Effects of Magnesium Imbalance on Root Growth and Nutrient Absorption in Different Genotypes of Vegetable Crops
Abstract
:1. Introduction
2. Results
2.1. Changes in Plant Biomass of Two Vegetable Crops under Different Mg Treatments
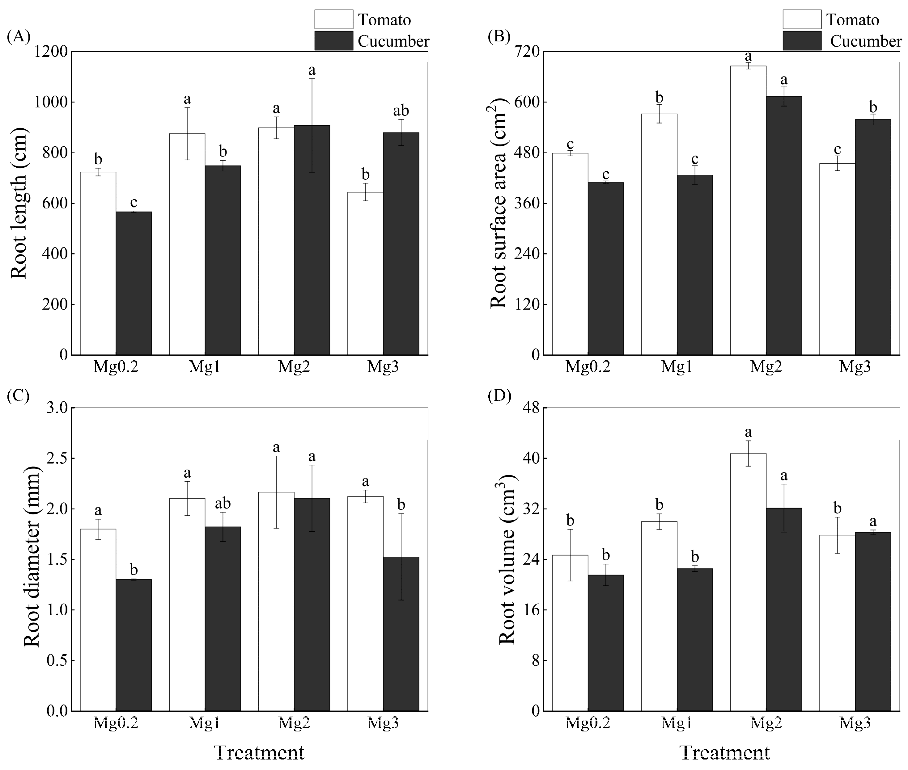
2.2. Responses of Root Growth in Two Vegetable Crops to Different Mg Supply Levels
2.3. Differences in Nutrient Contents in Various Plant Parts of Two Vegetable Crops among Mg Treatments
2.4. Patterns of Nutrient Accumulation in Two Vegetable Crops under Different Mg Treatments
2.5. Comparison of Root-Exuded Organic Acids in Two Vegetable Crops Supplied with Different Mg Levels
3. Discussion
3.1. Effects of Mg Supply Level on Nutrient Absorption and Root Growth in Different Vegetable Genotypes
3.2. Relationship between Crop Nutrition and Root Exudation of Organic Acids
4. Materials and Methods
4.1. Experimental Materials
4.2. Experimental Design and Treatments
4.3. Sampling and Testing
4.3.1. Root Exudate Collection and Analysis
4.3.2. Plant Growth and Nutrient Analysis
4.4. Data Analysis
5. Conclusions
Author Contributions
Funding
Data Availability Statement
Conflicts of Interest
References
- Shaul, O. Magnesium transport and function in plants: The tip of the iceberg. Biometals 2002, 15, 307–321. [Google Scholar] [CrossRef] [PubMed]
- Verbruggen, N.; Hermans, C. Physiological and molecular responses to magnesium nutritional imbalance in plants. Plant Soil 2013, 368, 87–99. [Google Scholar] [CrossRef]
- Rosanoff, A. Changing crop magnesium concentrations: Impact on human health. Plant Soil 2013, 368, 139–153. [Google Scholar] [CrossRef]
- Cakmak, I. Magnesium in crop production, food quality and human health. Plant Soil 2013, 368, 1–4. [Google Scholar] [CrossRef]
- Li, Y.; Han, M.Q.; Lin, F.; Ten, Y.; Lin, J.; Zhu, D.H.; Guo, P.; Weng, Y.B.; Chen, L.S. Soil chemical properties, ‘Guanximiyou’ pummelo leaf mineral nutrient status and fruit quality in the southern region of Fujian province, China. J. Soil Sci. Plant Nutr. 2015, 15, 615–628. [Google Scholar] [CrossRef]
- Rosanoff, A.; Weaver, C.M.; Rude, R.K. Suboptimal magnesium status in the United States: Are the health consequences underestimated? Nutr. Rev. 2012, 70, 153–164. [Google Scholar] [CrossRef]
- Fan, M.S.; Shen, J.B.; Yuan, L.X.; Jiang, R.F.; Chen, X.P.; Davies, W.J.; Zhang, F.S. Improving crop productivity and resource use efficiency to ensure food security and environmental quality in China. J. Exp. Bot. 2012, 63, 13–24. [Google Scholar] [CrossRef]
- Gransee, A.; Führs, H. Magnesium mobility in soils as a challenge for soil and plant analysis, magnesium fertilization and root uptake under adverse growth conditions. Plant Soil 2013, 368, 5–21. [Google Scholar] [CrossRef]
- Aitken, R.L.; Dickson, T.; Hailes, K.J.; Moody, P.W. Response of field-grown maize to applied magnesium in acidic soils in north-eastern Australia. Aust. J. Agric. Res. 1999, 50, 191–198. [Google Scholar] [CrossRef]
- Xie, K.L.; Ismail, C.M.; Wang, S.Y.; Zhang, F.S.; Guo, S.W. Synergistic and antagonistic interactions between potassium and magnesium in higher plants. Crop J. 2021, 9, 249–256. [Google Scholar] [CrossRef]
- Xie, X.Y.; Liu, H.T.; Cheng, Z.W. Effects of magnesium stress on photosynthetic character of cucumber in greenhouse. China Veg. 2009, 6, 36–40. [Google Scholar]
- Gerendás, J.; Führs, H. The significance of magnesium for crop quality. Plant Soil 2013, 368, 101–128. [Google Scholar] [CrossRef]
- Cakmak, I.; Yazici, A.M. Magnesium: A forgotten element in crop production. Better Crops 2010, 94, 23–25. Available online: https://www.researchgate.net/publication/291869977 (accessed on 10 September 2023).
- Wu, J.; Nadeem, M.; Galagedara, L.; Thomas, R.; Cheema, M. Effects of Chilling Stress on Morphological, Physiological, and Biochemical Attributes of Silage Corn Genotypes during Seedling Establishment. Plants 2022, 11, 1217. [Google Scholar] [CrossRef] [PubMed]
- Cakmak, I.; Hengeler, C.; Marschner, H. Changes in phloem export of sucrose in leaves in response to phosphorus, potassium and magnesium deficiency in bean plants. J. Exp. Bot. 1994, 45, 1251–1257. [Google Scholar] [CrossRef]
- Cheng, Y.; Wang, J.; Mary, B.; Zhang, J.B.; Cai, Z.C.; Chang, S.X. Soil pH has contrasting effects on gross and net nitrogen mineralizations in adjacent forest and grassland soils in central Alberta, Canada. Soil Biol. Biochem. 2013, 57, 848–857. [Google Scholar] [CrossRef]
- Liu, Y.; Evans, S.E.; Friesen, M.L.; Tiemann, L.K. Root exudates shift how N mineralization and N fixation contribute to the plant-available N supply in low fertility soils. Soil Biol. Biochem. 2022, 165, 108541. [Google Scholar] [CrossRef]
- Yuan, Y.S.; Zhao, W.Q.; Zhang, Z.L.; Xiao, J.; Li, D.D.; Liu, Q.; Yin, H.J. Impacts of oxalic acid and glucose additions on N transformation in microcosms via artificial roots. Soil Biol. Biochem. 2018, 121, 16–23. [Google Scholar] [CrossRef]
- Lo Presti, E.; Badagliacca, G.; Romeo, M.; Monti, M. Does legume root exudation facilitate itself P uptake in intercropped wheat? J. Soil Sci. Plant Nutr. 2021, 21, 3269–3283. [Google Scholar] [CrossRef]
- Wen, Z.; Li, H.; Shen, Q.; Tang, X.; Xiong, C.; Li, H.; Pang, J.; Ryan, M.H.; Lambers, H.; Shen, J. Tradeoffs among root morphology, exudation and mycorrhizal symbioses for phosphorus acquisition strategies of 16 crop species. New Phytol. 2019, 223, 882–895. [Google Scholar] [CrossRef]
- Adnane, B.; Noyce, G.L.; Roberta, F.; Carlsson, G.; Furze, J.R.; Jensen, E.S.; Driss, D.; Isaac, M.E. Species interactions enhance root allocation, microbial diversity and P acquisition in intercropped wheat and soybean under P deficiency. Appl. Soil Ecol. 2017, 120, 179–188. [Google Scholar] [CrossRef]
- Carvalhais, L.C.; Dennis, P.G.; Fedoseyenko, D.; Hajirezaei, M.R.; Borriss, R.; Wirén, N. Root exudation of sugars, amino acids, and organic acids by maize as affected by nitrogen, phosphorus, potassium, and iron deficiency. J. Plant Nutr. Soil Sci. 2011, 174, 3–11. [Google Scholar] [CrossRef]
- Zhang, F.S.; Ma, J.; Cao, Y.P. Phosphorus deficiency enhances root exudation of low-molecular weight organic acids and utilization of sparingly soluble inorganic phosphates by radish (Raphanus sativus L.) and rape (Brassica napus L.) plants. Plant Soil 1997, 196, 261–264. [Google Scholar] [CrossRef]
- Kellermeier, F.; Chardon, F.; Amtmann, A. Natural variation of Arabidopsis root architecture reveals complementing adaptive strategies to potassium starvation. Plant Physiol. 2013, 161, 1421–1432. [Google Scholar] [CrossRef]
- Senbayram, M.; Gransee, A.; Wahle, V.; Thiel, H. Role of magnesium fertilisers in agriculture: Plant-soil continuum. Crop Pasture Sci. 2015, 66, 1219–1229. [Google Scholar] [CrossRef]
- Kwon, M.C.; Kim, Y.X.; Lee, S.; Jung, E.S.; Singh, D.; Sung, J.; Lee, C.H. Comparative metabolo-mics unravel the effect of magnesium oversupply on tomato fruit quality and associated plant metabolism. Metabolites 2019, 9, 231. [Google Scholar] [CrossRef]
- Broadley, M.R.; White, P.J. Eats roots and leaves. Can edible horticultural crops address dietary calcium, magnesium and potassium deficiencies? Proc. Nutr. Soc. 2010, 69, 601–612. [Google Scholar] [CrossRef]
- Horie, T.; Brodsky, D.E.; Costa, A.; Kaneko, T.; Schiavo, F.L.; Katsuhara, M.; Schroeder, J.I. K+ transport by the OsHKT2; 4 transporter from rice with a typical Na+ transport properties and competition in permeation of K+ over Mg2+ and Ca2+ ions. Plant Physiol. 2011, 156, 1493–1507. [Google Scholar] [CrossRef]
- Hariadi, Y.; Shabala, S. Screening broad beans (Vicia faba) for magnesium deficiency. I. growth characteristics, visual deficiency symptoms and plant nutritional status. Funct. Plant Biol. 2004, 31, 529–537. [Google Scholar] [CrossRef]
- Li, H.X.; Chen, Z.J.; Zhou, T.; LIU, Y.; ZHOU, J.B. High potassium to magnesium ratio affected the growth and magnesium uptake of three tomato (Solanum lycopersicum L.) cultivars. J. Integr. Agric. 2018, 17, 2813–2821. [Google Scholar] [CrossRef]
- Shang, J.Y. Magnesium, Iron and Other Six Elements on the Three Grape Cultivars of Physiological Characteristics of the Impact. Master’s Thesis, Gansu Agricultural University, Lanzhou, China, 2007. [Google Scholar]
- Sun, X.E.; Liu, Z.P.; Long, X.H. Effects of different levels of magnesium supply on the seedling’s growth, photosynthesis, and chlorophyll fluorescence characteristics of two Helianthus tuberous varieties. J. Ecol. 2012, 31, 823–829. [Google Scholar]
- Ma, H.P.; Li, C.Z.; Ning, Y.W. Effects of calcium and magnesium deficiency on growth and mineral element absorption of different sweet potato cultivars. Soil Fertil. Sci. China 2015, 4, 101–107. [Google Scholar]
- Li, L.L.; Liu, J.G.; Yan, P.; Tang, R.; Bai, Z.G.; Liu, W.L. Allelopathic effects of different combinations of phenolic acid allelochemicals on cotton seed germination and seedling growth. Ecol. Sci. 2019, 38, 115–159. [Google Scholar]
- Qiu, L.Y.; Qi, Y.C.; Wang, M.D.; Jia, X.C. Relationship Between Secondary Metabolite Autotoxic to Plant and Continuous Cropping Obstacles. Soils 2010, 42, 1–7. [Google Scholar]
- Du, S.Y.; Fang, Y.T.; Lu, J.W. Progress on effects of root exudates on nutrient uptake and utilization of crops. J. Huazhong Agric. Univ. 2023, 42, 147–157. [Google Scholar]
- Huang, C.Z.; Xu, L.; Sun, J.J.; Zhang, Z.H.; Fu, M.L.; Teng, H.Y.; Yi, K.K. Allelochemical p-hydroxy benzoic acid inhibits root growth via regulating ROS accumulation in cucumber (Cucumis sativus L.). J. Integr. Agric. 2020, 19, 518–527. [Google Scholar] [CrossRef]
- Shen, Y.; Tang, H.; Wu, W.; Shang, H.P.; Zhang, D.; Zhan, X.H.; Xing, B.S. Role of nano-biochar in attenuating the allelopathic effect from imperata cylindrical on rice seedlings. Environ. Sci. Nano 2020, 7, 116–126. [Google Scholar] [CrossRef]
- Niharika; Singh, N.B.; Khare, S.; Singh, A.; Yadav, V.; Yadav, R.K. Attenuation of vanillic acid toxicity by foliar application with indole-3-acetic acid in tomato seedlings. Int. J. Veg. Sci. 2022, 28, 211–232. [Google Scholar] [CrossRef]
- Du, Y.; Huang, X.X.; Zhou, G.L.; Wang, A.H.; Zhang, R.H.; Wang, B.C.; Deng, Y.H.; Lin, C.F. Effects of Rotation and Organic Fertilizer on the Growth of Brassica campestris ssp. chinensis var. communis and Soil Microbial Characteristics of Continuous Cropping. Hubei Agric. Sci. 2016, 55, 6498–6503. [Google Scholar]
- Xie, H. Effects of Biochar and Associated Crops on Growth and Development of Continuous Cropping Tomato and Soil Microor Ganisms. Master’s Thesis, Northeast Agricultural University, Harbin, China, 2020. [Google Scholar]
- Yamazaki, K. Status and problems of nutrient solution cultivation in Japan. Tokyo 1981, 35, 12–15. [Google Scholar]





| Treatment | Tomato | Cucumber | ||||
|---|---|---|---|---|---|---|
| Shoot Biomass | Root Biomass | Total Biomass | Shoot Biomass | Root Biomass | Total Biomass | |
| Mg0.2 | 3.41 ± 0.13 c | 0.76 ± 0.04 b | 4.17 ± 0.17 c | 2.70 ± 0.06 c | 0.22 ± 0.01 b | 2.93 ± 0.06 c |
| Mg1 | 3.95 ± 0.04 b | 0.84 ± 0.03 ab | 4.79 ± 0.07 b | 3.59 ± 0.11 b | 0.26 ± 0.03 b | 3.85 ± 0.07 b |
| Mg2 | 4.59 ± 0.02 a | 0.87 ± 0.07 a | 5.46 ± 0.09 a | 4.15 ± 0.15 a | 0.37 ± 0.05 a | 4.52 ± 0.20 a |
| Mg3 | 4.00 ± 0.11 b | 0.79 ± 0.01 ab | 4.79 ± 0.10 b | 3.50 ± 0.01 b | 0.27 ± 0.06 b | 3.77 ± 0.04 b |
| Treatment | Tomato | Cucumber | ||||||||||
|---|---|---|---|---|---|---|---|---|---|---|---|---|
| BA | PHBA | PCA | FA | CA | OA | BA | PHBA | PCA | FA | CA | OA | |
| Mg0.2 | 1.94 b | 1.73 b | / | / | 1.71 | 346.29 b | / | 1.69 b | / | / | 1.39 | 330.37 a |
| Mg1 | 0.79 d | 1.41 c | / | / | / | 219.00 d | / | 1.50 d | / | / | / | 236.40 c |
| Mg2 | 1.32 c | 1.71 b | / | / | / | 243.74 c | / | 1.55 c | / | / | / | 282.86 b |
| Mg3 | 2.78 a | 2.94 a | / | / | / | 389.09 a | / | 2.85 a | / | / | / | 326.20 a |
Disclaimer/Publisher’s Note: The statements, opinions and data contained in all publications are solely those of the individual author(s) and contributor(s) and not of MDPI and/or the editor(s). MDPI and/or the editor(s) disclaim responsibility for any injury to people or property resulting from any ideas, methods, instructions or products referred to in the content. |
© 2023 by the authors. Licensee MDPI, Basel, Switzerland. This article is an open access article distributed under the terms and conditions of the Creative Commons Attribution (CC BY) license (https://creativecommons.org/licenses/by/4.0/).
Share and Cite
Qu, S.; Li, H.; Zhang, X.; Gao, J.; Ma, R.; Ma, L.; Ma, J. Effects of Magnesium Imbalance on Root Growth and Nutrient Absorption in Different Genotypes of Vegetable Crops. Plants 2023, 12, 3518. https://doi.org/10.3390/plants12203518
Qu S, Li H, Zhang X, Gao J, Ma R, Ma L, Ma J. Effects of Magnesium Imbalance on Root Growth and Nutrient Absorption in Different Genotypes of Vegetable Crops. Plants. 2023; 12(20):3518. https://doi.org/10.3390/plants12203518
Chicago/Turabian StyleQu, Shuai, Huixia Li, Xueke Zhang, Jingbo Gao, Rui Ma, Ling Ma, and Jing Ma. 2023. "Effects of Magnesium Imbalance on Root Growth and Nutrient Absorption in Different Genotypes of Vegetable Crops" Plants 12, no. 20: 3518. https://doi.org/10.3390/plants12203518
APA StyleQu, S., Li, H., Zhang, X., Gao, J., Ma, R., Ma, L., & Ma, J. (2023). Effects of Magnesium Imbalance on Root Growth and Nutrient Absorption in Different Genotypes of Vegetable Crops. Plants, 12(20), 3518. https://doi.org/10.3390/plants12203518

