Transgenerational Genetic Effects Help Explain Latitudinal Variation in Seed Mass and Germination Timing in Plantago lanceolata
Abstract
1. Introduction
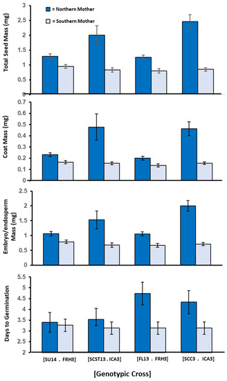
2. Results
3. Discussion
4. Materials and Methods
4.1. Biology of Plantago lanceolata
4.2. Experimental Design
4.3. Statistical Analysis
5. Conclusions
Author Contributions
Funding
Institutional Review Board Statement
Informed Consent Statement
Data Availability Statement
Acknowledgments
Conflicts of Interest
References
- Turesson, G. The Genotypical Response of the Plant Species to the Habitat. Hereditas 1922, 3, 211–350. [Google Scholar] [CrossRef]
- Turesson, G. The Plant Species in Relation to Habitat and Climate. Hereditas 2010, 6, 147–236. [Google Scholar] [CrossRef]
- Clausen, J.; Hiesey, W.M. Experimental Studies on the Nature of Species. IV. Genetic Structure of Ecological Races; Carnegie Institution of Washington Publication: Washington, DC, USA, 1958; Volume 615, pp. 1–312. [Google Scholar]
- Langlet, O. Two Hundred Years Genecology. TAXON 1971, 20, 653–721. [Google Scholar] [CrossRef]
- Baker, H.G. Seed Weight in Relation to Environmental Conditions in California. Ecology 1972, 53, 997–1010. [Google Scholar] [CrossRef]
- Wulff, R.D. Seed Size Variation in Desmodium Paniculatum: III. Effects on Reproductive Yield and Competitive Ability. J. Ecol. 1986, 74, 115. [Google Scholar] [CrossRef]
- Roach, D.A.; Wulff, R.D. Maternal Effects in Plants. Annu. Rev. Ecol. Syst. 1987, 18, 209–235. [Google Scholar] [CrossRef]
- Metz, J.; Liancourt, P.; Kigel, J.; Harel, D.; Sternberg, M.; Tielbörger, K. Plant Survival in Relation to Seed Size along Environmental Gradients: A Long-Term Study from Semi-Arid and Mediterranean Annual Plant Communities. J. Ecol. 2010, 98, 697–704. [Google Scholar] [CrossRef]
- Baskin, C.C.; Baskin, J.M. Seeds: Ecology, Biogeography, and, Evolution of Dormancy and Germination; Elsevier: Amsterdam, The Netherlands, 2014. [Google Scholar]
- Donohue, K. Completing the Cycle: Maternal Effects as the Missing Link in Plant Life Histories. Philos. Trans. R. Soc. B Biol. Sci. 2009, 364, 1059–1074. [Google Scholar] [CrossRef]
- Morse, D.H.; Schmitt, J. Propagule Size, Dispersal Ability, and Seedling Performance in Asclepias Syriaca. Oecologia 1985, 67, 372–379. [Google Scholar] [CrossRef]
- Venable, D.L.; Brown, J.S. The Selective Interactions of Dispersal, Dormancy, and Seed Size as Adaptations for Reducing Risk in Variable Environments. Am. Nat. 1988, 131, 360–384. [Google Scholar] [CrossRef]
- Donohue, K. Maternal Determinants of Seed Dispersal in Cakile Edentula: Fruit, Plant, and Site Traits. Ecology 1998, 79, 2771. [Google Scholar] [CrossRef]
- Biere, A. Parental Effects in Lychnis Floscuculi. I: Seed Size, Germination and Seedling Performance in a Controlled Environment. J. Evol. Biol. 1991, 4, 447–465. [Google Scholar] [CrossRef]
- Gross, K.L.; Smith, A.D. Seed Mass and Emergence Time Effects on Performance of Panicum Dichotomiflorum Michx. across Environments. Oecologia 1991, 87, 270–278. [Google Scholar] [CrossRef] [PubMed]
- Kalisz, S. Fitness Consequences of Mating System, Seed Weight, and Emergence Date in a Winter Annual, Collinsia Verna. Evolution 1989, 43, 1263–1272. [Google Scholar] [CrossRef]
- Weinig, C. Differing Selection in Alternative Competitive Environments: Shade-Avoidance Responses and Germination Timing. Evolution 2000, 54, 124–136. [Google Scholar] [CrossRef]
- Donohue, K. Germination Timing Influences Natural Selection on Life-History Characters in Arabidopsis Thaliana. Ecology 2002, 83, 1006–1016. [Google Scholar] [CrossRef]
- Donohue, K.; Dorn, L.; Griffith, C.; Kim, E.S.; Aguilera, A.; Polisetty, C.R.; Schmitt, J. The Evolutionary Ecology of Seed Germination of Arabidopsis Thaliana: Variable Natural Selection on Germination Timing. Evolution 2005, 59, 758–770. [Google Scholar] [CrossRef]
- Simons, A.M. Fluctuating Natural Selection Accounts for the Evolution of Diversification Bet Hedging. Philos. Trans. R. Soc. B Biol. Sci. 2009, 276, 1987–1992. [Google Scholar] [CrossRef]
- Donohue, K.; Dorn, L.; Griffith, C.; Kim, E.S.; Aguilera, A.; Polisetty, C.R.; Schmitt, J. Environmental and Genetic Influences on the Germination of Arabidopsis Thaliana in the Field. Evolution 2005, 59, 740–757. [Google Scholar] [CrossRef]
- Li, N.; Li, Y. Maternal Control of Seed Size in Plants. J. Exp. Bot. 2015, 66, 1087–1097. [Google Scholar] [CrossRef]
- Schröder, R.; Graf, M.D.; Jochum, J.; Rode, G.; Schemmel, J.; Thimm, I. Testing the Effects of a Regionalized Seed Production on the Germination Behavior of Wild Plant Species. Ecol. Restor. 2013, 31, 295–301. [Google Scholar] [CrossRef]
- Cochrane, A.; Yates, C.J.; Hoyle, G.L.; Nicotra, A.B. Will Among-Population Variation in Seed Traits Improve the Chance of Species Persistence under Climate Change? Glob. Ecol. Biogeogr. 2015, 24, 12–24. [Google Scholar] [CrossRef]
- Saatkamp, A.; Cochrane, A.; Commander, L.; Guja, L.K.; Jimenez-Alfaro, B.; Larson, J.; Nicotra, A.; Poschlod, P.; Silveira, F.A.O.; Cross, A.T.; et al. A Research Agenda for Seed-Trait Functional Ecology. New Phytol. 2019, 221, 1764–1775. [Google Scholar] [CrossRef] [PubMed]
- de Frenne, P.; Graae, B.J.; Rodríguez-Sánchez, F.; Kolb, A.; Chabrerie, O.; Decocq, G.; de Kort, H.; de Schrijver, A.; Diekmann, M.; Eriksson, O.; et al. Latitudinal Gradients as Natural Laboratories to Infer Species’ Responses to Temperature. J. Ecol. 2013, 101, 784–795. [Google Scholar] [CrossRef]
- Fenner, M.; Thompson, K. The Ecology of Seeds; Cambridge University Press: Cambridge, UK, 2005. [Google Scholar]
- Walck, J.L.; Hidayati, S.N.; Dixon, K.W.; Thompson, K.; Poschlod, P. Climate Change and Plant Regeneration from Seed. Glob. Change Biol. 2011, 17, 2145–2161. [Google Scholar] [CrossRef]
- Zhao, Y.; Zhong, L.; Zhou, K.; Song, Z.; Chen, J.; Rong, J. Seed Characteristic Variations and Genetic Structure of Wild Zizania Latifolia along a Latitudinal Gradient in China: Implications for Neo-Domestication as a Grain Crop. AoB PLANTS 2018, 10, ply072. [Google Scholar] [CrossRef]
- Murray, B.R.; Brown, A.H.D.; Grace, J.P. Geographic Gradients in Seed Size among and within Perennial Australian Glycine Species. Aust. J. Bot. 2003, 51, 47–56. [Google Scholar] [CrossRef]
- Konarzewski, T.K.; Murray, B.R.; Godfree, R.C. Rapid Development of Adaptive, Climate-Driven Clinal Variation in Seed Mass in the Invasive Annual Forb Echium Plantagineum L. PLoS ONE 2012, 7, e49000. [Google Scholar] [CrossRef]
- Moles, A.T.; Westoby, M. Latitude, Seed Predation and Seed Mass. J. Biogeogr. 2003, 30, 105–128. [Google Scholar] [CrossRef]
- Soper Gorden, N.L.; Winkler, K.J.; Jahnke, M.R.; Marshall, E.; Horky, J.; Huddelson, C.; Etterson, J.R. Geographic Patterns of Seed Mass Are Associated with Climate Factors, but Relationships Vary between Species. Aust. J. Bot. 2016, 103, 60–72. [Google Scholar] [CrossRef]
- Villellas, J.; García, M.B. The Role of the Tolerance-Fecundity Trade-off in Maintaining Intraspecific Seed Trait Variation in a Widespread Dimorphic Herb. Plant Biol. 2013, 15, 899–909. [Google Scholar] [CrossRef] [PubMed]
- Aizen, M.A.; Woodcock, H. Latitudinal Trends in Acorn Size in Eastern North American Species of Quercus. Can. J. Bot. 1992, 70, 1218–1222. [Google Scholar] [CrossRef]
- Wu, H.; Meng, H.; Wang, S.; Wei, X.; Jiang, M. Geographic Patterns and Environmental Drivers of Seed Traits of a Relict Tree Species. For. Ecol. Manag. 2018, 422, 59–68. [Google Scholar] [CrossRef]
- Li, B.; Suzuki, J.I.; Hara, T. Latitudinal Variation in Plant Size and Relative Growth Rate in Arabidopsis Thaliana. Oecologia 1998, 115, 293–301. [Google Scholar] [CrossRef] [PubMed]
- Johansson, A.K.; Kuusisto, P.H.; Laakso, P.H.; Derome, K.K.; Sepponen, P.J.; Katajisto, J.K.; Kallio, H.P. Geographical Variations in Seed Oils from Rubus Chamaemorus and Empetrum Nigrum. Phytochemistry 1997, 44, 1421–1427. [Google Scholar] [CrossRef]
- Kollmann, J.; Bañuelos, M.J. Latitudinal Trends in Growth and Phenology of the Invasive Alien Plant Impatiens Glandulifera(Balsaminaceae). Divers. Distrib. 2004, 10, 377–385. [Google Scholar] [CrossRef]
- Ernst, W.H.O.; Piccoli, F. Fruit Development and Performance of Schoenus Nigricans in Coastal Dune Slacks of Europe: An Extension of H. G. Baker’s Seed Mass-altitude to a Seed Mass-latitude Relationship. Acta Bot. Neerlandica 1995, 44, 41–53. [Google Scholar] [CrossRef]
- Murray, B.R.; Brown, A.H.D.; Dickman, C.R.; Crowther, M.S. Geographical Gradients in Seed Mass in Relation to Climate. J. Biogeogr. 2004, 31, 379–388. [Google Scholar] [CrossRef]
- Graae, B.J.; Verheyen, K.; Kolb, A.; van der Veken, S.; Heinken, T.; Chabrerie, O.; Diekmann, M.; Valtinat, K.; Zindel, R.; Karlsson, E.; et al. Germination Requirements and Seed Mass of Slow- and Fastcolonizing Temperate Forest Herbs along a Latitudinal Gradient. Ecoscience 2009, 16, 248–257. [Google Scholar] [CrossRef]
- de Frenne, P.; Graae, B.J.; Kolb, A.; Shevtsova, A.; Baeten, L.; Brunet, J.; Chabrerie, O.; Cousins, S.A.O.; Decocq, G.; Dhondt, R.; et al. An Intraspecific Application of the Leaf-Height-Seed Ecology Strategy Scheme to Forest Herbs along a Latitudinal Gradient. Ecography 2011, 34, 132–140. [Google Scholar] [CrossRef]
- McWilliams, E.L.; Landers, R.Q.; Mahlstede, J.P. Variation in Seed Weight and Germination in Populations of Amaranthus Retroflexus L. Ecology 1968, 49, 290–296. [Google Scholar] [CrossRef]
- Milla, R.; Escudero, A.; Iriondo, J.M. Inherited Variability in Multiple Traits Determines Fitness in Populations of an Annual Legume from Contrasting Latitudinal Origins. Ann. Bot. 2009, 103, 1279–1289. [Google Scholar] [CrossRef] [PubMed]
- Yakimowski, S.B.; Eckert, C.G. Threatened Peripheral Populations in Context: Geographical Variation in Population Frequency and Size and Sexual Reproduction in a Clonal Woody Shrub. Conserv. Biol. 2007, 21, 811–822. [Google Scholar] [CrossRef]
- Zhou, W.; Wang, Z.; Davy, A.J.; Liu, G. Geographic Variation and Local Adaptation in Oryza Rufipogon across Its Climatic Range in China. J. Ecol. 2013, 101, 1498–1508. [Google Scholar] [CrossRef]
- Carón, M.M.; de Frenne, P.; Brunet, J.; Chabrerie, O.; Cousins, S.A.O.; de Backer, L.; Diekmann, M.; Graae, B.J.; Heinken, T.; Kolb, A.; et al. Latitudinal Variation in Seeds Characteristics of Acer Platanoides and A. Pseudoplatanus. Plant Ecol. 2014, 215, 911–925. [Google Scholar] [CrossRef]
- Woods, E.C.; Hastings, A.P.; Turley, N.E.; Heard, S.B.; Agrawal, A.A. Adaptive Geographical Clines in the Growth and Defense of a Native Plant. Ecol. Monogr. 2012, 82, 149–168. [Google Scholar] [CrossRef]
- Alexander, J.M.; Poll, M.; Dietz, H.; Edwards, P.J. Contrasting Patterns of Genetic Variation and Structure in Plant Invasions of Mountains. Divers. Distrib. 2009, 15, 923–935. [Google Scholar] [CrossRef]
- Cochrane, A.; Daws, M.I.; Hay, F.R. Seed-Based Approach for Identifying Flora at Risk from Climate Warming. Austral Ecol. 2011, 36, 923–935. [Google Scholar] [CrossRef]
- Mondoni, A.; Probert, R.J.; Rossi, G.; Vegini, E.; Hay, F.R. Seeds of Alpine Plants Are Short Lived: Implications for Long-Term Conservation. Ann. Bot. 2011, 107, 171–179. [Google Scholar] [CrossRef]
- Yeşilyurt, E.B.; Erik, S.; Tavşanoğlu, Ç. Inter-Population Variability in Seed Dormancy, Seed Mass and Germination in Helianthemum Salicifolium (Cistaceae), a Hard-Seeded Annual Herb. Folia Geobot. 2017, 52, 253–263. [Google Scholar] [CrossRef]
- Winn, A.A.; Gross, K.L. Latitudinal Variation in Seed Weight and Flower Number in Prunella Vulgaris. Oecologia 1993, 93, 55–62. [Google Scholar] [CrossRef] [PubMed]
- Kalisz, S.; Wardle, G.M. Life History Variation in Campanula Americana (Campanulaceae): Population Differentiation. Aust. J. Bot. 1994, 81, 521–527. [Google Scholar] [CrossRef]
- Ellison, A.M. Interspecific and Intraspecific Variation in Seed Size and Germination Requirements of Sarracenia (Sarraceniaceae). Aust. J. Bot. 2001, 88, 429–437. [Google Scholar] [CrossRef]
- Pluess, A.R.; Schütz, W.; Stöcklin, J. Seed Weight Increases with Altitude in the Swiss Alps between Related Species but Not among Populations of Individual Species. Oecologia 2005, 144, 55–61. [Google Scholar] [CrossRef]
- Bullock, S.H. Life History and Seed Dispersal of the Short-Lived Chaparral Shrub Dendromecon Rigida (Papaveraceae). Aust. J. Bot. 1989, 76, 1506. [Google Scholar] [CrossRef]
- Guo, H.; Mazer, S.J.; Du, G. Geographic Variation in Seed Mass within and among Nine Species of Pedicularis (Orobanchaceae): Effects of Elevation, Plant Size and Seed Number per Fruit. J. Ecol. 2010, 98, 1232–1242. [Google Scholar] [CrossRef]
- Donohue, K.; Rubio De Casas, R.; Burghardt, L.; Kovach, K.; Willis, C.G. Germination, Postgermination Adaptation, and Species Ecological Ranges. Annu. Rev. Ecol. Evol. Syst. 2010, 41, 293–319. [Google Scholar] [CrossRef]
- Sugiyama, S. Geographical Distribution and Phenotypic Differentiation in Populations of Dactylis Glomerata L. in Japan. Plant Ecol. 2002, 169, 295–305. [Google Scholar] [CrossRef]
- Qiu, J.; Bai, Y.; Fu, Y.B.; Wilmshurst, J.F. Spatial Variation in Temperature Thresholds during Seed Germination of Remnant Festuca Hallii Populations across the Canadian Prairie. Environ. Exp. Bot. 2010, 67, 479–486. [Google Scholar] [CrossRef]
- Wang, X.; Alvarez, M.; Donohue, K.; Ge, W.; Cao, Y.; Liu, K.; Du, G.; Bu, H. Elevation Filters Seed Traits and Germination Strategies in the Eastern Tibetan Plateau. Ecography 2021, 44, 242–254. [Google Scholar] [CrossRef]
- Chamorro, D.; Luna, B.; Moreno, J.M. Local Climate Controls Among-Population Variation in Germination Patterns in Two Erica Species across Western Iberia. Seed Sci. Res. 2018, 28, 112–122. [Google Scholar] [CrossRef]
- Chamorro, D.; Luna, B.; Moreno, J.M. Germination Responses to Current and Future Temperatures of Four Seeder Shrubs across a Latitudinal Gradient in Western Iberia. Aust. J. Bot. 2017, 104, 83–91. [Google Scholar] [CrossRef] [PubMed]
- Fernández-Pascual, E.; Jiménez-Alfaro, B.; Caujapé-Castells, J.; Jaén-Molina, R.; Díaz, T.E. A Local Dormancy Cline Is Related to the Seed Maturation Environment, Population Genetic Composition and Climate. Ann. Bot. 2013, 112, 937–945. [Google Scholar] [CrossRef] [PubMed]
- Wagmann, K.; Hautekèete, N.C.; Piquot, Y.; Meunier, C.; Schmitt, S.E.; van Dijk, H. Seed Dormancy Distribution: Explanatory Ecological Factors. Ann. Bot. 2012, 110, 1205–1219. [Google Scholar] [CrossRef] [PubMed]
- Debieu, M.; Tang, C.; Stich, B.; Sikosek, T.; Effgen, S.; Josephs, E.; Schmitt, J.; Nordborg, M.; Koornneef, M.; de Meaux, J. Co-Variation between Seed Dormancy, Growth Rate and Flowering Time Changes with Latitude in Arabidopsis Thaliana. PLoS ONE 2013, 8, e61075. [Google Scholar] [CrossRef] [PubMed]
- Herman, J.J.; Sultan, S.E. Adaptive Transgenerational Plasticity in Plants: Case Studies, Mechanisms, and Implications for Natural Populations. Front. Plant Sci. 2011, 2, 102. [Google Scholar] [CrossRef]
- Corriveau, J.L.; Coleman, A.W. Rapid Screening Method to Detect Potential Biparental Inheritance of Plastid DNA and Results for Over 200 Angiosperm Species. Aust. J. Bot. 1988, 75, 1443. [Google Scholar] [CrossRef]
- Yang, X.; Baskin, J.M.; Baskin, C.C.; Huang, Z. More than Just a Coating: Ecological Importance, Taxonomic Occurrence and Phylogenetic Relationships of Seed Coat Mucilage. Perspect. Plant Ecol. Evol. Syst. 2012, 14, 434–442. [Google Scholar] [CrossRef]
- Ceccato, D.; Bertero, D.; Batlla, D.; Galati, B. Structural Aspects of Dormancy in Quinoa (Chenopodium Quinoa): Importance and Possible Action Mechanisms of the Seed Coat. Seed Sci. Res. 2015, 25, 267–275. [Google Scholar] [CrossRef]
- Riveira Rubin, M.; Arata, G.J.; López, E.D.; Rodriguez, M.V.; Batlla, D. Dormancy Attributes in Sunflower Achenes (Helianthus Annuus L.): II. Sowing Date Effects. Crop Sci. 2021, 61, 4309–4324. [Google Scholar] [CrossRef]
- Groot, M.P.; Kubisch, A.; Ouborg, N.J.; Pagel, J.; Schmid, K.J.; Vergeer, P.; Lampei, C. Transgenerational Effects of Mild Heat in Arabidopsis Thaliana Show Strong Genotype Specificity That Is Explained by Climate at Origin. New Phytol. 2017, 215, 1221–1234. [Google Scholar] [CrossRef] [PubMed]
- Alexander, H.M.; Wulff, R.D. Experimental Ecological Genetics in Plantago: X. The Effects of Maternal Temperature on Seed and Seedling Characters in P. Lanceolata. J. Ecol. 1985, 73, 271. [Google Scholar] [CrossRef]
- Lacey, E.P.; Pace, R. Effect of Parental Flowering and Dispersal Times on Offspring Fate in Daucus Carota (Apiaceae). Oecologia 1983, 60, 274–278. [Google Scholar] [CrossRef] [PubMed]
- Hume, L. Maternal Environment Effects on Plant Growth and Germination of Two Strains of Thlaspi Arvense L. J. Plant Sci. 1994, 155, 180–186. [Google Scholar] [CrossRef]
- Lacey, E.P.; Smith, S.; Case, A.L. Parental Effects on Seed Mass: Seed Coat but Not Embryo/Endosperm Effects. Aust. J. Bot. 1997, 84, 1617–1620. [Google Scholar] [CrossRef]
- Case, A.L.; Lacey, E.P.; Hopkins, R.G. Parental Effects in Plantago Lanceolate L. II. Manipulation of Grandparental Temperature and Parental Flowering Time. Heredity 1996, 76, 287–295. [Google Scholar] [CrossRef]
- Schmuths, H.; Bachmann, K.; Weber, W.E.; Horres, R.; Hoffmann, M.H. Effects of Preconditioning and Temperature during Germination of 73 Natural Accessions of Arabidopsis Thaliana. Ann. Bot. 2006, 97, 623–634. [Google Scholar] [CrossRef]
- Wagner, I.; Simons, A. Divergent Norms of Reaction to Temperature in Germination Characteristics among Populations of the Arctic-Alpine Annual, Koenigia Islandica. Arctic Antarct. Alp. Res. 2009, 41, 388–395. [Google Scholar] [CrossRef][Green Version]
- Shaw, R.G.; Byers, D.L. Genetics of Maternal and Paternal Effects. In Maternal Effects as Adaptations; Mousseau, T.A., Fox, C.W., Eds.; Oxford University Press: Oxford, UK, 1998; pp. 97–111. [Google Scholar]
- Gutterman, Y. Influences on Seed Germin Ability: Phenotypic Maternal Effects during Seed Maturation. Isr. J. Bot. 1980, 29, 105–117. [Google Scholar]
- Lacey, E.P. Parental Effects in Plantago Lanceolata L. I.: A Growth Chamber Experiment to Examine Pre- and Postzygotic Temperature Effects. Evolution 1996, 50, 865–878. [Google Scholar] [CrossRef]
- Antonovics, J.; Schmitt, J. Paternal and Maternal Effects on Propagule Size in Anthoxanthum Odoratum. Oecologia 1986, 69, 277–282. [Google Scholar] [CrossRef]
- Byers, D.L.; Platenkamp, G.A.J.; Shaw, R.G. Variation in Seed Characters in Nemophila Menziesii: Evidence of a Genetic Basis for Maternal Effect. Evolution 1997, 51, 1445–1456. [Google Scholar] [CrossRef] [PubMed]
- Thiede, D.A. Maternal Inheritance and Its Effect on Adaptive Evolution: A Quantitative Genetic Analysis of Maternal Effects in a Natural Plant Population. Evolution 1998, 52, 998–1015. [Google Scholar] [CrossRef] [PubMed]
- Galloway, L.F.; Etterson, J.R. Population Differentiation and Hybrid Success in Campanula Americana: Geography and Genome Size. J. Evol. Biol. 2005, 18, 81–89. [Google Scholar] [CrossRef] [PubMed]
- Galloway, L.F.; Etterson, J.R.; McGlothlin, J.W. Contribution of Direct and Maternal Genetic Effects to Life-History Evolution. New Phytol. 2009, 183, 826–838. [Google Scholar] [CrossRef]
- Riska, B. Composite Traits, Selection Response, and Evolution. Evolution 1989, 43, 1172–1191. [Google Scholar] [CrossRef]
- Kirkpatrick, M.; Lande, R. The Evolution of Maternal Characters. Evolution 1989, 43, 485–503. [Google Scholar] [CrossRef]
- Räsänen, K.; Kruuk, L.E.B. Maternal Effects and Evolution at Ecological Time-Scales. Funct. Ecol. 2007, 21, 408–421. [Google Scholar] [CrossRef]
- Marshall, M.M.; Batten, L.C.; Remington, D.L.; Lacey, E.P. Natural Selection Contributes to Geographic Patterns of Thermal Plasticity in Plantago Lanceolata. Ecol. Evol. 2019, 9, 2945–2963. [Google Scholar] [CrossRef]
- Marshall, M.M.; Remington, D.L.; Lacey, E.P. Two Reproductive Traits Show Contrasting Genetic Architectures in Plantago Lanceolata. Mol. Ecol. 2020, 29, 272–291. [Google Scholar] [CrossRef]
- Alvarez, M.; Bleich, A.; Donohue, K. Genetic Differences in the Temporal and Environmental Stability of Transgenerational Environmental Effects. Evolution 2021, 75, 2773–2790. [Google Scholar] [CrossRef]
- Li, N.; Song, D.; Peng, W.; Zhan, J.; Shi, J.; Wang, X.; Liu, G.; Wang, H. Maternal Control of Seed Weight in Rapeseed (Brassica Napus L.): The Causal Link between the Size of Pod (Mother, Source) and Seed (Offspring, Sink). Plant Biotechnol. J. 2019, 17, 736–749. [Google Scholar] [CrossRef]
- Baskin, J.M.; Baskin, C.C. How Much Influence Does the Paternal Parent Have on Seed Germination? Seed Sci. Res. 2019, 29, 1–11. [Google Scholar] [CrossRef]
- Yuan, J.; Chen, S.; Jiao, W.; Wang, L.; Wang, L.; Ye, W.; Lu, J.; Hong, D.; You, S.; Cheng, Z.; et al. Both Maternally and Paternally Imprinted Genes Regulate Seed Development in Rice. New Phytol. 2017, 216, 373–387. [Google Scholar] [CrossRef] [PubMed]
- Li, N.; Xu, R.; Li, Y. Molecular Networks of Seed Size Control in Plants. Annu. Rev. Plant Biol. 2019, 70, 435–463. [Google Scholar] [CrossRef]
- Savadi, S. Molecular Regulation of Seed Development and Strategies for Engineering Seed Size in Crop Plants. Plant Growth Regul. 2018, 84, 401–422. [Google Scholar] [CrossRef]
- Li, Y.J.; Yu, Y.; Liu, X.; Zhang, X.S.; Su, Y.H. The Arabidopsis MATERNAL EFFECT EMBRYO ARREST45 Protein Modulates Maternal Auxin Biosynthesis and Controls Seed Size by Inducing AINTEGUMENTA. Plant Cell 2021, 33, 1907–1926. [Google Scholar] [CrossRef] [PubMed]
- Rix, K.D.; Gracie, A.J.; Potts, B.M.; Brown, P.H.; Spurr, C.J.; Gore, P.L. Paternal and Maternal Effects on the Response of Seed Germination to High Temperatures in Eucalyptus Globulus. Ann. For. Sci. 2012, 69, 673–679. [Google Scholar] [CrossRef][Green Version]
- Mazer, S.J.; Gorchov, D.L. Parental Effects on Progeny Phenotype in Plants: Distinguishing Genetic and Environmental Causes. Evolution 1996, 50, 44–53. [Google Scholar] [CrossRef]
- Platenkamp, G.A.J.; Shaw, R.G. Environmental and Genetic Maternal Effects on Seed Characters in Nemophila Menziesii. Evolution 1993, 47, 540. [Google Scholar] [CrossRef]
- Volis, S.; Bohrer, G. Joint Evolution of Seed Traits along an Aridity Gradient: Seed Size and Dormancy Are Not Two Substitutable Evolutionary Traits in Temporally Heterogeneous Environment. New Phytol. 2013, 197, 655–667. [Google Scholar] [CrossRef] [PubMed]
- Lacey, E.P.; Lovin, M.E.; Richter, S.J.; Herington, D.A. Floral Reflectance, Color, and Thermoregulation: What Really Explains Geographic Variation in Thermal Acclimation Ability of Ectotherms? Am. Nat. 2010, 175, 335–349. [Google Scholar] [CrossRef] [PubMed]
- Cockerham, C.C.; Weir, B.S. Quadratic Analyses of Reciprocal Crosses. Biometrics 1977, 33, 187–203. [Google Scholar] [CrossRef] [PubMed]
- Lande, R.; Kirkpatrick, M. Selection Response in Traits with Maternal Inheritance. Genet. Res. 1990, 55, 189–197. [Google Scholar] [CrossRef] [PubMed]
- Childs, D.Z.; Metcalf, C.J.E.; Rees, M. Evolutionary Bet-Hedging in the Real World: Empirical Evidence and Challenges Revealed by Plants. Proc. R. Soc. B Biol. Sci. 2010, 277, 3055–3064. [Google Scholar] [CrossRef] [PubMed]
- Cavers, P.B.; Bassett, I.J.; Crompton, C.W. The Biology of Canadian Weeds: 47. Plantago Lanceolata L. Can. J. Plant Sci. 1980, 60, 1269–1282. [Google Scholar] [CrossRef]
- van Damme, J.M.M. Gynodioecy in Plantago Lanceolata L.: II Inheritance of Three Male Sterility Types. Heredity 1983, 50, 253–273. [Google Scholar] [CrossRef][Green Version]
- Ross, M.D. Inheritance of Self-Incompatibility in Plantago Lanceolata. Heredity 1973, 30, 169–176. [Google Scholar] [CrossRef][Green Version]
- Lacey, E.P.; Lovin, M.E.; Richter, S.J. Fitness Effects of Floral Plasticity and Thermoregulation in a Thermally Changing Environment. Am. Nat. 2012, 180, 342–353. [Google Scholar] [CrossRef]
- Lacey, E.P.; Herr, D. Parental Effects in Plantago Lanceolata L. III. Measuring Parental Temperature Effects in the Field. Evolution 2000, 54, 1207–1217. [Google Scholar] [CrossRef]
- Primack, R.B.; Antonovics, J. Experimental Ecological Genetics in Plantago. V. Components of Seed Yield in the Ribwort Plantain Plantago Lanceolata L. Evolution 1981, 35, 1069. [Google Scholar] [CrossRef] [PubMed]
- Schmitt, J.; Niles, J.; Wulff, R.D. Norms of Reaction of Seed Traits to Maternal Environments in Plantago Lanceolata. Am. Nat. 1992, 139, 451–466. [Google Scholar] [CrossRef]
- van Hinsberg, A.; van Tienderen, P. Variation in Growth Form in Relation to Spectral Light Quality (Red/Far-Red Ratio) in Plantago Lanceolata L. in Sun and Shade Populations. Oecologia 1997, 111, 452–459. [Google Scholar] [CrossRef] [PubMed]
- van Tienderen, P.H. Variation in a Population of Plantago Lanceolata along a Topographical Gradient. Oikos 1992, 64, 560. [Google Scholar] [CrossRef]
- van Groenendael, J.M. Life History Characteristics of Two Ecotypes of Plantago Lanceolata L. Acta Bot. Neerlandica 1986, 35, 71–86. [Google Scholar] [CrossRef]
- Rosbakh, S.; Poschlod, P. Initial Temperature of Seed Germination as Related to Species Occurrence along a Temperature Gradient. Funct. Ecol. 2015, 29, 5–14. [Google Scholar] [CrossRef]




Publisher’s Note: MDPI stays neutral with regard to jurisdictional claims in published maps and institutional affiliations. |
© 2022 by the authors. Licensee MDPI, Basel, Switzerland. This article is an open access article distributed under the terms and conditions of the Creative Commons Attribution (CC BY) license (https://creativecommons.org/licenses/by/4.0/).
Share and Cite
Lacey, E.P.; Marshall, M.M.; Bucciarelli, M.; Richter, S.J. Transgenerational Genetic Effects Help Explain Latitudinal Variation in Seed Mass and Germination Timing in Plantago lanceolata. Plants 2022, 11, 522. https://doi.org/10.3390/plants11040522
Lacey EP, Marshall MM, Bucciarelli M, Richter SJ. Transgenerational Genetic Effects Help Explain Latitudinal Variation in Seed Mass and Germination Timing in Plantago lanceolata. Plants. 2022; 11(4):522. https://doi.org/10.3390/plants11040522
Chicago/Turabian StyleLacey, Elizabeth P., Matthew M. Marshall, Marc Bucciarelli, and Scott J. Richter. 2022. "Transgenerational Genetic Effects Help Explain Latitudinal Variation in Seed Mass and Germination Timing in Plantago lanceolata" Plants 11, no. 4: 522. https://doi.org/10.3390/plants11040522
APA StyleLacey, E. P., Marshall, M. M., Bucciarelli, M., & Richter, S. J. (2022). Transgenerational Genetic Effects Help Explain Latitudinal Variation in Seed Mass and Germination Timing in Plantago lanceolata. Plants, 11(4), 522. https://doi.org/10.3390/plants11040522

