Evaluation of the Antifungal Potential of Grape Cane and Flesh-Coloured Potato Extracts against Rhizoctonia sp. in Solanum tuberosum Crops
Abstract
:1. Introduction
2. Results
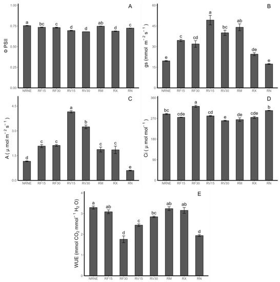
2.1. Variables and Photosynthetic Performance
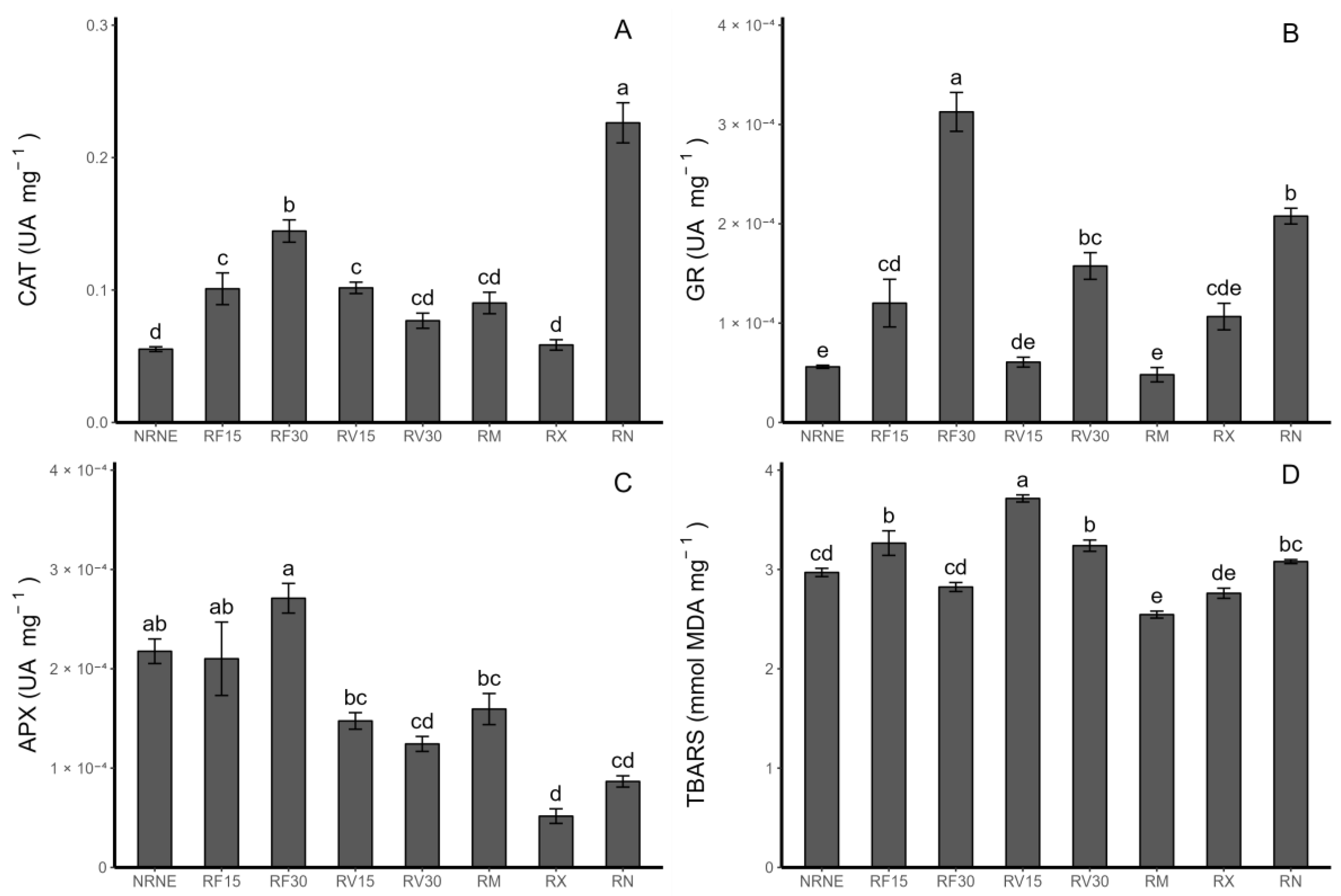
2.2. Enzymatic Antioxidant Activity in Potato Leaves
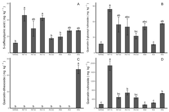
2.3. Determination of Phenolic Compounds and Their Relationship with the Antioxidant Activity in Potato Leaves
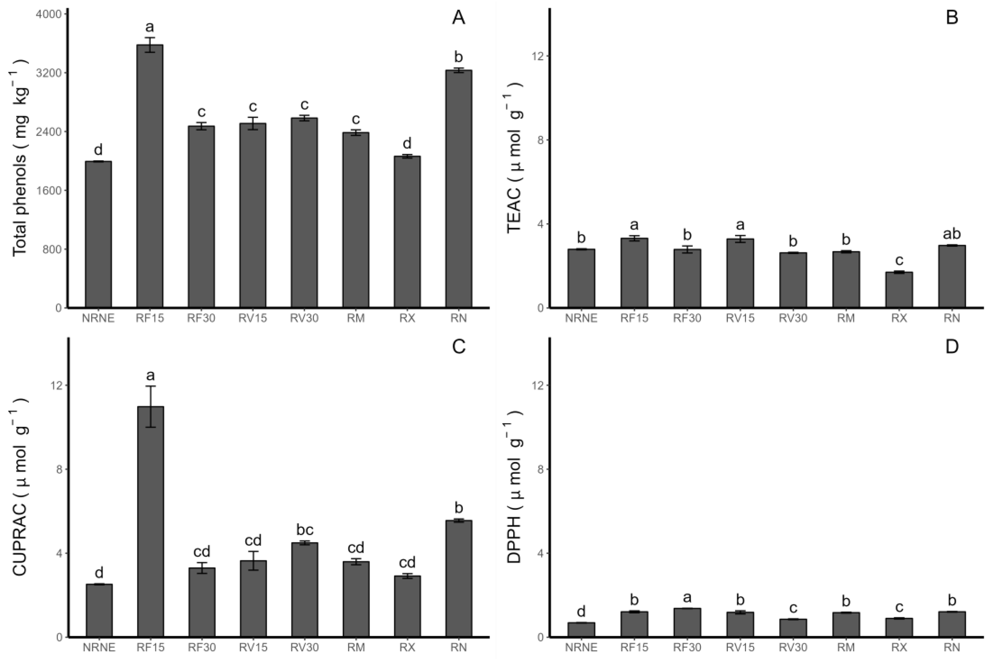
2.4. Antioxidant Activities
2.5. Low-Molecular-Weight Organic-Acid Exudation
2.6. Agronomic Yield
2.7. Principal Component Analysis
3. Discussion
4. Material and Methods
4.1. Reagents
4.2. Extract Preparation
4.3. Biological Material and Experimental Design
4.4. Photosynthetic Determination
4.5. Enzymatic Antioxidant Activity and Thiobarbituric Acid-Reactive Substances
4.6. Identification and Quantification of Phenolic Compounds in Leaves
4.7. Determination of Total Phenolics and Antioxidant Activity
4.8. Exudation of Low-Molecular-Weight Organic Acids
4.9. Statistical Analysis
5. Conclusions
Author Contributions
Funding
Data Availability Statement
Conflicts of Interest
References
- Vargas, R.; Rojas, J.; Orena, S.; Kalazich, J.; Rodriguez, F.; Muñoz, M. Papas nativas de Chile. El futuro bajo nuestros pies. Tierra Adentro 2015, 14, 1–14. Available online: https://hdl.handle.net/20.500.14001/5393 (accessed on 23 March 2023).
- Food and Agriculture Organization of the United Nations. FAOSTAT—Potato Production. 2023. Available online: https://www.fao.org/faostat/en/#data/QCL/visualize (accessed on 23 March 2023).
- Manual del Cultivo de la Papa en Chile, Boletín INIA n°10. Available online: https://biblioteca.inia.cl/bitstream/handle/20.500.14001/6706/NR40980.pdf?sequence=1 (accessed on 26 March 2023).
- Wang, M.; Wang, F.; Hao, G.; Yang, G. FungiPAD: A free web tool for compound property evaluation and fungicide-likeness analysis. J. Agric. Food Chem. 2019, 67, 1823–1830. [Google Scholar] [CrossRef] [PubMed]
- Gadre, A.; Enbiale, W.; Andersen, L.; Coates, S. The effects of climate change on fungal diseases with cutaneous manifestations: A report from the International Society of Dermatology Climate Change Committee. J. Clim. 2022, 6, 100156. [Google Scholar] [CrossRef]
- Khedher, S.; Kilani-Feki, O.; Dammak, M.; Jabnoun-Khiareddine, H.; Daami-Remadi, M.; Tounsi, S. Efficacy of Bacillus subtilis V26 as a biological control agent against Rhizoctonia solani on potato. Comptes Rendus Biol. 2015, 338, 784–792. [Google Scholar] [CrossRef] [PubMed]
- De Silva, N.; Brooks, S.; Lumyong, S.; Hyde, K. Use of endophytes as biocontrol agents. Fungal Biol. Rev. 2019, 33, 133–148. [Google Scholar] [CrossRef]
- Kumar, P.; Lakhan, R. Food Safety and Human Health, 1st ed.; Academic Press: Cambridge, MA, USA, 2019; pp. 189–218. [Google Scholar]
- Ansari, M.; Anurag, A.; Fatima, Z.; Hameed, S. Natural phenolic compounds: A potential antifungal agent. Sci. Technol. Educ. 2013, 1, 1189–1195. [Google Scholar]
- Alarcón, S.; Tereucán, G.; Cornejo, P.; Contreras, B.; Ruiz, A. Metabolic and antioxidant effects of inoculation with arbuscular mycorrhizal fungi in crops of flesh-coloured Solanum tuberosum treated with fungicides. J. Sci. Food Agric. 2021, 102, 2270–2280. [Google Scholar] [CrossRef]
- Fritz, V.; Tereucán, G.; Santander, C.; Contreras, B.; Cornejo, P.; Avelar, P.; Ruiz, A. Effect of Inoculation with Arbuscular Mycorrhizal Fungi and Fungicide Application on the Secondary Metabolism of Solanum tuberosum Leaves. Plants 2022, 11, 278. [Google Scholar] [CrossRef]
- Petit, A.N.; Fontaine, F.; Vatsa, P.; Christophe, C.; Vaillant-Gaveau, N. Fungicide impacts on photosynthesis in crop plants. Photosynth. Res. 2012, 111, 315–326. [Google Scholar] [CrossRef]
- Edlinger, A.; Garland, G.; Hartman, K.; Banerjee, S.; Degrune, F.; García-Palacios, P.; Hallin, S.; Valzano-Held, A.; Herzog, C.; Jansa, J.; et al. Agricultural management and pesticide use reduce the functioning of beneficial plant symbionts. Nat. Ecol. Evol. 2022, 6, 1145–1154. [Google Scholar] [CrossRef]
- Zhao, P.; Cao, L.; Wang, C.; Zheng, L.; Li, Y.; Cao, C.; Huang, Q. Metabolic pathways reveal the effect of fungicide loaded metal-organic frameworks on the growth of wheat seedlings. Chemosphere 2022, 307, 135702. [Google Scholar] [CrossRef] [PubMed]
- Guerrero, R.; Biais, B.; Richard, T.; Puertas, B.; Waffo-Teguo, P.; Merillon, J.M.; Cantos-Villar, E. Grapevine cane’s waste is a source of bioactive stilbenes. Ind. Crops Prod. 2016, 94, 884–892. [Google Scholar] [CrossRef]
- Sáez, V.; Pastene, E.; Vergara, C.; Mardones, C.; Hermosín-Gutiérrez, I.; Gómez-Alonso, S.; Von Baer, D. Oligostilbenoids in Vitis vinifera L. Pinot Noir grape cane extract: Isolation, characterization, in vitro antioxidant capacity and anti-proliferative effect on cancer cells. Food Chem. 2018, 265, 101–110. [Google Scholar] [CrossRef] [PubMed]
- Ruiz, A.; Aguilera, A.; Ercoli, S.; Parada, J.; Winterhalter, P.; Contreras, B.; Cornejo, P. Effect of the frying process on the composition of hydroxycinnamic acid derivatives and antioxidant activity in flesh-colored potatoes. Food Chem. 2018, 268, 577–584. [Google Scholar] [CrossRef] [PubMed]
- Ercoli, S.; Cartes, J.; Cornejo, P.; Tereucán, G.; Winterhalter, P.; Contreras, B.; Ruiz, A. Stability of phenolic compounds, antioxidant activity and colour parameters of a coloured extract obtained from coloured-flesh potatoes. LWT-Food Sci. Technol. 2021, 136, 110370. [Google Scholar] [CrossRef]
- Xoca-Orozco, L.; Zamora-Gasga, V.; Espinosa-Alonso, G.; Velázquez-Estrada, R.; López-García, U.; Sáyago-Ayerdi, S.; Chacón-López, A. In vitro antioxidant and antifungal activities of carambola (Averrhoa carambola L.), extracts. Biotecnia 2018, 20, 104–109. [Google Scholar] [CrossRef]
- El-Hefny, M.; Salem, M.; Behiry, S.; Ali, H.M. The Potential Antibacterial and Antifungal Activities of Wood Treated with Withania somnifera Fruit Extract, and the Phenolic, Caffeine, and Flavonoid Composition of the Extract According to HPLC. Processes 2020, 8, 113. [Google Scholar] [CrossRef]
- Cayún, Y.; Alarcón, S.; Tereucán, G.; Cornejo, P.; Santander, C.; Gómez, F.; Contreras, B.; Ruiz, A. Effect of Arbuscular Mycorrhizal Fungi Inoculation on the Metabolic Activity of Solanum tuberosum Plants Under Fungicide Application. J. Soil Sci. Plant. Nutr. 2023. [Google Scholar] [CrossRef]
- Tereucán, G.; Ruiz, A.; Nahuelcura, J.; Oyarzún, P.; Santander, C.; Winterhalter, P.; Cornejo, P. Shifts in biochemical and physiological responses by the inoculation of arbuscular mycorrhizal fungi in Triticum aestivum growing under drought conditions. J. Sci. Food Agric. 2021, 102, 1927–1938. [Google Scholar] [CrossRef]
- Santander, C.; Vidal, G.; Ruiz, A.; Vidal, C.; Cornejo, P. Salinity Eustress Increases the Biosynthesis and Accumulation of Phenolic Compounds That Improve the Functional and Antioxidant Quality of Red Lettuce. Agronomy 2022, 12, 598. [Google Scholar] [CrossRef]
- Wu, M.; Yan, Y.; Wang, Y.; Mao, Q.; Fu, Y.; Peng, X.; Jalal-Ahammed, G. Arbuscular mycorrhizal fungi for vegetable (VT) enhance resistance to Rhizoctonia solani in watermelon by alleviating oxidative stress. Biol. Control 2020, 152, 104433. [Google Scholar] [CrossRef]
- Eltayeb, A.; Kawano, N.; Badawi, G.; Kaminaka, H.; Sanekata, T.; Shibahara, T.; Inanaga, S.; Tanaka, K. Overexpression of monodehydroascorbate reductase in transgenic tobacco confers enhanced tolerance to ozone, salt and polyethylene glycol stresses. Planta 2007, 225, 1255–1264. [Google Scholar] [CrossRef] [PubMed]
- Rajput, V.; Harish; Singh, R.; Verma, K.; Sharma, L.; Quiroz-Figueroa, F.; Meena, M.; Gour, V.; Minkina, T.; Sushkova, S.; et al. Recent Developments in Enzymatic Antioxidant Defence Mechanism in Plants with Special Reference to Abiotic Stress. Biology 2021, 10, 267. [Google Scholar] [CrossRef] [PubMed]
- Youssef, S.A.; Tartoura, K.; Abdelraouf, G. Evaluation of Trichoderma harzianum and Serratia proteamaculans effect on disease suppression, stimulation of ROS-scavenging enzymes and improving tomato growth infected by Rhizoctonia solani. Biol. Control 2016, 100, 79–86. [Google Scholar] [CrossRef]
- Małolepsza, U.; Nawrocka, J.; Szczech, M. Trichoderma virens 106 inoculation stimulates defence enzyme activities and enhances phenolic levels in tomato plants leading to lowered Rhizoctonia solani infection. Biocontrol Sci. 2017, 27, 180–199. [Google Scholar] [CrossRef]
- Nawrocka, J.; Szczech, M.; Małolepsza, U. Trichoderma atroviride enhances phenolic synthesis and cucumber protection against Rhizoctonia solani. Plant Prot. Sci. 2018, 54, 17–23. [Google Scholar] [CrossRef]
- Ruiz, A.; Bustamante, L.; Vergara, C.; von Baer, D.; Hermosín-Gutiérrez, I.; Obando, L.; Mardones, C. Hydroxycinnamic acids and flavonols in native edible berries of South Patagonia. Food Chem. 2015, 167, 84–90. [Google Scholar] [CrossRef] [PubMed]
- Ruiz, A.; Sanhueza, M.; Gómez, F.; Tereucán, G.; Valenzuela, T.; García, S.; Cornejo, P.; Hermosín-Gutiérrez, I. Changes in the content of anthocyanins, flavonols, and antioxidant activity in Fragaria ananassa var. Camarosa fruits under traditional and organic fertilization. J. Sci. Food Agric. 2019, 99, 2404–2410. [Google Scholar] [CrossRef]
- Kang, S.; Radhakrishnan, R.; Lee, I. Bacillus amyloliquefaciens subsp. plantarum GR53, a potent biocontrol agent resists Rhizoctonia disease on Chinese cabbage through hormonal and antioxidants regulation World. J. Microbiol. Biotechnol. 2015, 31, 1517–1527. [Google Scholar] [CrossRef]
- Al-Surhanee, A.; Afzal, M.; Bouqellah, N.A.; Ouf, S.A.; Muhammad, S.; Jan, M.; Kaleem, S.; Hashem, M.; Alamri, S.; Abdel Latef, A.A.H.; et al. The Antifungal Activity of Ag/CHI NPs against Rhizoctonia solani Linked with Tomato Plant Health. Plants 2021, 10, 2283. [Google Scholar] [CrossRef]
- Jayaraj, J.; Bhuvaneswari, R.; Rabindran, R.; Muthukrishnan, S.; Velazhahan, R. Oxalic acid-induced resistance to Rhizoctonia solani in rice is associated with induction of phenolics, peroxidase and pathogenesis-related proteins. J. Plant Interact. 2010, 5, 147–157. [Google Scholar] [CrossRef]
- Parada, J.; Valenzuela, T.; Gómez, F.; Tereucán, G.; García, S.; Cornejo, P.; Winterhalter, P.; Ruiz, A. Effect of fertilization and arbuscular mycorrhizal fungal inoculation on antioxidant profiles and activities in Fragaria ananassa fruit. J. Sci. Food Agric. 2019, 99, 1397–1404. [Google Scholar] [CrossRef] [PubMed]
- Schiavon, M.; Petelewicz, P.; Orlinski, P.M.; Baird, J.H. Effects of fungicides on creeping bentgrass health and rooting characteristics under abiotic stress. Int. Turfgrass Soc. Res. J. 2022, 14, 893–901. [Google Scholar] [CrossRef]
- Escobar-Avello, D.; Mardones, C.; Saez, V.; Riquelme, S.; von Baer, D.; Lamuela-Raventós, R.M.; Vallverdú-Queralt, A. Pilot-plant scale extraction of phenolic compounds from grape canes: Comprehensive characterization by LC-ESI-LTQ-Orbitrap-MS. Food Res. Int. 2021, 143, 110265. [Google Scholar] [CrossRef] [PubMed]
- Borie, F.; Rubio, R. Total and organic phosphorus in Chilean volcanic soils. Gayana Bot. 2003, 60, 69–73. [Google Scholar] [CrossRef]
- Bradford, M.M. A rapid and sensitive method for the quantitation of microgram quantities of protein utilizing the principle of protein-dye binding. Anal. Biochem. 1976, 72, 248–254. [Google Scholar] [CrossRef] [PubMed]
- Aguilera, A.; Tereucán, G.; Ercoli, S.; Cornejo, P.; Gomez, M.R.; Uhlmann, L.; Ruiz, A. Influence of organic and chemical fertilisation on antioxidant compounds profiles and activities in fruits of Fragaria ananassa var. Camarosa. J. Soil Sci. Plant Nutr. 2020, 20, 715–724. [Google Scholar] [CrossRef]
- Du, Z.; Bramlage, W. Modified thiobarbituric acid assay for measuring lipid oxidation in sugar-rich plant tissue extracts. J. Agric. Food Chem. 1992, 40, 1566–1570. [Google Scholar] [CrossRef]
- Nova-Baza, D.; Olivares-Caro, L.; Bustamante, L.; Pérez, A.; Vergara, C.; Fuentealba, J.; Mardones, C. Metabolic profile and antioxidant capacity of five Berberis leaves species: A comprehensive study to determine their potential as natural food or ingredient. Food Res. Int. 2022, 160, 111642. [Google Scholar] [CrossRef]






| Peak | Compound | ٨max (nm) | [M−H]− | Productions |
|---|---|---|---|---|
| 1 | 5-caffeoylquinic acid | 325 | 353.1 | 191.1 |
| 2 | quercetin-3-glucosylrutinoside | 352 | 771.7 | 301.0 |
| 3 | quercetin-dihexoside | 352 | 625.0 | 301.0 |
| 4 | quercetin-rutinoside | 352 | 609.1 | 301.0 |
| Name | Tubers (g) |
|---|---|
| NRNE | 185 ± 1 a |
| RF15 | 171 ± 1 c |
| RF30 | 167 ± 2 bc |
| RV15 | 167 ± 4 bc |
| RV30 | 172 ± 3 c |
| RM | 160 ± 1 b |
| RX | 138 ± 3 d |
| RN | 157 ± 2 b |
| Name | Inoculation | Type of Compound Used | Time of Application | Number of Replicates |
|---|---|---|---|---|
| NRNE | without Rhizoctonia sp. | Without compound | Does not apply | 10 |
| RF15 | with Rhizoctonia sp. | Application of FCP | 15 min | 5 |
| RF30 | with Rhizoctonia sp. | Application of FCP | 30 min | 5 |
| RV15 | with Rhizoctonia sp. | Application of VIDES | 15 min | 5 |
| RV30 | with Rhizoctonia sp. | Application of VIDES | 30 min | 5 |
| RM | with Rhizoctonia sp. | Application of MONCUT | Application by supplier | 5 |
| RX | with Rhizoctonia sp. | Application of ReflectXtra | Application by supplier | 5 |
| RN | with Rhizoctonia sp. | Without compound | Does not apply | 9 |
Disclaimer/Publisher’s Note: The statements, opinions and data contained in all publications are solely those of the individual author(s) and contributor(s) and not of MDPI and/or the editor(s). MDPI and/or the editor(s) disclaim responsibility for any injury to people or property resulting from any ideas, methods, instructions or products referred to in the content. |
© 2023 by the authors. Licensee MDPI, Basel, Switzerland. This article is an open access article distributed under the terms and conditions of the Creative Commons Attribution (CC BY) license (https://creativecommons.org/licenses/by/4.0/).
Share and Cite
Gómez, F.; Bravo, C.; Ringler, I.; Santander, C.; González, F.; Viscarra, F.; Mardones, C.; Contreras, B.; Cornejo, P.; Ruiz, A. Evaluation of the Antifungal Potential of Grape Cane and Flesh-Coloured Potato Extracts against Rhizoctonia sp. in Solanum tuberosum Crops. Plants 2023, 12, 2974. https://doi.org/10.3390/plants12162974
Gómez F, Bravo C, Ringler I, Santander C, González F, Viscarra F, Mardones C, Contreras B, Cornejo P, Ruiz A. Evaluation of the Antifungal Potential of Grape Cane and Flesh-Coloured Potato Extracts against Rhizoctonia sp. in Solanum tuberosum Crops. Plants. 2023; 12(16):2974. https://doi.org/10.3390/plants12162974
Chicago/Turabian StyleGómez, Francisca, Catalina Bravo, Isidora Ringler, Christian Santander, Felipe González, Franco Viscarra, Claudia Mardones, Boris Contreras, Pablo Cornejo, and Antonieta Ruiz. 2023. "Evaluation of the Antifungal Potential of Grape Cane and Flesh-Coloured Potato Extracts against Rhizoctonia sp. in Solanum tuberosum Crops" Plants 12, no. 16: 2974. https://doi.org/10.3390/plants12162974
APA StyleGómez, F., Bravo, C., Ringler, I., Santander, C., González, F., Viscarra, F., Mardones, C., Contreras, B., Cornejo, P., & Ruiz, A. (2023). Evaluation of the Antifungal Potential of Grape Cane and Flesh-Coloured Potato Extracts against Rhizoctonia sp. in Solanum tuberosum Crops. Plants, 12(16), 2974. https://doi.org/10.3390/plants12162974

