A Novel Region Similarity Measurement Method Based on Ring Vectors
Abstract
1. Introduction
- Directional Sensitivity Issues. Traditional grid or pixel-based comparison methods, such as template matching algorithms, exhibit high sensitivity to rotation. The accuracy of these methods decreases significantly when similar regions undergo rotational changes [12,13]. When identical geographical features are present in different orientations (e.g., north-south versus east-west river valleys, as shown in Figure 1), conventional methods struggle to identify their intrinsic similarities. This issue is particularly pronounced in remote sensing data processing, as the orientation of topographical features is often determined by natural evolutionary processes. Functionally similar regions may exhibit significant directional differences, exemplified by the contrasting ridge orientations of the Himalayan and Alpine mountain ranges.
- Feature Interpretability Limitations. Although current deep learning-based spatial pattern recognition methods have enhanced feature representation capabilities, their “black box” nature results in similarity measurements lacking geographic semantic interpretations [14]. For instance, Deep Neural Networks (DNNs) classify output images without providing further explanations of scene-corresponding results [15,16]. Consequently, developing techniques that make black-box processes more transparent and comprehensible is crucial in the remote sensing domain. In medical resource allocation scenarios, similarity models that merely output probability values without revealing the spatial association mechanisms between population density distribution and healthcare needs significantly constrain the scientific validity of policy formulation.
- Multi-type Data Adaptation Challenges. Existing methods are predominantly tailored to specific data types, limiting their applicability across diverse spatial datasets [17]. For instance, methods optimized for POI data may fail to perform effectively on road network data or terrain elevation models, and vice versa. This specialization restricts their utility in scenarios where practitioners need to analyze different types of spatial information using a unified analytical framework. Furthermore, the lack of methodological versatility complicates comparative analyses across heterogeneous data sources (such as comparing distribution patterns between satellite imagery and point-based datasets), thereby limiting applications that require consistent similarity assessment across multiple spatial data modalities.
- Development of a dynamic starting point selection mechanism that identifies the maximum value coordinates within the feature matrix to dynamically determine the starting point for ring vector traversal, thereby significantly mitigating the effects of rotation on similarity analysis.
- Creation of a multi-layer ring vector representation framework that extracts concentric ring vectors from the center outward, establishing a multi-scale feature representation that enhances algorithmic robustness against scale variations.
- Implementation of a bidirectional matching mechanism that generates complementary feature representations through both clockwise and counterclockwise traversal methods, substantially improving the algorithm’s capacity to recognize mirror-symmetric or inversely rotated distributions.
2. Related Work
2.1. Regional Feature Expression
2.2. Regional Similarity Measurement
3. Relevant Definition
3.1. Regional Feature Matrices
3.2. Coordinate Transformation
- X-axis direction: Consistent with the column direction of the matrix, with positive direction to the right
- Y-axis direction: Opposite to the row direction of the matrix, with positive direction upward (contrary to the traditional rule where matrix row indices increase from top to bottom)
- x represents the horizontal offset of the element relative to the center point C (positive to the right, negative to the left);
- y represents the vertical offset of the element relative to the center point C (positive upward, negative downward).
3.3. Ring Vector
4. Methodology
- Data Preprocessing. This stage processes multi-source input data, such as DEM or POI datasets. It employs rasterization to convert unstructured data into standard feature matrices and performs matrix order adjustment to ensure a unique center point, establishing a foundation for subsequent analysis.
- Ring Vector Feature Extraction. This stage, central to our method, begins with “Directional Anchor Localization” (i.e., locating the maximum value point) to determine the region’s dominant direction. Subsequently, a dynamic “Starting Point” is calculated for each ring layer, from which a “Raw Ring Vector” is extracted via traversal. Finally, these vectors undergo “Standardization” and “Data Cleaning” to eliminate scale effects and remove invalid padding values.
- Similarity Computation. This phase first generates “Bidirectional Ring Vectors” (clockwise and counter-clockwise) to enhance robustness against rotational transformations. A ”Distance Calculation” (e.g., Euclidean distance) is then applied to quantify the dissimilarities between corresponding ring layers. These individual distances are ultimately aggregated into a “Weighted Comprehensive Distance”, which serves as the final metric for regional similarity.
4.1. Data Preprocessing
4.1.1. Rasterization
4.1.2. Matrix Order Adjustment
- If the matrix order N is odd, the original matrix is used directly: , with order .
- If the matrix order N is even, an additional row and column are inserted at the center position (i.e., at the intersection of the -th row and column), with each fill values set to , forming an adjusted matrix with order .
4.2. Ring Vector Feature Extraction
4.2.1. Directional Anchor Localization
4.2.2. Ring Vector Starting Point Calculation
- Case 1 (Y-positive dominance): and , indicating that the maximum value point resides in the upper half-plane with the vertical upward component being dominant.
- Case 2 (X-negative dominance): and , indicating that the maximum value point resides in the left half-plane with the horizontal leftward component being dominant.
- Case 3 (Y-negative dominance): and , indicating that the maximum value point resides in the lower half-plane with the vertical downward component being dominant.
- Case 4 (X-positive dominance): and , indicating that the maximum value point resides in the right half-plane with the horizontal rightward component being dominant.
- Case 1: .
- Case 2: .
- Case 3: .
- Case 4: .
4.2.3. Raw Ring Vector Extraction
4.2.4. Vectors Standardization and Data Cleaning
- Directional Consistency: Through maximum value point localization and region classification, we ensure that even when the matrix is rotated, the starting point of the ring vector maintains a relatively consistent spatial direction.
- Structural Preservation: The ring layer structure preserves the spatial adjacency relationships among elements in the matrix, enabling the ring vector to effectively capture the spatial structural features of the region.
- Scale Invariance: Vector normalization processing eliminates the influence of numerical scale, making the ring vector robust to intensity variations in regional features.
| Algorithm 1: Ring Vectors Extraction |
![]() |
4.3. Similarity Computation
- The clockwise traversal ring vector set for is defined as
- The clockwise traversal ring vector set for is defined as
| Algorithm 2: Area Similarity Measurement |
![]() |
- Single-layer Distance Calculation: If the selected distance metric method has a computational complexity for vectors of length L, where represents the additional operational complexity for each element comparison, then the distance calculation complexity for layer r is at most . This is because the ring vector at layer r contains a maximum of elements (each layer forms a ring path with a “perimeter” of ).
- Total Distance Calculation Complexity: By summing the computational complexity across all layers:
- Input Definition: Given a target region feature matrix and a larger region matrix to be searched .
- Target Analysis: Extract the ring layer containing the maximum value point from the target matrix .
- Candidate Generation: Employ a sliding window technique to traverse all possible sub-matrices in .
- Feature Extraction: For each sub-matrix , calculate the ring layer containing its maximum value.
- Pre-filtering: Apply the ring layer filtering condition: if , add to the candidate set .
- Refined Similarity Calculation: For each region in the candidate set , apply Algorithm 2 to calculate its distance from the target region.
- Result Ranking: Sort by distance and return the set containing the K regions with the highest similarity.
| Algorithm 3: Similar Region Search |
![]() |
- Sub-matrix Extraction: Obtaining the candidate sub-matrix through index slicing, which is a pure indexing operation with a time complexity of .
- Maximum Value Point Localization: Finding the maximum value point within the candidate sub-matrix requires traversing all elements, resulting in a time complexity of .
- Layer Assignment and Filtering: Determining the layer to which the maximum value point belongs and comparing it with the target layer . If they match, the sub-matrix is added to the candidate set . These operations require constant time, with a complexity of .
- Horizontal Sliding Optimization: When the window moves from position to , the new window removes the leftmost column (N elements) and adds a rightmost column (N elements). By maintaining information about the current window’s maximum value and its position, the maximum value can be incrementally updated in time.
- Vertical Sliding Optimization: Similarly, when the window moves from position to , incremental updates can be performed by removing the top row and adding a bottom row.
- Optimized Complexity: Through incremental computation, the complexity of a single window movement for maximum value updates is reduced from to , resulting in an optimized total time complexity for the sliding window traversal as .
4.4. Elaboration on Rotational Invariance
- Role of the Dynamic Anchor (Primary Invariance): The Dynamic Anchor (the global maximum value point P) acts as an internal, data-driven “compass” for the matrix. Consider a matrix M and its version which has been rotated by 45°. In M, the algorithm identifies the max point and calculates all starting points relative to the vector 8. This generates the ring vector set . In , the entire internal structure is rotated. The original max point is now at a new 45° position, . The algorithm, when run on , identifies as its anchor. It then calculates its starting points relative to the vector . Because the relative structure is identical (just rotated), the vector generated from this process will be identical to the original vector . The dynamic anchor effectively "normalizes" the vector generation process, ensuring the final vectors are already aligned, regardless of the original matrix’s orientation.
- Role of Bidirectional Matching (Safeguard): The Bidirectional Matching strategy is a safeguard against perfect 180° rotations or mirror-symmetric patterns. A 180° rotation is functionally equivalent to traversing the same ring in the reverse (counter-clockwise) direction. By calculating the distance for both the clockwise vector () and its reverse () and taking the minimum, the method robustly identifies 180° rotations as highly similar.
5. Experimental Evaluation
5.1. Datasets
5.1.1. SRTM 90M DEM
5.1.2. Beijing WIFI Access Point Dataset
5.1.3. Beijing POI Dataset
5.2. Experimental Setup
5.2.1. Experimental Design
- Experiment 1: Dam Terrain Classification. Eight representative dams worldwide were selected as research subjects, with terrain features extracted from SRTM 90M DEM data. These dams can be classified into two categories based on construction terrain: gravity dams (Three Gorges, Itaipu, Guri, Grand Coulee) located in wide U-shaped valleys spanning one to two kilometers, and arch dams (Baihetan, Xiluodu, Wudongde, Jinping-I) situated in narrow V-shaped canyons with steep slopes. The primary objective of this experiment is to verify the effectiveness of the proposed method in identifying similar terrain features, and to benchmark its performance against established baseline methods, including Normalized Cross-Correlation (NCC), Fourier-Mellin Transformation (FMT) [18], and Zernike Moments (ZM) [19].For each dam area, a grid size was employed, covering approximately 2.25 km × 2.25 km around each dam. This dimension was determined through preliminary testing with grid sizes ranging from to , which demonstrated stable discrimination performance in the to range. The configuration was selected to optimally balance three requirements: capturing sufficient terrain context beyond the dam structure, maintaining adequate resolution for elevation gradient representation, and avoiding inclusion of irrelevant distant terrain.
- Experiment 2: FAST Telescope Site Selection. China’s FAST radio telescope site selection was used as a case study to demonstrate practical engineering application. The telescope requires karst depression terrain with “high periphery, low center” morphology. An grid was extracted from the actual FAST construction site as the template, covering 720 m × 720 m at 90 m resolution.This grid size was determined to directly correspond to engineering requirements: the configuration at 90 m resolution yields 720 m total coverage, accommodating FAST’s 500 m aperture with approximately 110 m peripheral margin on each side. This margin is essential for capturing the surrounding high-elevation terrain that characterizes suitable sites. Smaller grids would truncate the critical peripheral features, while larger grids would introduce irrelevant distant terrain. The search space encompassed the southern Guizhou karst region ( grid cells, approximately 456 km × 146 km), and the top-20 candidate regions were retrieved.
- Experiment 3: Urban Functional Area Identification. WiFi access point and POI distributions within Beijing’s Fourth Ring Road were analyzed to demonstrate adaptability to urban spatial data. The study area was partitioned into 200 m × 200 m grid cells, totaling cells.This cell size was chosen to align with typical urban functional block scales in Beijing, where coherent zones (residential compounds, commercial clusters, parks) span 100–300 m. Finer resolutions would fragment functional areas across excessive cells, while coarser resolutions would merge distinct zones. At 200 m resolution, the grid provides sufficient detail for block-level analysis while maintaining computational tractability for large point datasets. Taoranting Park and its northwestern region were selected as the template, exhibiting a distinct “dense on one side, sparse on the other” pattern characteristic of park-residential interfaces. The top 10 most similar regions () were retrieved for both datasets.
5.2.2. Distance Measurement Method
5.2.3. Multi-Layer Ring Vector Weighting Strategy
5.3. Experiment Results and Analysis
5.3.1. Experiment 1
- Gravity Dams: These are distributed across wide, gentle U-shaped valleys or Y/T-type river sections. The river valleys typically span 1–2 km in width with gradual slopes and minimal upstream-downstream elevation differences. The reservoir areas are predominantly characterized by wide valleys, hills, or plateaus. Representative projects include Three Gorges Dam (Yangtze River, China), Itaipu Hydroelectric Dam (Paraná River, Brazil/Paraguay), Guri Hydroelectric Power Station (Caroní River, Venezuela), and Grand Coulee Dam (Columbia River, USA).
- Arch Dams: These are primarily concentrated in deeply incised canyon regions with narrow V-shaped or U-shaped valleys. These sites feature steep slopes, high mountain symmetry, significant elevation differences, and dramatic terrain fluctuations. Representative projects include Baihetan Hydropower Station (Jinsha River, China), Xiluodu Hydropower Station (Jinsha River, China), Wudongde Hydropower Station (Jinsha River, China), Jinping-I Hydropower Station (Yalong River, China).
- Intra-class Similarity (): The average similarity score between dam pairs within a single category. In this experiment, we calculate two such metrics: for gravity dams and for arch dams.
- Inter-class Similarity : The average similarity score between dam pairs across different categories.
- Discrimination : The overall classification capability, defined as the difference between the average intra-class similarity () and the inter-class similarity ().
5.3.2. Experiment 2
| Area | Similarity Score (0–1) | Peripheral Elevation Difference (m) | Depression Diameter (m) | Figure |
|---|---|---|---|---|
| FAST | 1.0 | 255 | 600 | Figure 5a |
| 1 | 0.9516 | 209 | 560 | |
| 2 | 0.9484 | 228 | 580 | Figure 5b |
| 3 | 0.9479 | 231 | 650 | |
| 4 | 0.9468 | 225 | 680 | |
| 5 | 0.9448 | 220 | 650 | Figure 5c |
| 6 | 0.9430 | 256 | 500 | |
| 7 | 0.9424 | 201 | 400 | |
| 8 | 0.9419 | 261 | 500 | Figure 5d |
| 9 | 0.9418 | 254 | 450 | Figure 5e |
| 10 | 0.9417 | 211 | 560 | Figure 5f |
| 11 | 0.9416 | 237 | 600 | |
| 12 | 0.9408 | 261 | 650 | Figure 5g |
| 13 | 0.9408 | 261 | 650 | Figure 5h |
| 14 | 0.9401 | 200 | 500 | |
| 15 | 0.9400 | 237 | 480 | |
| 16 | 0.9391 | 232 | 400 | Figure 5i |
| 17 | 0.9391 | 211 | 500 | |
| 18 | 0.9389 | 224 | 650 | |
| 19 | 0.9387 | 315 | 400 | Figure 5j |
| 20 | 0.9387 | 205 | 380 | |
| avg | 0.9424 ±0.0036 | 234.55 ± 23.82 | 539.5 ± 96.5 |
- The average similarity score of candidate regions reached , indicating the algorithm’s high precision in identifying terrain features. Notably, the standard deviation of similarity was , reflecting the stability and consistency of algorithm output—a significant attribute for large-scale spatial data analysis.
- The average peripheral elevation difference was m, close to the FAST template region (255 m) and within the acceptable engineering error range.
- The mean depression diameter distribution was m, with most regions satisfying FAST’s engineering requirements for bowl-shaped depression dimensions (500 m aperture). This demonstrates the algorithm’s capacity to precisely capture terrain features at specific scales.
- Unidimensionality of Features: The algorithm matches solely based on elevation features, without integrating critical engineering parameters such as transportation accessibility, hydrological distribution, and geological stability. Deeper analysis revealed that candidate regions 9 and 19 were traversed by existing roads, while region 12 overlapped with rivers by more than 35%. Despite their high terrain conformity, these regions are unsuitable for constructing large radio telescopes.
- Single-Scale Analysis: The experiment employed only an grid (720 m × 720 m) as the template scale, without considering multi-scale fusion analysis, potentially leading to insufficient assessment of terrain stability over larger areas. In practical engineering, the terrain characteristics of the broader area surrounding FAST similarly exert significant influence on engineering stability and electromagnetic environment.

5.3.3. Experiment 3
- Searching for regions with the highest similarity within Beijing’s Fourth Ring Road based on WiFi access points and POI distribution data, using the same target area.
- Comparing matching results from both data sources, analyzing their spatial overlap and differences.
- Evaluating the algorithm’s practical value in identifying urban functional zones and its implications for urban planning.
- WiFi Density Matrix , where , with representing the number of WiFi access points within grid cell , reflecting regional human activity intensity and real-time population density.
- POI Density Matrix , where , with representing the count of various POI categories within grid cell , reflecting regional infrastructure distribution and functional attributes.
- Chaoyang Park Fenghuayuan and its northwestern region (W1): sparse WiFi in the park area, dense WiFi in surrounding residential areas.
- Beihai Park and its northern surrounding area (W2): sparse WiFi distribution within the park, dense WiFi distribution in northern commercial and residential areas.
- Lianhuachi Park and its western and northern regions (W3): sparse WiFi in the park and railway areas, dense WiFi in surrounding schools and residential areas.
- Jingshan Park north of the Forbidden City and surrounding areas (W8): sparse in the park area, dense WiFi in the eastern side.
- Zhongnanhai and its western region (W10): Zhongnanhai’s river area has sparse WiFi, while the western downtown residential area has dense WiFi.
- South of the Forbidden City and around Tiananmen Square (P1): sparse POI in the northern Forbidden City, more POI around southern Tiananmen Square and the National Museum.
- Wanliu Golf Course and its eastern region (P3): sparse POI in the golf course, dense POI in eastern residential areas.
- Yuyuantan Park and its northern region (P5): sparse POI in the park area, dense POI in northern residential areas.
- Taiyangong Sports and Leisure Park and its southwestern region (P6): sparse POI in the large park area, dense POI in the southwest with residential areas, schools, and companies.
- Beihai Park, Jingshan Park, and their surroundings (P10): fewer POI in Beihai Park and Jingshan Park, more POI in northeastern residential and commercial areas.
- WiFi matching region W6 shows sparse northwest and dense southeast distribution, opposite to the template area; W9 exhibits “northeast-southwest” density gradient distribution; W4, W5, W7, and W8 all display “north-south” density gradient distribution; W10 shows an “east-west” distribution pattern.
- POI matching region P1 has its dense area in the southeast, opposite to the template; P2 and P5 display “north-south” density gradient distribution; P3 and P10 show “east-west” distribution trends; P6 and P7 exhibit “northeast-southwest” density gradient distribution.
- Jingshan Park area (ID: W8/P10) was selected as a high-similarity area by both WiFi and POI models, where the park area forms a low-density zone while surrounding commercial clusters form high-density zones, perfectly reproducing the mixed functional features of the template.
- Beihai Park area (W2/P4): displays north-south distribution in both WiFi and POI distribution patterns, with sparse WiFi and POI distribution in the southern park area and dense WiFi and POI distribution in northern commercial and residential areas.
- Yuyuantan Park area (ID: W4/P5) exhibits “north-south” density gradients in both data sources, reflecting the typical functional distribution of park-residential areas.
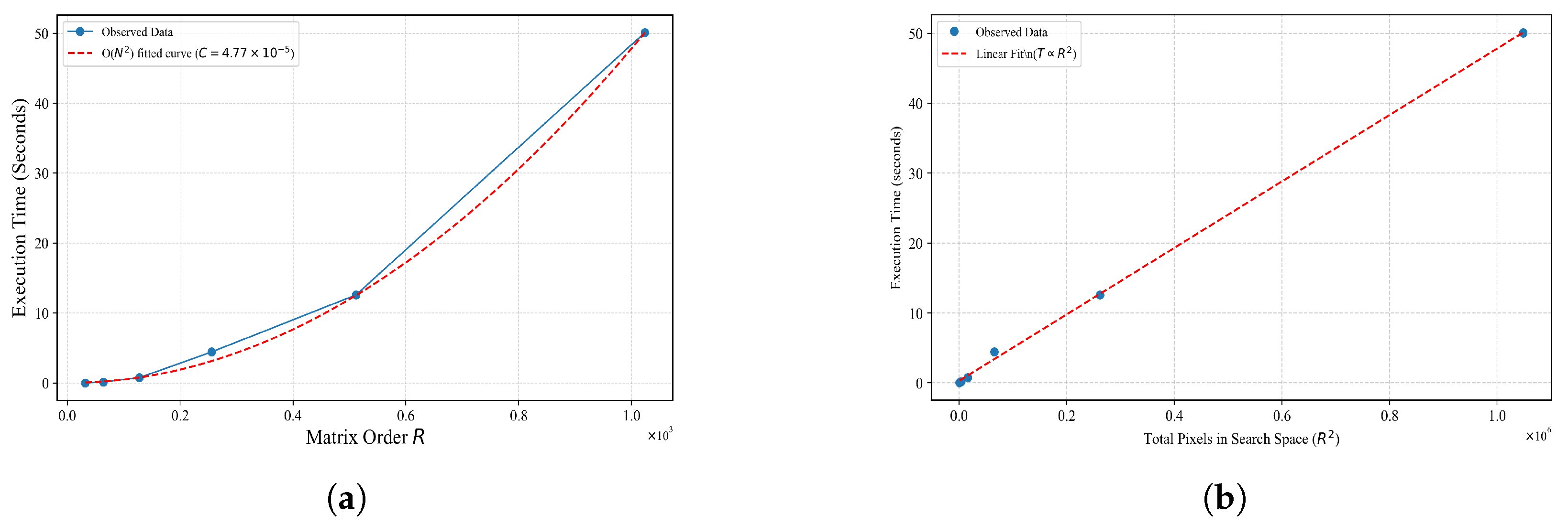
5.4. Computational Performance and Scalability Analysis
6. Conclusions
- Rasterization dependency: The method requires structured grid data as input, and the choice of rasterization parameters—particularly grid cell size and density function—is critical and can significantly influence the final similarity results.
- Anchor point sensitivity: The single global maximum anchor may be affected by noise or multi-modal distributions, potentially reducing rotational consistency.
- Unidimensionality of features: The current method performs matching based on a single spatial feature (e.g., elevation or POI density), without integrating heterogeneous data such as hydrology, geology, or accessibility, which limits its applicability in multi-criteria real-world scenarios.
Author Contributions
Funding
Data Availability Statement
Conflicts of Interest
References
- Zhang, A.; Tariq, A.; Quddoos, A.; Naz, I.; Aslam, R.W.; Barboza, E.; Ullah, S.; Abdullah-Al-Wadud, M. Spatio-temporal analysis of urban expansion and land use dynamics using google earth engine and predictive models. Sci. Rep. 2025, 15, 6993. [Google Scholar] [CrossRef]
- Dritsas, E.; Trigka, M. Remote Sensing and Geospatial Analysis in the Big Data Era: A Survey. Remote Sens. 2025, 17, 550. [Google Scholar] [CrossRef]
- Adeyeye, A.; Lynch, C.; Hester, J.; Tentzeris, M. A machine learning enabled mmWave RFID for rotational sensing in human gesture recognition and motion capture applications. In Proceedings of the 2022 IEEE/MTT-S International Microwave Symposium-IMS 2022, Denver, CO, USA, 19–24 June 2022; pp. 137–140. [Google Scholar]
- Wang, Z.; Ma, D.; Sun, D.; Zhang, J. Identification and analysis of urban functional area in Hangzhou based on OSM and POI data. PLoS ONE 2021, 16, e0251988. [Google Scholar] [CrossRef]
- Yang, X.; Xie, F.; Liu, S.; Zhu, Y.; Fan, J.; Zhao, H.; Fu, Y.; Duan, Y.; Fu, R.; Guo, S. Mapping Debris-Covered Glaciers Using High-Resolution Imagery (GF-2) and Deep Learning Algorithms. Remote Sens. 2024, 16, 2062. [Google Scholar] [CrossRef]
- Selmy, S.A.; Kucher, D.E.; Yang, Y.; García-Navarro, F.J. Geospatial Data: Acquisition, Applications, and Challenges. In Exploring Remote Sensing-Methods and Applications; IntechOpen Limited: London, UK, 2024. [Google Scholar]
- Le Falher, G.; Gionis, A.; Mathioudakis, M. Where is the Soho of Rome? Measures and algorithms for finding similar neighborhoods in cities. In Proceedings of the International AAAI Conference on Web and Social Media, Oxford, UK, 26–29 May 2015; Volume 9, pp. 228–237. [Google Scholar]
- Kim, G.Y.; Lee, W.H. Prediction of the spatial distribution of vine weevil under climate change using multiple variable selection methods. Sci. Rep. 2025, 15, 7845. [Google Scholar] [CrossRef]
- Liu, G.; Dai, E.; Ge, Q.; Wu, W.; Xu, X. A similarity-based quantitative model for assessing regional debris-flow hazard. Nat. Hazards 2013, 69, 295–310. [Google Scholar] [CrossRef]
- Nyssen, J.; Tielens, S.; Gebreyohannes, T.; Araya, T.; Teka, K.; Van de Wauw, J.; Degeyndt, K.; Descheemaeker, K.; Amare, K.; Haile, M.; et al. Understanding spatial patterns of soils for sustainable agriculture in northern Ethiopia’s tropical mountains. PLoS ONE 2019, 14, e0224041. [Google Scholar] [CrossRef]
- Zhao, Q.; Xiong, Y.; Li, Q.; Cui, X. Spatial Layout Planning of Medical and Health Institutions Based on the Concept of Healthy City: A Case Study of Mianyang. In Proceedings of the International Conference on Urban Climate, Sustainability and Urban Design, Sydney, Australia, 28 August–1 September 2023; Springer: Berlin/Heidelberg, Germany, 2023; pp. 865–877. [Google Scholar]
- Ylihärsilä, M.; Hirvonen, J. Grid shape descriptor using path integrals for measuring sheet metal parts similarity. Comput. Aided Des. Appl. 2022, 19, 712–721. [Google Scholar] [CrossRef]
- Ullah, F.; Kaneko, S. Using orientation codes for rotation-invariant template matching. Pattern Recognit. 2004, 37, 201–209. [Google Scholar] [CrossRef]
- Temenos, A.; Temenos, N.; Kaselimi, M.; Doulamis, A.; Doulamis, N. Interpretable deep learning framework for land use and land cover classification in remote sensing using SHAP. IEEE Geosci. Remote Sens. Lett. 2023, 20, 8500105. [Google Scholar] [CrossRef]
- Kakogeorgiou, I.; Karantzalos, K. Evaluating explainable artificial intelligence methods for multi-label deep learning classification tasks in remote sensing. Int. J. Appl. Earth Obs. Geoinf. 2021, 103, 102520. [Google Scholar] [CrossRef]
- Temenos, A.; Tzortzis, I.N.; Kaselimi, M.; Rallis, I.; Doulamis, A.; Doulamis, N. Novel insights in spatial epidemiology utilizing explainable AI (XAI) and remote sensing. Remote Sens. 2022, 14, 3074. [Google Scholar] [CrossRef]
- Lian, Z.; Zhan, Y.; Zhang, W.; Wang, Z.; Liu, W.; Huang, X. Recent Advances in Deep Learning-Based Spatiotemporal Fusion Methods for Remote Sensing Images. Sensors 2025, 25, 1093. [Google Scholar] [CrossRef]
- Peng, T.; Yang, N.; Peng, X.; Chen, Z. A method of weak fault detection based on sparse representation for pmsm. In Proceedings of the 2020 Chinese Automation Congress (CAC), Shanghai, China, 6–8 November 2020; pp. 4412–4417. [Google Scholar]
- Lu, X.; Yang, J. Image analysis with logarithmic Zernike moments. Digit. Signal Process. 2023, 133, 103829. [Google Scholar] [CrossRef]
- Ye, Y.; Bruzzone, L.; Shan, J.; Bovolo, F.; Zhu, Q. Fast and robust matching for multimodal remote sensing image registration. IEEE Trans. Geosci. Remote Sens. 2019, 57, 9059–9070. [Google Scholar] [CrossRef]
- Zhang, S.; Su, L. A new fast matching algorithm for angle-adaptive grayscale templates. In Proceedings of the 2019 2nd World Conference on Mechanical Engineering and Intelligent Manufacturing (WCMEIM), Shanghai, China, 22–24 November 2019; pp. 672–675. [Google Scholar]
- Choi, M.S.; Kim, W.Y. A novel two stage template matching method for rotation and illumination invariance. Pattern Recognit. 2002, 35, 119–129. [Google Scholar] [CrossRef]
- Zhang, Y.; Lan, C.; Zhang, H.; Ma, G.; Li, H. Multimodal remote sensing image matching via learning features and attention mechanism. IEEE Trans. Geosci. Remote Sens. 2024, 62, 5603620. [Google Scholar] [CrossRef]
- Lai, G.; Fan, Z.; Zhao, W.; Wang, Y.; Qu, X. An effective feature-to-template matching algorithm for multimodal geospatial data. In Proceedings of the Sixth International Conference on Geoscience and Remote Sensing Mapping (GRSM 2024), Qingdao, China, 25–27 October 2025; Volume 13506, pp. 302–307. [Google Scholar]
- Yang, J.; Wang, H.; Yuan, J.; Li, Y.; Liu, J. Invariant multi-scale descriptor for shape representation, matching and retrieval. Comput. Vis. Image Underst. 2016, 145, 43–58. [Google Scholar] [CrossRef]
- Wang, Z.; Xu, G.; Cheng, Y.; Guo, R.; Wang, Z. A curvature salience descriptor for full and partial shape matching. Multimed. Tools Appl. 2018, 77, 27405–27426. [Google Scholar] [CrossRef]
- Mo, H.; Zhao, G. RIC-CNN: Rotation-invariant coordinate convolutional neural network. Pattern Recognit. 2024, 146, 109994. [Google Scholar] [CrossRef]
- Bazi, Y.; Bashmal, L.; Rahhal, M.M.A.; Dayil, R.A.; Ajlan, N.A. Vision transformers for remote sensing image classification. Remote Sens. 2021, 13, 516. [Google Scholar] [CrossRef]
- Kaczmarek, I.; Iwaniak, A.; Świetlicka, A. Classification of spatial objects with the use of graph neural networks. ISPRS Int. J. Geo-Inf 2023, 12, 83. [Google Scholar] [CrossRef]
- Zhan, W.; Datta, A. Neural networks for geospatial data. J. Am. Stat. Assoc. 2025, 120, 535–547. [Google Scholar] [CrossRef]
- Markiewicz, J. The comparison of distance metrics in descriptor matching methods utilised in TLS-SfM point cloud registration. Rep. Geod. 2025, 119, 39–61. [Google Scholar] [CrossRef]
- Zhou, S.; Li, J.; Wang, H.; Shang, S.; Han, P. GRLSTM: Trajectory similarity computation with graph-based residual LSTM. In Proceedings of the AAAI Conference on Artificial Intelligence, Washington, DC, USA, 7–14 February 2023; Volume 37, pp. 4972–4980. [Google Scholar]
- Liu, B.; Wang, Z.; Zhang, J.; Wu, J.; Qu, G. DeepSIM: A novel deep learning method for graph similarity computation. Soft Comput. 2024, 28, 61–76. [Google Scholar] [CrossRef]
- Zhou, S.; Huang, C.; Wen, Y.; Chen, L. Feature Enhanced Spatial–Temporal Trajectory Similarity Computation. Data Sci. Eng. 2025, 10, 1–11. [Google Scholar] [CrossRef]
- Jin, J.; Song, Y.; Kan, D.; Zhang, B.; Lyu, Y.; Zhang, J.; Lu, H. Learning context-aware region similarity with effective spatial normalization over Point-of-Interest data. Inf. Process. Manag. 2024, 61, 103673. [Google Scholar] [CrossRef]
- Abbasi, O.R.; Alesheikh, A.A.; Lotfata, A. Semantic similarity is not enough: A novel NLP-based semantic similarity measure in geospatial context. IScience 2024, 27. [Google Scholar] [CrossRef]
- Nan, R. Five hundred meter aperture spherical radio telescope (FAST). Sci. China Ser. G 2006, 49, 129–148. [Google Scholar] [CrossRef]








| Method | ||||
|---|---|---|---|---|
| NCC | ||||
| FMT | ||||
| ZM | ||||
| Our |
Disclaimer/Publisher’s Note: The statements, opinions and data contained in all publications are solely those of the individual author(s) and contributor(s) and not of MDPI and/or the editor(s). MDPI and/or the editor(s) disclaim responsibility for any injury to people or property resulting from any ideas, methods, instructions or products referred to in the content. |
© 2025 by the authors. Published by MDPI on behalf of the International Society for Photogrammetry and Remote Sensing. Licensee MDPI, Basel, Switzerland. This article is an open access article distributed under the terms and conditions of the Creative Commons Attribution (CC BY) license (https://creativecommons.org/licenses/by/4.0/).
Share and Cite
Cai, Z.; Pan, H.; Lu, S.; Guo, L.; Su, X. A Novel Region Similarity Measurement Method Based on Ring Vectors. ISPRS Int. J. Geo-Inf. 2025, 14, 488. https://doi.org/10.3390/ijgi14120488
Cai Z, Pan H, Lu S, Guo L, Su X. A Novel Region Similarity Measurement Method Based on Ring Vectors. ISPRS International Journal of Geo-Information. 2025; 14(12):488. https://doi.org/10.3390/ijgi14120488
Chicago/Turabian StyleCai, Zhi, Hongyu Pan, Shuaibing Lu, Limin Guo, and Xing Su. 2025. "A Novel Region Similarity Measurement Method Based on Ring Vectors" ISPRS International Journal of Geo-Information 14, no. 12: 488. https://doi.org/10.3390/ijgi14120488
APA StyleCai, Z., Pan, H., Lu, S., Guo, L., & Su, X. (2025). A Novel Region Similarity Measurement Method Based on Ring Vectors. ISPRS International Journal of Geo-Information, 14(12), 488. https://doi.org/10.3390/ijgi14120488




