Abstract
Flowering in plants is pivotal for initiating and advancing reproductive processes, impacting regional adaptation and crop yield. Despite numerous cloned and identified flowering time genes, research in cotton remains sparse. This study identified GhSWEET42 as a key determinant of the flowering time in cotton, demonstrating that its heterologous expression in Arabidopsis accelerated flowering under LD conditions compared to WT. Transgenic plants exhibited upregulated expression of the flowering inducers AtFT, AtSOC1, AtGI, and AtFKF1, alongside downregulated expression of the repressors AtTSF, AtFLC, and AtRGL2, correlating with the earlier flowering phenotype. GhSWEET42 showed a constitutive expression pattern, with elevated levels in the leaves, petals, and flower buds, and was notably higher in early-maturing cotton varieties. Subcellular localization assays confirmed GhSWEET42’s presence on the cell membrane. Transcriptome analysis between WT and GhSWEET42-overexpressing Arabidopsis plants revealed 2393 differentially expressed genes (DEGs), spanning 221 biological processes, 93 molecular functions, and 37 cellular components according to Gene Ontology (GO) enrichment analysis. Kyoto Encyclopedia of Genes and Genomes (KEGG) pathway analysis categorized the DEGs into metabolism and environmental information processing. These findings enhance the understanding of GhSWEET42’s function and provide a foundation for elucidating the molecular mechanisms governing flowering time regulation in cotton.
1. Introduction
Flowering constitutes a vital phase in the life cycle of angiosperms, governing their reproductive success and seed development, and is intricately linked to crop yield and adaptability [1,2]. Premature flowering curtails resource accumulation by truncating the vegetative growth period, whereas delayed flowering heightens the risk of exposure to adverse environmental conditions [3]. Multiple endogenous genetic signals and external environmental factors influence flowering, with the photoperiod being a paramount environmental regulator [4]. Crops perceive photoperiodic conditions via an intrinsic biological clock in the leaves, transmitting signals to the shoot apex to trigger floral transition [3,5]. Based on photoperiodic flowering requirements, plants are categorized into short-day (SD), long-day (LD), and day-neutral types. Arabidopsis thaliana, a model organism, is a facultative LD plant, flowering earlier under LD conditions and later under SD conditions [3].
In Arabidopsis, extensive research has elucidated the molecular mechanisms regulating the flowering time, leading to the cloning and functional characterization of numerous related genes. Key players in this regulation include CONSTANS (CO), FLOWERING LOCUS T (FT), and TWIN SISTER OF FT (TSF) [6,7,8]. CO encodes a zinc finger protein that acts as a central regulatory factor in the photoperiod pathway, and its overexpression results in an early-flowering phenotype [9]. SUPPRESSOR OF OVEREXPRESSION OF CONSTANS1 (SOC1) encodes a MADS-box protein, whose mutation counteracts the early-flowering phenotype induced by CO overexpression [10]. FT and TERMINAL FLOWER 1 (TFL1) are pivotal regulators within the flowering pathway. FT, induced by CO, advances reproductive development and flowering, whereas TFL1 inhibits flowering by downregulating downstream genes such as LEAFY (LFY) and APETALA 1 (AP1) [11,12,13]. TSF, the closest homolog of FT, shares similar functions and is also regulated by CO and FLOWERING LOCUS C (FLC) [13,14,15].
Sugar is the primary energy source in plants, which necessitates efficient and timely transport for optimal growth and development [16]. Sugar transport proteins are essential for the translocation of sugars across cellular and tissue barriers [17,18]. SWEET (sugars will eventually be exported by transporters) proteins represent a significant class of sugar transporters, characterized by conserved MtN3_saliva transmembrane domains and diverse physiological roles [18,19]. In Arabidopsis, AtSWEET8 is critical for exine pattern formation in microspores, with its loss of function severely compromising male fertility [19]. Knockout of AtSWEET11 and AtSWEET12 disrupts vascular development and freezing tolerance, while the sweet11;12;15 triple mutant exhibits impaired embryo development, reduced seed weight, and lower starch and lipid contents [20,21]. In rice, OsSWEET11 is highly expressed in pollen grains and inflorescence spikelets, with the ossweet11 mutant showing decreased pollen starch content and impaired endosperm development [22,23]. OsSWEET14 and OsSWEET11 are crucial for grain filling, with double-knockout mutants significantly reducing the grain weight, yield, and grain-filling rate [23]. GmSWEET15 facilitates sucrose transfer from endosperm to embryo during early soybean seed development, playing a pivotal role in embryo development [24]. The ZmSWEET4c mutant in maize demonstrates reduced starch content, grain weight, and embryo size compared to the wild type (WT), indicating its importance in seed filling [25]. Despite the critical roles of SWEET genes in plant growth and development, their involvement in flowering time regulation remains underexplored [18,20].
Cotton holds substantial economic value as a key cash crop [26]. Currently, two tetraploid cotton species, upland cotton (Gossypium hirsutum L.) and island cotton (Gossypium barbadense L.), along with two diploid species, Asian cotton (Gossypium arboreum L.) and grass cotton (Gossypium herbaceum L.), are widely cultivated [27]. G. hirsutum L. dominates global cotton fiber production, contributing over 95% [28]. The modern textile industry’s evolution has amplified the demand for natural fibers, necessitating the development of early-maturing cotton varieties to reduce harvesting times. The flowering time predominantly influences cotton plant maturation. Numerous genes associated with the flowering time in cotton have been identified in previous research. For instance, silencing GhFUL2 elevates the expression levels of GhFT and GhAP1.3, prompting early flowering [29]. Transgenic plants with overexpressed GhAP1-D3 exhibit earlier flowering while maintaining the yield and fiber quality [30]. In Arabidopsis, overexpression of GhMADS42 and GhAP1.7 triggers early flowering, whereas silencing GhAP1.7 in cotton delays flowering [31]. GhFPF1 overexpression in Arabidopsis induces early flowering by activating AP1 and FLC expression [32]. GhGRF14, a GRF family protein, interacts with GhFT and GhFD to form florigen activation complexes that promote flowering, whereas GhGRF3, GhGRF6, GhGRF9, and GhGRF15 interact with GhFT and GhFD to form complexes that suppress flowering [33]. Despite the identification of several genes regulating flowering in cotton, the molecular mechanisms underlying their functions remain inadequately understood.
Previous investigations revealed that GhSWEET42 influences the seed oil content and seed size [34]. This study explores a novel function of GhSWEET42 in modulating the flowering time. In this study, a gene encoding the SWEET protein, GhSWEET42, from the cotton variety TM-1 was identified, and its protein structure and expression patterns were analyzed. Overexpression of GhSWEET42 in Arabidopsis resulted in earlier flowering and an increased number of rosette leaves compared to the WT. Additionally, it influenced the expression of several flowering-related genes, including AtFT, AtSOC1, AtGI, AtFKF1, AtTSF, AtFLC, and AtRGL2. Transcriptome analysis identified 2393 DEGs between WT and GhSWEET42 transgenic plants, with 1275 genes upregulated and 1118 downregulated, significantly enriched in 354 Gene Ontology (GO) terms and 12 Kyoto Encyclopedia of Genes and Genomes (KEGG) pathways. This research provides novel insights into the molecular mechanisms by which SWEET genes regulate the flowering time in cotton, offering valuable contributions to the development of early-maturing cotton varieties.
2. Results
2.1. Gene and Protein Sequence Analysis of GhSWEET42
Prior research has identified the SWEET gene family as integral to plant growth and development. This study focuses on GhSWEET42 (accession GH_D12G2595), a member of this gene family. The open reading frame (ORF) and genomic DNA fragment of GhSWEET42 were amplified from the cotton variety TM-1. Sequence comparison between the genomic DNA and cDNA indicated that GhSWEET42 comprises five exons and four introns (Figure 1A). The coding sequence (CDS) spans 765 nucleotides, encoding a 255 amino acid protein with a molecular mass of 28.18 kDa, an isoelectric point (pI) of 9.58, and seven conserved transmembrane domains (Figure S1A), consistent with the SWEET protein family [18,35].
Figure 1.
Gene structure and phylogenetic analyses of GhSWEET42. (A) The intron–exon structure of GhSWEET42 is depicted, with exons represented by red lines and introns by purple lines. (B) Phylogenetic analysis of GhSWEET42, along with 18 homologous SWEET proteins in different species. GhSWEET42 is highlighted in red.
Multiple sequence alignment of GhSWEET42 with homologous proteins from 18 species revealed high similarity with Cucumis sativus (69.76%), Glycine max (69.42%), Ipomoea batatas (68.1%), Malus pumila (67.07%), and Vigna radiata (66.67%), and comparatively lower similarity with Solanum tuberosum (64.64%), Raphanus sativus (60.91%), Arabidopsis thaliana (60%), Nicotiana tabacum (59.02%), and Triticum aestivum (58.7%) (Figure S1B). A phylogenetic tree was constructed to elucidate the evolutionary relationships of GhSWEET42 with proteins from other species, demonstrating that GhSWEET42 homologs segregate into two clusters: monocots and dicots. The closest homolog to cotton GhSWEET42 is from Cucumis sativus (XP_004143859.1) (Figure 1B).
2.2. Expression Analysis of GhSWEET42
To delineate the tissue-specific expression profiles of GhSWEET42 in cotton, the total RNA was isolated from various tissues, including the roots, stems, leaves, buds, flower buds, petals, and sepals. The expression levels were quantified via qRT-PCR. Notably, the highest expression was observed in the leaves, petals, and flower buds, whereas the roots, stems, buds, and sepals exhibited comparatively lower expression levels (Figure 2A).
Figure 2.
Expression profile of GhSWEET42 in cotton. (A) GhSWEET42 expression across various tissues. (B) GhSWEET42 expression in leaves at distinct developmental stages. GhHIS3 served as the internal control. Data are presented as mean ± SD (n = 3).
To evaluate the GhSWEET42 expression across various growth stages in different cotton varieties, its expression was examined in the leaves at four distinct stages across four varieties: two early maturing (CCRI50 and CCRI74) and two late maturing (Lu28 and TM-1). The GhSWEET42 expression was lowest at the two-leaf stage in all the varieties, progressively rising to peak at the three-leaf stage in the late-maturing varieties and at the four-leaf stage in the early-maturing varieties, followed by a subsequent decline (Figure 2B). Moreover, the expression level of GhSWEET42 in the early-maturing varieties was markedly higher than in the late-maturing varieties at both the four- and five-leaf stages (Figure 2B). This suggests that GhSWEET42 is consistently expressed and significantly upregulated in the early-maturing varieties.
2.3. GhSWEET42 Is Localized to the Cell Membrane
To predict the subcellular localization of GhSWEET42, the online tool Plant-mPloc was employed, indicating its localization to the plasma membrane (Figure 3). To corroborate this prediction, the full-length CDS of GhSWEET42 was cloned into the N-terminus of the green fluorescent protein (GFP) within the pCAMBIA1305.1 vector, creating the GhSWEET42-GFP construct. This construct was then introduced into tobacco (Nicotiana benthamiana) leaves alongside the cell membrane marker NAA60 fused with mCherry. The co-localization of the GFP signals with the NAA60 red fluorescent signals confirmed the cell membrane localization of GhSWEET42.
Figure 3.
Subcellular localization of GhSWEET42 in tobacco leaves. Scale bar = 20 μm. GhSWEET42-GFP fusion protein localized in the plasma membrane. NAA60 is a cell membrane marker.
2.4. Overexpression of GhSWEET42 Induces Early Flowering in Arabidopsis under LD Conditions
To elucidate the role of GhSWEET42 in plants, the 35S::GhSWEET42 overexpression vector was constructed and introduced into Arabidopsis (Figure 4A,B). Nine independent GhSWEET42 transgenic lines were confirmed, and three homozygous lines with elevated GhSWEET42 expression (OE-1, OE-2, and OE-3) were selected for detailed analysis. Phenotypic evaluation of the WT and GhSWEET42-overexpressing (GhSWEET42-OE) lines revealed that all the GhSWEET42 transgenic Arabidopsis plants exhibited earlier flowering compared to the WT under LD conditions (Figure 4C) and produced more rosette leaves than the WT plants (Figure 4D). Under SD conditions, no significant differences in the flowering time or rosette leaf number were observed between the WT and transgenic lines (Figure S2A,B). Comparative analysis of the rosette leaf size at the onset of flowering under LD conditions showed that the GhSWEET42-OE plants had smaller rosettes compared to the WT (Figure 4E). These observations demonstrate that GhSWEET42 accelerates flowering in Arabidopsis under LD conditions but not under SD conditions.
Figure 4.
Overexpression of GhSWEET42 in Arabidopsis under LD conditions. (A) PCR detection of GhSWEET42-transformed plants. (B) RT-qPCR analysis of GhSWEET42 expression in the WT and transgenic Arabidopsis lines. (C) Phenotypes of the WT and GhSWEET42-OE lines under LD conditions. (D) Rosette leaf count in the WT and GhSWEET42-OE lines under LD conditions. (E) Rosette leaf size in the WT and GhSWEET42 transgenic lines under LD conditions. Scale bar = 1 cm. AtUBQ10 served as the internal control. Data are mean ± SD (n = 3). Significant differences indicated by asterisks at ** p < 0.01.
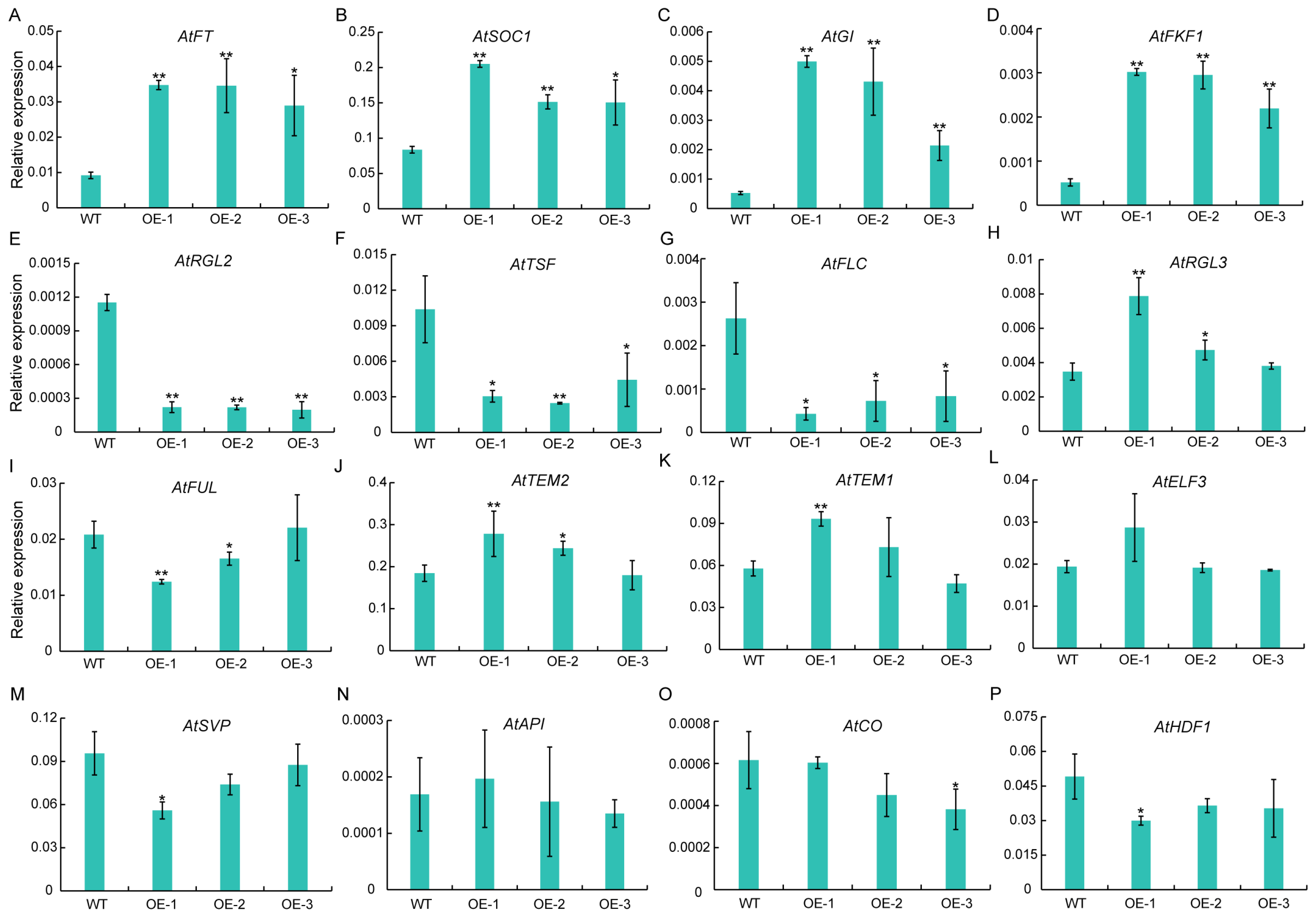
2.5. Expression Analysis of Flowering-Associated Genes in GhSWEET42 Transgenic Plants
To elucidate the regulatory interactions between GhSWEET42 and various flowering-time regulators, the expression of 16 major flowering genes was quantified in the WT and GhSWEET42-OE lines under LD conditions. The GhSWEET42-OE lines exhibited a significant upregulation of the positive flowering regulators AtFT, AtSOC1, AtGI, and AtFKF1 compared to the WT (Figure 5A–D). Conversely, the expression of the negative flowering regulators AtTSF, AtFLC, and AtRGL2 was significantly downregulated in the GhSWEET42-OE lines relative to the WT (Figure 5E–G). No significant variation in the expression levels of AtRGL3, AtFUL, AtTEM1, AtTEM2, AtELF3, AtSVP, AtAPI, AtCO, and AtHDF1 was observed between the GhSWEET42-OE lines and WT (Figure 5H–P). These data align with the early-flowering phenotype observed in the GhSWEET42-OE plants.
Figure 5.
Expression levels of flowering-related genes in WT and GhSWEET42-OE plants. qRT-PCR assessed the transcript levels of 16 flowering-related genes in WT and GhSWEET42-OE seedlings at 28 DAG. Expression levels of AtFT (A), AtSOC1 (B), AtGI (C), AtFKF1 (D), AtRGL2 (E), AtTSF (F), AtFLC (G), AtRGL3 (H), AtFUL (I), AtTEM2 (J), AtTEM1 (K), AtELF3 (L), AtSVP (M), AtAPI (N), AtCO (O), AtHDF1 (P). AtUBQ10 served as a reference. Data represent mean ± SD (n = 3). (* p < 0.05, ** p < 0.01).
2.6. Transcriptome Analysis of the WT and GhSWEET42-OE Plants and DEG Identification
To elucidate the regulatory mechanisms of GhSWEET42, a transcriptome analysis of WT and GhSWEET42-OE plants was performed using RNA-Seq with three biological replicates per genotype. Post-filtering, a total of 40.29 Gb of clean data were obtained, with each sample yielding an average of 6.71 Gb. Clean reads comprised over 99% of the total reads per sample, with the majority (>97%) uniquely aligning with the Arabidopsis reference genome (Table 1). The percentage of Q20 bases and Q30 bases exceeded 97% and 93%, respectively, with a GC content of at least 45% (Table 1). Bidirectional clustering analysis of the differentially expressed transcripts revealed significant differences between the WT and transgenic Arabidopsis (Figure 6). The high quality of the sequencing data supports its use in the subsequent analyses.
Table 1.
Summary of six individually pooled RNA sequencing read counts using Arabidopsis thaliana L. as the reference genome.
Figure 6.
The bidirectional hierarchical clustering heat map illustrates the differentially expressed transcripts, with the genes displayed horizontally and one sample per column. Intensified red indicates higher gene expression levels, while intensified blue signifies lower expression levels.
2.7. GO and KEGG Enrichment Analyses of the Identified DEGs
In transcriptomes from WT and GhSWEET42-OE plants, DEGs were identified based on the following criteria: |log2FoldChange| > 1, significant p-value < 0.05. Consequently, 2393 DEGs were identified, including 1275 upregulated and 1118 downregulated genes (Figure 7A, Table S1). GO enrichment analysis was conducted to elucidate the enriched categories among the DEGs (p-value ≤ 0.01), classifying the GO terms into three main categories: biological process (BP), molecular function (MF), and cellular component (CC) (Figure 7B, Table S2). In the BP category, 221 GO terms were identified, primarily encompassing the response to stimulus, response to stress, biological process involved in interspecies interaction between organisms, response to other organisms, response to external biotic stimulus, and response to biotic stimulus. For the CC category, the DEGs were predominantly associated with the defense response to other organism, cell periphery, extracellular region, plasma membrane, anchored membrane component, and external encapsulating structure terms. In the MF category, the enriched DEGs were linked to catalytic activity, molecular function, sequence-specific DNA binding, beta-glucosidase activity, protein kinase activity, and FAD binding (Figure 7B, Table S2). The GO classification analysis implies that the DEGs related to the flowering time in Arabidopsis are potentially involved in the responses to stimuli, cellular defenses, and catalytic reactions.
Figure 7.
Comparative gene expression and GO enrichment analysis between the WT and transgenic lines. (A) The vertical dashed lines denote the differential expression fold change thresholds; the horizontal dashed line marks the significance level threshold. Red represents upregulated genes, blue denotes downregulated genes, and gray indicates non-significant differentially expressed genes. (B) GO terms for the DEGs of the WT and GhSWEET42-OE lines.
Additionally, the KEGG pathway analysis elucidated the functions of the DEGs, identifying significantly enriched pathways (p ≤ 0.05) within two major categories: metabolism and environmental information processing (Figure 8, Table S3). The metabolic category encompassed pathways such as phenylpropanoid biosynthesis (ath00940, 27 DEGs), cyanoamino acid metabolism (ath00460, 18 DEGs), starch and sucrose metabolism (ath00500, 31 DEGs), cysteine and methionine metabolism (ath00270, 21 DEGs), glutathione metabolism (ath00480, 17 DEGs), indole alkaloid biosynthesis (ath00901, 4 DEGs), glycine, serine and threonine metabolism (ath00260,12 DEGs), tyrosine metabolism (ath00350, 8 DEGs), indole alkaloid biosynthesis (ath00901, 2 DEGs), biotin metabolism (ath00780, 4 DEGs), and pentose and glucuronate interconversions (ath00040, 15 DEGs). The environmental information-processing category included the plant hormone signal transduction pathway (ath04075, 43 DEGs) (Figure 8, Table S3). These data suggest that variations in the metabolic and environmental information-processing pathways contribute to the differences in the flowering time between WT and transgenic Arabidopsis.
Figure 8.
KEGG pathways enrichment analysis of the DEGs between the WT and GhSWEET42-OE plants.
2.8. Analysis and Annotation of Transcription Factors (TFs)
Differentially expressed TFs were identified among the DEGs and statistically analyzed, as depicted in Figure S3. A total of 195 TF-encoding genes were identified within the 2393 DEGs, representing 8.2% of the DEGs, with 120 genes upregulated and 75 genes downregulated. Among these, 34 TF families were identified (Figure S3), predominantly WRKY TFs (28 DEGs), NAC TFs (26 DEGs), ERF TFs (25 DEGs), MYB TFs (18 DEGs), and bHLH TFs (18 DEGs) (Table S4). This suggests that GhSWEET42 may play a role in the transcriptional regulation of the flowering time.
3. Discussion
Upland cotton (Gossypium hirsutum L.) holds substantial economic value as a fiber and oil crop that is integral to global agricultural productivity. The flowering time, among various traits, plays a pivotal role in influencing the cotton yield. The flowering period of cotton is regulated by a short daylength, showing strict photoperiod sensitivity [36]. Over recent decades, research on flowering time genes in model plants like rice and Arabidopsis has elucidated the molecular mechanisms governing flowering. So far, only a few genes that regulate the flowering time in cotton have been identified, such as GhFPF1 [32], GhGASA14 [37], GhAP1-D3 [30], and GhAP1.7 [31]. SWEET proteins, functioning as sugar efflux transporters with the MtN3_saliva domain, orchestrate both reproductive and vegetative developmental processes [18,19]. A previous study showed that overexpression of JcSWEET16 in Arabidopsis accelerates flowering [38]. In cotton, 55 putative SWEET proteins have been identified, although studies on these proteins are sparse [35].
In the present study, we identify a determinant of the flowering time, namely GhSWEET42, which negatively regulates flowering in Arabidopsis under LD conditions compared to the WT. Analysis of the GhSWEET42 sequence and structure indicates that the protein has seven transmembrane domains (Figure S1A), consistent with the characteristic seven conserved MtN3_saliva transmembrane domains of SWEET proteins. GhSWEET42 showed a constitutive expression pattern and exhibited higher expression levels in the leaves and floral organs, which is similar to GhFPF1, another flowering determinant, which is also highly expressed in flowers [32]. A previous study indicated that GhAP1.7 expression was significantly elevated in early-maturing varieties compared to late-maturing ones. GhSWEET42 showed a similar expression pattern to GhAP1.7. Our research confirms the role of GhSWEET42 in regulating the flowering time [31].
We further analyzed the expression levels of 16 flowering-related genes in WT and GhSWEET42 transgenic plants. GhSWEET42 promoted flowering in Arabidopsis by upregulating the expression of flowering inducers such as AtFT, AtSOC1, AtGI, and AtFKF1, and by downregulating flowering repressors like AtTSF, AtFLC, and AtRGL2. This suggests that GhSWEET42 may be involved in the vernalization pathway (AtFLC) [39], the autonomous pathway (AtFT, AtSOC1, and AtFLC) [11,40], the photoperiod pathway (AtGI, AtFT, AtFKF1, and AtTSF) [15,41,42,43], the gibberellin pathway (AtRGL2) [44] and the ambient temperature response (AtFLC) [45] (Figure 5A–G). Further studies involving genetic transformation in cotton are required to determine if GhSWEET42 functions similarly in the regulation of the flowering time in cotton.
To elucidate the molecular regulatory mechanisms underlying GhSWEET42’s functions, a transcriptomic analysis was performed on WT and transgenic Arabidopsis plants at 21 days after germination (DAG), identifying 2393 DEGs, with 1275 genes upregulated and 1118 genes downregulated (Figure 7A, Table S1). The GO term analysis indicated that the identified DEGs were enriched across the three main GO categories: MF, BP, and CC, with “response to stimulus”, “cellular defense”, and “catalysis” being the most enriched terms in each category (Figure 7B, Table S2). The KEGG pathway analysis classified the DEGs into two primary categories: metabolism and environmental information processing. Notably, the metabolism category included pathways such as phenylpropanoid biosynthesis (ath00940, 27 DEGs), cyanoamino acid metabolism (ath00460, 18 DEGs), starch and sucrose metabolism (ath00500, 31 DEGs) and cysteine and methionine metabolism (ath00270, 21 DEGs), which were the most abundant in the metabolism category. These results indicate that GhSWEET42 may regulate flowering through altering substantial metabolic processes. In the environmental information-processing category, 43 plant hormone signal transduction-related genes were identified (ath04075) (Figure 8, Table S3). Among these genes, 23 are upregulated and 20 are downregulated. Many of these genes have been previously confirmed to be involved in regulating the synthesis and signaling of auxins (WES1, ERF1, BPN6, SAU36, LAX2, IAA6, SHY2, IAA7 and IAA19), jasmonic acid (JA; JAZ10, JAZ25, and JAZ1), gibberellins (GA; RGL1 and RGL2), ethylene (ERF2), salicylic acid (SA; PBS3), and cytokinins (ARR15). Previous research studies have showed that plant hormones play a critical role in controlling flowering. Many of these genes have also been reported to play roles in regulating the flowering time and growth development in plants. For example, PBS3 negatively regulates the flowering time in Arabidopsis under LD conditions by modulating the expression of FLC and FLT [46]. In Arabidopsis, RGL1 is a negative regulator of GA, and rgl1 mutant exhibits delayed flowering phenotypes [47]. Mutants with functional loss of IAA7/AXR2 flower later under short-day conditions. However, the late-flowering phenotype of these mutants can be rescued by exogenous application of GAs [48]. Therefore, we deduce that overexpression of GhSWEET42 may influence the expressions of hormone-associated genes, inducing the early-flowering phenotype. TFs play important roles in flowering time regulation [49,50]. Consequently, the TF expression levels in WT and transgenic Arabidopsis plants were analyzed, revealing 195 TF-encoding genes with significant expression differences, including 28 WRKY TFs, 26 NAC TFs, 25 ERF TFs, 18 MYB TFs, and 18 bHLH TFs (Table S4). Among these TFs, WRKY71, TGA7, NAC2 and BEE1 are known regulators of the flowering time [4,51,52,53]. Extensive research has demonstrated the important role of WRKY genes in regulating the flowering time [51,54]. Among them, WRKY71 is upregulated in GhSWEET42-OE plants. WRKY71 has been reported to promote early flowering in Arabidopsis by activating the expression of FT and LFY [51]. In GhSWEET42-OE plants, the expressions of TGA7 and NAC2 are significantly upregulated. TGA7, a member of the bZIP TF family, is regulated by autonomous pathway genes and can promote flowering in Arabidopsis [52]. NAC2 has also been reported to delay flowering in Picea wilsonii by altering the expression of FT, SOC1, and FLC [53]. In GhSWEET42-OE plants, the expression level of the bHLH gene BEE1 is significantly downregulated. BEE1 is involved in the photoperiod pathway in Arabidopsis and activates the transcription of FT to promote flowering [4]. These findings suggest that GhSWEET42 regulates flowering mainly by altering the expression levels of the TFs WRKY71 and TGA7. Further studies focusing on the downstream target TFs will enhance our understanding of the molecular mechanisms by which GhSWEET42 influences the flowering time.
4. Materials and Methods
4.1. Plant Materials and Growth Conditions
For the expression pattern analysis of GhSWEET42, two early-maturing cotton (Gossypium hirsutum L.) varieties, CCRI50 and CRRI74, along with two non-early-maturing varieties, TM-1 and Lu28, were utilized. These varieties were cultivated in a greenhouse at Liaocheng University, Liaocheng City, Shandong Province (longitude: 115.97° E, latitude: 36.45° N). Arabidopsis thaliana plants were grown under two conditions: one chamber with a 16 h light/8 h dark cycle at 25 °C, and another with a 10 h light/14 h dark cycle at 25 °C. Cotton plants were also maintained under a 16 h light/8 h dark cycle at 25 °C.
Leaf blades from CCRI50, CRRI74, Lu28, and TM-1 were sampled at the 2-, 3-, 4-, and 5-leaf stages to analyze the GhSWEET42 expression patterns across different growth stages. For the tissue-specific expression analysis, roots, stems, leaves, buds, flower buds, petals, and sepals were harvested from CCRI50. Each sample included three biological replicates. All the samples were immediately frozen in liquid nitrogen and stored at −80 °C for the subsequent total RNA extraction.
4.2. RNA Extraction and qRT-Time PCR Analysis
RNA was extracted from frozen samples utilizing the FastPure Universal Plant Total RNA Isolation Kit (Nanjing Vazyme Biotech Co., Ltd., Nanjing, China) according to the manufacturer’s protocol. cDNAs synthesis was performed from 2 μg of total RNA using the All-in-One First-Strand Synthesis MasterMix (with dsDNase) from LABLEAD. The relative gene expression levels were quantified via qRT-PCR using the 7500 Real-Time PCR system (Applied Biosystems, Carlsbad, CA, USA) and SYBR Premix Ex TaqTMII (No. DRR041A; TaKaRa Bio Inc., Kusatsu, Shiga, Japan). The endogenous controls employed were G. hirsutum actin (GhActin) and A. thaliana UBQ10 (AtUBQ10), and the relative expression levels were determined using the 2−ΔΔCT method (Schmittgen TD and Livak KJ, 2008). All the reactions included three biological replicates. The primers for the qRT-PCR were designed using GenScript (https://www.genscript.com/ssl-bin/app/primer, accessed on 13 October 2023).
4.3. Gene Cloning and Sequence Analysis
The genomic sequence and CDS of GhSWEET42 (GH_ D12G2595) were retrieved from the National Center for Biotechnology Information (NCBI; https://www.ncbi.nlm.nih.gov/, accessed on 10 March 2023) [35]. The primers were designed with Primer 3 (https://github.com/primer3-org, accessed on 6 April 2023). The CDS of GhSWEET42 was amplified from TM-1 cDNA as a template. The PCR products were subsequently inserted into the pCAMBIA1305.1 vector for sequencing. The intron–exon structure of the GhSWEET42 gene was delineated using GSDS2.0 (http://gsds.cbi.pku.edu.cn/, accessed on 12 July 2023). The conserved structural domains of the GhSWEET42 protein were analyzed via SMART (https://smart.embl.de/, accessed on 13 July 2023). Homologs of GhSWEET42 were identified using the NCBI Blastp search program (http://www.ncbi.nlm.nih.gov/, accessed on 25 July 2023).
4.4. Sequence Alignment and Phylogenetic Analysis
The multiple sequence alignment was performed with DNAMAN v6.0. A phylogenetic tree was constructed using the maximum likelihood (ML) method in MEGA X [55].
4.5. Subcellular Localization Analysis
The GhSWEET42 coding region, excluding the stop codon, was amplified and fused to the N-terminus of GFP in the pCAMBIA1305.1 vector under the CaMV 35S promoter. The expression vectors carrying the fused protein and the plasma membrane marker NAA60 were co-transformed into tobacco (Nicotiana benthamiana) leaves as previously described [25]. The fluorescence signals were detected using a laser confocal scanning microscope (ZEISS Microsystems LSM 700, Oberkochen, Baden-Württemberg, Germany).
4.6. Genetic Transformation of Arabidopsis
The recombinant pCAMBIA1305.1-SWEET42 plasmid was introduced into Agrobacterium tumefaciens strain GV3101 cells via chemical transformation. The Arabidopsis plants were transformed using the floral dip method [56]. Flower buds of the WT plants were immersed in an Agrobacterium suspension (OD600 = 0.8–1.0) for 30 s and incubated in the dark for 24 h. The transgenic seedlings were screened on solid 1/2 MS agar medium containing hygromycin (25 mg/L). The phenotypic observations and data analyses were conducted in the T3 generation, with rosette leaves collected for the expression analysis.
4.7. Measurements of Plant Developmental Traits
The flowering time was quantified as the number of days from germination until the macroscopic visualization of flower buds (1–2 mm) by the naked eye. The number of rosette leaves per plant was counted at the first bloom.
4.8. Library Construction and RNA-Seq
The total RNA was extracted from the rosette leaves of the WT and transgenic Arabidopsis plants using the FastPure Universal Plant Total RNA Isolation Kit (Nanjing Vazyme Biotech Co., Ltd., Nanjing, China). The concentration and quality of the RNA were assessed using a NanoDrop spectrophotometer (Thermo Scientific, Waltham, MA, USA). Three micrograms of RNA were utilized for the mRNA sample preparation. Sequencing libraries were constructed through the following protocol: mRNA was purified from the total RNA using poly-T oligo-attached magnetic beads. Fragmentation was induced using divalent cations at elevated temperatures in an Illumina proprietary fragmentation buffer. First-strand cDNA synthesis was performed with random oligonucleotides and Super Script II, followed by second-strand cDNA synthesis, which was subsequently performed using DNA Polymerase I and RNase H. The remaining overhangs were converted into blunt ends via exonuclease/polymerase activities, and the enzymes were subsequently removed. Adenylation of the 3′ ends of the DNA fragments was conducted, and Illumina PE adapter oligonucleotides were ligated for hybridization. cDNA fragments of 400–500 bp were purified using the AMPure XP system (Beckman Coulter, Beverly, CA, USA). DNA fragments with ligated adaptor sequences on both ends were selectively enriched using Illumina PCR Primer Cocktail in a 15-cycle PCR reaction. The products were purified using the AMPure XP system and quantified with Agilent’s high-sensitivity DNA assay on a Bioanalyzer 2100 system (Agilent Technologies Inc., Santa Clara, CA, USA). The sequencing library was then sequenced on the NovaSeq 6000 platform (Illumina, San Diego, CA, USA) by Shanghai Personal Biotechnology Co., Ltd., Shanghai, China.
4.9. Data Analysis
GraphPad Prism 8.0 (GraphPad Software, La Jolla, CA, USA) facilitated the statistical analyses, employing Student’s t-test to assess significance, with the thresholds set at p < 0.05 and p < 0.01. Sequencing data were filtered using fastp (0.22.0) to generate high-quality sequences (Clean Data) for further analysis. The filtered reads were aligned to the Arabidopsis reference genome (https://www.Arabidopsis.org) using HISAT2 (v2.1.0). The differential gene expression was assessed via DESeq (v1.38.3) with the following criteria: |log2FoldChange| > 1 and p-value < 0.05. Additionally, bidirectional clustering of all the differentially expressed genes (DEGs) was performed using the R package Pheatmap (v1.0.12), generating a heat map based on the gene expression differences. The Euclidean method was used to calculate the gene distance and clustering. Enrichment analysis of the KEGG pathways for the DEGs was conducted using ClusterProfiler (v4.6.0), focusing on the pathways with a p-value < 0.05. The transcription factors and their families were predicted using the PlantTFDB (plant transcription factor database) database, followed by statistical analysis of the predicted transcription factor DEGs.
4.10. Primers
The primers utilized in this study are shown in Table S5.
5. Conclusions
This research elucidates the functional role of cotton GhSWEET42 in flowering regulation. Various aspects of the GhSWEET42 gene were examined, including its subcellular localization and expression profiles across different tissues and developmental stages. Overexpression of GhSWEET42 in Arabidopsis induced an early-flowering phenotype under long-day conditions. RNA-seq analysis revealed significant enrichment of the GO and KEGG pathways and differential expression of the TFs in GhSWEET42-OE plants compared to the wild type. This suggests that GhSWEET42 integrates multiple pathways to modulate the flowering time. This study enhances understanding of GhSWEET42’s function and provides valuable insights into the molecular mechanisms governing flowering regulation in cotton.
Supplementary Materials
The following supporting information can be downloaded at https://www.mdpi.com/article/10.3390/plants13162181/s1, Figure S1: Sequence characteristics of GhSWEET42. (A) Domain structure of GhSWEET42. Amino acids are indicated by blue lines, and transmembrane regions are indicated by red lines. (B) Multiple sequence alignment analysis of the GhSWEET42 protein with its homologs in other species. The transmembrane region is indicated by red lines; Figure S2: Overexpression of GhSWEET42 in Arabidopsis under SD conditions. (A) Phenotypes of WT and GhSWEET42 transgenic lines under SD conditions; and (B) rosette leaf counts in WT and GhSWEET42 transgenic lines under SD conditions; Figure S3: Differential TF analysis. TFs in blue indicate expression upregulation, and yellow indicates expression downregulation; Table S1: Differentially expressed genes between WT and GhSWEET42-OE plants; Table S2: GO enrichment analysis of the DEGs between WT and GhSWEET42-OE plants; Table S3: KEGG enrichment analysis of the DEGs between WT and GhSWEET42-OE plants; Table S4: Distribution of the differentially expressed TFs; Table S5: Primer sequences used in this study.
Author Contributions
S.G. and L.M. designed the research and acquired the funding. M.D. and D.W. performed most of the experiments. J.L., T.Z., P.L., G.L., X.L. (Xinxin Liu) and Y.D. performed some experiments. D.W., M.D., Q.M., X.L. (Xiaofei Li) and Y.S. analyzed the data. M.D. and D.W. wrote the article. All authors have read and agreed to the published version of the manuscript.
Funding
This research was funded by the Natural Science Foundation of Shandong Province (K22LB56), Doctoral Research Startup Funds, Liaocheng University (318052165), the Open Project of Liaocheng University Landscape Architecture Discipline (31946221217) and the Innovation, Entrepreneurship Training Program for College Students of Liaocheng University (S202310447034) and National Natural Science Foundation of China (32101788).
Data Availability Statement
Data are contained within the article and Supplementary Materials.
Acknowledgments
The authors thank Yinglun Fan of the College of Agriculture, Liaocheng University, for providing the cloning vector.
Conflicts of Interest
The authors declare no conflicts of interest.
References
- Cho, L.H.; Yoon, J.; An, G. The control of flowering time by environmental factors. Plant J. 2017, 90, 708–719. [Google Scholar] [CrossRef]
- Shrestha, R.; Gómez-Ariza, J.; Brambilla, V.; Fornara, F. Molecular control of seasonal flowering in rice, arabidopsis and temperate cereals. Ann. Bot. 2014, 114, 1445–1458. [Google Scholar] [CrossRef]
- Johansson, M.; Staiger, D. Time to flower: Interplay between photoperiod and the circadian clock. J. Exp. Bot. 2015, 66, 719–730. [Google Scholar] [CrossRef]
- Wang, F.; Gao, Y.; Liu, Y.; Zhang, X.; Gu, X.; Ma, D.; Zhao, Z.; Yuan, Z.; Xue, H.; Liu, H. BES1-regulated BEE1 controls photoperiodic flowering downstream of blue light signaling pathway in Arabidopsis. New Phytol. 2019, 223, 1407–1419. [Google Scholar] [CrossRef]
- Shim, J.S.; Kubota, A.; Imaizumi, T. Circadian Clock and Photoperiodic Flowering in Arabidopsis: CONSTANS Is a Hub for Signal Integration. Plant Physiol. 2017, 173, 5–15. [Google Scholar] [CrossRef]
- Song, Y.H.; Shim, J.S.; Kinmonth-Schultz, H.A.; Imaizumi, T. Photoperiodic flowering: Time measurement mechanisms in leaves. Annu. Rev. Plant Biol. 2015, 66, 441–464. [Google Scholar] [CrossRef]
- Ding, Y.; Shi, Y.; Yang, S. Molecular Regulation of Plant Responses to Environmental Temperatures. Mol. Plant 2020, 13, 544–564. [Google Scholar] [CrossRef]
- Boss, P.K.; Bastow, R.M.; Mylne, J.S.; Dean, C. Multiple pathways in the decision to flower: Enabling, promoting, and resetting. Plant Cell 2004, 16, S18–S31. [Google Scholar] [CrossRef]
- Onouchi, H.; Igeño, M.I.; Périlleux, C.; Graves, K.; Coupland, G. Mutagenesis of plants overexpressing CONSTANS demonstrates novel interactions among Arabidopsis flowering-time genes. Plant Cell 2000, 12, 885–900. [Google Scholar] [CrossRef]
- Lee, J.; Lee, I. Regulation and function of SOC1, a flowering pathway integrator. J. Exp. Bot. 2010, 61, 2247–2254. [Google Scholar] [CrossRef]
- Samach, A.; Onouchi, H.; Gold, S.E.; Ditta, G.S.; Schwarz-Sommer, Z.; Yanofsky, M.F.; Coupland, G. Distinct roles of CONSTANS target genes in reproductive development of Arabidopsis. Science 2000, 288, 1613–1616. [Google Scholar] [CrossRef] [PubMed]
- Hanano, S.; Goto, K. Arabidopsis TERMINAL FLOWER1 is involved in the regulation of flowering time and inflorescence development through transcriptional repression. Plant Cell 2011, 23, 3172–3184. [Google Scholar] [CrossRef] [PubMed]
- Kobayashi, Y.; Kaya, H.; Goto, K.; Iwabuchi, M.; Araki, T. A pair of related genes with antagonistic roles in mediating flowering signals. Science 1999, 286, 1960–1962. [Google Scholar] [CrossRef] [PubMed]
- Yamaguchi, A.; Kobayashi, Y.; Goto, K.; Abe, M.; Araki, T. TWIN SISTER OF FT (TSF) acts as a floral pathway integrator redundantly with FT. Plant Cell Physiol. 2005, 46, 1175–1189. [Google Scholar] [CrossRef] [PubMed]
- Jang, S.; Torti, S.; Coupland, G. Genetic and spatial interactions between FT, TSF and SVP during the early stages of floral induction in Arabidopsis. Plant J. 2009, 60, 614–625. [Google Scholar] [CrossRef]
- Lastdrager, J.; Hanson, J.; Smeekens, S. Sugar signals and the control of plant growth and development. J. Exp. Bot. 2014, 65, 799–807. [Google Scholar] [CrossRef] [PubMed]
- Julius, B.T.; Leach, K.A.; Tran, T.M.; Mertz, R.A.; Braun, D.M. Sugar Transporters in Plants: New Insights and Discoveries. Plant Cell Physiol. 2017, 58, 1442–1460. [Google Scholar] [CrossRef] [PubMed]
- Chen, L.Q.; Hou, B.H.; Lalonde, S.; Takanaga, H.; Hartung, M.L.; Qu, X.Q.; Guo, W.J.; Kim, J.G.; Underwood, W.; Chaudhuri, B.; et al. Sugar transporters for intercellular exchange and nutrition of pathogens. Nature 2010, 468, 527–532. [Google Scholar] [CrossRef]
- Guan, Y.F.; Huang, X.Y.; Zhu, J.; Gao, J.F.; Zhang, H.X.; Yang, Z.N. RUPTURED POLLEN GRAIN1, a member of the MtN3/saliva gene family, is crucial for exine pattern formation and cell integrity of microspores in Arabidopsis. Plant Physiol. 2008, 147, 852–863. [Google Scholar] [CrossRef]
- Chen, L.Q.; Lin, I.W.; Qu, X.Q.; Sosso, D.; McFarlane, H.E.; Londoño, A.; Samuels, A.L.; Frommer, W.B. A cascade of sequentially expressed sucrose transporters in the seed coat and endosperm provides nutrition for the Arabidopsis embryo. Plant Cell 2015, 27, 607–619. [Google Scholar] [CrossRef]
- Le Hir, R.; Spinner, L.; Klemens, P.A.; Chakraborti, D.; de Marco, F.; Vilaine, F.; Wolff, N.; Lemoine, R.; Porcheron, B.; Géry, C.; et al. Disruption of the Sugar Transporters AtSWEET11 and AtSWEET12 Affects Vascular Development and Freezing Tolerance in Arabidopsis. Mol. Plant 2015, 8, 1687–1690. [Google Scholar] [CrossRef]
- Yang, J.; Luo, D.; Yang, B.; Frommer, W.B.; Eom, J.S. SWEET11 and 15 as key players in seed filling in rice. New Phytol. 2018, 218, 604–615. [Google Scholar] [CrossRef]
- Fei, H.; Yang, Z.; Lu, Q.; Wen, X.; Zhang, Y.; Zhang, A.; Lu, C. OsSWEET14 cooperates with OsSWEET11 to contribute to grain filling in rice. Plant Sci. 2021, 306, 110851. [Google Scholar] [CrossRef] [PubMed]
- Wang, S.; Yokosho, K.; Guo, R.; Whelan, J.; Ruan, Y.L.; Ma, J.F.; Shou, H. The Soybean Sugar Transporter GmSWEET15 Mediates Sucrose Export from Endosperm to Early Embryo. Plant Physiol. 2019, 180, 2133–2141. [Google Scholar] [CrossRef] [PubMed]
- Sosso, D.; Luo, D.; Li, Q.B.; Sasse, J.; Yang, J.; Gendrot, G.; Suzuki, M.; Koch, K.E.; McCarty, D.R.; Chourey, P.S.; et al. Seed filling in domesticated maize and rice depends on SWEET-mediated hexose transport. Nat. Genet. 2015, 47, 1489–1493. [Google Scholar] [CrossRef]
- Zhao, H.; Ge, X.; Li, F. Revitalize China’s cotton industry. Nature 2022, 604, 625. [Google Scholar] [CrossRef]
- Wendel, J.F.; Brubaker, C.; Alvarez, I.; Cronn, R.; Stewart, J.M. Evolution and Natural History of the Cotton Genus; Springer: Berlin/Heidelberg, Germany, 2009. [Google Scholar]
- Zhan, J.; Chu, Y.; Wang, Y.; Diao, Y.; Zhao, Y.; Liu, L.; Wei, X.; Meng, Y.; Li, F.; Ge, X. The miR164-GhCUC2-GhBRC1 module regulates plant architecture through abscisic acid in cotton. Plant Biotechnol. J. 2021, 19, 1839–1851. [Google Scholar] [CrossRef]
- Zhang, X.; Ren, Z.; Hu, G.; Zhao, S.; Wei, H.; Fan, S.; Ma, Q. Functional divergence of GhAP1.1 and GhFUL2 associated with flowering regulation in upland cotton (Gossypium hirsutum L.). J. Plant Physiol. 2022, 275, 153757. [Google Scholar] [CrossRef] [PubMed]
- Wang, C.; Liu, J.; Xie, X.; Wang, J.; Ma, Q.; Chen, P.; Yang, D.; Ma, X.; Hao, F.; Su, J. GhAP1-D3 positively regulates flowering time and early maturity with no yield and fiber quality penalties in upland cotton. J. Integr. Plant. Biol. 2023, 65, 985–1002. [Google Scholar] [CrossRef]
- Cheng, X.; Wang, H.; Wei, H.; Gu, L.; Hao, P.; Sun, H.; Wu, A.; Cheng, S.; Yu, S. The MADS transcription factor GhAP1.7 coordinates the flowering regulatory pathway in upland cotton (Gossypium hirsutum L.). Gene 2021, 769, 145235. [Google Scholar] [CrossRef]
- Wang, X.; Fan, S.; Song, M.; Pang, C.; Wei, H.; Yu, J.; Ma, Q.; Yu, S. Upland cotton gene GhFPF1 confers promotion of flowering time and shade-avoidance responses in Arabidopsis thaliana. PLoS ONE 2014, 9, e91869. [Google Scholar] [CrossRef] [PubMed]
- Sang, N.; Liu, H.; Ma, B.; Huang, X.; Zhuo, L.; Sun, Y. Roles of the 14-3-3 gene family in cotton flowering. BMC Plant Biol. 2021, 21, 162. [Google Scholar] [CrossRef] [PubMed]
- Wang, D.; Du, M.; Li, J.; Yin, S.; Sun, Y.; Guo, S. Overexpression of GhSWEET42, a SWEET-like gene from cotton, enhances the oil content and seed size. Biotechnol. Biotechnol. Equip. 2023, 37, 2266529. [Google Scholar] [CrossRef]
- Li, W.; Ren, Z.; Wang, Z.; Sun, K.; Pei, X.; Liu, Y.; He, K.; Zhang, F.; Song, C.; Zhou, X.; et al. Evolution and Stress Responses of Gossypium hirsutum SWEET Genes. Int. J. Mol. Sci. 2018, 19, 769. [Google Scholar] [CrossRef] [PubMed]
- Bao, Y.; Hu, G.; Flagel, L.E.; Salmon, A.; Bezanilla, M.; Paterson, A.H.; Wang, Z.; Wendel, J.F. Parallel up-regulation of the profilin gene family following independent domestication of diploid and allopolyploid cotton (Gossypium). Proc. Natl. Acad. Sci. USA 2011, 108, 21152–21157. [Google Scholar] [CrossRef] [PubMed]
- Li, Y.; Yuan, W.; Peng, J.; Ju, J.; Ling, P.; Guo, X.; Yang, J.; Ma, Q.; Lin, H.; Li, J.; et al. GhGASA14 regulates the flowering time of upland cotton in response to GA(3). Plant Cell Rep. 2024, 43, 170. [Google Scholar] [CrossRef] [PubMed]
- Wu, Y.; Wu, P.; Xu, S.; Chen, Y.; Li, M.; Wu, G.; Jiang, H. Genome-Wide Identification, Expression Patterns and Sugar Transport of the Physic Nut SWEET Gene Family and a Functional Analysis of JcSWEET16 in Arabidopsis. Int. J. Mol. Sci. 2022, 23, 5391. [Google Scholar] [CrossRef] [PubMed]
- Sheldon, C.C.; Rouse, D.T.; Finnegan, E.J.; Peacock, W.J.; Dennis, E.S. The molecular basis of vernalization: The central role of FLOWERING LOCUS C (FLC). Proc. Natl. Acad. Sci. USA 2000, 97, 3753–3758. [Google Scholar] [CrossRef] [PubMed]
- Sheldon, C.C.; Burn, J.E.; Perez, P.P.; Metzger, J.; Edwards, J.A.; Peacock, W.J.; Dennis, E.S. The FLF MADS box gene: A repressor of flowering in Arabidopsis regulated by vernalization and methylation. Plant Cell 1999, 11, 445–458. [Google Scholar] [CrossRef]
- Koornneef, M.; Hanhart, C.J.; van der Veen, J.H. A genetic and physiological analysis of late flowering mutants in Arabidopsis thaliana. Mol. Gen. Genet. 1991, 229, 57–66. [Google Scholar] [CrossRef]
- Imaizumi, T.; Tran, H.G.; Swartz, T.E.; Briggs, W.R.; Kay, S.A. FKF1 is essential for photoperiodic-specific light signalling in Arabidopsis. Nature 2003, 426, 302–306. [Google Scholar] [CrossRef] [PubMed]
- Matías-Hernández, L.; Aguilar-Jaramillo, A.E.; Marín-González, E.; Suárez-López, P.; Pelaz, S. RAV genes: Regulation of floral induction and beyond. Ann. Bot. 2014, 114, 1459–1470. [Google Scholar] [CrossRef] [PubMed]
- Wang, H.; Pan, J.; Li, Y.; Lou, D.; Hu, Y.; Yu, D. The DELLA-CONSTANS Transcription Factor Cascade Integrates Gibberellic Acid and Photoperiod Signaling to Regulate Flowering. Plant Physiol. 2016, 172, 479–488. [Google Scholar] [CrossRef] [PubMed]
- Balasubramanian, S.; Sureshkumar, S.; Lempe, J.; Weigel, D. Potent induction of Arabidopsis thaliana flowering by elevated growth temperature. PLoS Genet. 2006, 2, e106. [Google Scholar] [CrossRef] [PubMed]
- Li, W.; He, J.; Wang, X.; Ashline, M.; Wu, Z.; Liu, F.; Fu, Z.Q.; Chang, M. PBS3: A versatile player in and beyond salicylic acid biosynthesis in Arabidopsis. New Phytol. 2023, 237, 414–422. [Google Scholar] [CrossRef] [PubMed]
- Wen, C.K.; Chang, C. Arabidopsis RGL1 encodes a negative regulator of gibberellin responses. Plant Cell 2002, 14, 87–100. [Google Scholar] [CrossRef] [PubMed]
- Mai, Y.X.; Wang, L.; Yang, H.Q. A gain-of-function mutation in IAA7/AXR2 confers late flowering under short-day light in Arabidopsis. J. Integr. Plant Biol. 2011, 53, 480–492. [Google Scholar] [CrossRef] [PubMed]
- Shu, Y.; Liu, Y.; Zhang, J.; Song, L.; Guo, C. Genome-Wide Analysis of the AP2/ERF Superfamily Genes and their Responses to Abiotic Stress in Medicago truncatula. Front. Plant Sci. 2015, 6, 1247. [Google Scholar] [CrossRef]
- Li, W.; Wang, H.; Yu, D. Arabidopsis WRKY Transcription Factors WRKY12 and WRKY13 Oppositely Regulate Flowering under Short-Day Conditions. Mol. Plant 2016, 9, 1492–1503. [Google Scholar] [CrossRef]
- Yu, Y.; Liu, Z.; Wang, L.; Kim, S.G.; Seo, P.J.; Qiao, M.; Wang, N.; Li, S.; Cao, X.; Park, C.M.; et al. WRKY71 accelerates flowering via the direct activation of FLOWERING LOCUS T and LEAFY in Arabidopsis thaliana. Plant J. 2016, 85, 96–106. [Google Scholar] [CrossRef]
- Xu, X.; Xu, J.; Yuan, C.; Hu, Y.; Liu, Q.; Chen, Q.; Zhang, P.; Shi, N.; Qin, C. Characterization of genes associated with TGA7 during the floral transition. BMC Plant Biol. 2021, 21, 367. [Google Scholar] [CrossRef] [PubMed]
- Zhang, H.; Cui, X.; Guo, Y.; Luo, C.; Zhang, L. Picea wilsonii transcription factor NAC2 enhanced plant tolerance to abiotic stress and participated in RFCP1-regulated flowering time. Plant Mol. Biol. 2018, 98, 471–493. [Google Scholar] [CrossRef] [PubMed]
- Zhang, L.; Chen, L.; Yu, D. Transcription Factor WRKY75 Interacts with DELLA Proteins to Affect Flowering. Plant Physiol. 2018, 176, 790–803. [Google Scholar] [CrossRef] [PubMed]
- Kumar, S.; Stecher, G.; Li, M.; Knyaz, C.; Tamura, K. MEGA X: Molecular Evolutionary Genetics Analysis across Computing Platforms. Mol. Biol. Evol. 2018, 35, 1547–1549. [Google Scholar] [CrossRef]
- Zhang, X.; Henriques, R.; Lin, S.S.; Niu, Q.W.; Chua, N.H. Agrobacterium-mediated transformation of Arabidopsis thaliana using the floral dip method. Nat. Protoc. 2006, 1, 641–646. [Google Scholar] [CrossRef]
Disclaimer/Publisher’s Note: The statements, opinions and data contained in all publications are solely those of the individual author(s) and contributor(s) and not of MDPI and/or the editor(s). MDPI and/or the editor(s) disclaim responsibility for any injury to people or property resulting from any ideas, methods, instructions or products referred to in the content. |
© 2024 by the authors. Licensee MDPI, Basel, Switzerland. This article is an open access article distributed under the terms and conditions of the Creative Commons Attribution (CC BY) license (https://creativecommons.org/licenses/by/4.0/).







