Effects of Climate Change on Corn Yields: Spatiotemporal Evidence from Geographically and Temporally Weighted Regression Model
Abstract
:1. Introduction
2. Study Area and Data
2.1. Study Area
2.2. Data Collection and Preprocessing
3. Methodology
3.1. Linear Detrend Preprocessing
3.2. Interval Accumulated Temperature Method
3.3. GTWR Model
3.4. Soft Clustering Using the Fuzzy C-Means Algorithm
- Choose a number of clusters;
- Assign coefficients randomly to each data point based on the cluster to which it belongs;
- Repeat until the algorithm has converged (i.e., the change in coefficients between two iterations is no more than ε, which is the assigned sensitivity threshold);
- Compute the centroid for each cluster and then, for each data point, compute its coefficients based on the cluster to which it belongs.
4. Results
4.1. How Detrended Yield and Meteorological Variables Changed over 40 Years
4.2. Spatiotemporal Model Fitting and Performance in Assessing Climate Change Impact on Yield
4.3. Explaining Yield Anomalies during Extreme Drought and Hot Climate Events
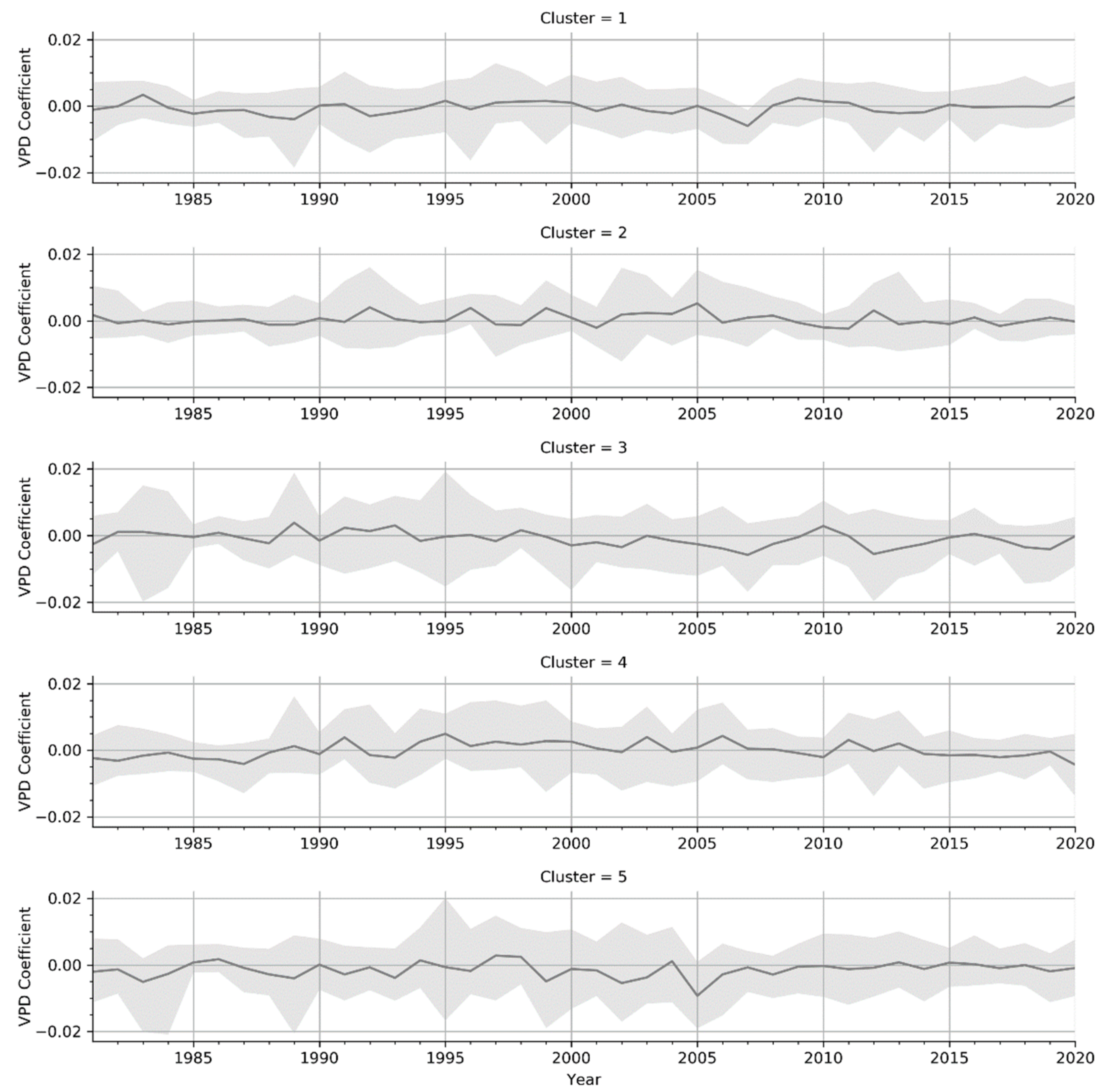
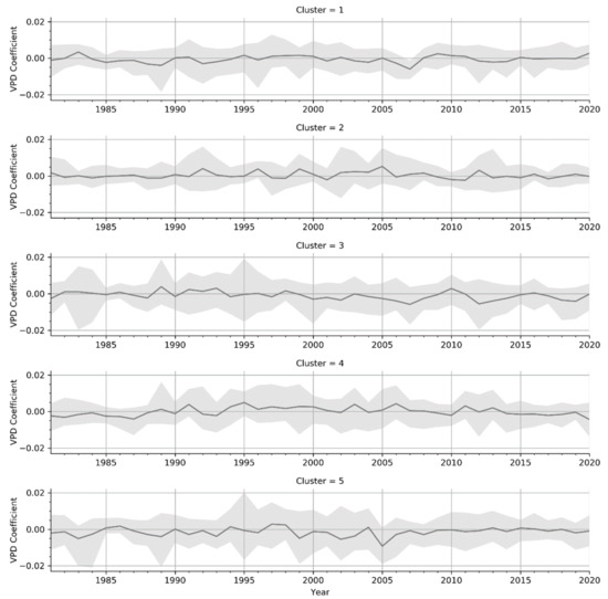
4.4. Temporal and Spatial Clustering Based on Climate Change Impact Trends
5. Discussion
5.1. Optimistic Predictions for the Impact of Climate Change on the Corn Belt
5.2. Temperature Has a Stronger Impact than Precipitation
5.3. Better Production Potential in High Latitudes
6. Conclusions and Future Works
Supplementary Materials
Author Contributions
Funding
Data Availability Statement
Conflicts of Interest
References
- Kang, Y.; Khan, S.; Ma, X. Climate change impacts on crop yield, crop water productivity and food security—A review. Prog. Nat. Sci. 2009, 19, 1665–1674. [Google Scholar] [CrossRef]
- Lobell, D.B.; Burke, M.B. On the use of statistical models to predict crop yield responses to climate change. Agric. For. Meteorol. 2010, 150, 1443–1452. [Google Scholar] [CrossRef]
- Monfreda, C.; Ramankutty, N.; Foley, J.A. Farming the planet: 2. Geographic distribution of crop areas, yields, physiological types, and net primary production in the year 2000. Glob. Biogeochem. Cycles 2008, 22, 2007GB002947. [Google Scholar] [CrossRef]
- Tao, F.; Zhang, Z.; Zhang, S.; Rötter, R.P.; Shi, W.; Xiao, D.; Liu, Y.; Wang, M.; Liu, F.; Zhang, H. Historical data provide new insights into response and adaptation of maize production systems to climate change/variability in China. Field Crops Res. 2016, 185, 1–11. [Google Scholar] [CrossRef]
- Alahacoon, N.; Edirisinghe, M. Spatial Variability of Rainfall Trends in Sri Lanka from 1989 to 2019 as an Indication of Climate Change. ISPRS Int. J Geo-Inf. 2021, 10, 84. [Google Scholar] [CrossRef]
- Jiang, H.; Hu, H.; Li, B.; Zhang, Z.; Wang, S.; Lin, T. Understanding the non-stationary relationships between corn yields and meteorology via a spatiotemporally varying coefficient model. Agric. For. Meteorol. 2021, 301–302, 108340. [Google Scholar] [CrossRef]
- Bakhsh, A.; Jaynes, D.B.; Colvin, T.S.; Kanwar, R.S. Spatio-temporal analysis of yield variability for a corn-soybean field in iowa. Trans. ASAE 2000, 43, 31–38. [Google Scholar] [CrossRef]
- Williams, C.; Hargrove, W.; Liebman, M.; James, D. Agro-ecoregionalization of Iowa using multivariate geographical clustering. Agric. Ecosyst. Environ. 2008, 123, 161–174. [Google Scholar] [CrossRef]
- Foley, J.A.; Ramankutty, N.; Brauman, K.A.; Cassidy, E.S.; Gerber, J.S.; Johnston, M.; Mueller, N.D.; O Connell, C.; Ray, D.K.; West, P.C.; et al. Solutions for a cultivated planet. Nature 2011, 478, 337–342. [Google Scholar] [CrossRef] [Green Version]
- Peng, B.; Guan, K.; Tang, J.; Ain Sw Orth, E.A.; Zhou, W. Towards a multiscale crop modelling framework for climate change adaptation assessment. Nat. Plants 2020, 6, 338–348. [Google Scholar] [CrossRef]
- Lobell, D.B.; Schlenker, W.; Costa-Roberts, J. Climate trends and global crop production since 1980. Science 2011, 333, 616–620. [Google Scholar] [CrossRef] [Green Version]
- Troy, T.J.; Kipgen, C.; Pal, I. The impact of climate extremes and irrigation on US crop yields. Environ. Res. Lett. 2015, 10, 54013. [Google Scholar] [CrossRef] [Green Version]
- Morell, F.J.; Yang, H.S.; Cassman, K.G.; Wart, J.V.; Elmore, R.W.; Licht, M.; Coulter, J.A.; Ciampitti, I.A.; Pittelkow, C.M.; Brouder, S.M.; et al. Can crop simulation models be used to predict local to regional maize yields and total production in the U.S. Corn Belt? Field Crops Res. 2016, 192, 1–12. [Google Scholar] [CrossRef] [Green Version]
- Li, Y.; Guan, K.; Schnitkey, G.D.; Delucia, E.; Peng, B. Excessive rainfall leads to maize yield loss of a comparable magnitude to extreme drought in the United States. Glob. Chang. Biol. 2019, 25, 2325–2337. [Google Scholar] [CrossRef] [Green Version]
- Blanc, É. Statistical emulators of maize, rice, soybean and wheat yields from global gridded crop models. Agric. For. Meteorol. 2017, 236, 145–161. [Google Scholar] [CrossRef]
- Cai, R.; Yu, D.; Oppenheimer, M. Estimating the Spatially Varying Responses of Corn Yields to Weather Variations using Geographically Weighted Panel Regression. J. Agric. Resour. Econ. 2014, 39, 230–252. [Google Scholar]
- Mcgrath, J.M.; Betzelberger, A.M.; Wang, S.; Shook, E.; Ainsworth, E.A. An analysis of ozone damage to historical maize and soybean yields in the United States. Proc. Natl. Acad. Sci. USA 2015, 112, 14390. [Google Scholar] [CrossRef] [Green Version]
- White, J.W.; Hoogenboom, G.; Kimball, B.A.; Wall, G.W. Methodologies for simulating impacts of climate change on crop production. Field Crops Res. 2011, 124, 357–368. [Google Scholar] [CrossRef] [Green Version]
- Jones, J.W.; Hoogenboom, G.; Porter, C.H.; Boote, K.J.; Batchelor, W.D.; Hunt, L.A.; Wilkens, P.W.; Singh, U.; Gijsman, A.J.; Ritchie, J.T. The DSSAT cropping system model. Eur. J. Agron. 2003, 18, 235–265. [Google Scholar] [CrossRef]
- Ray, D.K.; Gerber, J.S.; MacDonald, G.K.; West, P.C. Climate variation explains a third of global crop yield variability. Nat. Commun. 2015, 6, 5989. [Google Scholar] [CrossRef] [Green Version]
- Haghverdi, A.; Leib, B.; Washington-Allen, R.; Wright, W.; Ghodsi, S.; Grant, T.; Zheng, M.; Vanchiasong, P. Studying Crop Yield Response to Supplemental Irrigation and the Spatial Heterogeneity of Soil Physical Attributes in a Humid Region. Agriculture 2019, 9, 43. [Google Scholar] [CrossRef] [Green Version]
- Choi, J.; Lawson, A.B.; Cai, B.; Hossain, M.M.; Kirby, R.S.; Liu, J. A Bayesian latent model with spatio-temporally varying coefficients in low birth weight incidence data. Statal Methods Med. Res. 2012, 21, 445–456. [Google Scholar] [CrossRef] [PubMed] [Green Version]
- Folberth, C.; Baklanov, A.; Balkovič, J.; Skalský, R.; Khabarov, N.; Obersteiner, M. Spatio-temporal downscaling of gridded crop model yield estimates based on machine learning. Agric. For. Meteorol. 2018, 264, 1–15. [Google Scholar] [CrossRef] [Green Version]
- Mahalingam, B.; Orman, W.H. GDP and energy consumption: A panel analysis of the US. Appl. Energy 2018, 213, 208–218. [Google Scholar] [CrossRef]
- Congdon, P. Analysis of panel data. In Applied Bayesian Modelling; John Wiley & Sons: Hoboken, NJ, USA, 2014. [Google Scholar]
- Anselin, L.; Gallo, J.L.; Jayet, H. Spatial Panel Econometrics. In The Econometrics of Panel Data; Springer: Berlin/Heidelberg, Germany, 2008; pp. 625–660. [Google Scholar]
- Olgun, M.; Erdogan, S. Modeling crop yield potential of Eastern Anatolia by using geographically weighted regression. Arch. Acker Pflanzenbau Bodenkd. 2009, 55, 255–263. [Google Scholar] [CrossRef]
- Duan, P.; Qin, L.; Wang, Y.; He, H. Spatiotemporal Correlations between Water Footprint and Agricultural Inputs: A Case Study of Maize Production in Northeast China. Water 2015, 7, 4026–4040. [Google Scholar] [CrossRef] [Green Version]
- Yu, D. Exploring Spatiotemporally Varying Regressed Relationships: The Geographically Weighted Panel Regression Analysis. In Proceedings of the Joint International Conference on Theory, Data Handling and Modelling in GeoSpatial Information Science, Hong Kong, 26–28 May 2010; Volume 38, pp. 134–139. [Google Scholar]
- Huang, B.; Wu, B.; Barry, M. Geographically and temporally weighted regression for modeling spatio-temporal variation in house prices. Int. J. Geogr. Inf. Sci. IJGIS 2010, 24, 383–401. [Google Scholar] [CrossRef]
- Wu, B.; Li, R.; Huang, B. A geographically and temporally weighted autoregressive model with application to housing prices. Int. J. Geogr. Inf. Sci. IJGIS 2014, 28, 1186–1204. [Google Scholar] [CrossRef]
- Fotheringham, A.S.; Crespo, R.; Yao, J. Geographical and Temporal Weighted Regression (GTWR). Geogr. Anal. 2015, 47, 431–452. [Google Scholar] [CrossRef] [Green Version]
- Du, Z.; Wu, S.; Kwan, M.; Zhang, C.; Zhang, F.; Liu, R. A spatiotemporal regression-kriging model for space-time interpolation: A case study of chlorophyll-a prediction in the coastal areas of Zhejiang, China. Int. J. Geogr. Inf. Sci. IJGIS 2018, 32, 1927–1947. [Google Scholar] [CrossRef]
- Liu, B.; Asseng, S.; Müller, C.; Ewert, F.; Elliott, J.; Lobell, D.B.; Martre, P.; Ruane, A.C.; Wallach, D.; Jones, J.W.; et al. Similar estimates of temperature impacts on global wheat yield by three independent methods. Nat. Clim. Chang. 2016, 6, 1130–1136. [Google Scholar] [CrossRef]
- Sacks, W.J.; Kucharik, C.J. Crop management and phenology trends in the U.S. Corn Belt: Impacts on yields, evapotranspiration and energy balance. Agric. For. Meteorol. 2011, 151, 882–894. [Google Scholar] [CrossRef]
- Sakamoto, T.; Gitelson, A.A.; Arkebauer, T.J. MODIS-based corn grain yield estimation model incorporating crop phenology information. Remote Sens. Environ. 2013, 131, 215–231. [Google Scholar] [CrossRef]
- Buhiniček, I.; Kaučić, D.; Kozić, Z.; Jukić, M.; Gunjača, J.; Šarčević, H.; Stepinac, D.; Šimić, D. Trends in Maize Grain Yields across Five Maturity Groups in a Long-Term Experiment with Changing Genotypes. Agriculture 2021, 11, 887. [Google Scholar] [CrossRef]
- Lu, J.; Carbone, G.J.; Gao, P. Detrending crop yield data for spatial visualization of drought impacts in the United States, 1895–2014. Agric. For. Meteorol. 2017, 237–238, 196–208. [Google Scholar] [CrossRef]
- Quiring, S.M.; Papakryiakou, T.N. An evaluation of agricultural drought indices for the Canadian prairies. Agric. For. Meteorol. 2003, 118, 49–62. [Google Scholar] [CrossRef]
- Mcmaster, G.S.; Wilhelm, W.W. Growing degree-days: One equation, two interpretations. Agric. For. Meteorol. 1997, 87, 291–300. [Google Scholar] [CrossRef] [Green Version]
- Butler, E.E.; Huybers, P. Adaptation of US maize to temperature variations. Nat. Clim. Chang. 2013, 3, 68–72. [Google Scholar] [CrossRef]
- Schlenker, W.; Roberts, M.J. Nonlinear temperature effects indicate severe damages to U.S. crop yields under climate change. Proc. Natl. Acad. Sci. USA 2009, 106, 15594–15598. [Google Scholar] [CrossRef] [Green Version]
- Brunsdon, C.; Fotheringham, A.S.; Charlton, M.E. Geographically weighted regression. Ðmodelling spatial non-stationarity. J. R. Stat. Soc. Ser. D 1998, 47, 431–443. [Google Scholar] [CrossRef]
- Fotheringham, A.S.; Brunsdon, C.F.; Charlton, M.E. Geographically Weighted Regression: The Analysis of Spatially Varying Relationships; John Wiley & Sons: Hoboken, NJ, USA, 2003. [Google Scholar]
- Pascucci, S.; Carfora, M.; Palombo, A.; Pignatti, S.; Casa, R.; Pepe, M.; Castaldi, F. A Comparison between Standard and Functional Clustering Methodologies: Application to Agricultural Fields for Yield Pattern Assessment. Remote Sens. 2018, 10, 585. [Google Scholar] [CrossRef] [Green Version]
- Heinemann, A.B.; Ramirez-Villegas, J.; Souza, T.L.P.O.; Didonet, A.D.; di Stefano, J.G.; Boote, K.J.; Jarvis, A. Drought impact on rainfed common bean production areas in Brazil. Agric. For. Meteorol. 2016, 225, 57–74. [Google Scholar] [CrossRef] [Green Version]
- Wang, J.; Zhang, J.; Bai, Y.; Zhang, S.; Yang, S.; Yao, F. Integrating remote sensing-based process model with environmental zonation scheme to estimate rice yield gap in Northeast China. Field Crops Res. 2020, 246, 107682. [Google Scholar] [CrossRef]
- Luo, W.; Yu, Z.; Xiao, S.; Zhu, A.; Yuan, L. Exploratory Method for Spatio-Temporal Feature Extraction and Clustering: An Integrated Multi-Scale Framework. ISPRS Int. J. Geo-Inf. 2015, 4, 1870–1893. [Google Scholar] [CrossRef]
- Chen, Z.; Ma, X.; Wu, L.; Xie, Z. An Intuitionistic Fuzzy Similarity Approach for Clustering Analysis of Polygons. ISPRS Int. J. Geo-Inf. 2019, 8, 98. [Google Scholar] [CrossRef] [Green Version]
- Liu, Y.; Yuan, Y.; Gao, S. Modeling the Vagueness of Areal Geographic Objects: A Categorization System. ISPRS Int. J. Geo-Inf. 2019, 8, 306. [Google Scholar] [CrossRef] [Green Version]
- Rattalino Edreira, J.I.; Mourtzinis, S.; Conley, S.P.; Roth, A.C.; Ciampitti, I.A.; Licht, M.A.; Kandel, H.; Kyveryga, P.M.; Lindsey, L.E.; Mueller, D.S.; et al. Assessing causes of yield gaps in agricultural areas with diversity in climate and soils. Agric. For. Meteorol. 2017, 247, 170–180. [Google Scholar] [CrossRef]
- Pede, T.; Mountrakis, G.; Shaw, S.B. Improving corn yield prediction across the US Corn Belt by replacing air temperature with daily MODIS land surface temperature. Agric. For. Meteorol. 2019, 276–277, 107615. [Google Scholar] [CrossRef]
- Lobell, D.B.; Roberts, M.J.; Schlenker, W.; Braun, N.; Little, B.B.; Rejesus, R.M.; Hammer, G.L. Greater Sensitivity to Drought Accompanies Maize Yield Increase in the U.S. Midwest. Science 2014, 344, 516–519. [Google Scholar] [CrossRef]
- Wei, C.; Liu, C.; Gui, F. Geographically weight seemingly unrelated regression (GWSUR): A method for exploring spatio-temporal heterogeneity. Appl. Econ. 2017, 49, 4189–4195. [Google Scholar] [CrossRef]
- Mathieu, J.A.; Aires, F. Assessment of the agro-climatic indices to improve crop yield forecasting. Agric. For. Meteorol. 2018, 253–254, 15–30. [Google Scholar] [CrossRef]
- Gohari, A.; Eslamian, S.; Abedi-Koupaei, J.; Massah Bavani, A.; Wang, D.; Madani, K. Climate change impacts on crop production in Iran’s Zayandeh-Rud River Basin. Sci. Total Environ. 2013, 442, 405–419. [Google Scholar] [CrossRef]
- Odgaard, M.V.; Bøcher, P.K.; Dalgaard, T.; Svenning, J. Climatic and non-climatic drivers of spatiotemporal maize-area dynamics across the northern limit for maize production—A case study from Denmark. Agric. Ecosyst. Environ. 2011, 142, 291–302. [Google Scholar] [CrossRef]
- Kassie, B.T.; Van Ittersum, M.K.; Hengsdijk, H.; Asseng, S.; Wolf, J.; Rötter, R.P. Climate-induced yield variability and yield gaps of maize (Zea mays L.) in the Central Rift Valley of Ethiopia. Field Crops Res. 2014, 160, 41–53. [Google Scholar] [CrossRef]
- Shrestha, D.; Brown, J.F.; Benedict, T.D.; Howard, D.M. Exploring the Regional Dynamics of U.S. Irrigated Agriculture from 2002 to 2017. Land 2021, 10, 394. [Google Scholar] [CrossRef]
- Orduña Alegría, M.E.; Schütze, N.; Niyogi, D. Evaluation of Hydroclimatic Variability and Prospective Irrigation Strategies in the U.S. Corn Belt. Water 2019, 11, 2447. [Google Scholar] [CrossRef] [Green Version]














| State Name | County Count | Records |
|---|---|---|
| ILLINOIS | 102 | 3965 |
| INDIANA | 92 | 3517 |
| IOWA | 99 | 3931 |
| KANSAS | 105 | 3737 |
| KENTUCKY | 113 | 3775 |
| MICHIGAN | 81 | 2603 |
| MINNESOTA | 85 | 3077 |
| MISSOURI | 114 | 3597 |
| NEBRASKA | 93 | 3524 |
| OHIO | 86 | 3320 |
| WISCONSIN | 71 | 2565 |
| NORTH DAKOTA | 53 | 1747 |
| SOUTH DAKOTA | 65 | 2335 |
| Total | 1159 | 41,693 |
| TEMP_all | GDD_all | KDD_all | VPD_all | PCPN_all | TEMP_s | GDD_s | KDD_s | VPD_s | PCPN_s | De-yield | |
| TEMP_all | 1.00 | ||||||||||
| GDD_all | 1.00 | 1.00 | |||||||||
| KDD_all | 0.70 | 0.72 | 1.00 | ||||||||
| VPD_all | 0.56 | 0.58 | 0.92 | 1.00 | |||||||
| PCPN_all | 0.20 | 0.18 | −0.26 | −0.43 | 1.00 | ||||||
| TEMP_s | 0.93 | 0.95 | 0.80 | 0.66 | 0.10 | 1.00 | |||||
| GDD_s | 0.93 | 0.95 | 0.80 | 0.66 | 0.10 | 1.00 | 1.00 | ||||
| KDD_s | 0.67 | 0.70 | 0.99 | 0.91 | −0.26 | 0.80 | 0.80 | 1.00 | |||
| VPD_s | 0.46 | 0.48 | 0.90 | 0.96 | −0.44 | 0.61 | 0.61 | 0.91 | 1.00 | ||
| PCPN_s | 0.07 | 0.06 | −0.30 | −0.39 | 0.78 | −0.02 | −0.02 | −0.32 | −0.47 | 1.00 | |
| De-yield | −0.06 | −0.07 | −0.30 | −0.26 | 0.19 | −0.17 | −0.17 | −0.32 | −0.32 | 0.27 | 1.00 |
| Parameters | OLS | Time-LR | GWR-Gaussian | GWR-Bi-Square | GTWR-Gaussian | GTWR-Bi-Square |
|---|---|---|---|---|---|---|
| Coefficient of GDD (tons/ha/°C) | 0.0012 | 0.0021 (−0.0003, 0.0044) | 0.0019 (−0.0000, 0.0036) | 0.0020 (−0.0002, 0.0042) | 0.0012 (−0.0016, 0.0039) | 0.0010 (−0.0020, 0.0041) |
| Coefficient of KDD (tons/ha/°C) | −0.0063 | −0.0121 (−0.0171, −0.0071) | −0.0114 (−0.0153, −0.0075) | −0.0119 (−0.0168, −0.0072) | −0.0020 (−0.0016, −0.0060) | −0.0017 (−0.0106, 0.0069) |
| Coefficient of VPD (tons/ha/Pa) | 0.0006 | −0.0005 (−0.0025, 0.0014) | −0.0005 (−0.0021, 0.0010) | −0.0006 (−0.0024, 0.0013) | −0.0007 (−0.0030, 0.0016) | −0.0006 (−0.0031, 0.0019) |
| Coefficient of PCPN (tons/ha/mm) | 0.0019 | 0.0004 (−0.0018, 0.0021) | 0.0005 (−0.0012, 0.0021) | 0.0004 (−0.0016, 0.0020) | 0.0022 (−0.0001, 0.0041) | 0.0022 (−0.0003, 0.0043) |
| Moran’s I of residuals | 0.53 | 0.44 | 0.33 | 0.32 | 0.22 | 0.19 |
| Adj.R2 | 0.14 | 0.44 | 0.59 | 0.63 | 0.73 | 0.79 |
| MAE (tons/ha) | 0.89 | 0.74 | 0.66 | 0.64 | 0.50 | 0.44 |
| RMSE (tons/ha) | 1.18 | 0.96 | 0.88 | 0.86 | 0.67 | 0.59 |
| Year | County | GDD | KDD | VPD | PCPN | De-Yield | |
|---|---|---|---|---|---|---|---|
| 1988 | 1134 | Average over 40 years | 1311.5 °C | 135.4 °C | 1034.1 Pa | 294.2 mm | 6.33 tons/ha |
| Average for 1988 | 1444.6 °C | 289.1 °C | 1472.4 Pa | 190.3 mm | 4.85 tons/ha | ||
| Average deviation | 133.1 °C | 153.7 °C | 438.3 Pa | −103.9 mm | −1.48 tons/ha | ||
| Deviation ratio | 10.1% | 113.5% | 42.4% | −35.3% | −23.4% | ||
| Average of coefficients | 0.0003 tons/ha/°C | 0.0015 tons/ha/°C | −0.0021 tons/ha/Pa | 0.0061 tons/ha/mm | / | ||
| 2012 | 996 | Average over 40 years | 1316.5 °C | 134.3 °C | 1031.9 Pa | 295.3 mm | 6.33 tons/ha |
| Average for 2012 | 1431 °C | 263.8 °C | 1443.4 Pa | 184.1 mm | 3.83 tons/ha | ||
| Average deviation | 114.5 °C | 129.5 °C | 411.5 Pa | −111.2 mm | −2.50 tons/ha | ||
| Deviation ratio | 8.7% | 96.4% | 39.9% | −37.7% | −39.5% | ||
| Average of coefficients | 0.0020 tons/ha/°C | −0.0090 tons/ha/°C | −0.0014 tons/ha/Pa | 0.0055 tons/ha/mm | / |
Publisher’s Note: MDPI stays neutral with regard to jurisdictional claims in published maps and institutional affiliations. |
© 2022 by the authors. Licensee MDPI, Basel, Switzerland. This article is an open access article distributed under the terms and conditions of the Creative Commons Attribution (CC BY) license (https://creativecommons.org/licenses/by/4.0/).
Share and Cite
Yang, B.; Wu, S.; Yan, Z. Effects of Climate Change on Corn Yields: Spatiotemporal Evidence from Geographically and Temporally Weighted Regression Model. ISPRS Int. J. Geo-Inf. 2022, 11, 433. https://doi.org/10.3390/ijgi11080433
Yang B, Wu S, Yan Z. Effects of Climate Change on Corn Yields: Spatiotemporal Evidence from Geographically and Temporally Weighted Regression Model. ISPRS International Journal of Geo-Information. 2022; 11(8):433. https://doi.org/10.3390/ijgi11080433
Chicago/Turabian StyleYang, Bing, Sensen Wu, and Zhen Yan. 2022. "Effects of Climate Change on Corn Yields: Spatiotemporal Evidence from Geographically and Temporally Weighted Regression Model" ISPRS International Journal of Geo-Information 11, no. 8: 433. https://doi.org/10.3390/ijgi11080433
APA StyleYang, B., Wu, S., & Yan, Z. (2022). Effects of Climate Change on Corn Yields: Spatiotemporal Evidence from Geographically and Temporally Weighted Regression Model. ISPRS International Journal of Geo-Information, 11(8), 433. https://doi.org/10.3390/ijgi11080433

