines for carotenoids and grain yield. Euphytica 2011, 182, 395–404. [Google Scholar] [CrossRef]
- Li, R.; Xiao, L.H.; Wang, J.; Lu, Y.L.; Rong, T.Z.; Pan, G.T.; Wu, Y.Q.; Tang, Q.; Lan, H.; Cao, M.J. Combining ability and parent-offspring correlation of maize (Zea may L.) grain β-carotene content with a complete diallel. J. Integr. Agric. 2013, 12, 19–26. [Google Scholar]
- Halilu, A.D.; Ado, S.G.; Aba, D.A.; Usman, I.S. Genetics of carotenoids for provitamin A biofortification in tropical-adapted maize. Crop J. 2016, 4, 313–322. [Google Scholar] [CrossRef]
- Kahriman, F.; Egesel, C.Ö.; Orhun, G.E.; Alaca, B.; Avci, F. Comparison of graphical analyses for maize genetic experiments: Application of biplots and polar plot to line x tester design. Chil. J. Agric. Res. 2016, 76, 285–293. [Google Scholar] [CrossRef]
- Owens, B.F.; Lipka, A.E.; Magallanes-Lundback, M.; Tiede, T.; Diepenbrock, C.H.; Kandianis, C.B.; Kim, E.; Cepela, J.; Mateos-Hernandez, M.; Buell, C.R.; et al. A foundation for provitamin A biofortification of maize: Genome-wide association and genomic prediction models of carotenoid levels. Genetics 2014, 198, 1699–1716. [Google Scholar] [CrossRef]
- Baseggio, M.; Murray, M.; Magallanes-Lundback, M.; Nicholas Kaczmar, N.; Chamness, J.; Buckler, E.S.; Smith, M.E.; Penna, D.D.; Tracy, W.F.; Gore, M.A. Natural variation for carotenoids in fresh kernels is controlled by uncommon variants in sweet corn. Plant Genome 2020, 13, e20008. [Google Scholar] [CrossRef]
- Dermail, A.; Fuengtee, A.; Lertrat, K.; Suwarno, W.B.; Lübberstedt, T.; Suriharn, K. Simultaneous selection of sweet-waxy corn ideotypes appealing to hybrid seed producers, growers, and consumers in Thailand. Agronomy 2022, 12, 87. [Google Scholar] [CrossRef]
- Fuengtee, A.; Dermail, A.; Simla, S.; Lertrat, K.; Sanitchon, J.; Chankaew, S.; Suriharn, B. Combining ability for carbohydrate components associated with consumer preferences in tropical sweet and waxy corn derived from exotic germplasm. Turk. J. Field Crops 2020, 25, 147–155. [Google Scholar] [CrossRef]
- Li, S.Y.; Ma, W.; Peng, J.Y.; Chen, Z.M. Study on yield loss of summer maize due to lodging at the big flare stage and grain filling stage. Sci. Agric. Sin. 2015, 19, 395–3964. [Google Scholar]
- Zurak, D.; Grbeša, D.; Duvnjak, M.; Kiš, G.; Međimurec, T.; Kljak, K. Carotenoid content and bioaccessibility in commercial maize hybrids. Agriculture 2021, 11, 586. [Google Scholar] [CrossRef]
- Saenz, E.; Borrás, L.; Gerde, J.A. Carotenoid profiles in maize genotypes with contrasting kernel hardness. J. Cereal Sci. 2021, 99, 103206. [Google Scholar] [CrossRef]
- Maqbool, M.A.; Aslam, M.; Khan, M.S.; Beshir, A.; Ahan, M. Evaluation of single cross yellow maize hybrids for agronomic and carotenoid traits. Int. J. Agric. Biol. 2017, 19, 1087–1098. [Google Scholar] [CrossRef]
- Chander, S.; Guo, Y.; Zhang, Y.; Li, J. Comparison of nutritional traits variability in selected eighty-seven inbreds from Chinese maize (Zea mays L.) germplasm. J. Agric. Food Chem. 2008, 56, 6506–6511. [Google Scholar] [CrossRef]
- Babu, R.; Rojas, N.P.; Gao, S.; Yan, J.; Pixley, K. Validation of the effects of molecular marker polymorphisms in LcyE and CrtRB1 on provitamin A concentrations for 26 tropical maize populations. Theor. Appl. Genet. 2013, 126, 389–399. [Google Scholar] [CrossRef]
- Maluf, W.; Miranda, J.; Ferreira, P. Broad sense heritabilities of root and vine traits in sweetpotatoes (Ipomoea batatas (L.) Lam.). Rev. Brasil. Genética Ribeirão Preto 1983, 6, 443–451. [Google Scholar]
- Edy; Takdir, A.; Numba, S.; Ibrahim, B. Heritability of agronomic characters of Srikandi Putih x local waxy corn. IOP Conf. Ser. Earth Environ. Sci. 2020, 484, 012027. [Google Scholar] [CrossRef]
- Wong, J.C.; Lambert, R.J.; Wurtzel, E.T.; Rocheford, T.R. QTL and candidate genes phytoene synthase and zeta-carotene desaturase associated with the accumulation of carotenoids in maize. Theor. Appl. Genet. 2004, 108, 349–359. [Google Scholar] [CrossRef] [PubMed]
- Muthusamy, V.; Hossain, F.; Thirunavukkarasu, N.; Saha, S.; Agrawal, P.K.; Gupta, H.S. Genetic analyses of kernel carotenoids in novel maize genotypes possessing rare allele of ß-carotene hydroxylase gene. Cereal Res. Commun. 2016, 44, 669–680. [Google Scholar] [CrossRef][Green Version]
- Mwije, A.; Mukasa, S.B.; Gibson, P.; Kyamanywa, S. Heritability analysis of putative drought adaptation traits in sweetpotato. Afr. Crop Sci. J. 2014, 22, 79–87. [Google Scholar]
- Elouafi, I.; Nachit, M.M.; Martin, L.M. Identification of a microsatellite on chromosome 7B showing a strong linkage with yellow pigment in durum wheat (Triticum turgidum L. var. durum). Hereditas 2001, 135, 255–261. [Google Scholar] [CrossRef] [PubMed]
- Clarke, F.R.; Clarke, J.M.; McCaig, T.N.; Knox, R.E.; DePauw, R.M. Inheritance of yellow pigment concentration in four durum wheat crosses. Can. J. Plant Sci. 2006, 86, 133–141. [Google Scholar]
- Hosen, M.; Rafii, M.Y.; Mazlan, N.; Jusoh, M.; Chowdhury, M.F.N.; Yusuff, O.; Ridzuan, R.; Karim, K.M.R.; Halidu, J.; Ikbal, M.F. Estimation of heterosis and combining ability for improving yield, sweetness, carotenoid and antioxidant qualities in pumpkin hybrids (Cucurbita moschata Duch. Ex Poir.). Horticulturae 2022, 8, 863. [Google Scholar] [CrossRef]
- Acquaah, G. Principles of Plant Genetics and Breeding, 3rd ed.; Wiley-Blackwell: Oxford, UK, 2020. [Google Scholar]
- Dragov, R.G. Combining ability for quantitative traits related to productivity in durum wheat. Vavilovskii Zhurnal Genet. Sel. 2022, 26, 515–523. [Google Scholar]
- Andorf, C.; Beavis, W.D.; Hufford, M.; Smith, S.; Suza, W.P.; Wang, K.; Woodhouse, M.; Yu, J.; Lübberstedt, T. Technological advances in maize breeding: Past, present and future. Theor. Appl. Genet. 2019, 132, 817–849. [Google Scholar]
- Dermail, A.; Suriharn, A.; Chankaew, S.; Sanitchon, J.; Lertrat, K. Hybrid prediction based on SSR-genetic distance, heterosis and combining ability on agronomic traits and yields in sweet and waxy corn. Sci. Hortic. 2020, 259, 108817. [Google Scholar] [CrossRef]
- Burt, A.J.; Grainger, C.M.; Shelp, B.J.; Lee, E.A. Heterosis for carotenoid concentration and profile in maize hybrids. Genome 2011, 54, 993–1004. [Google Scholar] [CrossRef] [PubMed]
- Dey, S.S.; Singh, N.; Bhatia, R.; Parkash, C.; Chandel, C. Genetic combining ability and heterosis for important vitamins and antioxidant pigments in cauliflower (Brassica oleracea var. botrytis L.). Euphytica 2014, 195, 169–181. [Google Scholar]
- Li, D.; Zhou, Z.; Lu, X.; Jiang, Y.; Li, G.; Li, J.; Wang, H.; Chen, S.; Li, X.; Würschum, T.; et al. Genetic Dissection of Hybrid Performance and Heterosis for Yield-Related Traits in Maize. Front. Plant Sci. 2021, 12, 774478. [Google Scholar] [CrossRef] [PubMed]
- Liu, W.; Zhang, Y.; He, H.; He, G.; Deng, X.W. From hybrid genomes to heterotic trait output: Challenges and opportunities. Curr. Opin. Plant Biol. 2022, 66, 102193. [Google Scholar] [CrossRef]
- Falconer, D.S.; Mackay, T.F.C. Introduction to Quantitative Genetics, 3rd ed.; Longman Scientific and Technical, Co.: New York, NY, USA, 1989. [Google Scholar]
- Yu, K.; Wang, H.; Liu, X.; Xu, C.; Li, Z.; Xu, X.; Liu, J.; Wang, Z.; Xu, Y. Large-scale analysis of combining ability and heterosis for development of hybrid maize breeding strategies using diverse germplasm resources. Front. Plant Sci. 2020, 11, 660. [Google Scholar] [CrossRef]
- Pairochteerakul, P.; Jothityangkoon, D.; Ketthaisong, D.; Simla, S.; Lertrat, K.; Suriharn, B. Seed germination in relation to total sugar and starch in endosperm mutant of sweet corn genotypes. Agronomy 2018, 8, 299. [Google Scholar] [CrossRef]
- Singh, R.K.; Chaudhary, B.D. Biometrical Methods in Quantitative Genetic Analysis; Kalyani Publishers: New Delhi, India, 1985. [Google Scholar]
- Durães, N.N.L.; Crevelari, J.A.; Vettorazzi, J.C.F.; Ferreira, J.A.; de Abreu Santana, F.; Pereira, M.G. Combining ability for traits associated with yield and quality in super sweet corn (Zea mays L. saccharata). Crop Sci. 2017, 11, 1188–1194. [Google Scholar] [CrossRef]
- Schaub, P.; Beyer, P.; Islam, S.; Rocheford, T. Maize Quick Carotenoid Extraction Protocol. Available online: http://www.cropsci.uiuc.edu/faculty/rocheford/quick_carotenoid_analysis_protocol.pdf (accessed on 20 June 2019).
- Gupta, P.; Sreelakshmi, Y.; Sharma, R. A rapid and sensitive method for determination of carotenoids in plant tissues by high performance liquid chromatography. Plant Methods 2015, 11, 5–16. [Google Scholar]
- Gomez, K.A.; Gomez, A.A. Statistical Procedures for Agricultural Research, 2nd ed.; An International Rice Research Institute Book. Co., Inc.: New York, NY, USA, 1984. [Google Scholar]
- Rodríguez, F.; Alvarado, G.; Pacheco, A.; Crossa, J.; Burgueno, J. AGD-R (Analysis of Genetic Designs with R for Windows), version 5.0; International Maize and Wheat Improvement Center: Texcoco, Mexico, 2018. [Google Scholar]
- Hallauer, A.R.; Carena, M.J.; Miranda, J.B. Quantitative Genetics in Maize Breeding; Springer: New York, NY, USA, 2010. [Google Scholar]
Disclaimer/Publisher’s Note: The statements, opinions and data contained in all publications are solely those of the individual author(s) and contributor(s) and not of MDPI and/or the editor(s). MDPI and/or the editor(s) disclaim responsibility for any injury to people or property resulting from any ideas, methods, instructions or products referred to in the content. |
© 2024 by the authors. Licensee MDPI, Basel, Switzerland. This article is an open access article distributed under the terms and conditions of the Creative Commons Attribution (CC BY) license (https://creativecommons.org/licenses/by/4.0/).

