Abstract
Atmospheric carbon dioxide (CO2) concentrations are increasing and may exceed 800 ppm by 2100. This is increasing global mean temperatures and the frequency and severity of heatwaves. Recently, we showed for the first time that the combination of short-term warming and elevated carbon dioxide (eCO2) caused extreme upward bending (i.e., hyponasty) of leaflets and leaf stems (petioles) in tomato (Solanum lycopersicum), which reduced growth. Here, we examined additional species to test the hypotheses that warming + eCO2-induced hyponasty is restricted to compound-leaved species, and/or limited to the Solanaceae. A 2 × 2 factorial experiment with two temperatures, near-optimal and supra-optimal, and two CO2 concentrations, ambient and elevated (400, 800 ppm), was imposed on similarly aged plants for 7–10 days, after which final petiole angles were measured. Within Solanaceae, compound-leaf, but not simple-leaf, species displayed increased hyponasty with the combination of warming + eCO2 relative to warming or eCO2 alone. In non-solanaceous species, hyponasty, leaf-cupping, and changes in leaf pigmentation as a result of warming + eCO2 were variable across species.
1. Introduction
Rising atmospheric carbon dioxide (CO2) concentrations are causing global mean temperatures to increase, leading to more frequent and severe heatwaves [1]. Plants must adapt to climate change through chemical or structural changes to maintain productivity [2,3]. Benefits of elevated CO2 include increased net photosynthesis through the reduction in photorespiration and increased water-use efficiency from reduced stomatal conductance [4,5]. Elevated CO2 (eCO2) concentrations may affect the ability of plants to cope with heat stress via changes in sensitivity to, or concentrations of, plant hormones [6,7,8,9]. Adaptation to multiple concurrent climate change factors like warming + eCO2 will likely have unpredictable, and possibly severe, consequences for plant growth [10,11,12,13].
In a previous study, the combination of short-term warming + eCO2 (37 °C and 700 ppm) increased upward petiole angle (hyponasty) more than either factor alone in tomato (Solanum lycopersicum; ‘Early Girl’, ‘Brandywine’, and H3406) [14]. Further evaluation of the effects of warming + eCO2-induced hyponasty demonstrated that the severity of petiole hyponasty increases with temperature at eCO2. CO2 concentrations above ambient (600, 800, 1000 ppm) resulted in similarly increased leaf angles at increased temperature, suggesting that eCO2 has an additive effect on the previously described thermal hyponasty in tomato plants [15]. Thermal hyponasty can be grouped into a suite of plant responses to high temperatures called thermomorphogenesis. Thermomorphogenesis also includes other morphological changes in response to increased temperatures, such as elongation of the hypocotyl, petiole, and/or root; leaf or petiole hyponasty; reduced leaf thickness or stomatal density; changes in leaf area; and earlier or later flowering [16,17,18]. These morphological responses are often the result of thermal deactivation of the light-sensing compound phytochrome B, resulting in increased activity of PHYTOCHROME INTERACTING FACTOR 4 (PIF) and the subsequent up-regulation of genes associated with auxin and brassinosteroid production, which lead to changes in plant architecture [16,19,20,21].
As atmospheric CO2 and temperatures increase, plants will experience warming + elevated CO2 concurrently. As a result, growth responses like warming + eCO2-induced hyponasty in tomatoes may occur among other species of plants and affect global plant productivity. Jayawardena [14] evaluated only a few species for their response to the additive effects of warming + eCO2. Their work suggested that simple-leaved plants may not exhibit dramatic hyponasty when exposed to the combination of warming + eCO2. Thus, a further survey of plant responses to the combined effects of warming + eCO2 is warranted. Our objective was to survey several additional species for leaf morphological responses (e.g., hyponasty, epinasty (downward bending), or leaf curling) to the combined influence of warming + eCO2 to determine the prevalence of warming + eCO2-induced leaf morphology change. As part of this survey, we examined both simple- and compound-leaf species, especially within Solanaceae, to test if simple-leaf plants exhibit reduced hyponasty with warming + eCO2 compared to compound-leaf plants.
2. Results
Among the solanaceous plants surveyed, leaf angle increased the most with warming + eCO2 in compound-leaf species, but not in simple-leaf species (Figure 1). Compared to the control, tomato (Solanum lycopersicum ‘Celebrity’) and potato (Solanum tuberosum ‘Red Pontiac’) displayed petiole hyponasty with warming (38 °C vs. 30 °C tomato, 32 °C vs. 24 °C in potato), and even greater petiole hyponasty with warming + eCO2 (800 ppm). Eggplant (Solanum melongena) displayed equally increased leaf angle with warming (38 °C) and the combination of warming + eCO2. Individually, warming (38 °C) and eCO2 increased petiole angle in pepper (Capsicum annuum ‘Procraft F1’) compared to both the control (30 °C) and warming + eCO2. Husk cherry (Physalis pruinosa ‘Goldie’) only displayed increased petiole angle in response to eCO2.
Figure 1.
Average petiole angle in solanaceous crops, by species and treatment. From top to bottom: pepper (C. annuum), ground cherry (P. pruinosa), tomato (S. lycopersicum), eggplant (S. melongena), and potato (S. tuberosum). Plants were grown for 7 days under control (optimal temperature and 400 ppm CO2), warming (8 °C over optimal temperature and 400 ppm CO2), eCO2 (optimal temperature and 800 ppm CO2), or warming + eCO2 conditions (8 °C over optimal temperature and 800 ppm CO2). Results are means + 1 SD, with significant differences among treatments indicated by different letters above bars within each graph.
Non-solanaceous plants exhibited variable responses to eCO2, warming, and warming + eCO2 (Figure 2). Hibiscus (Hibiscus rosa-sinensis) displayed some increase in petiole hyponasty in response to warming (37 °C), eCO2, and the combination of warming + eCO2, though not significantly (p > 0.05) when compared to the control (30 °C). Warming + eCO2 increased leaf angle (Figure 2) and caused leaf cupping (Figure 3) in bush bean (Phaseolus vulgaris ‘Affirmed’). Nasturtium (Tropaeolum majus ‘Empress of India’) displayed dramatic changes in leaf angle with the combination of warming (28 °C vs. 22 °C) + eCO2. Spearmint (Mentha × piperita) leaves displayed a similar epinastic (downward curling of leaves) response to control and warming + eCO2 but had reduced epinasty with warming alone (Figure 3). Rose (Rosa multiflora ‘Oso Easy Double Red’) had highly curled leaves in response to warming + eCO2 compared to all other treatments and exhibited a downward bending of leaves under warming + eCO2 (visual observation).
Figure 2.
Average petiole angle in non-solanaceous plants, by species and treatment. From top to bottom: bush bean (P. vulgaris), hibiscus (H. rosa-sinensis), and nasturtium (T. majus). Plants were grown for 7 days under control (optimal temperature and 400 ppm CO2), warming (8 °C over optimal temperature and 400 ppm CO2), eCO2 (optimal temperature and 800 ppm CO2), or warming + eCO2 conditions (8 °C over optimal temperature and 800 ppm CO2). Results are means + 1 SD, with significant differences among treatments indicated by different letters above bars within each graph.
Figure 3.
Leaf curving or leaf cupping index of species (the ratio of flattened leaf length to curled leaf length, minus 1). From top to bottom: bush bean (P. vulgaris), mint (M. × piperita), and rose (R. multiflora). Plants were grown for 7 days under control (optimal temperature and 400 ppm CO2), warming (8 °C over optimal temperature and 400 ppm CO2), eCO2 (optimal temperature and 800 ppm CO2), or warming + eCO2 conditions (8 °C over optimal temperature and 800 ppm CO2). Results are means + 1 SD, with significant differences among treatments indicated by different letters above bars within each graph.
Leaf color visually changed in response to treatments in pepper, hibiscus, mint, and nasturtium (Figure 4). The leaves of pepper and hibiscus plants grown at eCO2 were lighter green, regardless of the temperature treatment. Mint leaves turned light green with purple-brown patches in eCO2 conditions, regardless of the temperature treatment. Exposure to warming + eCO2 in nasturtium resulted in a darker leaf and petiole color compared to all other treatments.
Figure 4.
Visual comparison of leaf pigmentation under control (optimal temperature and 400 ppm CO2; (left)) and warming + eCO2 (8 °C over optimal temperature and 800 ppm CO2; (right)) treatments. From top to bottom: pepper (C. annuum), hibiscus (H. rosa-sinensis), mint (M. × piperita), and nasturtium (T. majus).
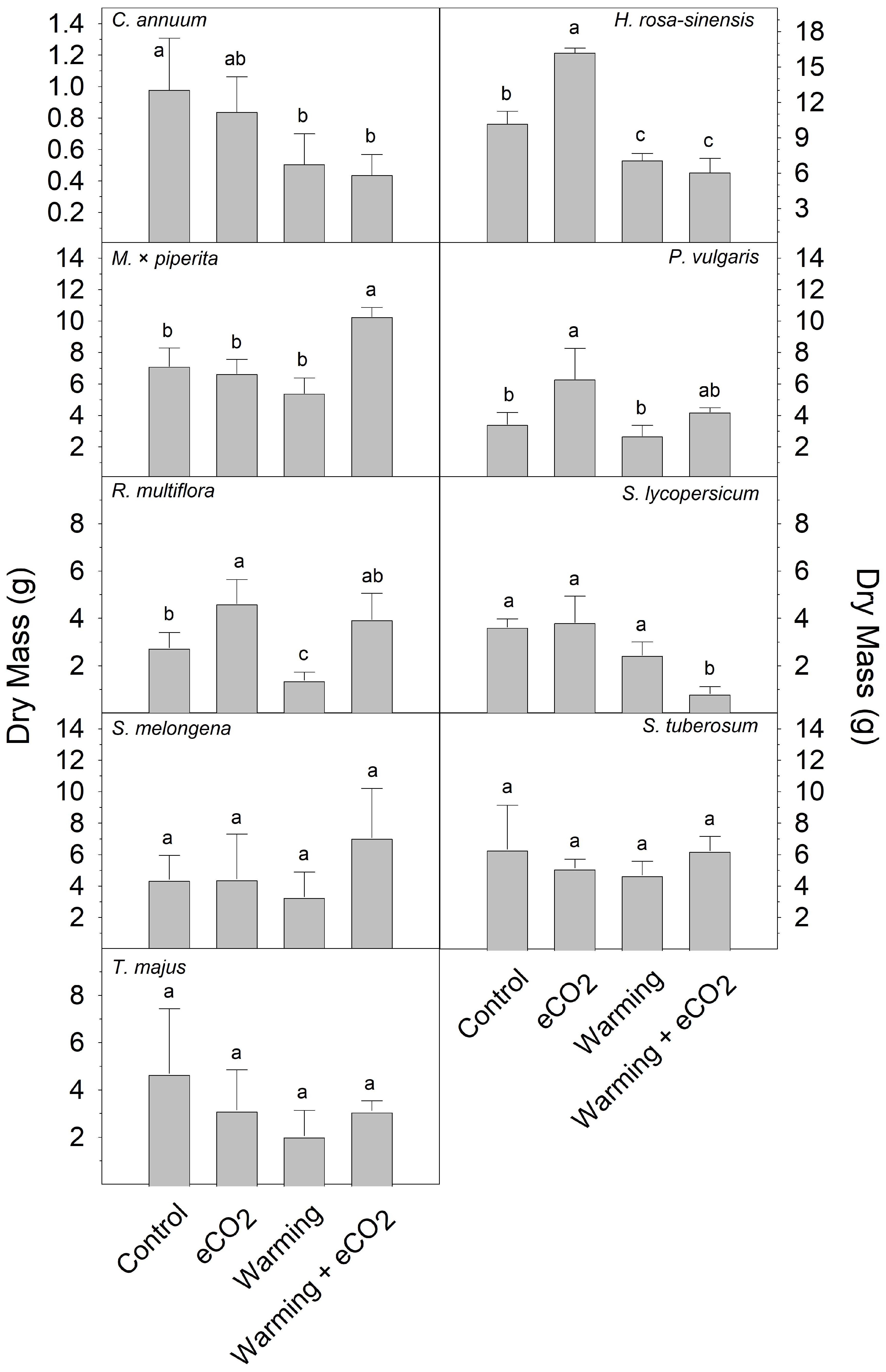
All plants accumulated less biomass (ground cherry not collected) under warming treatment compared to the control, with variable responses seen at eCO2 or warming + eCO2 (Figure 5).
Figure 5.
Shoot biomass of plants grown for 7 days under control (optimal temperature and 400 ppm CO2), warming (8 °C over optimal temperature and 400 ppm CO2), eCO2 (optimal temperature and 800 ppm CO2), or warming + eCO2 conditions (8 °C over optimal temperature and 800 ppm CO2): pepper (C. annuum), hibiscus (H. rosa-sinensis), mint (M. × piperita), bush bean (P. vulgaris), rose (R. multiflora), tomato (S. lycopersicum), eggplant (S. melongena), potato (S. tuberosum), and nasturtium (T. majus). Ground cherry (P. pruinosa) biomass not collected. Results are means + 1 SD, with significant differences among treatments indicated by different letters above bars within each graph.
3. Discussion
To our knowledge, fourteen species have been surveyed to date for warming + eCO2-induced hyponasty: six compound-leaf species and eight simple-leaf species ([14] and this study). All compound-leaf plants surveyed displayed hyponasty and/or leaf cupping in response to warming + eCO2. In contrast, most simple-leaf plants displayed no hyponastic response to warming + eCO2. Five of the eight simple-leaf plants surveyed in this study had no noticeable change in leaf angle with warming and/or eCO2; of the three species that did display changes in leaf angle, nasturtium was the only one with significantly increased leaf angle under warming + eCO2. This could be due to nasturtium’s leaf structure, as it was the only peltate-leaved plant to be surveyed. Interestingly, hibiscus, one of two simple-leaf malvids examined, displayed a visible hyponastic response, though the change in leaf angle was not significant, likely due to the low number of replicates (n = 3). Eggplant, a simple-leaf solanaceous crop, displayed similar increases in leaf angle under warming and warming + eCO2 treatments.
Phenotypic responses in these two studies seem to be mostly determined by leaf architecture, though some trends may be present within plant families. Both compound-leaf legumes surveyed (bush bean and soybean) displayed small increases in both petiole angle and leaf cupping with warming + eCO2. Compound-leaf species surveyed in Solanaceae (potato and tomato) and Asteraceae (marigold) displayed hyponasty in response to warming + eCO2, while simple-leaf species (pepper, ground cherry, and sunflower) did not. Eggplant displayed petiole hyponasty under warming conditions regardless of CO2 concentration. Hibiscus and okra, both simple-leaf members of Malvaceae, displayed different responses to warming and/or eCO2, although this may be the result of differences in leaf morphology, as hibiscus has entire leaves and okra has palmately lobed leaves.
As a consequence of leaf diversity, plants may vary greatly in warming + eCO2-induced phenotypic changes, making it difficult to predict the effects of climate change on plant productivity. Though not explored here, wild plants may exhibit more diverse phenotypic responses than cultivated varieties, as populations of wild plants may have larger genetic diversity, which could increase phenotypic plasticity [22]. Regardless of domestication status or growth form, plants often suffer declines in nitrogen uptake or concentration as a result of warming + eCO2 [12]. Additionally, leaf carotenoid content is reduced with eCO2, though this could be offset by other stressors like warming or drought, which stimulate carotenoid synthesis [23,24]. These changes in nitrogen and carotenoids may visibly affect leaf coloration, and thus may explain the changes in leaf color seen in pepper, hibiscus, mint, and nasturtium [25,26].
This survey is far from exhaustive and has not included crassulacean acid metabolism (CAM) or C4 plants, gymnosperms, other lower-plant lineages, non-domesticated plants, or much of the diversity of leaf structures found in plants. As such, future studies should explore the effects of concurrent stressors on other plant lineages, including non-domesticated plants, to increase our understanding of climate-change-induced phenotypic changes such as the ones described here. The consequences of such phenotypic changes may be small to dramatic, as in bush bean or tomato, respectively, and could affect crop productivity in cultivated plants. Concurrent stressors are likely to become more common and severe due to climate change and, as a result, maintaining or improving crop productivity as the world population grows will be difficult. The development of multi-stressor-tolerant cultivars will be imperative for maintaining future crop productivity, and this may include consideration of the effects of climate change on leaf morphology.
4. Conclusions
The combination of global warming and increasing atmospheric CO2 (eCO2) may have unexpected consequences on plant growth and productivity. For example, in this study, we report increases in leaf hyponasty (upward bending of leaf blades or petioles) in some species, or changes in other aspects of leaf growth, with warming + eCO2 compared to either factor alone. Increases in leaf hyponasty with climate change could negatively affect the productivity of wild or agricultural plants. Further surveys of plant responses to warming + eCO2 stress will be beneficial for understanding plant morphological responses to climate change.
5. Materials and Methods
5.1. Growing Conditions
Pepper (Capsicum annuum ‘Procraft F1’), bush bean (Phaseolus vulgaris ‘Affirmed’), ground cherry (Physalis pruinose ‘Goldie’), tomato (Solanum lycopersicum ‘Celebrity’), eggplant (Solanum melongena ‘Nadia F1’), and potato (Solanum tuberosum ‘Red Pontiac’) were germinated in trays containing a calcite clay–soil mixture (2:1, v:v) in a greenhouse (ca. 28 °C day/24 °C night air temperatures with a 14 h photoperiod) and watered daily with tap water. After emergence, seedlings were provided with half-strength nutrient solution weekly until transplant. Seedlings were transplanted at the “first adult leaf” stage into pots filled with the calcite clay–soil mixture. Hibiscus (Hibiscus rosa-sinensis), mint (Mentha × piperita), rose (Rosa multiflora ‘Oso Easy Double Red’), and nasturtium (Tropaeolum majus ‘Empress of India’) were purchased from local greenhouses and transplanted as needed. All plants were fertilized once to three times weekly, based on size, with full-strength nutrient solution until ready for treatment. Nutrient concentrations of the full-strength solution were 4.5 mM KNO3, 0.5 mM NH4NO3, 2 mM KH2PO4, 2 mM CaCl2, 1 mM MgSO4, 50 μM Fe-EDTA (ethylene-diamine-tetra-acetic acid), 50 μM H3BO3, 10 μM MnCl2, 5 μM ZnSO4, and 0.1 μM NaMoO4; pH = 6.0. Sets of plants (n ≥ 3) of similar size and/or growth stage (e.g., number of leaves, initiation of flowering) were then selected for treatments and transferred to growth chambers (model E36HO, Percival Scientific Inc., Perry, IA, USA).
Plants were acclimated to growth chamber environments over a 24 h period under 600 µmol m−2 s−1 photosynthetically active radiation (PAR) at the top of the plant canopy, with a near-optimal growth temperature (ca. 22 °C day/17 °C night for cool-season and 30 °C day/25 °C night for warm-season plants), a 14 h photoperiod, and ambient CO2 (400 ppm). Elevated-temperature (6–8 °C day/night above optimal) treatments were gradually imposed on plants by incrementally increasing day/night temperatures over 4 days to avoid heat shock. After reaching treatment temperatures, eCO2 treatments (800 ppm, clean-grade CO2 (supplied by Airgas, Toledo, OH, USA)) were started, and plants were grown for 7–10 days under treatment conditions.
5.2. Treatments
A 2 × 2 factorial design was used, consisting of two levels of CO2 (400 and 800 ppm) and two temperature settings (near-optimal and heat stress; see Table 1). The upper limit of the recommended temperature range for each species, as suggested on the packaging or the distributor’s website, was used as the near-optimal temperature and heat stress was set at 6–8 °C above near optimum to simulate a natural short-term warming event, as in [14,15].
Table 1.
Species surveyed for leaf morphology changes, including species name, family, leaf type, near optimal growth temperature treatment (day/night), and supraoptimal temperature treatment (day/night).
5.3. Measurements
The petiole angle of young but fully matured leaves (3rd–5th most recently developed) was quantified at midday using a protractor base aligned with the stem of the plant. The resulting measure was subtracted from 90° to determine the angle of the leaf. The peltate leaves of nasturtium were measured relative to horizontal. Leaf curl index (LCI) was recorded as the measurement of the flattened leaf (Lf) divided by the measurement of the curled leaf (Lc), then minus 1 (LCI = Lf/Lc − 1). This resulted in a value of 0 for completely flat leaves and higher values for curled leaves. Measurements from three leaves were averaged to obtain a value for each plant at the halfway point and at the end of treatment. Plants were photographed at the end to document treatment effects. Unless otherwise noted, plants were harvested upon completion of the treatments to determine shoot dry mass. Entire above-ground mass was harvested and dried for 3 days at 75 °C in plant-drying oven then weighed.
5.4. Data Analysis
Data were analyzed and tested for normality, equal variance, and independence with S-L, normal Q-Q, and residual vs. fitted plots, respectively, using R version 4.1.2 (R Core Team (2021), Vienna, Austria). Each species was analyzed separately. If assumptions of normality, equal variance, and independence were met, two-way analysis of variance (ANOVA) was conducted, followed by Tukey’s post hoc test if two-way ANOVA results were significant (p < 0.05). Leaf curl data had unequal variance, so the Kruskal–Wallace test and Dunn’s post hoc comparison were used for analysis instead of two-way ANOVA. Data were graphed using Sigma Plot version 14.5 (Systat Software, San Jose, CA, USA).
Author Contributions
Conceptualization and methodology, M.D.T. and S.A.H.; investigation and analysis, M.D.T. and R.R.; writing—original draft preparation, M.D.T. and R.R.; writing—review and editing, S.A.H. and J.K.B.; supervision, S.A.H.; project administration, S.A.H.; funding acquisition, S.A.H. and J.K.B. All authors have read and agreed to the published version of the manuscript.
Funding
This research was funded by the U.S. Department of Agriculture (NACA 58-5082-9-019).
Data Availability Statement
Data available in a publicly accessible repository. The data presented in this study are openly available in [Github] at [https://doi.org/10.5281/zenodo.10480815].
Acknowledgments
The authors would like to thank Mitch Stevens and Four Star Greenhouse of Carleton, MI, USA, for their donation of roses used in these experiments, and Steven Murphy for his assistance with the maintenance of the growth chambers used for these experiments. Mention of trade names or commercial products in this publication is solely for the purpose of providing specific information and does not imply recommendation or endorsement by the U.S. Department of Agriculture. USDA is an equal opportunity provider and employer.
Conflicts of Interest
The authors declare no conflict of interest.
References
- Intergovernmental Panel on Climate Change. Summary for Policymakers: Climate Change 2021: The Physical Science Basis; Contribution of Working Group I to the Sixth Assessment Report of the Intergovernmental Panel on Climate Change; Masson-Delmotte, V., Zhai, P.M., Pirani, S.L., Connors, C., Péan, S., Berger, N., Caud, Y., Chen, L., Goldfarb, M.I., Gomis, M.I., et al., Eds.; IPCC: Geneva, Switzerland, 2021; pp. 1–31. [Google Scholar]
- Zhao, C.; Liu, B.; Piao, S.; Wang, X.; Lobell, D.; Huang, Y.; Huang, M.; Yao, Y.; Bassu, S.; Ciais, P.; et al. Temperature increase reduces global yields of major crops in four independent estimates. Proc. Natl. Acad. Sci. USA 2017, 114, 9326–9331. [Google Scholar] [CrossRef] [PubMed]
- Schleussner, C.; Deryng, D.; Müller, C.; Elliott, J.; Saeed, F.; Folberth, C.; Liu, W.; Wang, X.; Pugh, T.; Thiery, W.; et al. Crop productivity changes in 1.5 °C and 2 °C worlds under climate sensitivity uncertainty. Environ. Res. Lett. 2019, 13, 064007. [Google Scholar] [CrossRef]
- Wang, D.; Heckathorn, S.; Hamilton, E.; Frantz, J. Effects of CO2 on the tolerance of photosynthesis to heat stress can be affected by photosynthetic pathway and nitrogen. Am. J. Bot. 2014, 101, 34–44. [Google Scholar] [CrossRef] [PubMed]
- Xu, Z.; Jiang, Y.; Jia, B.; Zhou, G. Elevated-CO2 response of stomata and its dependence on environmental factors. Front. Plant Sci. 2016, 7, 657. [Google Scholar] [CrossRef] [PubMed]
- Wang, Y.; Du, S.; Li, L.; Huang, L.; Fang, P.; Lin, X.; Zhang, Y.; Wang, H. Effect of CO2 elevation on root growth and its relationship with indole acetic acid and ethylene in tomato seedlings. Pedosphere 2009, 19, 570–576. [Google Scholar] [CrossRef]
- Zhang, S.; Li, S.; Sun, Z.; Shao, S.; Hu, L.; Ye, M.; Zhou, Y.; Xia, X.; Yu, J.; Shi, K. Antagonism between phytohormone signaling underlies the variation of disease susceptibility of tomato plants under elevated CO2. J. Exp. Bot. 2015, 66, 1951–1963. [Google Scholar] [CrossRef]
- Pan, C.; Zhang, H.; Ma, Q.; Fan, F.; Fu, R.; Ahammed, G.; Yu, J.; Shi, K. Role of ethylene biosynthesis and signaling in elevated CO2-induced heat stress response of tomato. Planta 2019, 250, 563–572. [Google Scholar] [CrossRef]
- Li, N.; Euring, D.; Cha, J.; Lin, Z.; Lu, M.; Huang, L.; Kim, W. Plant hormone-mediated regulation of heat tolerance in response to global climate change. Front. Plant Sci. 2021, 11, 627969. [Google Scholar] [CrossRef]
- Wang, D.; Heckathorn, S.; Wang, X.; Philpott, S. A meta-analysis of plant physiological and growth response to temperature and elevated CO2. Oecologia 2012, 169, 1–3. [Google Scholar] [CrossRef]
- Pandey, P.; Ramegowda, V.; Senthil-Kumar, M. Shared and unique responses of plants to multiple individual stresses and stress combinations: Physiological and molecular mechanisms. Front. Plant Sci. 2015, 6, 723. [Google Scholar] [CrossRef]
- Jayawardena, D.; Heckathorn, S.; Boldt, J. A meta-analysis of the combined effects of elevated carbon dioxide and chronic warming on plant %N, protein content and N-uptake rate. AoB Plants 2021, 13, plab031. [Google Scholar] [CrossRef] [PubMed]
- Zandalinas, S.; Fritschi, F.; Mittler, R. Global warming, climate change, and environmental pollution: Recipe for a multifactorial stress combination disaster. Trends Plant Sci. 2021, 26, 588–599. [Google Scholar] [CrossRef]
- Jayawardena, D.; Heckathorn, S.; Bista, D.; Boldt, J. Elevated carbon dioxide plus chronic warming causes dramatic increases in leaf angle in tomato, which correlates with reduced plant growth. Plant Cell Environ. 2018, 42, 1247–1256. [Google Scholar] [CrossRef] [PubMed]
- Thomas, M.; Heckathorn, S.; Boldt, J. Elevated CO2 increases severity of thermal hyponasty in leaves of tomato. Horticulturae 2023, 9, 907. [Google Scholar] [CrossRef]
- Quint, M.; Delker, C.; Franklin, K.; Wigge, P.; Halliday, K.; van Zanten, M. Molecular and genetic control of plant thermomorphogenesis. Nat. Plants 2016, 2, 15190. [Google Scholar] [CrossRef] [PubMed]
- Lippmann, R.; Babben, S.; Menger, A.; Delker, C.; Quint, M. Development of wild and cultivated plants under global warming conditions. Curr. Biol. 2019, 29, R1326–R1338. [Google Scholar] [CrossRef]
- Ludwig, W.; Hayes, S.; Trenner, J.; Delker, C.; Quint, M. On the evolution of plant thermomorphogenesis. J. Exp. Bot. 2021, 72, 7345–7358. [Google Scholar] [CrossRef]
- Casal, J.; Balasubramanian, S. Thermomorphogenesis. Annu. Rev. Plant Biol. 2019, 70, 321–346. [Google Scholar] [CrossRef]
- Ding, Y.; Shi, Y.; Yang, S. Molecular regulation of plant responses to environmental temperatures. Mol. Plant 2020, 13, 544–564. [Google Scholar] [CrossRef]
- Lee, J.; Kim, J.; Kim, J.; Park, Y.; Park, C. Plant Thermomorphogenic adaptation to global warming. J. Plant Biol. 2020, 63, 1–9. [Google Scholar] [CrossRef]
- Nicotra, A.; Atkin, O.; Bonser, A.; Davidson, A.; Finnegan, E.; Mathesius, U.; Poot, P.; Purugganan, M.; Richards, C.; Valladares, F.; et al. Plant phenotypic plasticity in a changing climate. Trends Plant Sci. 2010, 15, 684–692. [Google Scholar] [CrossRef] [PubMed]
- Abo Gamar, M.; Kisiala, A.; Emery, R.; Yeung, E.; Stone, S.; Qaderi, M. Elevated carbon dioxide decreases the adverse effects of higher temperature and drought stress by mitigating oxidative stress and improving water status in Arabidopsis thaliana. Planta 2019, 250, 1191–1214. [Google Scholar] [CrossRef] [PubMed]
- Loladze, I.; Nolan, J.; Ziska, L.; Knobbe, A. Rising atmospheric CO2 lowers concentrations of plant carotenoids essential to human health: A meta-analysis. Mol. Nutr. Food Res. 2019, 63, 1801047. [Google Scholar] [CrossRef] [PubMed]
- Xiong, D.; Chen, J.; Yu, T.; Gao, W.; Ling, X.; Li, Y.; Peng, S.; Huang, J. SPAD-based leaf nitrogen estimation is impacted by environmental factors and crop leaf characteristics. Sci. Rep. 2015, 5, 13389. [Google Scholar] [CrossRef]
- Bianchetti, R.; Luca, B.; Haro, L.; Rosado, D.; Demarco, D.; Conte, M.; Bermudez, L.; Freschi, L.; Fernie, A.; Michaelson, L.; et al. Phytochrome-dependent temperature perception modulates isoprenoid metabolism. Plant Physiol. 2020, 183, 869–882. [Google Scholar] [CrossRef]
Disclaimer/Publisher’s Note: The statements, opinions and data contained in all publications are solely those of the individual author(s) and contributor(s) and not of MDPI and/or the editor(s). MDPI and/or the editor(s) disclaim responsibility for any injury to people or property resulting from any ideas, methods, instructions or products referred to in the content. |
© 2024 by the authors. Licensee MDPI, Basel, Switzerland. This article is an open access article distributed under the terms and conditions of the Creative Commons Attribution (CC BY) license (https://creativecommons.org/licenses/by/4.0/).




