Effects of Foliar Boron Application on Physiological and Antioxidants Responses in Highbush Blueberry (Vaccinium corymbosum L.) Cultivars
Abstract
1. Introduction
2. Results
2.1. B Concentration in Leaves and Roots of Highbush Blueberry Cultivars
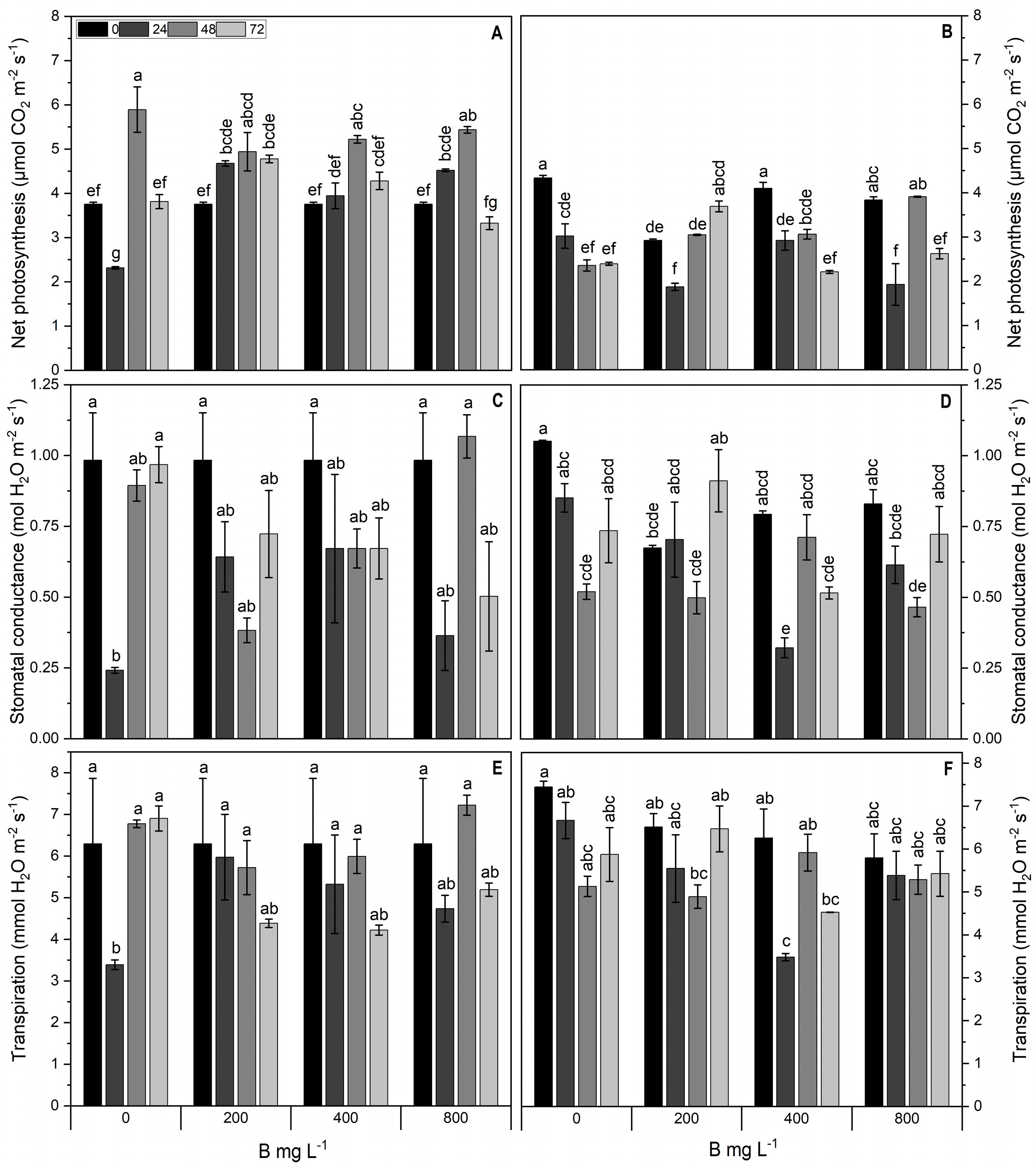
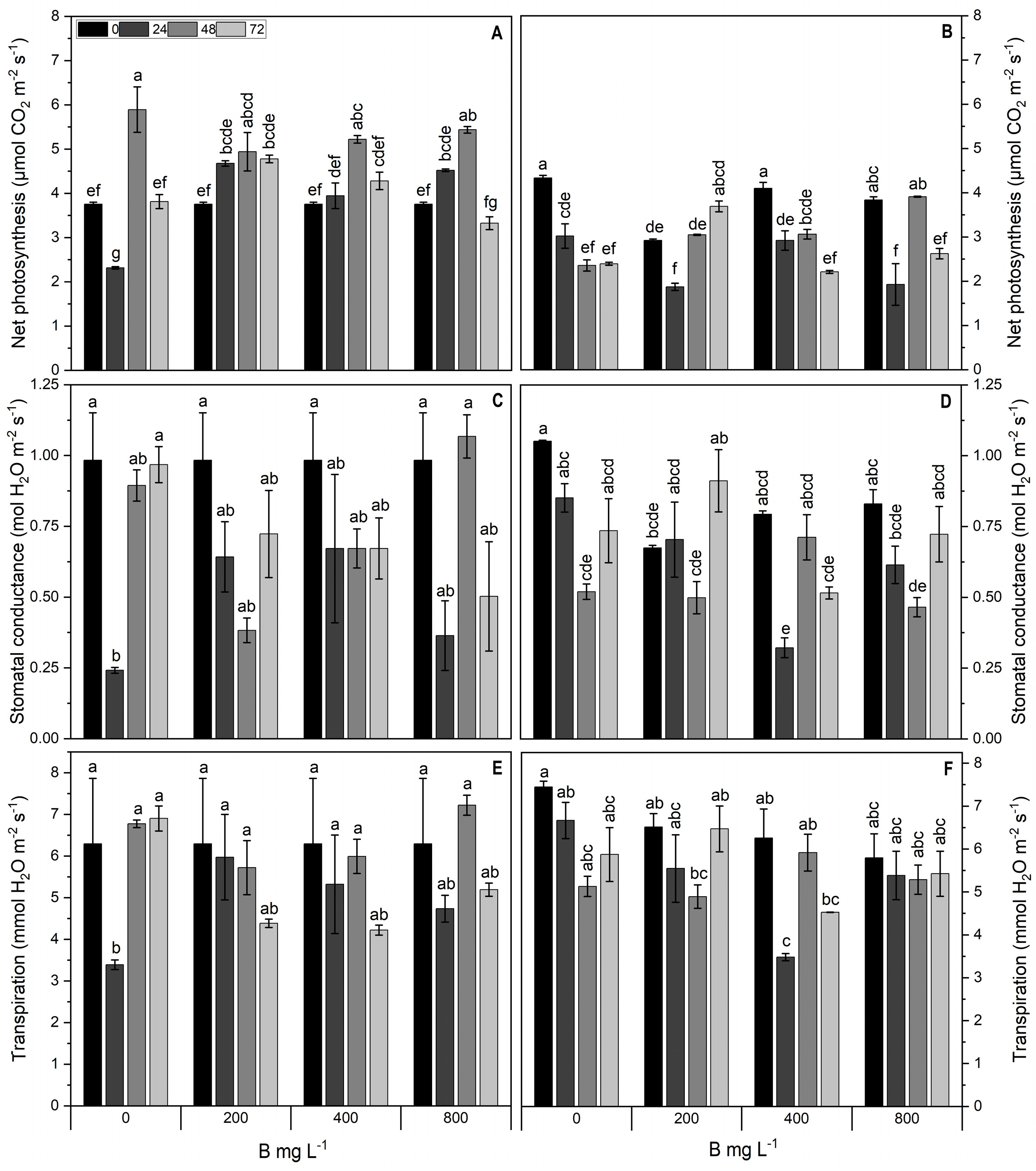
2.2. Chlorophyll Fluorescence and Gas Exchange Parameters
2.3. Photosynthetic Pigments
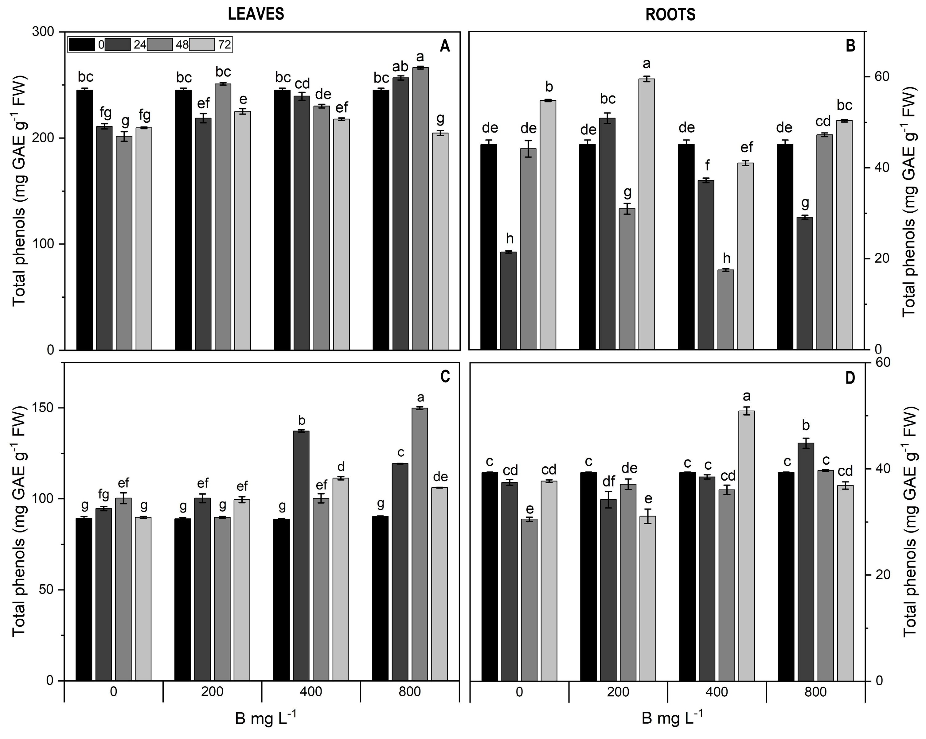
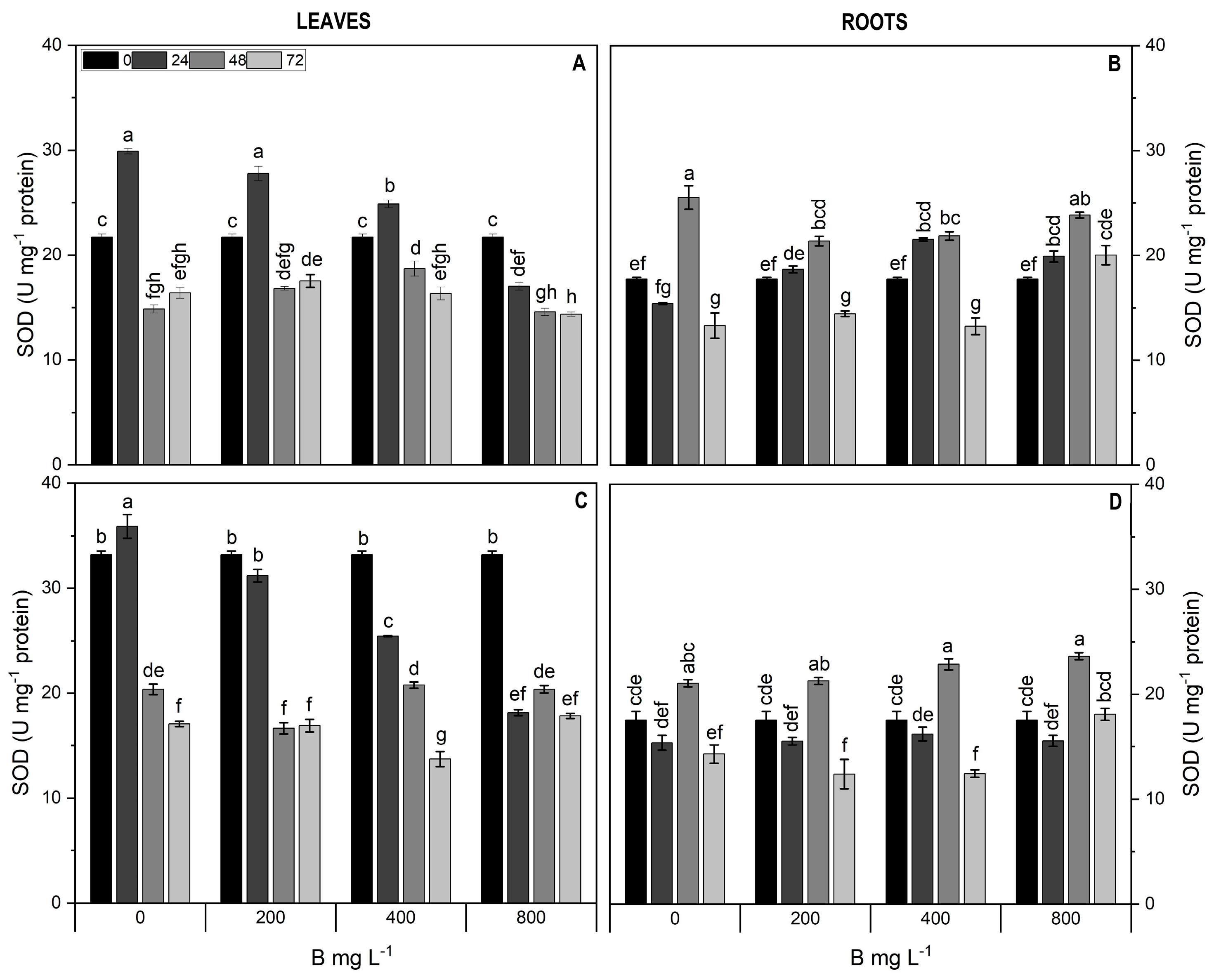
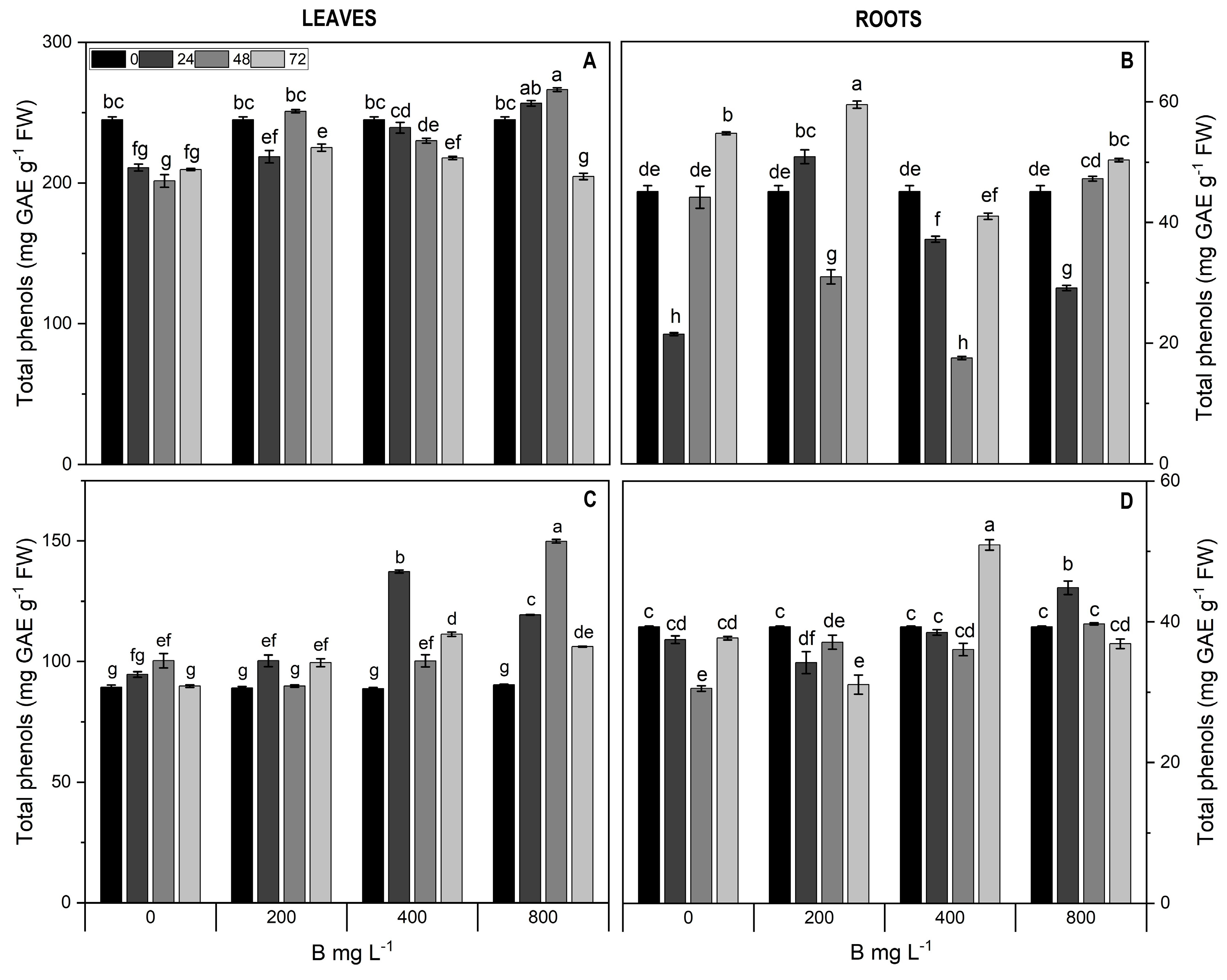
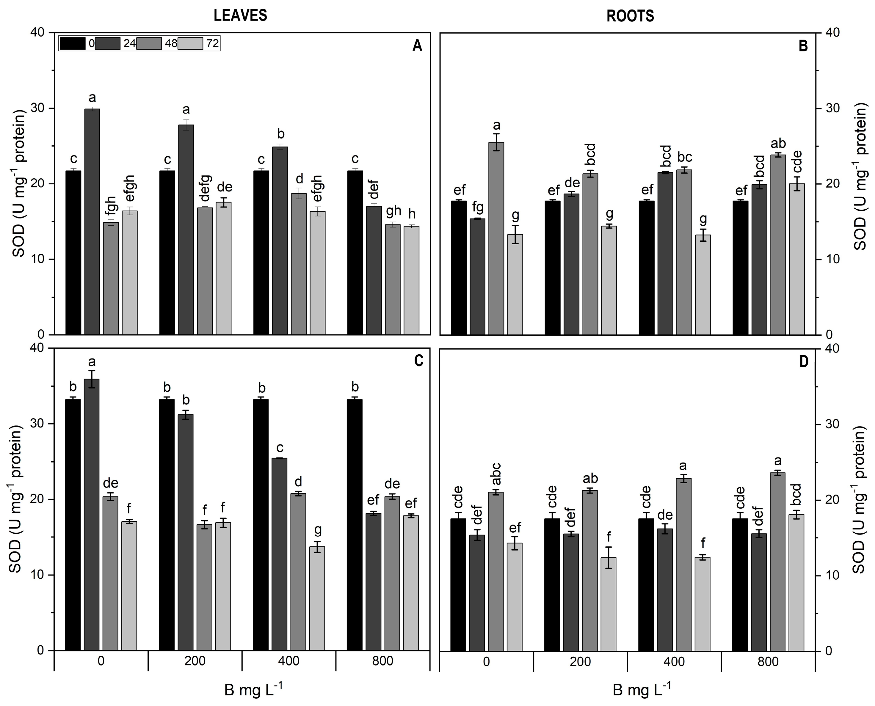
2.4. Assessment of Lipid Peroxidation and Antioxidant Activity
3. Discussion
4. Materials and Methods
4.1. Plant Material and Growth Conditions
4.2. Determination of B Concentration
4.3. Chlorophyll Fluorescence and Gas Exchange Analyses
4.4. Determination of Photosynthetic Pigment Contents
4.5. Lipid Peroxidation Assay
4.6. Antioxidants Determination
4.7. Phenol and Flavonoid Assays
4.8. Superoxide Dismutase Activity
4.9. Experimental Design and Statistical Analyses
5. Conclusions
Author Contributions
Funding
Data Availability Statement
Acknowledgments
Conflicts of Interest
References
- Pereira, L.G.; Siqueira, J.A.; Batista-Silva, W.; Cardoso, F.B.; Nunes-Nesi, A.; Araújo, W.L. Boron: More than an essential element for land plants? Front. Plant Sci. 2021, 11, 610307. [Google Scholar] [CrossRef]
- Kohli, A.K.; Kaur, H.; Khanna, K.; Handa, N.; Bhardwaj, R.; Rinklebe, J.; Ahmad, P. Boron in plants: Uptake, deficiency and biological potential. Plant Growth Regul. 2022, 100, 267–282. [Google Scholar] [CrossRef]
- Stangoulis, J.C.; Reid, R.J.; Brown, P.H.; Graham, R.D. Kinetic analysis of boron transport in Chara. Planta 2001, 213, 142–146. [Google Scholar] [CrossRef]
- Rengel, Z.; Cakmak, I.; White, J.P. (Eds.) Marschner’s Mineral Nutrition of Plants; Elsevier: Amsterdam, The Netherlands, 2023; ISBN 9781119525417. [Google Scholar]
- Takano, J.; Tanaka, M. Boron-sensing mechanisms involved in boron transport regulation in plants. J. Plant Nutr. Soil Sci. 2023, 1–8. [Google Scholar] [CrossRef]
- Arunkumar, B.R.; Thippeshappa, G.N.; Anjali, M.C.; Prashanth, K.M. Boron: A critical micronutrient for crop growth and productivity. J. Pharmacogn. Phytochem. 2018, 7, 2738–2741. [Google Scholar]
- Voxeur, A.; Fry, S.C. Glycosylinositol phosphorylceramides from Rosa cell cultures are boron-bridged in the plasma membrane and form complexes with rhamnogalacturonan II. Plant J. 2014, 79, 139–149. [Google Scholar] [CrossRef] [PubMed]
- Yang, W.; Yang, H.; Ling, L.; Chun, C.; Peng, L. Tolerance and physiological responses of Citrus rootstock cultivars to boron toxicity. Horticulturae 2023, 9, 44. [Google Scholar] [CrossRef]
- Yan, L.; Riaz, M.; Du, C.; Liu, Y.; Zeng, Y.; Jiang, C. Ameliorate role of boron to toxicity of aluminum in trifoliate orange roots. Ecotoxicol. Environ. Saf. 2019, 179, 212–221. [Google Scholar] [CrossRef]
- Cheng, J.; Yan, L.; Riaz, M.; Zhang, Y.; Cuncang, J. Role of boron and its detoxification system in trifoliate seedlings (Poncirus trifoliate (L) Raf.) response to H+-toxicity: Antioxidant responses, stress physiological indexes, and essential element contents. Sci. Hortic. 2023, 319, 112144. [Google Scholar] [CrossRef]
- Riaz, M.; Yan, L.; Wu, X.; Hussain, S.; Aziz, O.; Jiang, C. Mechanisms of organic acids and boron induced tolerance of aluminum toxicity: A review. Ecotoxicol. Environ. Saf. 2018, 165, 25–35. [Google Scholar] [CrossRef]
- Landi, M.; Remorini, D.; Pardossi, A.; Guidi, L. Boron excess affects photosynthesis and antioxidant apparatus of greenhouse Cucurbita pepo and Cucumis sativus. J. Plant Res. 2013, 126, 775–786. [Google Scholar] [CrossRef]
- Choudhary, S.; Zehra, A.; Naeem, M.; Masroor, A.K.; Aftab, T. Effects of boron toxicity on growth, oxidative damage, antioxidant enzymes and essential oil fingerprinting in Mentha arvensis and Cymbopogon flexuosus. Chem. Biol. Technol. Agric. 2020, 7, 8. [Google Scholar] [CrossRef]
- Millaleo, R.; Alvear, M.; Aguilera, P.; González-Villagra, J.; de la Luz Mora, M.; Alberdi, M.; Reyes-Díaz, M. Mn toxicity differentially affects physiological and biochemical features in highbush blueberry (Vaccinium corymbosum L.) cultivars. J. Soil Sci. Plant Nutr. 2020, 20, 795–805. [Google Scholar] [CrossRef]
- Blevins, D.G.; Lukaszewki, K.M. Boron in plant structure and function. Ann. Rev. Plant Physiol. Plant Mol. 1998, 49, 481–500. [Google Scholar] [CrossRef] [PubMed]
- Manquián-Cerda, K.; Cruces, E.; Escudey, M.; Zúñiga, G.; Calderón, R. Interactive effects of aluminum and cadmium on phenolic compounds, antioxidant enzyme activity and oxidative stress in blueberry (Vaccinium corymbosum L.) plantlets cultivated in vitro. Ecotoxicol. Environ. Saf. 2018, 150, 320–326. [Google Scholar] [CrossRef]
- Millaleo, R.; Reyes-Díaz, M.; Ivanov, A.G.; Alberdi, M. Manganese as essential and toxic element for plants: Transport, accumulation and resistance mechanisms. J. Soil Sci. Plant Nutr. 2010, 10, 476–494. [Google Scholar] [CrossRef]
- Alejandro, S.; Höller, S.; Meier, B.; Peiter, E. Manganese in plants: From acquisition to subcellular allocation. Front. Plant Sci. 2020, 11, 300. [Google Scholar] [CrossRef]
- Su, C.; Suarez, D.L. Boron sorption and release by allophane. Soil Sci. Soc. Am. J. 1997, 61, 69–77. [Google Scholar] [CrossRef]
- Terraza Pira, M.F.; Sumner, M.E.; Plante, A.; Thompson, A. Mineral characteristics of volcanic ash-derived soils affecting boron adsorption. Soil Sci. Soc. Am. J. 2023, 87, 682–695. [Google Scholar] [CrossRef]
- Klochko, K.; Kaufman, A.; Yao, W.; Byrne, R.H.; Tossell, J.A. Experimental measurement of boron isotope fractionation in seawater. Earth Planet. Sci. Lett. 2006, 248, 276–285. [Google Scholar] [CrossRef]
- Fageria, N.K.; Barbosa Filho, M.P.; Moreira, A.; Guimarães, C.M. Foliar fertilization of crop plants. J. Plant Nutr. 2009, 32, 1044–1064. [Google Scholar] [CrossRef]
- DeMoranville, C.; Deubert, K. Effect of commercial calcium-boron and manganese-zinc formulation on fruit set of cranberries. J. Hortic. Sci. 1987, 62, 163–169. [Google Scholar] [CrossRef]
- Boaretto, R.M.; Quaggio, J.A.; Mattos, D., Jr.; Muraoka, T.; Boaretto, A.E. Boron uptake and distribution in field grown citrus tree. J. Plant Nutr. 2011, 34, 839–849. [Google Scholar] [CrossRef]
- Chormova, D.; Messenger, D.J.; Fry, S.C. Boron bridging of rhamnogalacturonan-II, monitored by gel electrophoresis, occurs during polysaccharide synthesis and secretion but on post-secretion. Plant J. 2014, 77, 534–546. [Google Scholar] [CrossRef]
- Du, W.; Pan, Z.-Y.; Hussain, S.B.; Han, Z.-X.; Peng, S.-A.; Liu, Y.-Z. Foliar supplied boron can be transported to roots as a boron-sucrose complex via phloem in citrus trees. Front. Plant Sci. 2020, 11, 250. [Google Scholar] [CrossRef] [PubMed]
- Vera-Maldonado, P.; Aquea, F.; Reyes-Díaz, M.; Cárcamo-Fincheira, P.; Soto-Cerda, B.; Nunes-Nesi, A.; Inostroza-Blancheteau, C. Role of boron and its interaction with other elements in plants. Front. Plant Sci. 2024, 15, 1332459. [Google Scholar] [CrossRef]
- Reid, R. Understanding the boron transport network in plants. Plant Soil 2014, 385, 1–13. [Google Scholar] [CrossRef]
- Hu, H.; Penn, S.G.; Lebrilla, C.B.; Brown, P.H. Isolation and characterization of soluble boron complexes in higher plants (The mechanism of phloem mobility of boron). Plant Physiol. 1997, 113, 649–655. [Google Scholar] [CrossRef]
- Stangoulis, J.; Tate, M.; Graham, R.; Bucknall, M.; Palmer, L.; Boughton, B.; Reid, R. The mechanism of boron mobility in wheat and canola phloem. Plant Physiol. 2010, 153, 876–881. [Google Scholar] [CrossRef]
- de Oliveira, G.A.R.; de Mello Prado, R.; Cecílio, F.; Alves, A.B.; Ribeiro, A.U.; Correia, M.A. Boron foliar application in nutrition and yield of beet and tomato. J. Plant Nutr. 2015, 38, 1573–1579. [Google Scholar] [CrossRef]
- Nyomora, A.M.; Brown, P.H.; Freeman, M. Fall foliar-applied boron increases tissue boron concentration and nut set of almond. J. Amer. Soc. Hortic. Sci. 1997, 122, 405–410. [Google Scholar] [CrossRef]
- Brdar-Jokanović, M. Boron toxicity and deficiency in agricultural plants. Int. J. Mol. Sci. 2020, 21, 1424. [Google Scholar] [CrossRef] [PubMed]
- Cervilla, L.M.; Blasco, B.; Rios, J.J.; Romero, L.; Ruiz, J.M. Oxidative stress and antioxidants in tomato (Solanum lycopersicum) plants subjected to boron toxicity. Ann. Bot. 2007, 100, 747–756. [Google Scholar] [CrossRef] [PubMed]
- Day, S.; Aasim, M. Role of boron in growth and development of plant: Deficiency and toxicity perspective. In Plant Micronutrients; Aftab, T., Hakeem, R., Eds.; Springer: Cham, Switzerland, 2020. [Google Scholar] [CrossRef]
- Wimmer, M.A.; Eichert, T. Review: Mechanisms for boron deficiency-mediated changes in plant water relations. Plant Sci. 2013, 203–204, 25–32. [Google Scholar] [CrossRef]
- Simón, I.; Díaz-López, L.; Gimeno, V.; Nieves, M.; Pereira, W.E.; Martínez, V.; Lidon, V.; García-Sánchez, F. Effects of boron excess in nutrient solution on growth, mineral nutrition, and physiological parameters of Jatropha curcas seedlings. Z. Pflanzenernähr. Bodenk. 2013, 176, 165–174. [Google Scholar] [CrossRef]
- García-Sánchez, F.; Simón-Grao, S.; Martínez-Nicolás, J.J.; Alfosea-Simón, M.; Liu, C.; Chatzissavvidis, C.; Pérez-Pérez, J.; Cámara-Zapata, J.M. Multiple stresses occurring with boron toxicity and deficiency in plants. J. Hazard. Mat. 2020, 397, 122713. [Google Scholar] [CrossRef]
- Silva, A.P.; Aires, A.; Barreales, D.; Rodrigues, M.Â.; Ribeiro, A.C.; Gonçalves, B.; Morais, M.C. Effects of foliar and soil boron fertilization on yield, leaf physiological traits and fruit attributes in rainfed almond orchards. Agronomy 2022, 12, 2005. [Google Scholar] [CrossRef]
- Naeem, M.; Naeem, M.S.; Ahmad, R.; Ahmad, R.; Ashraf, M.Y.; Ihsan, M.Z.; Nawaz, F.; Athar, H.R.; Ashraf, M.; Abbas, H.T.; et al. Improving drought tolerance in maize by foliar application of boron: Water status, antioxidative defense and photosynthetic capacity. Arch. Agron. Soil Sci. 2018, 64, 626–639. [Google Scholar] [CrossRef]
- Sülüs, S.; Leblebici, S. Effect of boric acid application on antioxidant enzymes activity and gene expression in safflower (Carthamus tinctorius L.) cultivars. Braz. Arch. Biol. Technol. 2021, 65, e22200702. [Google Scholar] [CrossRef]
- Asad, S.; Xiuwen, W.; Abid, U.; Shah, F.; Riaz, M.; Lei, Y.; Cuncang, J. Deficiency and toxicity of boron: Alterations in growth, oxidative damage and uptake by citrange orange plants. Ecotoxicol. Environ. Saf. 2017, 145, 575–582. [Google Scholar] [CrossRef]
- Han, S.; Chen, L.S.; Jiang, H.X.; Smith, B.R.; Yanga, L.T.; Xie, C.Y. Boron deficiency decrease growth and photosynthesis, and increases starch and hexoses in leaves of citrus seedling. J. Plan Physiol. 2008, 165, 1331–1341. [Google Scholar] [CrossRef] [PubMed]
- Shireen, F.; Nawaz, A.; Chen, C.; Zhang, Q.; Zheng, Z.; Sohail, H.; Sun, J.; Cao, H.; Huang, Y.; Bie, Z. Boron: Functions and approaches to enhances its availability in plants for sustainable agriculture. Int. J. Mol. Sci. 2018, 19, 1856. [Google Scholar] [CrossRef] [PubMed]
- Gunes, A.; Soylemezoglu, G.; Inal, A.; Bagci, E.G.; Coban, S.; Sahin, O. Antioxidant and stomatal responses of grapevine (Vitis vinifera L.) to boron toxicity. Sci. Hortic. 2006, 110, 279–284. [Google Scholar] [CrossRef]
- Molassiotis, A.; Sotiropoulos, T.; Tanou, G.; Diamantidis, G.; Therios, I. Boron induced oxidative damage and antioxidant and nucleolytic responses in shoot tips culture of the apple rootstock EM9 (Malus domestica Borkh). Environ. Exp. Bot. 2006, 56, 54–62. [Google Scholar] [CrossRef]
- Marschner, P. Mineral Nutrition of Higher Plants, 3rd ed.; Elsevier: Adelaide, Australia, 2012. [Google Scholar]
- Cárcamo, M.P.; Reyes-Díaz, M.; Rengel, Z.; Alberdi, M.; Omena-García, R.; Nunes-Nesi, A.; Inostroza-Blancheteau, C. Aluminum stress differentially affects physiological performance and metabolic compounds in cultivars of highbush blueberry. Sci. Rep. 2019, 9, 11275. [Google Scholar] [CrossRef] [PubMed]
- Cárcamo-Fincheira, P.; Reyes-Díaz, M.; Rengel, Z.; Omena-García, R.; Vargas, J.R.; Florez-Sarasa, I.; Nunes-Nesi, A.; Inostroza-Blancheteau, C. Metabolic analyses of contrasting highbush blueberry genotypes (Vaccinium corymbosum L.) revealed adaptive strategies under aluminum toxicity. Environ. Exp. Bot. 2021, 183, 104338. [Google Scholar] [CrossRef]
- Cárcamo-Fincheira, P.; Reyes-Díaz, M.; Omena-Garcia, R.P.; Nunes-Nesi, A.; Inostroza-Blancheteau, C. Physiological and metabolic changes in response to aluminum toxicity reveal differing mechanisms of Al resistance in highbush blueberry cultivars after long-term exposure. Sci. Hortic. 2023, 309, 111665. [Google Scholar] [CrossRef]
- Retamales, J.B.; Hancock, J.F. Blueberries, 2nd ed.; CABI: Wallingford, UK, 2018; 411p. [Google Scholar]
- Hoagland, D.R.; Arnon, D.I. The water culture method for growing plant without soil. Calif. Agric. Exp. Stn. 1959, 347, 1–32. [Google Scholar]
- Sadzawka, A.; Grez, R.; Carrasco, M.; Mora, M. Métodos de Análisis de Tejidos Vegetales; Comisión de Normalización y Acreditación Sociedad Chilena de la Ciencia del Suelo: Santiago, Chile, 2007; pp. 49–51. [Google Scholar]
- Logan, B.A.; Adams, W.W.; Demmig-Adams, B. Avoiding common pitfalls of chlorophyll fluorescence analysis under field conditions. Funct. Plant Biol. 2007, 34, 853–859. [Google Scholar] [CrossRef]
- Genty, B.; Briantais, J.M.; Baker, N.R. The relationship between the quantum yield of photosynthetic electron transport and quenching of chlorophyll fluorescence. Biochim. Biophys. Acta Gen. Subj. 1989, 990, 87–92. [Google Scholar] [CrossRef]
- Reyes-Díaz, M.; Meriño-Gergichevich, C.; Alarcón, E.; Alberdi, M.; Horst, W.J. Calcium sulfate ameliorates the effect of aluminum toxicity differentially in genotypes of highbush blueberry (Vaccinium corymbosum L.). J. Soil Sci. Plant Nutr. 2011, 11, 59–78. [Google Scholar] [CrossRef]
- Medeiros, D.B.; Barros, K.A.; Barros, J.A.S.; Omena-Garcia, R.P.; Arrivault, S.; Sanglard, L.M.V.P.; Detmann, K.C.; Silva, W.B.; Daloso, D.M.; DaMatta, F.M.; et al. Impaired malate and fumarate accumulation due to the mutation of the tonoplast dicarboxylate transporter has little effects on stomatal behavior. Plant Physiol. 2017, 175, 1068–1081. [Google Scholar] [CrossRef] [PubMed]
- Porra, R.J.; Thompson, W.A.; Kriedemann, P.E. Determination of accurate extinction coefficients and simultaneous equations for assaying chlorophylls a and b extract with four different solvents: Verification of the concentration of chlorophylls standards by atomic absorption spectroscopy. Biochem. Biophys. Acta 1989, 975, 384–394. [Google Scholar] [CrossRef]
- Du, Z.; Bramlage, W.J. Modified thiobarbituric acid assay for measuring lipid peroxidation in sugar rich plant tissue extracts. J. Agric. Food Chem. 1992, 40, 1566–1570. [Google Scholar] [CrossRef]
- Chinnici, F.; Bendini, A.A.; Gaiani, A.; Riponi, C. Radical scavenging activities of peels and pulps from cv. Golden delicious apples as related to their phenolic composition. J. Agric. Food Chem. 2004, 52, 4684–4689. [Google Scholar] [CrossRef] [PubMed]
- Slinkard, K.; Singleton, V.L. Total phenol analysis: Automation and comparison with manual methods. Am. J. Enol. Vitic. 1977, 28, 49–55. [Google Scholar] [CrossRef]
- Meyers, K.; Watkins, C.B.; Pritts, M.P.; Liu, R.H. Antioxidant and antiproliferative activities of strawberries. J. Agric. Food Chem. 2003, 51, 6887–6892. [Google Scholar] [CrossRef]
- Donahue, J.L.; Okpodu, C.M.; Cramer, C.L.; Grabau, E.A.; Alscher, R.G. Responses of antioxidants to paraquat in pea leaves. Plant Physiol. 1997, 113, 249–257. [Google Scholar] [CrossRef]
- Bradford, M.M. A rapid and sensitive method for the quantitation microgram quantities of protein utilizing the principle of protein-dye binding. Anal. Biochem. 1976, 72, 248–254. [Google Scholar] [CrossRef]








| Time (h)–B Rate (mg L−1) | Chl a | Chl b | Chl a/b | Carotenoids |
|---|---|---|---|---|
| 0-0 | 0.49 ± 0.046 b | 0.21 ± 0.018 ab | 2.34 ± 0.035 a | 0.82 ± 0.011 abc |
| 0-200 | 0.49 ± 0.046 b | 0.21 ± 0.018 ab | 2.34 ± 0.035 a | 0.82 ± 0.011 abc |
| 0-400 | 0.49 ± 0.046 b | 0.21 ± 0.018 ab | 2.34 ± 0.035 a | 0.82 ± 0.011 abc |
| 0-800 | 0.49 ± 0.046 b | 0.21 ± 0.018 ab | 2.34 ± 0.035 a | 0.82 ± 0.011 abc |
| 24-0 | 0.45 ± 0.066 b | 0.21 ± 0.017 ab | 2.40 ± 0.036 a | 0.70 ± 0.026 c |
| 24-200 | 0.45 ± 0.021 b | 0.20 ± 0.009 b | 2.24 ± 0.115 a | 0.80 ± 0.046 abc |
| 24-400 | 0.40 ± 0.037 b | 0.17 ± 0.012 b | 2.29 ± 0.088 a | 0.72 ± 0.068 bc |
| 24-800 | 0.54 ± 0.061 b | 0.22 ± 0.017 ab | 2.37 ± 0.096 a | 0.98 ± 0.087 abc |
| 48-0 | 0.41 ± 0.038 b | 0.18 ± 0.012 b | 2.17 ± 0.059 a | 0.78 ± 0.065 abc |
| 48-200 | 0.77 ± 0.018 a | 0.29 ± 0.006 a | 2.52 ± 0.846 a | 1.09 ± 0.151 a |
| 48-400 | 0.57 ± 0.016 ab | 0.25 ± 0.004 ab | 2.30 ± 0.094 a | 1.00 ± 0.011 abc |
| 48-800 | 0.59 ± 0.048 ab | 0.24 ± 0.019 ab | 2.40 ± 0.028 a | 1.07 ± 0.112 ab |
| 72-0 | 0.43 ± 0.018 b | 0.18 ± 0.008 b | 2.31 ± 0.108 a | 0.74 ± 0.030 bc |
| 72-200 | 0.53 ± 0.039 b | 0.22 ± 0.013 ab | 2.34 ± 0.032 a | 0.95 ± 0.072 abc |
| 72-400 | 0.57 ± 0.016 ab | 0.25 ± 0.037 ab | 2.31 ± 0.217 a | 0.91 ± 0.087 abc |
| 72-800 | 0.55 ± 0.025 b | 0.21 ± 0.011 ab | 2.35 ± 0.111 a | 0.93 ± 0.030 abc 1 |
| Time (h)–B Rate (mg L−1) | Chl a | Chl b | Chl a/b | Carotenoids |
|---|---|---|---|---|
| 0-0 | 0.61 ± 0.050 ab | 0.27 ± 0.021 abc | 2.27 ± 0.011 a | 1.08 ± 0.102 abc |
| 0-200 | 0.59 ± 0.042 ab | 0.26 ± 0.01 abcde | 2.28 ± 0.003 a | 1.16 ± 0.027 a |
| 0-400 | 0.61 ± 0.018 ab | 0.28 ± 0.02 abc | 2.29 ± 0.001 a | 1.11 ± 0.040 ab |
| 0-800 | 0.61 ± 0.030 ab | 0.27 ± 0.005 abc | 2.27 ± 0.003 a | 1.02 ± 0.008 abcd |
| 24-0 | 0.45 ± 0.013 b | 0.21 ± 0.005 cde | 2.22 ± 0.055 ab | 0.79 ± 0.038 cd |
| 24-200 | 0.53 ± 0.010 ab | 0.24 ± 0.011 abcde | 2.18 ± 0.064 abc | 0.92 ± 0.022 abcd |
| 24-400 | 0.60 ± 0.057 ab | 0.29 ± 0.001 ab | 2.22 ± 0.046 ab | 1.10 ± 0.100 abc |
| 24-800 | 0.44 ± 0.045 b | 0.19 ± 0.005 e | 2.11 ± 0.029 abc | 0.75 ± 0.019 d |
| 48-0 | 0.59 ± 0.018 ab | 0.25 ± 0.005 abcde | 2.28 ± 0.068 a | 0.95 ± 0.053 abcd |
| 48-200 | 0.64 ± 0.005 a | 0.26 ± 0.031 abcd | 2.17 ± 0.010 abc | 0.88 ± 0.085 abcd |
| 48-400 | 0.54 ± 0.027 ab | 0.19 ± 0.009 de | 2.21 ± 0.058 abc | 0.95 ± 0.07 abcd |
| 48-800 | 0.51 ± 0.046 ab | 0.30 ± 0.010 a | 1.89 ± 0.104 c | 0.85 ± 0.08 abcd |
| 72-0 | 0.49 ± 0.010 ab | 0.21 ± 0.002 cde | 2.28 ± 0.072 a | 0.84 ± 0.001 bcd |
| 72-200 | 0.49 ± 0.033 ab | 0.23 ± 0.010 abcde | 2.07 ± 0.064 abc | 0.85 ± 0.074 abcd |
| 72-400 | 0.59 ± 0.041 ab | 0.30 ± 0.016 a | 1.93 ± 0.130 bc | 1.02 ± 0.07 abcd |
| 72-800 | 0.46 ± 0.005 b | 0.22 ± 0.005 bcde | 2.06 ± 0.07 abc | 0.82 ± 0.02 bcd 1 |
Disclaimer/Publisher’s Note: The statements, opinions and data contained in all publications are solely those of the individual author(s) and contributor(s) and not of MDPI and/or the editor(s). MDPI and/or the editor(s) disclaim responsibility for any injury to people or property resulting from any ideas, methods, instructions or products referred to in the content. |
© 2024 by the authors. Licensee MDPI, Basel, Switzerland. This article is an open access article distributed under the terms and conditions of the Creative Commons Attribution (CC BY) license (https://creativecommons.org/licenses/by/4.0/).
Share and Cite
Reyes-Díaz, M.; Cárcamo-Fincheira, P.; Tighe-Neira, R.; Nunes-Nesi, A.; Savouré, A.; Inostroza-Blancheteau, C. Effects of Foliar Boron Application on Physiological and Antioxidants Responses in Highbush Blueberry (Vaccinium corymbosum L.) Cultivars. Plants 2024, 13, 1553. https://doi.org/10.3390/plants13111553
Reyes-Díaz M, Cárcamo-Fincheira P, Tighe-Neira R, Nunes-Nesi A, Savouré A, Inostroza-Blancheteau C. Effects of Foliar Boron Application on Physiological and Antioxidants Responses in Highbush Blueberry (Vaccinium corymbosum L.) Cultivars. Plants. 2024; 13(11):1553. https://doi.org/10.3390/plants13111553
Chicago/Turabian StyleReyes-Díaz, Marjorie, Paz Cárcamo-Fincheira, Ricardo Tighe-Neira, Adriano Nunes-Nesi, Arnould Savouré, and Claudio Inostroza-Blancheteau. 2024. "Effects of Foliar Boron Application on Physiological and Antioxidants Responses in Highbush Blueberry (Vaccinium corymbosum L.) Cultivars" Plants 13, no. 11: 1553. https://doi.org/10.3390/plants13111553
APA StyleReyes-Díaz, M., Cárcamo-Fincheira, P., Tighe-Neira, R., Nunes-Nesi, A., Savouré, A., & Inostroza-Blancheteau, C. (2024). Effects of Foliar Boron Application on Physiological and Antioxidants Responses in Highbush Blueberry (Vaccinium corymbosum L.) Cultivars. Plants, 13(11), 1553. https://doi.org/10.3390/plants13111553

