Evaluation of Different Irrigation Methods for an Apple Orchard Using an Aerial Imaging System
Abstract
:1. Introduction
- To acquire remote sensing data (multispectral images) of apple groves with controlled input of irrigation (water);
- To use image processing techniques to process the images and analyze the data using vegetation indices (VI).
2. Materials and Methods
2.1. Target Orchards
2.2. Unmanned Aerial System
2.3. Image Acquisition System
2.4. Image Acquisition
2.5. Data Analysis
3. Results and Discussion
3.1. Individual Tree Identification
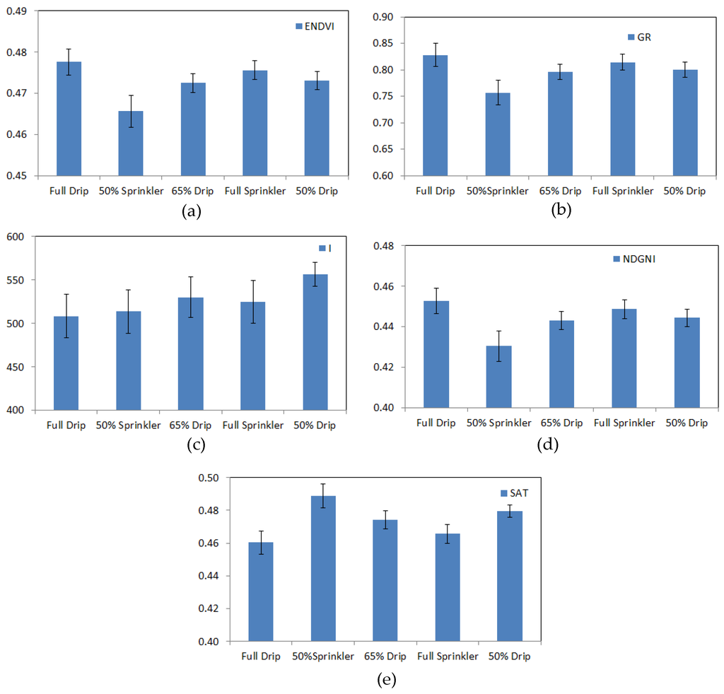
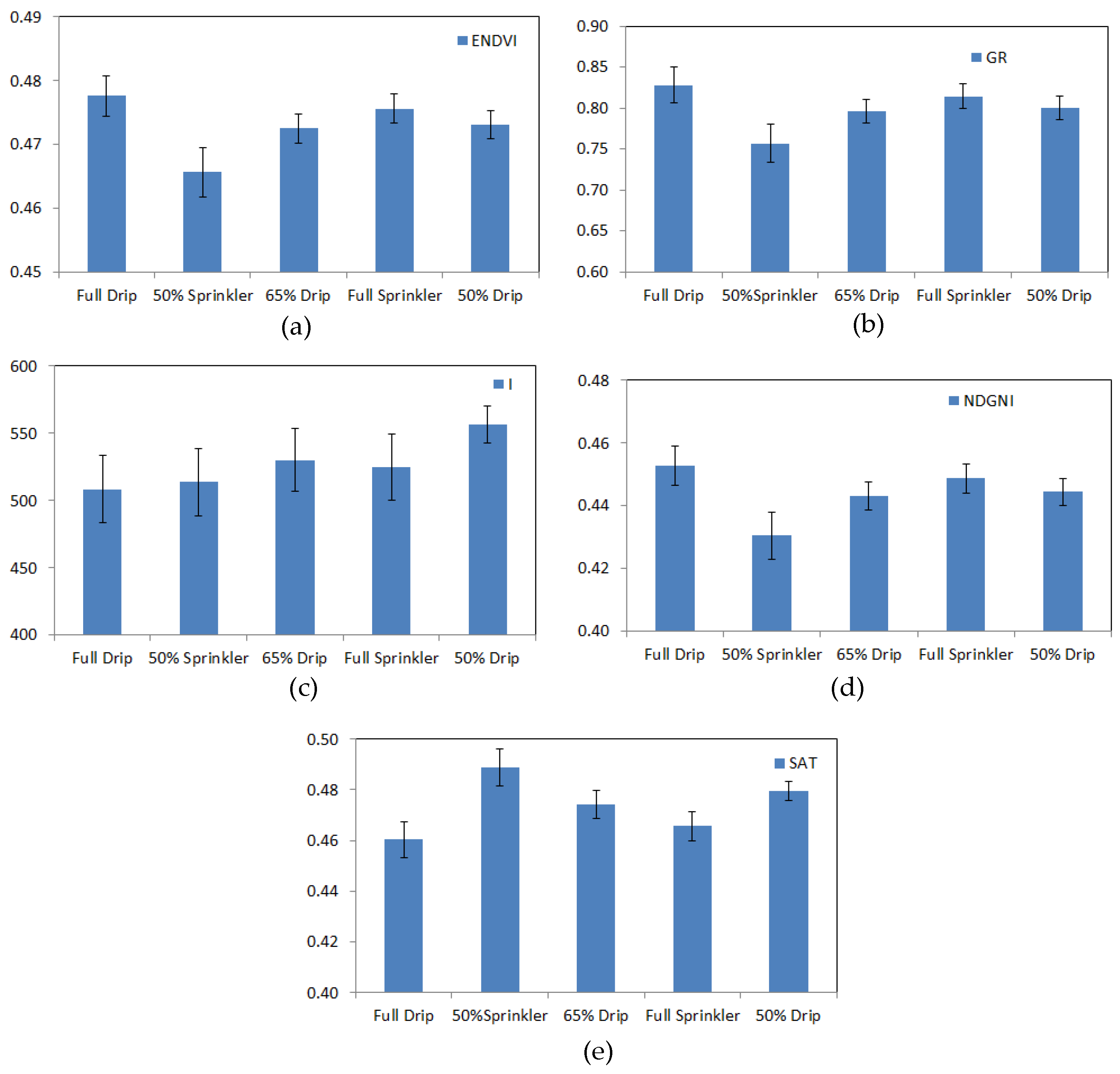
3.2. Vegetation Index Analysis
3.3. Tree Canopy Area Analysis
4. Conclusions
Acknowledgments
Author Contributions
Conflicts of Interest
Abbreviations
| B | Blue Band |
| CMOS | Complementary Metal-Oxide Semiconductor |
| ENDVI | Enhanced Normalized Difference Vegetation Index |
| G | Green Band |
| GR | Green Ratio |
| I | Intensity |
| NDGNI | Normalized Difference Green Near Infrared Index |
| R | Red Band |
| SAT | Saturation |
| UAV | Unmanned Aerial Vehicle |
| VI | Vegetation Index |
References
- Colby, S.; Ortman, J.M. Projections of the Size and Composition of the U.S. Population: 2014 to 2060. United States Census Bureau. Available online: https://www.census.gov/content/dam/Census/library/publications/2015/demo/p25-1143.pdf (accessed on 4 April 2016).
- Lan, Y.; Thomson, S.J.; Huang, Y.; Hoffmann, W.C.; Zhang, H. Current status and future directions of precision aerial application for site-specific crop management in the USA. Comput. Electron. Agric. 2010, 74, 34–38. [Google Scholar] [CrossRef]
- Lee, W.S.; Alchanatis, V.; Yang, C.; Hirafuji, M.; Moshou, D.; Li, C. Sensing technologies for precision specialty crop production. Comput. Electron. Agric. 2010, 74, 2–33. [Google Scholar] [CrossRef]
- Sugiura, R.; Noguchi, N.; Ishii, K. Remote-sensing technology for vegetation monitoring using an unmanned helicopter. Biosyst. Eng. 2005, 90, 369–379. [Google Scholar] [CrossRef]
- Kondo, N.; Ting, K.C. Robotics for Bioproduction Systems; ASAE: St Joseph, MI, USA, 1998. [Google Scholar]
- Garcia-Ruiz, F.; Sankaran, S.; Maja, J.M.; Lee, W.S.; Rasmussen, J.; Ehsani, R. Comparison of two aerial imaging platforms for identification of Huanglongbing-infected citrus trees. Comput. Electron. Agric. 2013, 91, 106–115. [Google Scholar] [CrossRef]
- Xiang, H.; Tian, L. Development of a low-cost agricultural remote sensing system based on an autonomous unmanned aerial vehicle (UAV). Biosyst. Eng. 2011, 108, 174–190. [Google Scholar] [CrossRef]
- Johnson, A.K.L.; Kinsey-Henderson, A.E. Satellite-based remote sensing for monitoring Baath land use in the sugar industry. Proc. Aust. Soc. Sugar Cane Technol. 1997, 19, 237–245. [Google Scholar]
- MikroKopters. Available online: https://www.mikrokopter.de/en/home (accessed on 9 May 2016).
- Corcoles, J.I.; Ortega, J.F.; Hernandez, D.; Moreno, M.A. Estimation of leaf area index in onion (Allium cepa L.) using an unmanned aerial vehicle. Biosyst. Eng. 2013, 115, 31–42. [Google Scholar] [CrossRef]
- Capolupo, A.; Kooistra, L.; Berendonk, C.; Boccia, L.; Suomalainen, J. Estimating plant traits of grasslands from UAV-acquired hyperspectral images: A comparison of statistical approaches. ISPRS Int. J. Geo-Inf. 2015, 4, 2792–2820. [Google Scholar] [CrossRef]
- Pajares, G. Overview and current status of remote sensing applications based on Unmanned Aerial Vehicles (UAVs). Photogramm. Eng. Remote Sens. 2015, 81, 281–329. [Google Scholar] [CrossRef]
- Qi, X.; Xing, F.; Foran, D.J.; Yang, L. Robust segmentation of overlapping cells in histopathology specimens using parallel seed detection and repulsive level set. IEEE Trans. Biomed. Eng. 2012, 59, 754–765. [Google Scholar] [PubMed]
- Bulanon, D.M.; Burks, T.F.; Kim, D.B.; Ritenour, M.A. A Multispectral imaging system for citrus fruit detection. Environ. Control Biol. 2010, 48, 81–91. [Google Scholar] [CrossRef]
- Zakaluk, R.; Sri Ranjan, R. Predicting the leaf water potential of potato plants using RGB reflectance. Can. Biosyst. Eng. 2008, 50, 1–7. [Google Scholar]
- Fallahi, E.; Fallahi, B.; Shafii, B.; Neilsen, D.; Neilsen, G.H. The impact of long-term evapotranspiration-based water scheduling in various irrigation regismes on tree growth, yield, and fruit quality at Harvest in Fuji Apple. J. Am. Pomol. Soc. 2011, 65, 42–53. [Google Scholar]











| Tree Groups | Row 1 | Row 2 | Row 3 | Row 4 | Row 5 |
|---|---|---|---|---|---|
| A | Full Sprinkler | 50% Deficit Sprinkler | Full Drip | 65% Deficit Drip | 50% Deficit Drip |
| B | 65% Deficit Drip | 50% Deficit Drip | 50% Deficit Sprinkler | Full Drip | Full Sprinkler |
| C | Full Drip | Full Sprinkler | 65% Deficit Drip | 50% Deficit Drip | 50% Deficit Sprinkler |
| D | 50% Deficit Drip | Full Drip | Full Sprinkler | 50% Deficit Sprinkler | 65% Deficit Drip |
| E | 50% Deficit Sprinkler | 65% Deficit Drip | 50% Deficit Drip | Full Sprinkler | Full Drip |
| Vegetation Index | Equation |
|---|---|
| (1) Green Ratio (GR) | |
| (2) Enhanced Normalized Difference Vegetation Index (ENDVI) | |
| (3) Intensity (I) | |
| (4) Normalized Difference Green Near Infrared Index (NDGNI) | |
| (5) Saturation (S) |
© 2016 by the authors; licensee MDPI, Basel, Switzerland. This article is an open access article distributed under the terms and conditions of the Creative Commons Attribution (CC-BY) license (http://creativecommons.org/licenses/by/4.0/).
Share and Cite
Bulanon, D.M.; Lonai, J.; Skovgard, H.; Fallahi, E. Evaluation of Different Irrigation Methods for an Apple Orchard Using an Aerial Imaging System. ISPRS Int. J. Geo-Inf. 2016, 5, 79. https://doi.org/10.3390/ijgi5060079
Bulanon DM, Lonai J, Skovgard H, Fallahi E. Evaluation of Different Irrigation Methods for an Apple Orchard Using an Aerial Imaging System. ISPRS International Journal of Geo-Information. 2016; 5(6):79. https://doi.org/10.3390/ijgi5060079
Chicago/Turabian StyleBulanon, Duke M., John Lonai, Heather Skovgard, and Esmaeil Fallahi. 2016. "Evaluation of Different Irrigation Methods for an Apple Orchard Using an Aerial Imaging System" ISPRS International Journal of Geo-Information 5, no. 6: 79. https://doi.org/10.3390/ijgi5060079
APA StyleBulanon, D. M., Lonai, J., Skovgard, H., & Fallahi, E. (2016). Evaluation of Different Irrigation Methods for an Apple Orchard Using an Aerial Imaging System. ISPRS International Journal of Geo-Information, 5(6), 79. https://doi.org/10.3390/ijgi5060079
